Simple Summary
The objective of this study was to observe the follicle dynamics and its relationship with different physiological (pubertal, sexual mature and postpartum) conditions of buffaloes. These data could be beneficial in establishing best reproductive model for future studies and enhancing the efficiency of advanced reproductive technologies (ARTs) in buffalo industry. The present study describes the estrous cycle characteristics (follicular wave pattern, ovulation, follicle growth, regression or atresia) in Chinese crossbred buffaloes during pubertal, sexual maturity and postpartum stages. This study would be helpful to provide the theoretical insight to overcome the poor reproductive performance by employing the ARTs to enhance fertility in crossbred buffaloes.
Abstract
The follicular dynamics is used as a reliable indicator for reproductive management in livestock. However, the follicular dynamics (follicle wave emergence, estrus cycle length, diameter of dominant follicle, follicular growth and atretic phases) during the estrous cycle of crossbred (Nili Ravi-Jianghan) buffalo is still unexplored. Therefore, the present study aimed to observe the follicular dynamics in estrous cycle of crossbred buffaloes at different physiological stages (pubertal; n = 28, sexual mature; n = 22 and postpartum; n = 18). In the present study, the follicular dynamics were ultrasonically examined at 12 h intervals throughout an estrous cycle during the breeding season. The results indicate that about 86.76% (59/68) crossbred buffaloes, irrespective of physiological stage, exhibited two follicular waves in estrous cycle with an average estrus cycle length was 20.7 ± 0.4 days. The estrus cycle length was significantly shorter (p < 0.05) in pubertal buffaloes (19.4 ± 0.4 days) compared with sexual mature (21.5 ± 0.3 days) and postpartum (21.9 ± 0.4 days) buffaloes. The first follicular wave emerged on same day during one- (pubertal vs. postpartum), two- (pubertal vs. mature vs. postpartum) or three-wave (mature vs. postpartum) estrous cycle buffaloes. The maximum diameter of dominant follicle (DF) in pubertal, sexually mature and postpartum crossbred buffaloes was 9.6 ± 2.0 mm, 10.6 ± 0.5 mm and 12.6 ± 0.7 mm with growth rate of 1.08 ± 0.04 mm/day, 0.92 ± 0.04 mm/day, and 0.9 ± 0.07 mm/day, respectively. In conclusion, similar to other buffalo breeds, Nili Ravi-Jianghan crossbred buffaloes showed the two-wave follicular pattern dominantly with an average duration of ~20 days estrous cycle. The observed follicular dynamics can be used as a reliable indicator for synchronization and fixed-time artificial insemination (FTAI) programs to improve the fertility of crossbred buffaloes.
1. Introduction
The majority of the Chinese indigenous buffalo population (99%) is composed of swamp types which have poor milk production compared with river-type buffaloes. Crossbreeding of swamp and river buffalo resulted in a crossbred buffalo breed [1], which has a higher milk production capacity compared with the indigenous swamp type. The Binglangjiang buffalo is the only river-type buffalo that was mainly distributed for more than two centuries in the Binglang river basin of Tengchong County, Yunnan Province, China. This buffalo breed remained a valuable genetic resource for the development of the milk buffalo industry in China through crossbreeding of swamp and riverine buffaloes [2,3,4]. To enhance the productivity of local Chinese swamp buffalo, the exotic buffalo breeds (Murrah and Nili-Ravi) were also introduced. The Nili-Ravi × Jianghan crossbred buffalo is one of the major breeds in Central China, and it provides the better production levels compared with other crossbred breeds. However, this crossbred buffalo breed (Nili-Ravi × Jianghan) compromised reproductive performance similar to pure swamp or riverine breeds. This breed modification introduced new challenges to understand the basic follicular dynamics pattern in the crossbred buffaloes.
Follicular dynamics are the continuous process of growth and regression of a group of antral follicles, one of which develops until it reaches the pre-ovulatory stage [5]; therefore, an understanding of follicular development and regression is essential in order to ameliorate the existing techniques of estrus control techniques [6,7,8]. The success of reproductive control programs is closely related to an understanding of ovarian follicular dynamics [9]. Bovine follicular dynamics have been extensively studied at different phases of the estrous cycle [10], pregnancy [11], pubertal [12] and postpartum stage [13] which allowed successfully implementation of the assisted reproductive technologies (ARTs). Similar efforts have also been made in pure buffalo breeds but the outcomes of ARTs are variable [14] due to different estrus physiology of buffalo compared to cattle [15].
Along others influencing factors in breeding type, the age or physiological status (puberty, maturity or postpartum) of buffalo is an important element for reproductive efficiency. The low bodyweight of buffalo heifers also delays the pubertal age in response to unavailability of nutrients under semi-intensive rearing systems [16]. It has been observed that Chinese crossbred buffalo heifers attain the puberty at 22 months of age [17], but underdevelopment of reproductive tract does not provide optimum breeding time prior to 25 months of age. In the case of postpartum Chinese crossbred buffalo, ovarian activity is resumed within 40 days of calving, but estrus response is very low along the first and second ovulations [17]. In addition, the application of FTAI protocols is variable in heifers and postpartum buffaloes with respect to the season of the year [18]. Previously, several aspects of the estrous cycle and follicular dynamics were studied in Nili-Ravi [19,20], Murrah [21,22,23] and Mediterranean [24] buffaloes. However, the exact information regarding follicular dynamics during estrous cycle is not well understood in crossbred buffaloes of different physiological stages [25]. For proper application of ARTs Chinese crossbred buffaloes, the monitoring of ovarian dynamics at pubertal, mature and postpartum stages could be potential aspects to overcome the above-mentioned concerns in buffaloes at different physiological stages. Therefore, the present study was designed to observe the ovarian follicular dynamics during the estrous cycle of Chinese crossbred (Nili-Ravi × Jianghan) buffaloes at pubertal, sexually mature and postpartum stages.
2. Material and Methods
2.1. Ethics Statement
The present study was approved by the Animal Welfare and Ethical Committee, Huazhong Agriculture University, People’s Republic of China (Approval ID: HZAUBU-2017-002). All experimental protocols were followed according to guidelines proposed by the Committee of Animal Research Institute, Huazhong Agricultural University, China.
2.2. Experimental Animals
The crossbred buffaloes (Nili-Ravi × Jianghan; n = 68) were selected during breeding season (12 September 2017 to 11 March 2018) at a buffalo farm located in Hubei Jinniu Co., Ltd., Hubei province, China. The buffaloes were healthy with a moderate body condition score (BCS = 3.4 ± 0.6) without any palpable abnormality in the reproductive tracts. The selected buffaloes were divided in three groups based on different physiologic status (pubertal, mature and postpartum). The first group includes the pubertal buffaloes (n = 28) without any history of estrus behavior having an average body weight (BW) of 308.2 ± 38.6 kg at age of 1.7 ± 0.2 years. The pubertal group of buffalo was monitored ultrasonographically on a daily basis for the occurrence of ovulation during the observational period, and pubertal buffaloes were characterized as pubertal when the first ovulation was recorded. The second group includes sexually mature crossbred buffaloes (n = 22) having BW of 433.0 ± 72.1 kg and age of 3.2 ± 0.5 years with a cyclic history. In postpartum group, the multiparous postpartum buffaloes (n = 18) with BW of 588.1 ± 89.5 kg and age 5.3 ± 1.2 years old at 7–10 days of parturition were included. All animals were fed with total mixed ration (TMR) consisted of forage (corn silage, peanut vine, rice straw) and concentrate (corn, soybean meal, wheat bran) under the stall feeding system along with free access to the fresh and clean water.
2.3. Estrus Detection and Ovarian Ultrasonography
Estrus behavior was observed twice a day (6:00 and 18:00) based on the presence of vaginal mucus discharge, vaginal mucosal appearance and the presence of >9 mm follicles. The real time transrectal ultrasound scanner (Desktop B-type veterinary ultrasound scanner, WED-9618-V, equipped with LV2-3/6.5 MHz rectal probe) was used to monitor ovarian follicular development. The pubertal crossbred buffalo heifers were subjected to ovarian ultrasound scanning until first ovulation and ovarian monitoring continued to consecutive ovulation. The ovarian scan in sexually mature buffaloes was performed between two consecutive ovulations. Similarly, ovarian ultrasound examination of both ovaries in the postpartum crossbred buffaloes was performed starting from day 10th after parturition until two consecutive postpartum ovulations. All experimental groups were monitored through rectal ultrasound scanner twice daily at an interval of 12 h by a single operator.
2.4. Follicular Dynamics
A group of small follicles with diameters of ≥4–5 mm (cohort) that appeared together was considered as follicular wave [11]. The follicles with a diameter ≥4–5 mm were monitored twice a daily over both ovaries to observe growth and regression pattern by measuring diameter. A follicle with a 10 mm diameter was considered a DF [26]. The maximum diameter (average of horizontal and vertically measured diameters) of the dominant follicle, growth rate (maximum diameter of the DF divided by number of days to attain it) and atresia rate (when follicle started to decrease in size after attaining its maximum diameter divided by duration of atresia in days) were monitored in all three groups [27,28,29,30]. The estrous cycle length was defined as period between two consecutive ovulations. Each examination was carried out by the same operator to reduce measurement error.
2.5. Statistical Analyses
The data were organized as Mean ± SEM and subjected to analysis of variance to study the effect of three factors (three physiology stages, different follicle waves and left- and right-side ovary). The differences between duration of estrous cycles, maximum size of dominant follicles, persistence of follicles, growth rate of dominant follicles and mean number of follicles were compared using one-way analysis of variance (ANOVA) by employing the statistical software Graph Pad Prism-6 software package (Prism-6 version 6.01, San Diego, CA, USA). The level significance was considered at p < 0.05 [31]. The effect of different factors (physiological status, left- or right-side ovary and follicular wave) on emergence and growth of DF, multifactor analysis of variance using R language [32,33] using following equation:
where Y indicates influencing factors, μ mean value Locationi indicates left- and right-side ovary, Stagej indicates physiological stages (puberty, sexually mature, postpartum) and WAVEK denotes first and second wave, and eijk value is random residual [34,35,36].
Yijk = μ + Locationi + Stagej + Wavek + eijk,
3. Results
3.1. Distribution of Follicular Waves in Estrous Cycle of Crossbred Buffaloes
The distribution of follicular waves in estrous cycle of crossbred buffaloes is presented in Table 1. About 89.29% pubertal buffaloes exhibited two follicular wave and 10.71% single follicular wave during estrous cycle. In the sexually mature buffaloes, there was a range of 90.90% with two and 9.09% with the three follicular wave patterns; however, one-wave follicular development was not observed. In the postpartum crossbred buffaloes, one (11.11%)-, two (77.77%)- and three (11.11%)-wave follicular patterns were observed. Overall, the two-wave follicular pattern (86.76%) was dominant in crossbred buffaloes compared with one- or three (7.35- or 5.88%)-wave follicular patterns.
Table 1.
The distribution of follicle waves in Chinese crossbred buffaloes with different physiological stages (puberty, mature and postpartum).
3.2. Estrous Cycle Length and Emergence of Follicular Waves in Different Follicle Wave
The estrous length was the same in pubertal and postpartum buffaloes during one-wave estrous cycles; likewise, a similar estrous cycle duration was observed during the three-wave estrous cycle of sexually mature and postpartum buffaloes. The estrous cycle length was shorter (p < 0.05) in pubertal buffaloes compared with sexually mature and postpartum buffaloes during two-wave estrous cycle. The follicular emergence was on same day during the one-wave estrous cycle of pubertal and postpartum buffaloes. Additionally, the day of emergence of the first and second follicular wave was similar in pubertal, mature and postpartum buffaloes during two-wave estrous cycle. Similarly, the first, second and third follicular wave developed in a similar pattern in mature and postpartum buffaloes during the three-wave estrous cycle type (Table 2).
Table 2.
Characteristics of estrous cycle of pubertal (n = 28), mature (n = 22) and postpartum (n = 18) Chinese crossbred buffaloes.
3.3. Follicular Dynamics in Pubertal Crossbred Buffalo Heifers
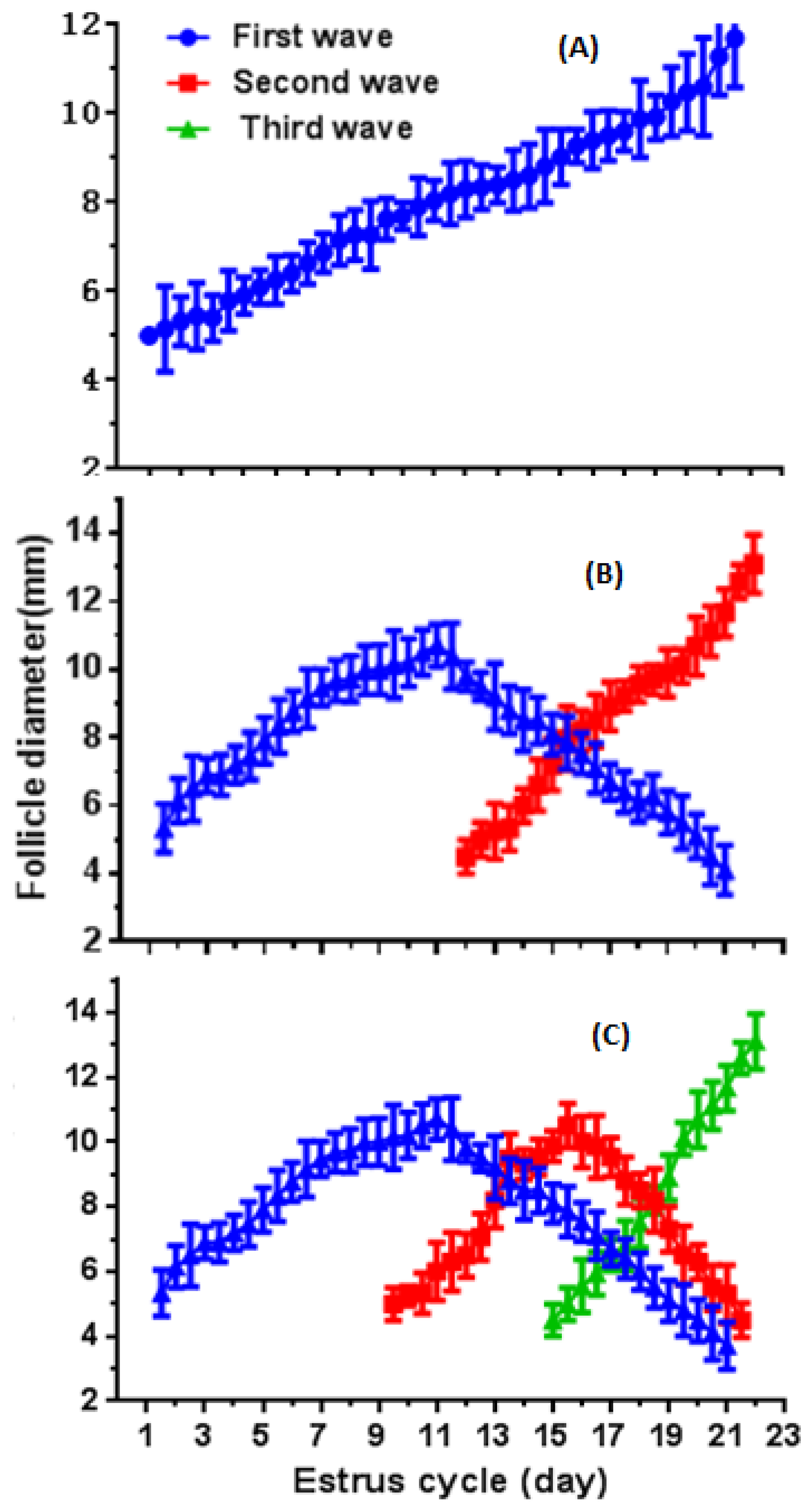
Follicular dynamics of pubertal buffaloes are presented in Table 3 and Table 4 and Figure 1A,B. The DF developed on 1.1 ± 0.4 day of cycle, attained the peak size at day 17.1 ± 1.2 with a growth rate 0.69 ± 0.069 mm/day during the one-wave-type estrous cycle (Figure 1A). The average diameter of initial and maximum DF was similar (p < 0.05) across one- and two-wave patterns of estrous cycles. The maximum diameter of DF was 9.15 ± 0.50 mm irrespective of wave pattern of estrous cycle (Table 3).
Table 3.
The initial and maximum diameter of dominant follicle (DF) during estrous cycle of crossbred buffaloes under different physiological states (puberty; n = 28, maturity; n = 22 and postpartum; n = 18).
Table 4.
The growth and atresia of dominant follicle (DF) inter-estrous cycle of crossbred buffaloes during pubertal (n = 28), maturity (n = 22) and postpartum (n = 18) stages.
Figure 1.
The growth profile of DF in pubertal buffaloes with a one- ((A), n = 3) and two-wave ((B), n = 25) estrous cycle.
The follicle dynamics during the two-wave cycle indicate the first follicle wave started on 1.5 ± 0.06 day of estrous cycle, sustained till day 10.6 ± 0.2 and became atretic after 9.5 ± 0.50 day with an atresia rate of −1.12 ± 0.14 mm/day. The second wave emerged on day 10.5 ± 0.2 of cycle and continued to grow until 18.0 ± 0.2 day of estrous cycle. The maximum follicular diameter in first and second wave was observed on day 8.6 ± 0.1 and 19.4 ± 0.2 of estrous cycle, respectively. The follicular growth rate and growth duration were significantly lower (p < 0.05) during one-wave as compared with the two-wave pattern of the estrous cycle. The follicle location (left or right ovary) had no significant effect on the follicular dynamics (Figure 1B, Table 4). The first ovulation occurred in pubertal buffaloes with an average body weight of 342.00 ± 22.0 kg at the age of 23.59 ± 0.4 months.
3.4. Follicular Dynamics in Sexually Mature Crossbred Buffaloes
The initial and maximum did not vary during two- or three-wave patterns of the estrous cycle in mature buffaloes. Moreover, the growth rate and duration of growth were similar across during two- or three-wave patterns of the estrous cycle. The follicular growth rate in the second-wave pattern was 0.6 times higher than the first-wave (p < 0.05) pattern of the estrous cycle; however, the duration of the second follicular wave was 0.9 days less than the first follicular wave (p < 0.05). The average diameter of DF was 9.8 ± 0.3 mm and 10.2 ± 0.4 mm in the first and second follicular wave. The results showed that the first and second wave started on day 1.0 ± 0.02 and 11.1 ± 0.2 of cycle, respectively. The duration of first follicular wave was 9.1 ± 0.2 days, whereas it was 10.2 ± 0.4 days for the second follicular wave. The maximum follicular diameter in the first and second waves was observed on day 10.1 ± 0.2 and 21.2 ± 0.2, respectively. The location of the DF follicle (left-side ovary or right-side ovary) of sexually mature crossbred buffalo had no significant difference on follicular dynamics. The follicle atresia started on day 11.1 ± 0.50 and continued until day 20.0 ± 0.14 with rate of −0.85 ± 0.07 mm/day (Table 3, Table 4 and Figure 2A,B).
Figure 2.
The growth profile of DF in sexually mature crossbred buffaloes with a two- ((A), n = 20) and three-wave ((B), n = 2) estrous cycle.
3.5. Follicular Dynamics in Postpartum Crossbred Buffaloes
Follicular dynamics in postpartum crossbred buffaloes are presented in Table 3. The follicular growth rate in the second wave was 0.4 times higher than the first follicle wave (p < 0.05) of the estrous cycle and duration of second follicle wave was 0.5 days less (p < 0.05) than the first follicle wave. The average diameter of DF diameter did not vary during first (10.3 ± 0.5 mm) or second (11.7 ± 0.4 mm) wave of estrous cycle. Moreover, the follicle location (left or right ovary) had no significant effect on the follicular dynamics.
The atresia rate of DF (0.71 ± 0.06 mm/day) and atresia duration (5.50 ± 0.15 days) on the right ovary have significantly higher than (p < 0.05) follicle atresia rate (1.12 ± 0.12 mm/day) and atresia duration (3.50 ± 0.26 days) along left side (Table 4). The onset diameter (5.3 ± 0.1 mm) and maximum diameter of DF (11.7 ± 0.4 mm) of the second follicular wave were significantly larger (p < 0.05) than the first follicle wave. In postpartum buffaloes with a two-wave cycle, the first and second follicular wave emerged on day 1.5 ± 0.1 and 12.1 ± 0.2, respectively, and sustained for 11.5 ± 0.2 days and 10.1 ± 0.2 days, respectively. The maximum diameters of DF in postpartum buffaloes were observed during first and second wave on day 11.0 ± 0.2 and 21.7 ± 0.2, respectively. The follicle atresia started on day 11.2 ± 0.60 and continued until day 21.0 ± 0.74 with −0.96 ± 0.08 mm/day atresia rate (Figure 3A–C; Table 4).
Figure 3.
The growth profile of DF in postpartum crossbred buffaloes with one- ((A), n = 2), two- ((B), n = 14) and three-wave ((C), n = 2) estrous cycle.
3.6. Relationship between Different Factors (Ovary Location, Physiological Stage and Follicle Wave) Effects on DF Diameter at Either the First Detection or Maximal Size and Diameter Increase in an Estrous Cycle
The results represented in Table 5 showing the relationship among the location of DF on the left or right ovary, physiological stage and number of follicle wave and effect on DF diameter at either the first detection or maximal size and diameter increase, growth rate, atresia rate in an estrus cycle. The location of the follicle and physiological effects did not affect the DF at first detection rather than the number of follicle waves. The maximum diameter of DF was influenced by the location of DF on the ovary (left ovary), physiological state (postpartum) and number of follicle waves (1st wave), respectively. There was significant effect of physiological state and number of follicle waves on increase in diameter of DF. Similar effects of physiological state and number of follicle waves were observed on the growth rate of DF. There was no significant effect of location of DF on the ovary side and number of follicle waves on atresia rate compared with physiological state. The duration of growth and duration of atresia were significantly affected by number of follicle waves compared with the location of DF on the ovary or physiological state of animals.
Table 5.
Comparison of follicle location on ovary, physiological stage and number of follicle waves on follicular dynamics of crossbred Chinese buffaloes during estrous cycle.
4. Discussion
Similar to other species, the follicular pattern in buffaloes is wave-like during the estrous cycle. The follicular dynamics have been described previously in pure riverine and swamp-type buffaloes in the various parts of the world such as Italy, Thailand, Pakistan, Brazil and India and reported the two follicular wave patterns predominantly in the estrous cycle [37,38,39]. In the present study, the included crossbred buffaloes belonged to the Pakistani breed (Nili-Ravi) and the local Chinese breed (Jianjhan) which were never studied for follicular dynamics in the estrous cycle. In the present study, the buffaloes were grouped in three categories to observe the impact of physiological conditions as well. The data from crossbred buffaloes of different physiological stages described how two follicular wave patterns during the estrous cycle is most common than one- or three-wave patterns. In addition to the two-wave follicular pattern, one-wave in pubertal buffaloes, three-wave pattern in sexually mature and one- or three-wave patterns of the estrous cycle were observed postpartum. Earlier reports showed two- and three-wave patterns in adult postpartum buffaloes [19,29,30,40,41,42] with few exceptions exhibited all three-wave patterns [39]. Earlier, the buffaloes were not grouped to pubertal and mature category but were listed as heifers or postpartum, and these studies showed one- to three-wave follicular pattern [42]. It is speculated that the variations in follicular wave number in cycle across the physiological conditions could be associated with managemental practices or fluctuation in LH receptors over DF results final maturation or atresia [42]. The estrous cycle length was 19.4 ± 0.4, 21.9 ± 0.4 and 21.5 ± 0.3 days in pubertal, mature and postpartum crossbred buffaloes, respectively, which depends upon emergence of follicular wave number as observed earlier [41,43]. The estrous cycle length in one-, two- and three-wave patterns corresponded to increased follicular wave numbers. Similar patterns were observed in Egyptian buffaloes where the average length of the estrous cycle was 21.75 ± 0.53 and 27.0 ± 0.58 days in two- and three-wave estrous cycle [10]. Similarly studies on Thai swamp buffaloes described that the length of the estrus cycle was 20.67 ± 1.76 days in the two-wave cycle and 23.0 ± 0.58 days in the three-wave cycle, respectively [37].
According to current data, the first follicular wave emergence was on same day in any type of wave pattern in estrous cycle. In pubertal buffaloes, the second wave mergence was earlier, which might have resulted in an earlier attainment of follicle dominance and subsequent shorter ovulatory follicle estrous cycle length compared with mature or postpartum buffaloes. The emergence of third wave in mature and postpartum the category group of buffaloes also occurred in the same day, which has been highlighted in Italian buffaloes [44]. In buffaloes with a one-wave cycle, the growth, regression and re-growth phases were shown in DF; however, two- or three-wave patterns displayed the growth and regression phases in DF, which are proceeded by the emergence of new DF of the second or third wave. The similar fashion of follicular development was observed previously in different buffalo breeds [39,42,45,46,47]. In future studies, the comparison of hormonal profile of FSH, LH and estradiol in conjunction to ultrasound monitoring of follicular turnover might be good indicator to describe the follicular pattern precisely in crossbred Chinese buffaloes.
In the present study, the first detected diameter of DF and ovulatory follicle was different in pubertal compared to postpartum buffaloes. The presently observed first detected DF diameter corroborate to previous study in heifers [47], whereas, the smaller size of DF were detected in crossbred buffaloes compared to Mehansa breed of postpartum buffaloes [31]. The current study on crossbred buffalo revealed that the maximum diameter of ovulatory follicles in postpartum, sexually matured and in pubertal buffaloes matched to earlier reports [48,49], with a few exceptions [50,51,52]. The higher growth rate was observed in pubertal buffaloes during a two-wave pattern-type cycle and this higher growth rate in a two-wave cycle of pubertal buffaloes might be related to increased sensitization of ovarian follicle pool in response to FSH and LH secretions [41,53,54]. The phases of recruitment of DF, selection and dominance are very well-characterized in breed of buffaloes [28,39]. The current study showed that first and second follicular wave emergence in estrous cycle is concordant to previous findings in water buffalo [29,55]. The interval between first and second follicular waves was shorter in pubertal as compared to sexually mature or postpartum crossbred buffaloes. This early emergence of the second follicular wave is an indication of shorter estrous cycle in pubertal buffaloes. Additionally, different hormonal profiles of buffaloes at different physiological stage could be influencing factor in pubertal buffaloes [29,30,56]. Daily average growth rate of DF in crossbred buffaloes has a similar pattern to the previous studies [29,55,57]. The overall growth rate of ovulatory follicles was greater in a two-wave cycle compared with that of a one-wave cycle in water buffalo [57]. The studies on Thai swamp buffalo revealed that the growth rate of dominant ovulatory follicles was 1.88 ± 0.39 and 1.18 ± 0.22 mm/day, respectively, during two- and three-wave cycles [36,57]. Similar reports on Indian buffalo found that the growth rate of dominant ovulatory follicles was 0.88 ± 0.17 mm/day [41].
The graphical analysis of present data demonstrated a unique finding that follicle development on the left-side ovary was higher and faster than the right side, which might be associated with compression force exerted by the vital organs located in the right region of the body [58]. Although our work involved the study of follicular dynamics on morphological basis alone, our results suggested that follicular growth in buffalo is a dynamic process, and the development of follicles occurs in waves. However, during each wave, a single follicle becomes dominant, whereas other follicles in the same wave regress. The results indicated an inter-cyclic variation in the type of follicular wave patterns in buffalo; however, this needs to be further examined during consecutive cycles in a larger group of animals along hormonal secretion and release patterns.
5. Conclusions
The present study revealed that Nili Ravi-Jianghan crossbred buffaloes had a two-wave follicular pattern with a duration of 20 days in the estrous cycle. There is also variation in estrous cycle characteristics and follicular dynamics with the physiological stage of buffaloes. These results highlighted the potential to improve the efficiency of fixed time artificial insemination, estrus synchronization and superovulation to increase pregnancy rate and distribution of genetic material in enhancing fertility in buffalo farming.
Author Contributions
L.Y., G.H. and A.A. designed the study. A.A., U.R. and G.H. performed the experiment and collected the data. A.A., Z.N., Z.A. and G.H. analyzed the data, Z.N. and A.A. wrote and revised the manuscript. All authors have read and agreed to the published version of the manuscript.
Funding
This research work was financially supported by the National Natural Science Foundation of China [32172731] and the earmarked fund support, China Agriculture Research System of MOF and MARA.
Institutional Review Board Statement
This study was approved by the Ethical Committee of the Hubei Research Center of Experimental Animals [Approval ID: SCXK (Hubei) 20080005]. All experimental methods were performed in accordance with the guidelines of the Committee of Animal Research Institute, Huazhong Agricultural University, China.
Informed Consent Statement
Not applicable.
Data Availability Statement
All the data and materials will be available on reasonable request from the corresponding author.
Conflicts of Interest
The authors declare no conflict of interest.
References
- Cruz, L.C. Transforming swamp buffaloes to producers of milk and meat through crossbreeding and backcrossing. Japs. J. Anim. Plant. Sci. 2014, 22, 157–168. [Google Scholar]
- Jinlong, H. Exploitation and utilization of unique river-type milk buffalo-Binglangjiang buffalo in China. Chin. Cattle Sci. 2010, 36, 59. [Google Scholar] [CrossRef]
- Yuan, L. The only river-type water buffalo species in my country—Binglangjiang River water buffalo. Rural. Best. 2012, 18, 47. [Google Scholar] [CrossRef]
- Changqing, W. Development prospects and countermeasures of my country’s buffalo milk industry. China Anim. Husb. Mag. 2004, 40, 37–39. [Google Scholar]
- Hooda, O.; Singh, S.; Kundu, S.; Vaidya, M. Follicular dynamics its regulation and heat stress effects on folliculogenesis: A review. Wayamba. J. Anim. Sci. 2011, 18, P103–P106. [Google Scholar]
- Ali, A.; Abdel-Razek, A.K.; Abdel-Ghaffar, S.; Glatzel, P. Ovarian follicular dynamics in buffalo cows (Bubalus bubalis). Reprod. Domest. Anim. 2010, 38, 214–218. [Google Scholar] [CrossRef] [PubMed]
- Glatzel, P.S.; Ali, A.; Gilles, M.; Fiedlak, C. Zur feststellung der frühträchtigkeit bei 30 wasserbüffelfärsen (Bubalus bublis) durch die transrektale palpation mit und ohne ultrasonographie. Tieraerzt. Umschau. 2000, 55, 329–332. [Google Scholar]
- Mishra, S.R.; Thakur, N.; Somal, A.; Parmar, M.S.; Yadav, V.P.; Bharati, J.; Bharti, M.K.; Paul, A.; Verma, M.R.; Chouhan, V.S.; et al. Expression and localization of angiopoietin family in buffalo ovarian follicles during different stages of development and modulatory role of angiopoietins on steroidogenesis and survival of cultured buffalo granulosa cells. Theriogenology 2016, 86, 1818–1833. [Google Scholar] [CrossRef]
- Baruselli, P.S.; Soares, J.G.; Gimenes, L.U.; Monteiro, B.M.; Olazarri, M.J.; Carvalho, N.A.T. Control of buffalo follicular dynamics for artificial insemination, superovulation and in vitro embryo production. Buff. Bull. 2013, 32, 160–176. [Google Scholar]
- Noseir, W.M.B.; El-Bawab, I.E.; Hassan, W.R.; Fadel, M.S. Ovarian follicular dynamics in buffaloes during different estrus synchronization protocols. J. Vet. Sci. Dev. 2014, 4, 25–29. [Google Scholar] [CrossRef] [Green Version]
- Ginther, O.J.; Kastelic, J.P.; Knopf, L. Intraovarian relationships among dominant and subordinate follicles and the corpus luteum in heifers. Theriogenology 1989, 32, 787–795. [Google Scholar] [CrossRef]
- Evans, A.C.O. Characteristics of ovarian follicle development in domestic animals. Reprod. Domest. Anim. 2003, 38, 240–246. [Google Scholar] [CrossRef] [PubMed]
- Stagg, K.; Diskin, M.G.; Sreenan, J.M.; Roche, J.F. Follicular development in long-term anoestrous suckler beef cows fed two levels of energy postpartum. Anim. Reprod. Sci. 1995, 38, 49–61. [Google Scholar] [CrossRef]
- Warriach, H.; McGill, D.; Bush, R.; Wynn, P.; Chohan, K.R. A review of recent developments in buffalo reproduction—A review. Asian-Australas. J. Anim. Sci. 2015, 28, 451. [Google Scholar] [CrossRef] [PubMed]
- Riaz, U.; Hassan, M.; Husnain, A.; Naveed, M.I.; Singh, J.; Ahmad, N. Effect of timing of artificial insemination in relation to onset of standing estrus on pregnancy per AI in Nili-Ravi buffalo. Anim. Reprod. 2018, 15, 1231–1235. [Google Scholar] [CrossRef] [Green Version]
- Bodla, M.T.; Anwar, M.; Ahmad, E.; Naseer, Z.; Ahsan, U. Effect of two management systems and mineral feeding on age at puberty in Nili-Ravi buffalo heifers. Buffalo Bull. 2017, 36, 27–33. [Google Scholar]
- Abulaiti, G.H.A.; Ahmad, H.I.; Yang, L. Puberty, ovarian cycle, ovulation and post-partum uterus recovery in river and swamp type crossbred buffaloes. Int. J. Agric. Biol. 2018, 20, 1839–1845. [Google Scholar]
- Abulaiti, A.; Naseer, Z.; Ahmed, Z.; Wang, D.; Hua, G.; Yang, L. Effect of different synchronization regimens on reproductive variables of crossbred (swamp × riverine) nulliparous and multiparous buffaloes during peak and low breeding seasons. Animals 2022, 12, 415–426. [Google Scholar] [CrossRef]
- Warriach, H.M.; Ahmad, N. Follicular waves during the oestrous cycle in Nili-Ravi buffaloes undergoing spontaneous and PGF2α induced luteolysis. Anim. Reprod. Sci. 2007, 101, 332–337. [Google Scholar] [CrossRef]
- Shah, S.N.H. Prolonged calving intervals in the Nili Ravi buffalo. Ital. J. Anim. Sci. 2010, 6, 694–696. [Google Scholar] [CrossRef]
- Mirmahmoudi, R.; Prakash, B.S. The endocrine changes, the timing of ovulation and the efficacy of the Doublesynch protocol in the Murrah buffalo (Bubalus bubalis). Gen. Comp. Endocrinol. 2012, 177, 153. [Google Scholar] [CrossRef] [PubMed]
- Mirmahmoudi, R.; Souri, M.; Prakash, B.S. Comparison of endocrine changes, timing of ovulations, ovarian follicular growth, and efficacy associated with Estradoublesynch and Heatsynch protocols in Murrah buffalo cows (Bubalus bubalis). Theriogenology 2014, 82, 1012–1020. [Google Scholar] [CrossRef] [PubMed]
- Lohan, I.S.; Kaker, M.L.; Malik, R.K.; Arora, K.L. Ovarian follicular dynamics in Murrah buffalo (Bubalus bubalis) heifers during puberty and sexual maturity. Ital. J. Anim. Sci. 2003, 73, 517–518. [Google Scholar]
- Petrovas, G.; Kosior, M.; Presicce, G.; Russo, M.; Zullo, G.; Albero, G.; Alkan, S.; Gasparrini, B. FSH stimulation with short withdrawal improves oocyte competence in Italian Mediterranean buffalo (Bubalus bubalis). Animals 2020, 10, 1997. [Google Scholar] [CrossRef] [PubMed]
- Liu, Q.; Li, H.; Rehman, Z.U.; Dan, X.; Liu, X.; Bhattarai, D.; Yang, L. The efficacy of an inhibin DNA vaccine delivered by attenuated Salmonella choleraesuis on follicular development and ovulation responses in crossbred buffaloes. Anim. Reprod. Sci. 2016, 172, 76–82. [Google Scholar] [CrossRef] [PubMed]
- Sirois, J.; Fortune, J.E. Ovarian follicular dynamics during the estrous cycle in heifers monitored by real-time ultrasonography. Bio. Reprod. 1988, 39, 308–317. [Google Scholar] [CrossRef] [PubMed] [Green Version]
- Moley, K.H.; Schreiber, J.R. Ovarian follicular growth, ovulation and atresia. Endocrine, paracrine and autocrine regulation. Adv. Exp. Med. Biol. 1995, 377, 103–119. [Google Scholar]
- Manik, R.S.; Palta, P.; Singla, S.K.; Sharma, V. Folliculogenesis in buffalo (Bubalus bubalis): A review. Reprod. Fertil. Dev. 2002, 14, 315–325. [Google Scholar] [CrossRef] [PubMed]
- Barkawi, A.H.; Hafez, Y.M.; Ibrahim, S.A.; Ashour, G.; El-Asheeri, A.K.; Ghanem, N. Characteristics of ovarian follicular dynamics throughout the estrous cycle of Egyptian buffaloes. Anim. Reprod. Sci. 2009, 110, 326–334. [Google Scholar] [CrossRef] [PubMed]
- Awasthi, M.; Kavani, F.; Siddiquee, G.; Dhami, A.; Sarvaiya, N. Characterization of postpartum follicular development through ultrasound scanning and luteal function in suckled Mehsana buffaloes. Indian J. Anim. Sci. 2007, 77, 10–33. [Google Scholar]
- Honparkhe, M.; Gandotra, V.K.; Matharoo, J.S.; Ghuman, S.P.; Dadarwal, D.; Singh, J. Synchronization of follicular wave emergence following ultrasound-guided transvaginal follicle ablation or estradiol-17beta administration in water buffalo (Bubalus bubalis). Anim. Reprod. Sci. 2014, 146, 5–14. [Google Scholar] [CrossRef] [PubMed]
- Valipour, M. Analysis of potential evapotranspiration using limited weather data. Appl. Water Sci. 2014, 7, 187–197. [Google Scholar] [CrossRef] [Green Version]
- Valipour, M. Variations of land use and irrigation for next decades under different scenarios. Irriga 2016, 1, 262. [Google Scholar] [CrossRef] [Green Version]
- Dimauro, C.; Catillo, G.; Bacciu, N.; Macciotta, N.P.P. Fit of different linear models to the lactation curve of Italian water buffalo. Indian J. Anim. Sci. 2010, 4, 22–24. [Google Scholar] [CrossRef]
- Das, S.; Das, M.C.; Paul, R. Swarna Bhasma in cancer: A prospective clinical study. Ayu 2012, 33, 365–367. [Google Scholar] [CrossRef]
- Hossein-Zadeh, N.G. Modelling lactation curve for milk fat to protein ratio in Iranian buffaloes (Bubalus bubalis) using non-linear mixed models. J. Dairy Res. 2016, 83, 334–340. [Google Scholar] [CrossRef]
- Siqueira, J.B.; Leal, L.S.; Oba, E. Ovarian follicular dynamics in buffaloes. Rev. Bra. Reprod. Anim. 2009, 19, 139–148. [Google Scholar]
- Promdireg, A.; Presicce, G.A.; Rensis, F.D.; Singlor, J.; Techakumphu, M. Follicular dynamics following estrus synchronization in swamp buffalo cows (Bubalus bubalis). Thai. Vet. Med. 2008, 38, 25–34. [Google Scholar]
- Baruselli, P.S.; Mucciolo, R.G.; Visintin, J.A.; Viana, W.G.; Arruda, R.P.; Madureira, E.H.; Oliveira, C.A.; Molero-Filho, J.R. Ovarian follicular dynamics during the estrous cycle in buffalo (Bubalus bubalis). Theriogenology 1997, 47, 1531–1547. [Google Scholar] [CrossRef]
- Taneja, M.; Ali, A.; Singh, G. Ovarian follicular dynamics in water buffalo. Theriogenology 1996, 46, 121–130. [Google Scholar] [CrossRef]
- Manik, R.S.; Madan, M.L.; Singla, S.K. Ovarian follicular dynamics in water buffaloes (Bubalus bubalis): Ultrasonically monitoring individual follicles for wave hypothesis. Theriogenology 1994, 41, 246. [Google Scholar] [CrossRef]
- Presicce, G.A.; Parmeggiani, A.; Senatore, E.M.; Stecco, R.; Barile, V.L.; Mauro, G.J.D.; Santis, G.D.; Terzano, G.M. Hormonal dynamics and follicular turnover in prepuberal Mediterranean Italian buffaloes (Bubalus bubalis). Theriogenology 2003, 60, 485–493. [Google Scholar] [CrossRef]
- Campanile, G.; Baruselli, P.S.; Neglia, G.; Vecchio, D.; Gasparrini, B.; Gimenes, L.U.; Zicarelli, L.; D’Occhio, M.J. Ovarian function in the buffalo and implications for embryo development and assisted reproduction. Anim. Reprod. Sci. 2010, 121, 1–11. [Google Scholar] [CrossRef] [PubMed]
- Neglia, G.; Gasparrini, B.; Salzano, A.; Vecchio, D.; Carlo, E.D.; Cimmino, R.; Balestrieri, A.; Michael, J.D.; Campanile, G. Relationship between the ovarian follicular response at the start of an Ovsynch-TAI program and pregnancy outcome in the Mediterranean river buffalo. Theriogenology 2016, 86, 2328–2333. [Google Scholar] [CrossRef] [PubMed]
- Ali, A.; Fahmy, S. Ovarian dynamics and milk progesterone concentrations in cycling and non-cycling buffalo-cows (Bubalus bubalis) during Ovsynch program. Theriogenology 2007, 68, 23–28. [Google Scholar] [CrossRef] [PubMed]
- Presicce, G.A.; Bella, A.; Terzano, G.M.; Santis, G.D.; Senatore, E.M. Postpartum ovarian follicular dynamics in primiparous and pluriparous Mediterranean Italian buffaloes (Bubalus bubalis). Theriogenology 2005, 63, 1430–1439. [Google Scholar] [CrossRef]
- Ginther, O.J.; Siddiqui, M.A.; Baldrighi, J.M. Effects of conversion of follicular activity from wave 1 to wave 2 and proximity of wave 2 follicles to CL in heifers. Theriogenology 2015, 83, 1241–1248. [Google Scholar] [CrossRef] [PubMed]
- Singh, N.; Dhaliwal, G.S.; Malik, V.S.; Dadarwal, D.; Honparkhe, M.; Singhal, S.; Brar, P.S. Comparison of follicular dynamics, superovulatory response, and embryo recovery between estradiol based and conventional superstimulation protocol in buffaloes (Bubalus bubalis). Vet. World 2015, 8, 983–988. [Google Scholar] [CrossRef] [Green Version]
- Mokhtari, A.; Kafi, M.; Zamiri, M.J.; Akbari, R. Factors affecting the size of ovulatory follicles and conception rate in high-yielding dairy cows. Theriogenology 2016, 85, 747–753. [Google Scholar] [CrossRef]
- Karen, A.M.; Darwish, S.A. Efficacy of Ovsynch protocol in cyclic and acyclic Egyptian buffaloes in summer. Anim. Reprod. Sci. 2010, 119, 17–23. [Google Scholar] [CrossRef]
- Khan, F.A.; Das, G.K. Follicular characteristics and intrafollicular concentrations of nitric oxide and ascorbic acid during ovarian acyclicity in water buffalo (Bubalus bubalis). Trop. Anim. Health Prod. 2012, 44, 125–131. [Google Scholar] [CrossRef] [PubMed]
- Yindee, M.; Techakumphu, M.; Lohachit, C.; Sirivaidyapong, S.; Na-Chiangmai, A.; Rodriguez-Martinez, H.; Weyden, G.V.D.; Colenbrander, B. Follicular Dynamics and Oestrous Detection in Thai Postpartum Swamp Buffaloes (Bubalus bubalis). Reprod. Domest. Anim. 2011, 46, e91–e96. [Google Scholar] [CrossRef] [PubMed]
- Kanai, Y.; Shimizu, H. Changes in plasma concentrations of luteinizing hormone, progesterone and oestradiol-17β during the periovulatory period in cyclic swamp buffaloes (Bubalus bubalis). Anim. Reprod. Sci. 1986, 11, 17–24. [Google Scholar] [CrossRef]
- Thatcher, W.W.; Macmillan, K.L.; Hansen, P.J.; Drost, M. Concepts for regulation of corpus luteum function by the conceptus and ovarian follicles to improve fertility. Theriogenology 1989, 31, 149–164. [Google Scholar] [CrossRef]
- Satheshkumar, S.; Subramanian, A.; Devanathan, T.G.; Kathiresan, D.; Veerapandian, C.; Palanisamy, A. Follicular and endocrinological turnover associated with GnRH induced follicular wave synchronization in Indian crossbred cows. Theriogenology 2012, 77, 1144–1150. [Google Scholar] [CrossRef]
- Diaz, D.; Galina, C.S.; Fiordelisio, T.; Rubio, I.; Alarcon, M.A.; Rodriguez, A.D.; Orihuela, A. Relationship between growth of the preovulatory follicle and its steroidogenic activity on the onset and expression of estrus behavior in CIDR-treated Bos indicus cows: An observational study. Physiol. Behav. 2012, 107, 262–270. [Google Scholar] [CrossRef] [PubMed]
- Carvalho, N.A.; Soares, J.G.; Baruselli, P.S. Strategies to overcome seasonal anestrus in water buffalo. Theriogenology 2016, 86, 200–206. [Google Scholar] [CrossRef]
- Miura, R.; Izumi, T. Relationship of the conception rate and the side (left or right) of preovulatory follicle location at artificial insemination in dairy heifers. Anim. Sci. J. 2018, 89, 328–331. [Google Scholar] [CrossRef]
Publisher’s Note: MDPI stays neutral with regard to jurisdictional claims in published maps and institutional affiliations. |
© 2022 by the authors. Licensee MDPI, Basel, Switzerland. This article is an open access article distributed under the terms and conditions of the Creative Commons Attribution (CC BY) license (https://creativecommons.org/licenses/by/4.0/).


