Next Article in Journal
Potential Use of Tannin Extracts as Additives in Semen Destined for Cryopreservation: A Review
Previous Article in Journal
The Feeding Behaviour Habits of Growing-Finishing Pigs and Its Effects on Growth Performance and Carcass Quality: A Review
 
 
Font Type:
Arial Georgia Verdana
Font Size:
Aa Aa Aa
Line Spacing:
Column Width:
Background:
Correction

Correction: Turner et al. Steatitis in Cold-Stunned Kemp’s Ridley Sea Turtles (Lepidochelys kempii). Animals 2021, 11, 898

1
Department of Comparative, Diagnostic, and Population Medicine, University of Florida College of Veterinary Medicine, Gainesville, FL 32608, USA
2
New England Aquarium, Boston, MA 02110, USA
3
NOAA National Oceanic and Atmospheric Administration, National Marine Fisheries Service, Office of Protected Resources at University of Florida, Gainesville, FL 32611, USA
4
Department of Large Animal Clinical Sciences, University of Florida College of Veterinary Medicine, Gainesville, FL 32608, USA
5
Department of Small Animal Clinical Sciences, University of Florida College of Veterinary Medicine, Gainesville, FL 32608, USA
6
Connecticut Veterinary Medical Diagnostic Laboratory, Department of Pathobiology and Veterinary Science, University of Connecticut, Storrs, CT 06269, USA
7
Northwest ZooPath, Monroe, WA 98272, USA
8
Marine Resources Division, South Carolina Department of Natural Resources, Charleston, SC 29412, USA
9
Massachusetts Veterinary Referral Hospital, Woburn, MA 01801, USA
10
Georgia Sea Turtle Center, Jekyll Island Authority, Jekyll Island, GA 31527, USA
11
National Marine Life Center, Buzzards Bay, MA 02532, USA
*
Author to whom correspondence should be addressed.
Animals 2022, 12(9), 1129; https://doi.org/10.3390/ani12091129
Submission received: 11 April 2022 / Accepted: 12 April 2022 / Published: 28 April 2022
(This article belongs to the Section Veterinary Clinical Studies)

Error in Figure/Table

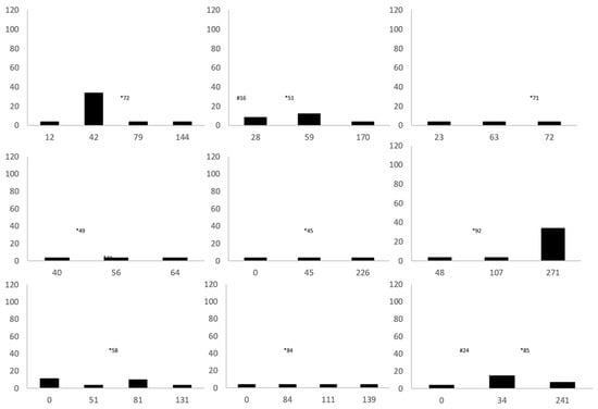
In the original publication [1], there was a mistake in Table 3 and Figure 4 as published. After publication, the authors found an error in the spreadsheet used to calculate vitamin E concentrations. This resulted in all vitamin E concentrations being several-fold lower than they should have been. Corrected concentrations and ratios are provided in the new table. Because all previously reported concentrations were calculated using the same error, relative concentrations and the conclusions on which they are based have not changed.
The corrected Table 3 and Figure 4 appear below. The Abstract was updated with corrected data.
Abstract: The pathogenesis of steatitis that infrequently occurs in cold-stunned Kemp’s ridley sea turtles (KRT; Lepidochelys kempii) has been undetermined. The objectives of this study were to investigate the clinical (n = 23) and histologic findings (n = 11) in cold-stunned KRT, and to compare plasma concentrations of α-tocopherol (vitamin E), thiobarbituric acid reactive substances (TBARS), and the TBARS to vitamin E (T/E) ratio (an assessment of oxidative stress) between cold-stunned KRT with clinically and/or histologically confirmed steatitis (n = 10) and free-ranging KRT (n = 9). None of the cold-stunned turtles had clinically detectable steatitis at admission, and the median number of days to diagnosis of steatitis was 71 (range 33–469). Histologic findings of affected adipose tissue included heterophilic (n = 9) and/or histiocytic (n = 5) steatitis, fat necrosis (n = 7), myonecrosis (n = 2), and intralesional bacteria (n = 6). Cold-stunned KRT had significantly lower plasma vitamin E concentrations (median = 3.5 nmol/g), lower plasma TBARS concentrations (median = 1.6 nmol/g), and higher T/E ratios (median = 0.50), than controls (62.3 nmol/g; 2.1 nmol/g; 0.03, respectively). These results suggest a multifactorial etiology for the development of steatitis in KRT during rehabilitation, including tissue injury, septicemia, and various factors resulting in imbalances of anti-/oxidative status. By highlighting the need to provide more effective vitamin E supplementation, and the need to re-assess specific components of the diet, this study may lead to reduced incidence and improved medical management of steatitis in cold-stunned sea turtles.
Figure 4. Vitamin E plasma concentrations over time in individual cold-stunned Kemp’s ridley sea turtles (Lepidochelys kempii) with steatitis. The X-axis is days of rehabilitation, and the Y-axis is plasma vitamin E concentrations in nmol/g. * represents the day of diagnosis of steatitis. # represents the day of injectable vitamin E administration for patients that received this treatment (n = 2).
Figure 4. Vitamin E plasma concentrations over time in individual cold-stunned Kemp’s ridley sea turtles (Lepidochelys kempii) with steatitis. The X-axis is days of rehabilitation, and the Y-axis is plasma vitamin E concentrations in nmol/g. * represents the day of diagnosis of steatitis. # represents the day of injectable vitamin E administration for patients that received this treatment (n = 2).
Animals 12 01129 g004
Table 3. Mass, straight carapace length, and plasma concentrations of α-tocopherol (vitamin E), thiobarbituric acid reactive substances (TBARS), and TBARS to vitamin E ratios of cold-stunned Kemp’s ridley sea turtles (Lepidochelys kempii) affected with steatitis compared to those of free-ranging immature control turtles.
Table 3. Mass, straight carapace length, and plasma concentrations of α-tocopherol (vitamin E), thiobarbituric acid reactive substances (TBARS), and TBARS to vitamin E ratios of cold-stunned Kemp’s ridley sea turtles (Lepidochelys kempii) affected with steatitis compared to those of free-ranging immature control turtles.
VariablesCold-Stunned Turtles with Diagnosis of SteatitisFree-Ranging Immature Control TurtlesZp
Mass (kg)
N108
Mean ± SD2.9 ± 0.917.9 ± 7.8
Median (minimum, maximum)3.1 (1.6, 4.1)18.1 (3.4, 28.0)3.20<0.01
Straight carapace length (cm)
N108
Mean ± SD27.5 ± 3.146.1 ± 8.7
Median (minimum, maximum)28.5 (22.6, 31.4)47.7 (27.0, 55.3)2.98<0.01
Vitamin E * nmol/g
N109
Mean ± SD3.6 ± 0.761.2 ± 23.3
Median (minimum, maximum)3.5 (2.3, 5.5)62.3 (25.3, 90.9)3.67<0.01
TBARS nmol/g
N109
Mean ± SD1.8 ± 0.62.5 ± 0.7
Median (minimum, maximum)1.6 (1.2, 3.2)2.1 (1.8, 3.9)2.410.01
TBARS to vitamin E ratio
N109
Mean ± SD0.52 ± 0.180.05 ± 0.03
Median (minimum, maximum)0.50 (0.28, 0.92)0.03 (0.02, 0.10)3.63<0.01
* The lowest measurable quantity of vitamin E was 7.0 nmol/g. Samples that measured below the level of detection were defined as 3.5 nmol/g.
The authors apologize for any inconvenience caused and state that the scientific conclusions are unaffected. The original publication has also been updated.

Reference

  1. Turner, R.C.; Innis, C.J.; Stacy, B.A.; Hernandez, J.A.; Hill, R.C.; Scott, K.C.; Frasca, S., Jr.; Garner, M.M.; Burns, R.E.; Arendt, M.D.; et al. Steatitis in Cold-Stunned Kemp’s Ridley Sea Turtles (Lepidochelys kempii). Animals 2021, 11, 898. [Google Scholar] [CrossRef]
Publisher’s Note: MDPI stays neutral with regard to jurisdictional claims in published maps and institutional affiliations.

Share and Cite

MDPI and ACS Style

Turner, R.C.; Innis, C.J.; Stacy, B.A.; Hernandez, J.A.; Hill, R.C.; Scott, K.C.; Frasca, S., Jr.; Garner, M.M.; Burns, R.E.; Arendt, M.D.; et al. Correction: Turner et al. Steatitis in Cold-Stunned Kemp’s Ridley Sea Turtles (Lepidochelys kempii). Animals 2021, 11, 898. Animals 2022, 12, 1129. https://doi.org/10.3390/ani12091129

AMA Style

Turner RC, Innis CJ, Stacy BA, Hernandez JA, Hill RC, Scott KC, Frasca S Jr., Garner MM, Burns RE, Arendt MD, et al. Correction: Turner et al. Steatitis in Cold-Stunned Kemp’s Ridley Sea Turtles (Lepidochelys kempii). Animals 2021, 11, 898. Animals. 2022; 12(9):1129. https://doi.org/10.3390/ani12091129

Chicago/Turabian Style

Turner, Rachel C., Charles J. Innis, Brian A. Stacy, Jorge A. Hernandez, Richard C. Hill, Karen C. Scott, Salvatore Frasca, Jr., Michael M. Garner, Rachel E. Burns, Michael D. Arendt, and et al. 2022. "Correction: Turner et al. Steatitis in Cold-Stunned Kemp’s Ridley Sea Turtles (Lepidochelys kempii). Animals 2021, 11, 898" Animals 12, no. 9: 1129. https://doi.org/10.3390/ani12091129

APA Style

Turner, R. C., Innis, C. J., Stacy, B. A., Hernandez, J. A., Hill, R. C., Scott, K. C., Frasca, S., Jr., Garner, M. M., Burns, R. E., Arendt, M. D., Brisson, J., Norton, T. M., Williams, S. R., Kennedy, A., Alexander, A. B., & Stacy, N. I. (2022). Correction: Turner et al. Steatitis in Cold-Stunned Kemp’s Ridley Sea Turtles (Lepidochelys kempii). Animals 2021, 11, 898. Animals, 12(9), 1129. https://doi.org/10.3390/ani12091129

Note that from the first issue of 2016, this journal uses article numbers instead of page numbers. See further details here.

Article Metrics

Back to TopTop