Variation of Blood Metabolites of Brown Swiss, Holstein-Friesian, and Simmental Cows
Simple Summary
Abstract
1. Introduction
2. Materials and Methods
2.1. Data Collection
2.2. Prediction of Blood Metabolites
2.3. Data Editing
2.4. Statistical Analysis
3. Results and Discussion
3.1. Descriptive Statistics
3.2. Breed Effect
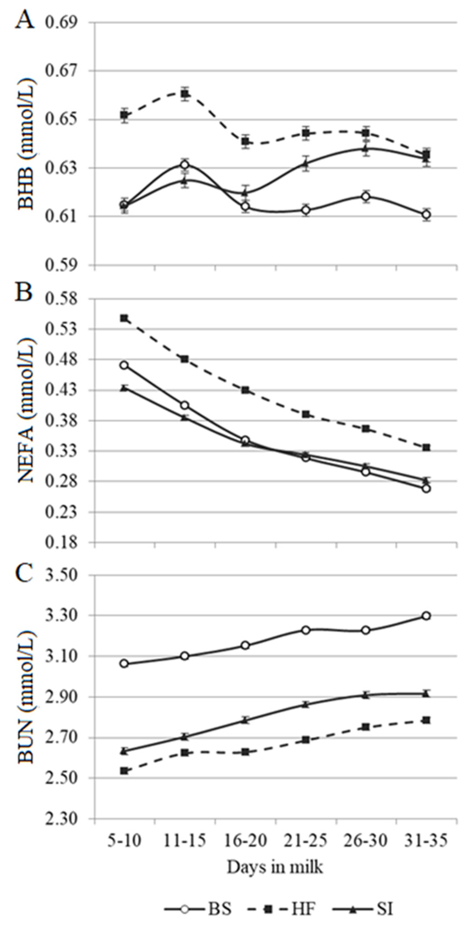
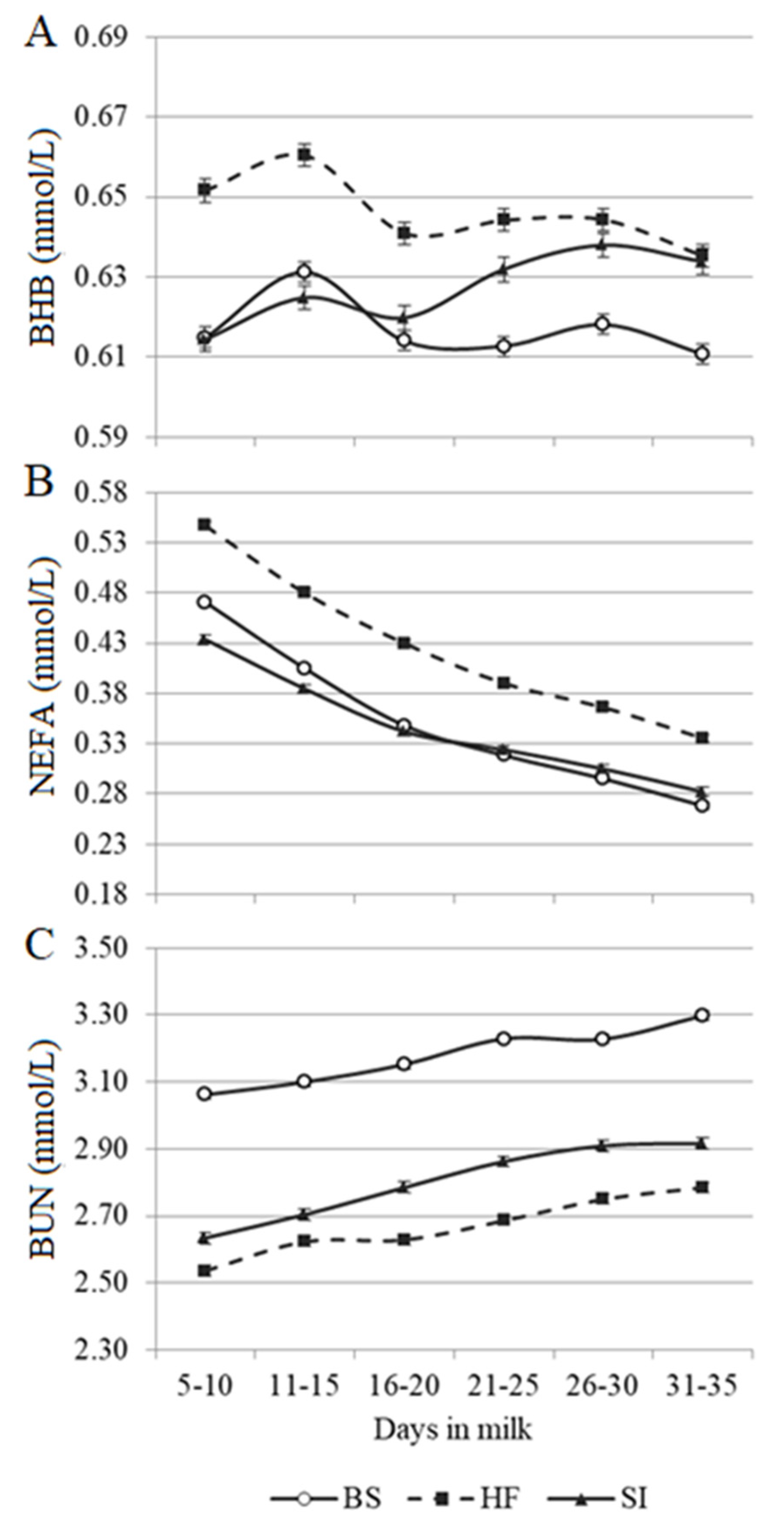
3.3. Interaction Effects
4. Conclusions
Author Contributions
Funding
Acknowledgments
Conflicts of Interest
References
- LeBlanc, S.J. Monitoring metabolic health of dairy cattle in the transition period. J. Reprod. Dev. 2010, 56, S29–S35. [Google Scholar] [CrossRef] [PubMed]
 - McArt, J.A.A.; Nydam, D.V.; Oetzel, G.R.; Overton, T.R.; Ospina, P.A. Elevated non-esterified fatty acids and β-hydroxybutyrate and their association with transition dairy cow performance. Vet. J. 2013, 198, 560–570. [Google Scholar] [CrossRef] [PubMed]
 - Esposito, G.; Irons, P.C.; Webb, E.C.; Chapwanya, A. Interactions between negative energy balance, metabolic diseases, uterine health and immune response in transition dairy cows. Anim. Reprod. Sci. 2014, 144, 60–71. [Google Scholar] [CrossRef] [PubMed]
 - Kohn, R.A.; Dinneen, M.M.; Russek-Cohen, E. Using blood urea nitrogen to predict nitrogen excretion and efficiency of nitrogen utilization in cattle, sheep, goats, horses, pigs, and rats. J. Anim. Sci. 2005, 83, 879–889. [Google Scholar] [CrossRef]
 - Kume, S.; Numata, K.; Takeya, Y.; Miyagawa, Y.; Ikeda, S.; Kitagawa, M.; Nonaka, K.; Oshita, T.; Kozakai, T. Evaluation of urinary nitrogen excretion from plasma urea nitrogen in dry and lactating cows. Asian-Australas. J. Anim. Sci. 2008, 21, 1159–1163. [Google Scholar] [CrossRef]
 - Macrae, A.I.; Whitaker, D.A.; Burrough, E.; Dowell, A.; Kelly, J.M. Use of metabolic profiles for the assessment of dietary adequacy in UK dairy herds. Vet. Rec. 2006, 159, 655–661. [Google Scholar] [CrossRef]
 - Luke, T.D.W.; Rochfort, S.; Wales, W.J.; Bonfatti, V.; Marett, L.; Pryce, J.E. Metabolic profiling of early lactation dairy cows using milk mid-infrared spectra. J. Dairy Sci. 2019, 102, 1747–1760. [Google Scholar] [CrossRef]
 - Seifi, H.A.; Gorji-Dooz, M.; Mohri, M.; Dalir-Naghadeh, B.; Farzaneh, N. Variations of energy-related biochemical metabolites during transition period in dairy cows. Comp. Clin. Pathol. 2007, 16, 253–258. [Google Scholar] [CrossRef]
 - Iwersen, M.; Falkenberg, U.; Voigtsberger, R.; Forderung, D.; Heuwieser, W. Evaluation of an electronic cowside test to detect subclinical ketosis in dairy cows. J. Dairy Sci. 2009, 92, 2618–2624. [Google Scholar] [CrossRef]
 - Benedet, A.; Franzoi, M.; Penasa, M.; Pellattiero, E.; De Marchi, M. Prediction of blood metabolites from milk mid-infrared spectra in early lactation cows. J. Dairy Sci. 2019, 102, 11298–11307. [Google Scholar] [CrossRef]
 - Grelet, C.; Vanlierde, A.; Hostens, M.; Foldager, L.; Salavati, M.; Ingvartsen, K.L.; Crowe, M.; Sorensen, M.T.; Froidmont, E.; Ferris, C.P.; et al. Potential of milk mid-IR spectra to predict metabolic status of cows through blood components and an innovative clustering approach. Animal 2019, 13, 649–658. [Google Scholar] [CrossRef] [PubMed]
 - Chandler, T.L.; Pralle, R.S.; Dórea, J.R.R.; Poock, S.E.; Oetzel, G.R.; Fourdraine, R.H.; White, H.M. Predicting hyperketonemia by logistic and linear regression using test-day milk and performance variables in early-lactation Holstein and Jersey cows. J. Dairy Sci. 2018, 101, 2476–2491. [Google Scholar] [CrossRef] [PubMed]
 - Urdl, M.; Gruber, L.; Obritzhauser, W.; Schauer, A. Metabolic parameters and their relationship to energy balance in multiparous Simmental, Brown Swiss and Holstein cows in the periparturient period as influenced by energy supply pre- and post-calving. J. Anim. Physiol. Anim. Nutr. 2015, 99, 174–189. [Google Scholar] [CrossRef] [PubMed]
 - Franzoi, M.; Niero, G.; Visentin, G.; Penasa, M.; Cassandro, M.; De Marchi, M. Variation of detailed protein composition of cow milk predicted from a large database of mid-infrared spectra. Animals 2019, 9, 176. [Google Scholar] [CrossRef]
 - Visentin, G.; Penasa, M.; Niero, G.; Cassandro, M.; De Marchi, M. Phenotypic characterisation of major mineral composition predicted by mid-infrared spectroscopy in cow milk. Ital. J. Anim. Sci. 2018, 17, 549–556. [Google Scholar] [CrossRef]
 - ICAR (International Committee for Animal Recording). Section 12 – Guidelines for milk analysis. 2019. Available online: https://www.icar.org/Guidelines/12-Milk-Analysis.pdf. (accessed on 25 August 2019).
 - Pralle, R.S.; Weigel, K.W.; White, H.M. Predicting blood β-hydroxybutyrate using milk Fourier transform infrared spectrum, milk composition, and producer-reported variables with multiple linear regression, partial least squares regression, and artificial neural network. J. Dairy Sci. 2018, 101, 4378–4387. [Google Scholar] [CrossRef]
 - Djoković, R.; Kurćubić, V.; Ilić, Z.; Cincović, M.; Lalović, M.; Jašović, B.; Bojkovski, J. Correlation between blood biochemical metabolites milk yield, dry matter intake and energy balance in dairy cows during early and mid lactation. Adv. Diab. Metab. 2017, 5, 26–30. [Google Scholar] [CrossRef]
 - Djoković, R.; Cincović, M.; Belić, B.; Toholj, B.; Davidov, I.; Hristovska, T. Relationship between blood metabolic hormones, metabolites and energy balance in Simmental dairy cows during peripartum period and lactation. Pak. Vet. J. 2015, 35, 163–167. [Google Scholar]
 - Butler, W.R.; Calaman, J.J.; Beam, S.W. Plasma and milk urea nitrogen in relation to pregnancy rate in lactating dairy cattle. J. Anim. Sci. 1996, 74, 858–865. [Google Scholar] [CrossRef]
 - Penasa, M.; Tiezzi, F.; Sturaro, A.; Cassandro, M.; De Marchi, M. A comparison of the predicted coagulation characteristics and composition of milk from multi-breed herds of Holstein-Friesian, Brown Swiss and Simmental cows. Int. Dairy, J. 2014, 35, 6–10. [Google Scholar] [CrossRef]
 - Gottardo, P.; Penasa, M.; Righi, F.; Lopez-Villalobos, N.; Cassandro, M.; De Marchi, M. Fatty acid composition of milk from Holstein-Friesian, Brown Swiss, Simmental and Alpine Grey cows predicted by mid-infrared spectroscopy. Ital. J. Anim. Sci. 2017, 16, 380–389. [Google Scholar] [CrossRef]
 - Manuelian, C.L.; Penasa, M.; Visentin, G.; Benedet, A.; Cassandro, M.; De Marchi, M. Multi-breed herd approach to detect breed differences in composition and fatty acid profile of cow milk. Czech., J. Anim. Sci. 2019, 64, 11–16. [Google Scholar] [CrossRef]
 - Franzoi, M.; Manuelian, C.L.; Penasa, M.; De Marchi, M. Effects of somatic cell score on milk yield and mid-infrared predicted composition and technological traits of Brown Swiss, Holstein Friesian, and Simmental cattle breeds. J. Dairy Sci. 2020, 103, 791–804. [Google Scholar] [CrossRef] [PubMed]
 - Mäntysaari, P.; Mäntysaari, E.A.; Kokkonen, T.; Mehtiö, T.; Kajava, S.; Grelet, C.; Lidauer, P.; Lidauer, M.H. Body and milk traits as indicators of dairy cow energy status in early lactation. J. Dairy Sci. 2019, 102, 7904–7916. [Google Scholar] [CrossRef] [PubMed]
 - Benedet, A.; Manuelian, C.L.; Zidi, A.; Penasa, M.; De Marchi, M. Invited review: β-hydroxybutyrate concentration in blood and milk and its associations with cow performance. Animal 2019, 13, 1676–1689. [Google Scholar] [CrossRef]
 - Gärtner, T.; Gernand, E.; Gottschalk, J.; Donat, K. Relationships between body condition, body condition loss, and serum metabolites during the transition period in primiparous and multiparous cows. J. Dairy Sci. 2019, 102, 9187–9199. [Google Scholar] [CrossRef]
 - Meikle, A.; Kulcsar, M.; Chilliard, Y.; Febel, H.; Delavaud, C.; Cavestany, D.; Chilibroste, P. Effects of parity and body condition at parturition on endocrine and reproductive parameters of the cow. Reproduction 2004, 127, 727–737. [Google Scholar] [CrossRef]
 - Wathes, D.C.; Cheng, Z.; Bourne, N.; Taylor, V.J.; Coffey, M.P.; Brotherstone, S. Differences between primiparous and multiparous dairy cows in the inter-relationships between metabolic traits, milk yield and body condition score in the periparturient period. Domest. Anim. Endocrinol. 2007, 33, 203–225. [Google Scholar] [CrossRef]
 - Yoon, J.T.; Lee, J.H.; Kim, C.K.; Chung, Y.C.; Kim, C.H. Effects of milk production, season, parity and lactation period on variations of milk urea nitrogen concentration and milk components of Holstein dairy cows. Asian-Australas. J. Anim. Sci. 2004, 17, 479–484. [Google Scholar] [CrossRef]
 - Barletta, R.V.; Maturana Filho, M.; Carvalho, P.D.; Del Valle, T.A.; Netto, A.S.; Rennó, F.P.; Mingoti, R.D.; Gandra, J.R.; Mourão, G.B.; Fricke, P.M.; et al. Association of changes among body condition score during the transition period with NEFA and BHBA concentrations, milk production, fertility, and health of Holstein cows. Theriogenology 2017, 104, 30–36. [Google Scholar] [CrossRef]
 - Weber, C.; Hametner, C.; Tuchscherer, A.; Losand, B.; Kanitz, E.; Otten, W.; Singh, S.P.; Bruckmaier, R.M.; Becker, F.; Kanitz, W.; et al. Variation in fat mobilization during early lactation differently affects feed intake, body condition, and lipid and glucose metabolism in high-yielding dairy cows. J. Dairy Sci. 2013, 96, 165–180. [Google Scholar] [CrossRef] [PubMed]
 - Valergakis, G.E.; Oikonomou, G.; Arsenos, G.; Banos, G. Phenotypic association between energy balance indicators and reproductive performance in primiparous Holstein cows. Vet. Rec. 2011, 168, 189. [Google Scholar] [CrossRef] [PubMed]
 - Duffield, T. Subclinical ketosis in lactating dairy cattle. Vet. Clin. N. Am.-Food, A. 2000, 16, 231–253. [Google Scholar] [CrossRef]
 



| Item | Herds | Cows | Records | Parity | DIM (Days) | Herd Size (Cows) | 
|---|---|---|---|---|---|---|
| Breed | n | n | n | mean ± SD | mean ± SD | mean ± SD | 
| BS | 597 | 9992 | 17,600 | 2.86 ± 1.81 | 20.75 ± 8.53 | 16.4 ± 15.05 | 
| HF | 549 | 8203 | 13,854 | 2.61 ± 1.62 | 20.71 ± 8.58 | 14.94 ± 16.65 | 
| SI | 487 | 6371 | 11,747 | 2.86 ± 1.85 | 20.61 ± 8.55 | 13.08 ± 15.40 | 
| Breed combination | ||||||
| BS + HF | 278 | 9633 | 16,849 | - | - | - | 
| BS + SI | 216 | 4823 | 8683 | - | - | - | 
| HF + SI | 168 | 5943 | 10,585 | - | - | - | 
| BS + HF + SI | 103 | 4167 | 7048 | - | - | - | 
| Trait 1 | Mean | SD | CV (%) | Minimum | Maximum | 
|---|---|---|---|---|---|
| Blood metabolite (mmol/L) | |||||
| BHB 2 | 0.65 | 0.23 | 35.05 | 0.19 | 2.78 | 
| NEFA | 0.36 | 0.19 | 53.27 | 0.01 | 1.32 | 
| BUN | 2.87 | 0.84 | 29.37 | 1.20 | 11.53 | 
| Milk trait | |||||
| Milk yield (kg/d) | 30.95 | 6.98 | 22.54 | 9.10 | 56.50 | 
| Fat (%) | 4.10 | 0.74 | 17.93 | 1.68 | 6.87 | 
| Protein (%) | 3.28 | 0.35 | 10.77 | 2.18 | 4.52 | 
| Casein (%) | 2.57 | 0.27 | 10.54 | 1.65 | 3.51 | 
| Lactose (%) | 4.81 | 0.17 | 3.51 | 4.06 | 5.36 | 
| MUN (mg/dL) | 18.87 | 7.17 | 38.00 | 0.10 | 43.40 | 
| SCS | 2.08 | 1.94 | 93.12 | −3.64 | 9.61 | 
| Trait 2 | Brown Swiss | Holstein-Friesian | Simmental | 
|---|---|---|---|
| Blood metabolite (mmol/L) | |||
| BHB 3 | 0.62 (0.001) a | 0.65 (0.002) c | 0.63 (0.002) b | 
| NEFA | 0.35 (0.002) a | 0.42 (0.002) b | 0.35 (0.002) a | 
| BUN | 3.18 (0.01) c | 2.67 (0.01) a | 2.80 (0.01) b | 
| Milk trait | |||
| Milk yield (kg/d) | 29.28 (0.06) a | 32.83 (0.07) b | 29.40 (0.07) a | 
| Fat (%) | 4.13 (0.007) b | 4.06 (0.008) a | 4.05 (0.009) a | 
| Protein (%) | 3.33 (0.003) c | 3.16 (0.003) a | 3.30 (0.004) b | 
| Casein (%) | 2.61 (0.002) c | 2.47 (0.003) a | 2.58 (0.003) b | 
| Lactose (%) | 4.82 (0.002) b | 4.77 (0.002) a | 4.81 (0.002) b | 
| MUN (mg/dL) | 20.80 (0.07) c | 16.42 (0.08) a | 18.47 (0.09) b | 
| SCS | 2.08 (0.02) b | 2.24 (0.02) c | 1.74 (0.03) a | 
© 2020 by the authors. Licensee MDPI, Basel, Switzerland. This article is an open access article distributed under the terms and conditions of the Creative Commons Attribution (CC BY) license (http://creativecommons.org/licenses/by/4.0/).
Share and Cite
Benedet, A.; Franzoi, M.; Manuelian, C.L.; Penasa, M.; De Marchi, M. Variation of Blood Metabolites of Brown Swiss, Holstein-Friesian, and Simmental Cows. Animals 2020, 10, 271. https://doi.org/10.3390/ani10020271
Benedet A, Franzoi M, Manuelian CL, Penasa M, De Marchi M. Variation of Blood Metabolites of Brown Swiss, Holstein-Friesian, and Simmental Cows. Animals. 2020; 10(2):271. https://doi.org/10.3390/ani10020271
Chicago/Turabian StyleBenedet, Anna, Marco Franzoi, Carmen L. Manuelian, Mauro Penasa, and Massimo De Marchi. 2020. "Variation of Blood Metabolites of Brown Swiss, Holstein-Friesian, and Simmental Cows" Animals 10, no. 2: 271. https://doi.org/10.3390/ani10020271
APA StyleBenedet, A., Franzoi, M., Manuelian, C. L., Penasa, M., & De Marchi, M. (2020). Variation of Blood Metabolites of Brown Swiss, Holstein-Friesian, and Simmental Cows. Animals, 10(2), 271. https://doi.org/10.3390/ani10020271
        
