Supplementing Northern Australian Beef Cattle with Desmanthus Tropical Legume Reduces In-Vivo Methane Emissions
Abstract
Simple Summary
Abstract
1. Introduction
2. Materials and Methods
2.1. Animals and Treatments
2.2. Feed Chemical Composition and Analysis
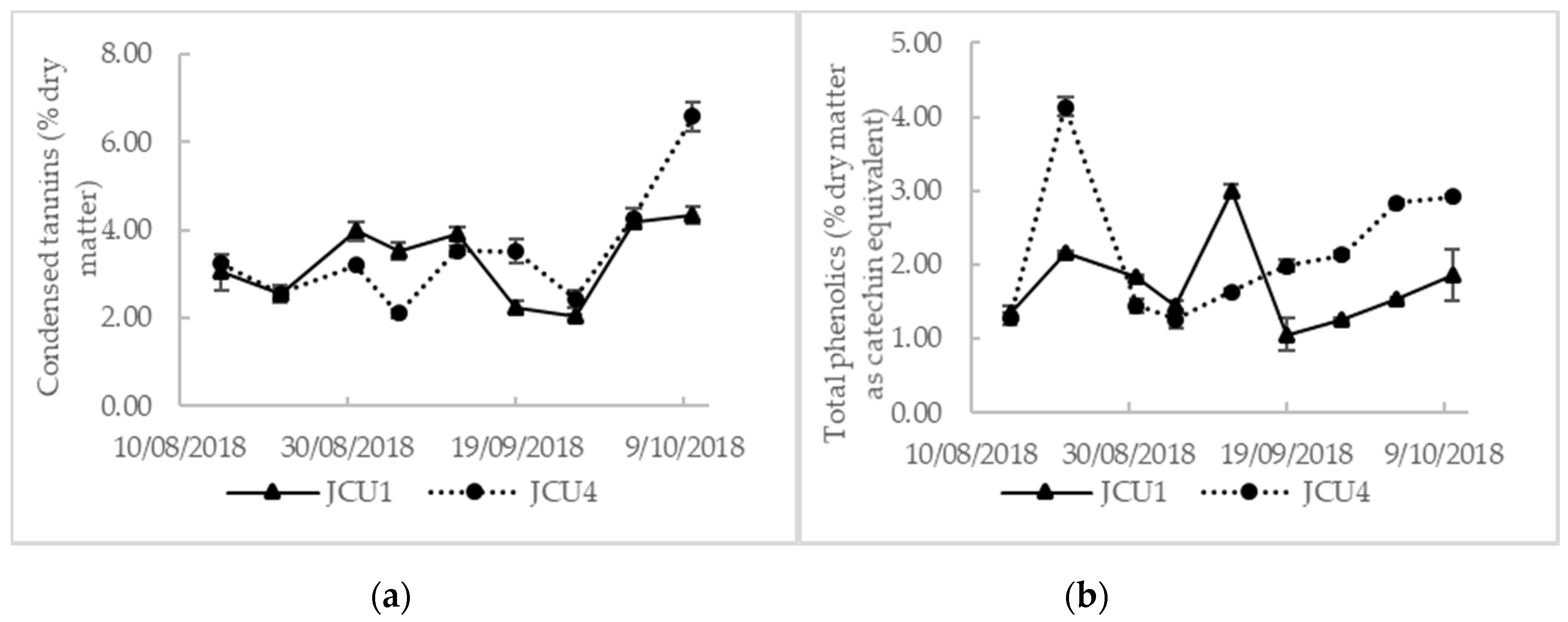
2.3. Extraction and Analyses of Condensed Tannins and Total Phenolics
2.4. Dry Matter Intake and Liveweight Gain
2.5. Rumen Collection and Volatile Fatty Acids (VFA) Analysis
2.6. Measurement of CH4 Emissions
2.7. Statistical Analyses
3. Results
3.1. Chemical Composition
3.2. Cultivar Effects
3.3. Desmanthus Level Effects
4. Discussion
4.1. Chemical Composition
4.2. Cultivar Effects
4.3. Animal Performance
4.4. Effect of Desmanthus Level on CH4 Emissions
4.5. Effect of Desmanthus Level on Rumen Metabolites
5. Conclusions
Author Contributions
Funding
Acknowledgments
Conflicts of Interest
References
- Australian Greenhouse Emissions Information System. National Greenhouse Gas Inventory—UNFCCC Classifications. Available online: https://ageis.climatechange.gov.au/ (accessed on 28 September 2020).
- MLA. Fast Facts Australia’s Beef Industry 2019. Available online: https://www.mla.com.au/globalassets/mla-corporate/prices--markets/documents/trends--analysis/fast-facts--maps/mla-beef-fast-facts-2019.pdf (accessed on 31 August 2020).
- Intergovernmental Panel on Climate Change. Climate Change 2007: The Physical Science Basis; IPCC: Geneva, Switzerland, 2007; Volume 6, p. 333. [Google Scholar]
- Costa, D.F.A.; Poppi, D.P.; McLennan, S. Beef cattle production in northern Australia—Management and supplementation strategies (Bovinocultura de corte do norte da Austrália—Estratégias de manejo e suplementação). In Proceedings of the 7th International Congress on Beef Cattle, Sao Pedro, Brazil, 19–21 December 2012. [Google Scholar]
- Charmley, E.; Stephens, M.L.; Kennedy, P.M. Predicting livestock productivity and methane emissions in northern Australia: Development of a bio-economic modelling approach. Aust. J. Exp. Agric. 2008, 48, 109–113. [Google Scholar] [CrossRef]
- Gardiner, C.P. Developing and commercializing new pasture legumes for clay soils in the semi-arid rangelands of northern Australia: The new Desmanthus cultivars JCU 1–5 and the Progardes story. In Tropical Forage Legumes: Harnessing the Potential of Desmanthus and Other Genera for Heavy Clay Soils; CABI: Wallingford, UK, 2016. [Google Scholar]
- Suybeng, B.; Charmley, E.; Gardiner, C.P.; Malau-Aduli, B.S.; Malau-Aduli, A.E.O. Methane emissions and the use of Desmanthus in beef cattle production in Northern Australia. Animals 2019, 9, 542. [Google Scholar] [CrossRef] [PubMed]
- Vandermeulen, S.; Singh, S.; Ramírez-Restrepo, C.A.; Kinley, R.D.; Gardiner, C.P.; Holtum, J.A.; Hannah, I.; Bindelle, J. In vitro assessment of ruminal fermentation, digestibility and methane production of three species of Desmanthus for application in northern Australian grazing systems. Crop Pasture Sci. 2018, 69, 797–807. [Google Scholar] [CrossRef]
- Durmic, Z.; Ramírez-Restrepo, C.A.; Gardiner, C.; O’Neill, C.J.; Hussein, E.; Vercoe, P.E. Differences in the nutrient concentrations, in vitro methanogenic potential and other fermentative traits of tropical grasses and legumes for beef production systems in northern Australia. J. Sci. Food Agric. 2017, 97, 4075–4086. [Google Scholar] [CrossRef] [PubMed]
- Naumann, H.D.; Tedeschi, L.O.; Muir, J.P.; Lambert, B.D.; Kothmann, M.M. Effect of molecular weight of condensed tannins from warm-season perennial legumes on ruminal methane production in vitro. Biochem. Syst. Ecol. 2013, 50, 154–162. [Google Scholar] [CrossRef]
- Aboagye, I.A.; Beauchemin, K.A. Potential of molecular weight and structure of tannins to reduce methane emissions from ruminants: A review. Animals 2019, 9, 856. [Google Scholar] [CrossRef]
- Luckow, M. Monograph of Desmanthus (leguminosae-mimosoideae). Syst. Bot. Monogr. 1993, 38, 1–166. [Google Scholar] [CrossRef]
- Cook, B.; Pengelly, B.; Schultze-Kraft, R.; Taylor, M.; Burkart, S.; Cardoso Arango, J.A.; Gonzalez Guzman, J.J.; Cox, K.; Jones, C.; Peters, M. Tropical Forages: An Interactive Selection Tool–Digital. Available online: https://apps.lucidcentral.org/tropical_forages/text/intro/index.html (accessed on 23 September 2020).
- Commonwealth of Australia. Plant Breeders Rights-Database Search. Available online: http://pericles.ipaustralia.gov.au/pbr_db/search.cfm (accessed on 3 November 2020).
- Collins, J.; Gardiner, C.; Kempe, N.; Hannah, I. Successful pasture development at Cungelella: A grazier, a researcher and a seed company’s perspective. In Proceedings of the MLA Northern Beef Research Update Conference, Rockhampton, Australia, 15–18 August 2016. [Google Scholar]
- Gardiner, C.; Parker, A. Steer liveweight gains on ProgardesTM/buffel pastures in QLD. In Proceedings of the 29th Biennial Conference of the Australian Society of Animal Production, Christchurch, New Zealand, 2–5 July 2012. [Google Scholar]
- Ngo, T. The effects of diet preference on feed intake, digestibility and nitrogen balance of sheep given Flinders grass (Iseilema spp.) hay and/or Desmanthus leptophyllus ad libitum. Master’s Thesis, James Cook University, Townsville, QLD, Australia, 2017. [Google Scholar]
- Rangel, J.; Gardiner, C. Stimulation of wool growth by Desmanthus spp. as a supplement to a diet of Mitchell grass hay. Trop. Grassl. 2009, 43, 106–111. [Google Scholar]
- Aoetpah, A.; Gardiner, C.; Gummow, B.; Walker, G. Growth and eye muscle area of cross-bred Boer goats fed Desmanthus cultivar JCU 1 hay. In Proceedings of the 32nd Biennial Conference of the Australian Society of Animal Production, Wagga Wagga, NSW, Australia, 2–4 July 2018; p. xxxvi-xxxvi. [Google Scholar]
- Cochran, R.C.; Galyean, M.L. Measurement of in vivo forage digestion by ruminants. In Forage Quality, Evaluation, and Utilization; American Society of Agronomy: Madison, WI, USA, 1994; pp. 613–643. [Google Scholar]
- Sweeney, R.A.; Rexroad, P.R. Comparison of LECO FP-228 “nitrogen determinator” with AOAC copper catalyst Kjeldahl method for crude protein. J. Assoc. Off. Anal. Chem. 1987, 70, 1028–1030. [Google Scholar] [CrossRef]
- Clarke, T.; Flinn, P.C.; McGowan, A.A. Low-cost pepsin-cellulase assays for prediction of digestibility of herbage. Grass Forage Sci. 1982, 37, 147–150. [Google Scholar] [CrossRef]
- CSIRO. Nutrient Requirements of Domesticated Ruminants; CSIRO Publishing: Collingwood, VIC, Australia, 2007.
- Terrill, T.; Rowan, A.; Douglas, G.; Barry, T. Determination of extractable and bound condensed tannin concentrations in forage plants, protein concentrate meals and cereal grains. J. Sci. Food Agric. 1992, 58, 321–329. [Google Scholar] [CrossRef]
- Makkar, H.P. Quantification of Tannins in Tree and Shrub Foliage: A Laboratory Manual; Kluwer Academic Publishers: Dordrecht, The Netherlands, 2003. [Google Scholar]
- Porter, L.J.; Hrstich, L.N.; Chan, B.G. The conversion of procyanidins and prodelphinidins to cyanidin and delphinidin. Phytochemistry 1985, 25, 223–230. [Google Scholar] [CrossRef]
- Wolfe, R.M.; Terrill, T.H.; Muir, J.P. Drying method and origin of standard affect condensed tannin (CT) concentrations in perennial herbaceous legumes using simplified butanol-HCl CT analysis. J. Sci. Food Agric. 2008, 88, 1060–1067. [Google Scholar] [CrossRef]
- Gagen, E.J.; Wang, J.; Padmanabha, J.; Liu, J.; De Carvalho, I.P.C.; Liu, J.; Webb, R.I.; Al Jassim, R.; Morrison, M.; Denman, S.E.; et al. Investigation of a new acetogen isolated from an enrichment of the tammar wallaby forestomach. BMC Microbiol. 2014, 14, 314. [Google Scholar] [CrossRef] [PubMed]
- Chaney, A.L.; Marbach, E.P. Modified reagents for determination of urea and ammonia. Clin. Chem. 1962, 8, 130–132. [Google Scholar] [CrossRef] [PubMed]
- Martinez-Fernandez, G.; Denman, S.E.; Yang, C.; Cheung, J.; Mitsumori, M.; McSweeney, C.S. Methane inhibition alters the microbial community, hydrogen flow, and fermentation response in the rumen of cattle. Front. Microbiol. 2016, 7, 1122. [Google Scholar] [CrossRef]
- Williams, Y.; Klein, L.; Wright, A.-D. A protocol for the operation of open-circuit chambers for measuring methane output in sheep. In Measuring Methane Production from Ruminants; Springer: Dordrecht, The Netherlands, 2007; pp. 111–123. [Google Scholar]
- Gonzalez, V.E.; Hussey, M.; Ortega, S.J. Nutritive value of Desmanthus associated with Kleingrass during the establishment year. Rangeland Ecol. Manag. 2005, 58, 308–314. [Google Scholar] [CrossRef]
- Burns, R.E. Method for estimation of tannin in grain Sorghum. Agron. J. 1971, 63, 511–512. [Google Scholar] [CrossRef]
- Ramirez, R.G.; Neira-Morales, R.R.; Ledezma-Torres, R.A.; Caribaldi-Gonzalez, C.A. Ruminal digestion characteristics and effective degradability of cell wall of browse species from northeastern Mexico. Small Ruminant Res. 2000, 36, 49–55. [Google Scholar] [CrossRef]
- Price, M.L.; Van Scoyoc, S.; Butler, L.G. A critical evaluation of the vanillin reaction as an assay for tannin in sorghum grain. J. Agric. Food Chem. 1978, 26, 1214–1218. [Google Scholar] [CrossRef]
- Martin, D.G. The Nutritional and Anthelmintic Effects of Calliandra Calothyrsus Condensed Tannin in the Gastrointestinal Tract of Merino Sheep. Ph.D. Thesis, James Cook University, Townsville, QLD, Australia, 2016. [Google Scholar]
- Schofield, P.; Mbugua, D.; Pell, A. Analysis of condensed tannins: A review. Anim. Feed Sci. Technol. 2001, 91, 21–40. [Google Scholar] [CrossRef]
- Hristov, A.N.; Etter, R.P.; Ropp, J.K.; Grandeen, K.L. Effect of dietary crude protein level and degradability on ruminal fermentation and nitrogen utilization in lactating dairy cows. J. Anim. Sci. 2004, 82, 3219–3229. [Google Scholar] [CrossRef] [PubMed]
- Wolin, M.; Miller, T.; Stewart, C. Microbe-microbe interactions. In The Rumen Microbial Ecosystem; Hobson, P., Stewart, C., Eds.; Springer: Dordrecht, The Netherlands, 1997; pp. 467–491. [Google Scholar]
- Leng, R.A. Factors affecting the utilization of ‘poor-quality’ forages by ruminants particularly under tropical conditions. Nutr. Res. Rev. 1990, 3, 277–303. [Google Scholar] [CrossRef] [PubMed]
- Hennessy, D.; Williamson, P.; Nolan, J.; Kempton, T.; Leng, R. The roles of energy-or protein-rich supplements in the subtropics for young cattle consuming basal diets that are low in digestible energy and protein. J. Agric. Sci. 1983, 100, 657–666. [Google Scholar] [CrossRef]
- Detmann, E.; Valente, É.E.L.; Batista, E.D.; Huhtanen, P. An evaluation of the performance and efficiency of nitrogen utilization in cattle fed tropical grass pastures with supplementation. Livest. Sci. 2014, 162, 141–153. [Google Scholar] [CrossRef]
- McLennan, S. Nutrient Requirement Tables for Nutrition EDGE Manual, 2015 ed.; Meat and Livestock Australia Limited: North Sydney, Australia, 2015. [Google Scholar]
- Dixon, R.M. Effects of addition of urea to a low nitrogen diet on the rumen digestion of a range of roughages. Aust. J. Agric. Res. 1999, 50, 1091–1097. [Google Scholar] [CrossRef]
- Brandao, V.L.N.; Faciola, A.P. Unveiling the relationships between diet composition and fermentation parameters response in dual-flow continuous culture system: A meta-analytical approach. Transl. Anim. Sci. 2019, 3, 1064–1075. [Google Scholar] [CrossRef]
- Detmann, E.; Paulino, M.F.; Mantovani, H.C.; Filho, S.d.C.V.; Sampaio, C.B.; De Souza, M.A.; Lazzarini, Í.; Detmann, K.S.C. Parameterization of ruminal fibre degradation in low-quality tropical forage using Michaelis–Menten kinetics. Livest. Sci. 2009, 126, 136–146. [Google Scholar] [CrossRef]
- Satter, L.; Slyter, L. Effect of ammonia concentration on rumen microbial protein production in vitro. Br. J. Nutr. 1974, 32, 199–208. [Google Scholar] [CrossRef]
- Kumar, R.; Singh, M. Tannins: Their adverse role in ruminant nutrition. J. Agric. Food Chem. 1984, 32, 447–453. [Google Scholar] [CrossRef]
- Murdiati, T.B.; McSweeney, C.S.; Lowry, J. Complexing of toxic hydrolysable tannins of yellow-wood (Terminalia oblongata) and harendong (Clidemia hirta) with reactive substances: An approach to preventing toxicity. J. Appl. Toxicol. 1991, 11, 333–338. [Google Scholar] [CrossRef] [PubMed]
- Grainger, C.; Clarke, T.; Auldist, M.; Beauchemin, K.; McGinn, S.; Waghorn, G.; Eckard, R.J. Potential use of Acacia mearnsii condensed tannins to reduce methane emissions and nitrogen excretion from grazing dairy cows. Can. J. Anim. Sci. 2009, 89, 241–251. [Google Scholar] [CrossRef]
- Dschaak, C.M.; Williams, C.M.; Holt, M.S.; Eun, J.S.; Young, A.J.; Min, B.R. Effects of supplementing condensed tannin extract on intake, digestion, ruminal fermentation, and milk production of lactating dairy cows1. J. Dairy Sci. 2011, 94, 2508–2519. [Google Scholar] [CrossRef] [PubMed]
- Bhatta, R.; Uyeno, Y.; Tajima, K.; Takenaka, A.; Yabumoto, Y.; Nonaka, I.; Enishi, O.; Kurihara, M. Difference in the nature of tannins on in vitro ruminal methane and volatile fatty acid production and on methanogenic archaea and protozoal populations. J. Dairy Sci. 2009, 92, 5512–5522. [Google Scholar] [CrossRef] [PubMed]
- Pellikaan, W.F.; Stringano, E.; Leenaars, J.; Bongers, D.J.G.M.; Schuppen, S.V.L.-V.; Plant, J.; Mueller-Harvey, I. Evaluating effects of tannins on extent and rate of in vitro gas and CH4 production using an automated pressure evaluation system (APES). Anim. Feed Sci. Technol. 2011, 166–167, 377–390. [Google Scholar] [CrossRef]
- Bhatta, R.; Baruah, L.; Saravanan, M.; Suresh, K.P.; Sampath, K.T. Effect of medicinal and aromatic plants on rumen fermentation, protozoa population and methanogenesis in vitro. J. Anim. Physiol. Anim. Nutr. 2013, 97, 446–456. [Google Scholar] [CrossRef]
- Fagundes, G.M.; Benetel, G.; Carriero, M.M.; Sousa, R.L.M.; Muir, J.P.; Macedo, R.O.; Bueno, I.C.S. Tannin-rich forage as a methane mitigation strategy for cattle and the implications for rumen microbiota. Anim. Prod. Sci. 2020, 12. [Google Scholar] [CrossRef]
- Patra, A.K.; Saxena, J. Exploitation of dietary tannins to improve rumen metabolism and ruminant nutrition. J. Sci. Food Agric. 2011, 91, 24–37. [Google Scholar] [CrossRef]
- Poppi, D.P.; Quigley, S.P.; Silva, T.A.C.C.d.; McLennan, S.R. Challenges of beef cattle production from tropical pastures. Rev. Bras. Zootec. 2018, 47. [Google Scholar] [CrossRef]
- Charmley, E.; Williams, S.R.O.; Moate, P.J.; Hegarty, R.S.; Herd, R.M.; Oddy, V.H.; Reyenga, P.; Staunton, K.M.; Anderson, A.; Hannah, M.C. A universal equation to predict methane production of forage-fed cattle in Australia. Anim. Prod. Sci. 2016, 56, 169–180. [Google Scholar] [CrossRef]
- Jayanegara, A.; Leiber, F.; Kreuzer, M. Meta-analysis of the relationship between dietary tannin level and methane formation in ruminants from in vivo and in vitro experiments. J. Anim. Physiol. Anim. Nutr. 2012, 96, 365–375. [Google Scholar] [CrossRef]
- Jayanegara, A.; Goel, G.; Makkar, H.; Becker, K. Reduction in methane emissions from ruminants by plant secondary metabolites: Effects of polyphenols and saponins. In Proceedings of the International Symposium on Sustainable Improvement of Animal Production and Health, Vienna, Austria, 11 June 2009; Food and Agriculture Organization of the United Nations: Rome, Italy, 2009; pp. 151–157. [Google Scholar]
- McSweeney, C.; Gough, J.; Conlan, L.; Hegarty, M.; Palmer, B.; Krause, D. Nutritive value assessment of the tropical shrub legume Acacia angustissima: Anti-nutritional compounds and in vitro digestibility. Anim. Feed Sci. Technol. 2005, 121, 175–190. [Google Scholar] [CrossRef]
- Petlum, A.; Paengkoum, P.; Liang, J.B.; Vasupen, K.; Paengkoum, S. Molecular weight of condensed tannins of some tropical feed-leaves and their effect on in vitro gas and methane production. Anim. Prod. Sci. 2019. [CrossRef]
- Saminathan, M.; Sieo, C.C.; Gan, H.M.; Abdullah, N.; Wong, C.M.V.L.; Ho, Y.W. Effects of condensed tannin fractions of different molecular weights on population and diversity of bovine rumen methanogenic archaea in vitro, as determined by high-throughput sequencing. Anim. Feed Sci. Technol. 2016, 216, 146–160. [Google Scholar] [CrossRef]
- Naumann, H.D.; Hagerman, A.E.; Lambert, B.D.; Muir, J.P.; Tedeschi, L.O.; Kothmann, M.M. Molecular weight and protein-precipitating ability of condensed tannins from warm-season perennial legumes. J. Plant Interact. 2014, 9, 212–219. [Google Scholar] [CrossRef]
- Aboagye, I.A.; Oba, M.; Koenig, K.M.; Zhao, G.Y.; Beauchemin, K.A. Use of gallic acid and hydrolyzable tannins to reduce methane emission and nitrogen excretion in beef cattle fed a diet containing alfalfa silage1,2. J. Anim. Sci. 2019, 97, 2230–2244. [Google Scholar] [CrossRef]
- Zeller, W.E. Activity, purification, and analysis of condensed tannins: Current state of affairs and future endeavors. Crop Sci. 2019, 59, 886–904. [Google Scholar] [CrossRef]
- Jayanegara, A.; Goel, G.; Makkar, H.P.; Becker, K. Divergence between purified hydrolysable and condensed tannin effects on methane emission, rumen fermentation and microbial population in vitro. Anim. Feed Sci. Technol. 2015, 209, 60–68. [Google Scholar] [CrossRef]
- McAllister, T.A.; Martinez, T.; Bae, H.D.; Muir, A.D.; Yanke, L.J.; Jones, G.A. Characterization of condensed tannins purified from legume forages: Chromophore production, protein precipitation, and inhibitory effects on cellulose digestion. J. Chem. Ecol. 2005, 31, 2049–2068. [Google Scholar] [CrossRef]
- Makkar, H.P.; Blümmel, M.; Becker, K. In vitro effects of and interactions between tannins and saponins and fate of tannins in the rumen. J. Sci. Food Agric. 1995, 69, 481–493. [Google Scholar] [CrossRef]
- Animut, G.; Puchala, R.; Goetsch, A.L.; Patra, A.K.; Sahlu, T.; Varel, V.H.; Wells, J. Methane emission by goats consuming different sources of condensed tannins. Anim. Feed Sci. Technol. 2008, 144, 228–241. [Google Scholar] [CrossRef]
- Singh, S.; Kushwaha, B.P.; Mishra, A.K.; Nag, S.K.; Anele, U.Y.; Singh, A.; Bhattacharya, S.; Gupta, P.K.; Jayashankar, J. Nutritive value and methane production potential of energy and protein rich feedstuffs fed to livestock in India. Indian J. Anim. Sci. 2016, 86, 581–588. [Google Scholar]
- Ramin, M.; Huhtanen, P. Development of equations for predicting methane emissions from ruminants. J. Dairy Sci. 2013, 96, 2476–2493. [Google Scholar] [CrossRef] [PubMed]
- Avila, A.S.; Zambom, M.A.; Faccenda, A.; Fischer, M.L.; Anschau, F.A.; Venturini, T.; Tinini, R.C.R.; Dessbesell, J.G.; Faciola, A.P. Effects of black wattle (Acacia mearnsii) condensed tannins on intake, protozoa population, ruminal fermentation, and nutrient digestibility in Jersey steers. Animals 2020, 10, 1011. [Google Scholar] [CrossRef]
- Dickhoefer, U.; Ahnert, S.; Susenbeth, A. Effects of quebracho tannin extract on rumen fermentation and yield and composition of microbial mass in heifers1. J. Anim. Sci. 2016, 94, 1561–1575. [Google Scholar] [CrossRef]
- Vanegas, J.; González, J.; Carro, M. Influence of protein fermentation and carbohydrate source on in vitro methane production. J. Anim. Physiol. Anim. Nutr. 2017, 101, e288–e296. [Google Scholar] [CrossRef]
- Benchaar, C.; Pomar, C.; Chiquette, J. Evaluation of dietary strategies to reduce methane production in ruminants: A modelling approach. Can. J. Anim. Sci. 2001, 81, 563–574. [Google Scholar] [CrossRef]



| Variable | Hay | JCU1 | JCU4 |
|---|---|---|---|
| Dry matter (%) | 90.9 ± 0.247 | 54.1 ± 1.99 | 42.5 ± 1.39 |
| Crude protein (% DM) | 8.2 ± 0.162 | 11.0 ± 0.378 | 14.6 ± 0.727 |
| Acid detergent fibre (% DM) | 45.0 ± 0.170 | 46.3 ± 0.467 | 36.8 ± 0.912 |
| Neutral detergent fibre (% DM) | 76.2 ± 0.266 | 67.4 ± 0.410 | 58.3 ± 0.886 |
| Metabolizable energy (MJ/kg DM) 1 | 6.4 ± 0.0212 | 6.5 ± 0.0711 | 7.3 ± 0.0893 |
| Total phenolics (% DM as catechin equivalent) | 0.34 ± 0.0271 | 1.7 ± 0.118 | 2.3 ± 0.187 |
| Condensed tannins (% DM) | ND | 3.5 ± 0.194 | 3.7 ± 0.301 |
| Variable | Desmanthus cv. | % Desmanthus Diet | Species p-Value | |||
|---|---|---|---|---|---|---|
| 0 | 15 | 22 | 31 | |||
| Crude protein (% DM) | JCU1 | 8.7 ± 0.155 a | 8.5 ± 0.0336 a | 9.9 ± 0.522 ac | 9.2 ± 0.523 a | 0.0077 |
| JCU4 | 8.6 ± 0.159 a | 8.8 ± 0.228 a | 11.5 ± 0.669 bc | 11.8 ± 0.351 b | ||
| Acid detergent fibre (% DM) | JCU1 | 47.1 ± 0.501 ab | 47.3 ± 0.615 ab | 46.8 ± 0.714 ab | 49.6 ± 0.594 a | 0.037 |
| JCU4 | 46.7 ± 0.602 b | 46.5 ± 0.707 b | 46.1 ± 0.741 b | 47.8 ± 0.424 ab | ||
| Neutral detergent fibre (% DM) | JCU1 | 76.6 ± 0.574 a | 76.9 ± 0.757 a | 73.5 ± 0.483 b | 74.9 ± 0.733 ab | NS |
| JCU4 | 76.1 ± 0.688 a | 77.1 ± 0.929 a | 75.7 ± 0.510 ab | 77.4 ± 0.576 a | ||
| Metabolizable energy (MJ/kg DM) 1 | JCU1 | 6.2 ± 0.0365 a | 6.1 ± 0.0590 a | 6.3 ± 0.0722 a | 7.5 ± 1.01 a | NS |
| JCU4 | 6.2 ± 0.0460 a | 6.1 ± 0.0675 a | 6.3 ± 0.0530 a | 8.2 ± 1.34 a | ||
| Condensed tannins (% DM) | JCU1 | 0 a | 0.53 ± 0.00855 b | 1.1 ± 0.0148 c | 0.92 ± 0.117 c | NS |
| JCU4 | 0 a | 0.40 ± 0.0308 b | 1.1 ± 0.157 c | 0.87 ± 0.0207 c | ||
| Variables | % Desmanthus Diet | RMSE | Linear p-Value | R2 | |||
|---|---|---|---|---|---|---|---|
| 0 | 15 | 22 | 31 | ||||
| Dry matter intake (kg/day) | 3.8 ± 0.189 | 3.6 ± 0.171 | 4.6 ± 0.285 | 4.7 ± 0.265 | 0.59 | 0.00013 | 0.49 |
| DMI/kg LW (%) | 1.3 ± 0.0451 | 1.2 ± 0.0497 | 1.5 ± 0.0759 | 1.6 ± 0.0637 | 1.89 | 0.0001 | 0.36 |
| Daily liveweight gain (kg) | 0.018 ± 0.181 | 0.12 ± 0.0700 | 0.29 ± 0.187 | 0.18 ± 0.0663 | 0.42 | NS | 0.033 |
| CH4 production (g/day) | 76.5 ± 2.74 | 68.7 ± 3.25 | 85.6 ± 4.80 | 81.9 ± 4.52 | 9.65 | 0.030 | 0.50 |
| CH4 yield (g/kg DMI) | 19.1 ± 0.504 | 19.2 ± 0.943 | 18.9 ± 0.445 | 17.5 ± 0.572 | 2.09 | 0.009 | 0.20 |
| Variables | % Desmanthus Diet | RMSE | Linear p-Value | R2 | |||
|---|---|---|---|---|---|---|---|
| 0 | 15 | 22 | 31 | ||||
| Total VFA (mg/100dL) | 49.8 ± 1.38 | 68.8 ± 3.44 | 55.0 ± 2.77 | 74.3 ± 4.41 | 11.25 | 0.0001 | 0.36 |
| Acetate (molar %) | 70.6 ± 0.344 | 74.4 ± 0.447 | 71.9 ± 0.279 | 73.9 ± 0.142 | 1.74 | 0.00044 | 0.19 |
| Propionate (molar %) | 19.4 ± 0.217 | 16.4 ± 0.317 | 18.0 ± 0.193 | 16.5 ± 0.112 | 1.19 | 0.0001 | 0.30 |
| Acetate/Propionate ratio | 3.7 ± 0.0592 | 4.6 ± 0.124 | 4.0 ± 0.0586 | 4.5 ± 0.0374 | 0.40 | 0.00011 | 0.22 |
| Iso-butyrate (molar %) | 0.52 ± 0.0248 | 0.50 ± 0.0311 | 0.44 ± 0.0355 | 0.43 ± 0.0209 | 0.090 | 0.012 | 0.21 |
| n-butyrate (molar %) | 8.2 ± 0.19 | 7.3 ± 0.218 | 8.3 ± 0.136 | 7.7 ± 0.0943 | 0.70 | NS | 0.029 |
| Iso-valerate (molar %) | 0.66 ± 0.0469 | 0.64 ± 0.0481 | 0.51 ± 0.0525 | 0.58 ± 0.0418 | 0.13 | 0.039 | 0.32 |
| n-valerate (molar %) | 0.52 ± 0.0177 | 0.68 ± 0.0254 | 0.71 ± 0.0408 | 0.74 ± 0.0287 | 0.082 | 0.0001 | 0.51 |
| n-caproate (molar %) | 0.13 ± 0.00833 | 0.11 ± 0.0129 | 0.18 ± 0.00690 | 0.13 ± 0.00732 | 0.036 | NS | 0.13 |
| NH3-N (mg/dL) | 6.4 ± 0.550 | 6.6 ± 0.410 | 7.7 ± 1.29 | 8.0 ± 0.489 | 2.77 | 0.033 | 0.16 |
| pH | 7.0 ± 0.0607 | 6.9 ± 0.0583 | 7.1 ± 0.0696 | 6.9 ± 0.0470 | 0.20 | NS | 0.15 |
Publisher’s Note: MDPI stays neutral with regard to jurisdictional claims in published maps and institutional affiliations. |
© 2020 by the authors. Licensee MDPI, Basel, Switzerland. This article is an open access article distributed under the terms and conditions of the Creative Commons Attribution (CC BY) license (http://creativecommons.org/licenses/by/4.0/).
Share and Cite
Suybeng, B.; Charmley, E.; Gardiner, C.P.; Malau-Aduli, B.S.; Malau-Aduli, A.E.O. Supplementing Northern Australian Beef Cattle with Desmanthus Tropical Legume Reduces In-Vivo Methane Emissions. Animals 2020, 10, 2097. https://doi.org/10.3390/ani10112097
Suybeng B, Charmley E, Gardiner CP, Malau-Aduli BS, Malau-Aduli AEO. Supplementing Northern Australian Beef Cattle with Desmanthus Tropical Legume Reduces In-Vivo Methane Emissions. Animals. 2020; 10(11):2097. https://doi.org/10.3390/ani10112097
Chicago/Turabian StyleSuybeng, Bénédicte, Edward Charmley, Christopher P. Gardiner, Bunmi S. Malau-Aduli, and Aduli E.O. Malau-Aduli. 2020. "Supplementing Northern Australian Beef Cattle with Desmanthus Tropical Legume Reduces In-Vivo Methane Emissions" Animals 10, no. 11: 2097. https://doi.org/10.3390/ani10112097
APA StyleSuybeng, B., Charmley, E., Gardiner, C. P., Malau-Aduli, B. S., & Malau-Aduli, A. E. O. (2020). Supplementing Northern Australian Beef Cattle with Desmanthus Tropical Legume Reduces In-Vivo Methane Emissions. Animals, 10(11), 2097. https://doi.org/10.3390/ani10112097

