Abstract
The involvement of DNA methylation in the response to cold stress of two different yeast species (Naganishia antarctica, psychrophilic, and Naganishia albida, psychrotolerant), exhibiting different temperature aptitudes, has been studied. Consecutive incubations at respective optimum temperatures, at 4 °C (cold stress) and at optimum temperatures again, were performed. After Methylation Sensitive Amplified Polymorphism (MSAP) fingerprints a total of 550 and 423 clear and reproducible fragments were amplified from N. antarctica and N. albida strains, respectively. The two Naganishia strains showed a different response in terms of level of DNA methylation during cold stress and recovery from cold stress. The percentage of total methylated fragments in psychrophilic N. antarctica did not show any significant change. On the contrary, the methylation of psychrotolerant N. albida exhibited a nonsignificant increase during the incubation at 4 °C and continued during the recovery step, showing a significant difference if compared with control condition, resembling an uncontrolled response to cold stress. A total of 12 polymorphic fragments were selected, cloned, and sequenced. Four fragments were associated to genes encoding for elongation factor G and for chitin synthase export chaperon. To the best of our knowledge, this is the first study on DNA methylation in the response to cold stress carried out by comparing a psychrophilic and a psychrotolerant yeast species.
1. Introduction
Yeasts are mainly known for their importance in food and beverage fermentations, but they are also naturally distributed in a large variety of environments, controlling crucial ecological processes. Due to their saprotrophic status, yeasts are known to be primary decomposers, but they can also act as mutualists, competitors, parasites, or pathogens [1,2]. Yeasts showed a wide distribution in terrestrial ecosystems: they were found from the upper levels of the atmosphere, to the phyllosphere, in hot and dry deserts, the deepest parts of the oceans, and in ancient glacial ice [3,4,5]. Cold habitats, representing over 80% of the Earth’s total environments, were explored for yeasts occurrence since the 1960s [6,7,8]. In the course of the past decades, a number of yeasts species were isolated from worldwide cold habitats and many new species were described [7,8,9].
Microorganisms (including yeasts) that successfully live and grow in cold environments are usually defined psychrophiles (otherwise labeled as obligate psychrophiles), whereas the organisms that tolerate low temperature are labeled psychrotolerants (or facultative psychrophiles). Conventionally, this classification is based on limits of temperature allowing cell growth. In particular, whereas psychrophiles show an optimum growth temperature of 15 °C or lower and a maximum growth temperature not higher than 20 °C, psychrotolerants exhibit a wider range of growth temperature (optimum at 20–30 °C) and are able to survive or even duplicate until 0 °C [10].
Psychrophilic microorganisms sharing cold ecosystems are frequently subjected to a series of concurrent environmental stresses. Often, low temperature is associated to extremely high pressure, low water activity (Aw), oligotrophic conditions, and exposition to strong UV radiation [6,10].
Modulation of gene expression as responses to cold stress has been studied so far in a few microorganisms, prevalently prokaryotes [11]. Cold shock response (CSR) in Escherichia coli was largely studied through the analysis of cold shock genes expression. Among CS gene products nucleic acid-binding proteins were showed to be the prevalent. These proteins are involved in DNA replication, supercoiling and transcription, RNA degradation and translation, and genesis of the ribosome. Other CS proteins associated to cold shock and expressed during abrupt reduction of temperature comprise protein chaperones (TF and Hsc66), two proteins implicated in trehalose (protective macromolecules) synthesis, and two involved in lipid biosynthesis and cellular metabolism [12]. The induction of these proteins indicates that CSR is involved in developing different strategies for improving their life (or even survival) chances at near-zero temperature, such as supporting in protein folding, enhance membrane fluidity, and accumulate macromolecules in order to obtain a protective effect against the low temperature [6,13,14,15,16,17,18,19,20]. Cold-stressed response of a representative bacterium of food processing industry (Lactobacillus plantarum K25 isolated from kefir) was also analyzed using iTRAQ proteomic method. A large number of proteins differentially expressed at 10 °C and 37 °C were identified, all involved in carbohydrates, aminoacids, and fatty acid biosynthesis (downregulated) and DNA repair system, transcription, and translation (upregulated) [21]. In cyanobacteria the expression of ~100 genes was associated to cold stress. Some of these genes were connected to defend cellular functions by adjustment of membranes composition, as well as transcriptional and translational modulation. Additionally some of the cold-induced genes were associated to a two-component regulatory system, consisting of histidine kinase Hik33 and response regulator Rre26 [22]. Approaches based on global transcript profiling using DNA microarray analysis [23,24], genome-wide screening of mutants [25], differential mRNA performance [26], but also transcriptomic analysis approach have been used to study cold-shock responses in yeasts [23,27,28]. Two strains of the basidiomycetous psychrophilic species Mrakia blollopis have been investigated through capillary electrophoresis-time-of-flight mass spectrometry (CE-TOFMS) in order to detect their metabolomic response to cold stress under sub-zero temperature: the accumulation of high levels of TCA cycle metabolites, lactic acid, aromatic amino acids, and polyamines were interpreted as CSR [20]. Recently the cold-adaptation strategies of Glaciozyma antarctica PI12 were investigated using a transcriptomic analysis approach. Freeze stress (0 °C and −12 °C) showed 168 genes differentially expressed. G. antarctica PI12 exhibited some common adaptation strategies with other yeasts such as Saccharomyces cerevisiae and Mrakia spp., but also unique mechanisms, including the production of antifreeze protein to prevent ice-crystallization inside and outside the cell, and the constitutively expression of several molecular chaperones, detoxifiers of reactive oxygen species (ROS), and transcription and translation genes [29].
Methylation of cytosine to 5-methylcytosine (m5C) is an important epigenetic modification widely detected in bacteria, plants and mammalian cells [30,31]. Several studies have linked this epigenetic regulation to gene expression in development and environmental cues [32]. The presence of such DNA modification in some organisms is controversial and some authors hypothesized the complete absence or very low presence of m5C in some organisms including model species, such as Caenorhabditis elegans, Neurospora crassa, Dictyostelium discoidium, Schistosoma mansoni, and Drosophila melanogaster [33,34,35,36,37,38,39].
Currently, DNA methylation has been studied in a few yeasts species. Some studies postulated the absence of this epigenetic modification while some others demonstrated the existence of a variable degree of DNA methylation [30,39,40,41,42]. Despite these investigations, so far, no studies have been conducted in order to unravel the role of DNA methylation in psychrophilic and psychrotolerant yeasts in the response to the stress induced by low temperatures.
The aim of this study was (i) to investigate the existence of DNA methylation in two yeast species belonging to the same genus (the psychrotolerant Naganishia albida and the psychrophilic Naganishia antarctica) employing the reliable and well-characterized Methylation Sensitive Amplified Polymorphism (MSAP) method and (ii) to assess its possible involvement as adaptation mechanism in response to cold stress.
2. Materials and Methods
2.1. Yeast Strains
The yeast strains used in the present study are Naganisha albida DBVPG 10064 (psychrotolerant) and Naganisha antarctica DBVPG 5271 (psychrophilic), both conserved in the Industrial Yeast Collection, DBVPG of the University of Perugia, Perugia, Italy (www.dbvpg.unipg.it). They were preliminarily selected as model strains: N. albida DBVPG 10064 was isolated from supraglacial sediment of Miage glacier, Mont Blanc, Italian Alps, whereas N. antarctica DBVPG 5271 was isolated from morainic soil of the same glacier characterized by temperature fluctuations (day and night but also summer and winter) [43]. Both strains were routinely maintained in physiological inactive/immobilized state (−80 °C). Working cultures were grown on YEPG (yeast extract 10 g L−1, peptone 10 g L−1, glucose 20 g L−1, agar 15 g L−1) agar slants at 25 °C (N. albida) or 20 °C (N. antarctica).
2.2. Determination of the Optimum Temperature
Forty-eight-hour-old cultures of both strains were inoculated in Petri dishes containing YEPG agar as serial diluted suspensions (10 fold less concentrated) starting from a concentration calibrated to A580 = 0.8 (average cell concentration = 107 cells/mL), incubated at 4, 10, 15, 20, 25, and 30 °C and then inspected for growth. After 7 days, the temperature at which the production of the highest quantity of biomass was found at the most diluted suspension was considered as the optimal.
2.3. Yeasts Growth
Calibrated (A580 = 0.8, which was considered an average cell concentration = 107 cells/mL) suspensions of 48 h-old cells of N. albida DBVPG 10064 and N. antarctica DBVPG 5271 grown at the respective optimum temperatures were obtained. For each strain 3 Erlenmeyer flasks containing 50 mL of YEPG broth were inoculated using 1 mL of the obtained suspensions. Four other additional serial diluted suspensions (10-fold less concentrated) were obtained for each strain starting from the calibrated one. Each suspension was inoculated in Petri dishes containing YEPG agar medium as single spot (10 µL). Flasks and Petri dishes were incubated at the strains’ respective optimum temperature (25 °C for N. albida DBVPG 10064 and 20 °C for N. antarctica DBVPG 5271) until reaching the stationary phase (Figure 1); flasks were incubated in an orbital shaker (110 rpm). After incubation, the individual steps described above were repeated twice, using the cells derived from the development of the previous inoculum as biomass for the formation of the suspension. The biomass derived from the third inoculation at optimum temperature was stored at −20 °C for the subsequent DNA extraction (Figure 1), and partially used to obtain 3 further seeding and incubation cycles at 4 °C until reaching the stationary phase (Figure 1). The biomass derived from the third inoculation at 4 °C was stored at −20 °C for the subsequent DNA extraction, and partially used to obtain 3 further seeding and incubation cycles at respective optimum temperature until reaching the stationary phase. The biomass derived from the third inoculation at optimum temperature was partially stored at −20 °C for the subsequent DNA extraction. As shown in Figure 1, summarizing cells for DNA extraction were sampled three times: at the end of the third cycle of incubation at optimum temperature (control condition), at the end of the third cycle of incubation at 4 °C (cold stress), and at the end of the third cycle of the second incubation at optimum temperature (recovery from cold stress). All the tests were performed in triplicate (three independent biological repetitions). Yeast growth was monitored at the end of each cycle using dry mass weight and viable cell counts on YEPG agar plates [44].
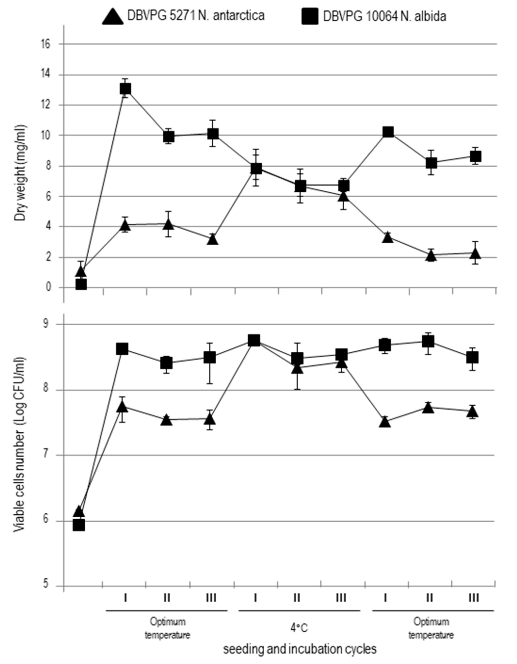
Figure 1.
Experimental research design. The same procedure was applied in triplicate to both N. antarctica DBVPG 5271 and N. albida DBVPG 10064.
2.4. DNA Methylation Analysis
To evaluate the state of methylation in cells completely adapted to the settled temperature conditions, the first and second cycles of each step of incubation were not considered for DNA extraction and subsequent study of methylation events. DNA was extracted as reported in Turchetti et al. [45]. Methylation Sensitive Amplified Polymorphism (MSAP) technique was applied in N. albida DBVPG 10064 and N. antarctica DBVPG 5271 at different temperatures: optimum and cold stress, following the procedure of Marconi et al. [46]. A total of 12 primer combinations were used for selective amplification (Table S3). Each amplified sample was separated on an ABI 3130 XL Genetic Analyzer (Applied Biosystems, Foster City, CA, USA). Amplified fragments were divided into four types based on the presence or absence of bands, which resulted from the differential sensitivity of the fragments to digestion by MspI and HpaII. Type I represents the presence of bands in both enzymes combinations, i.e., EcoRI/HpaII and EcoRI/MspI, type II bands appeared only in EcoRI/HpaII but not in the EcoRI/MspI, type III generated bands in EcoRI/MspI but not in the EcoRI/HpaII, and type IV represents the absence of bands following both enzyme combinations. Type II indicates the hemimethylated state of DNA that results from methylation in one DNA strand, but not in its complementary strand [47]. Type III represents the case of full CG (internal cytosine) methylation, whereas type IV is the case of full methylation at both cytosines.
The procedure of isolating polymorphic fragments was described in Marconi et al. [46]. Polymorphic fragments selected for being differentially methylated were excised from acrylamide gels. In particular, to focus on genes directly involved in cold stress response, the selected fragments were the ones showing an opposite behavior in control and stress condition and the same behavior between control and recovery (when the optimum conditions were restored), e.g., control: methylated; stress: demethylated; recovery: methylated. Each selected fragment was re-amplified and cloned using the TOPO TA cloning kit for sequencing (Thermo Fisher Scientific, Waltham, US). Ten colonies for each transformation were sequenced with the BigDye® Terminator v3.1 Cycle Sequencing Kit, Applied Biosystems Foster City, CA, USA) on an ABI 3130xl Genetic Analyzer sequencer (Applied Biosystems Foster City, CA, USA). Differentially methylated fragments (DMF) sequences were used as queries in a BLAST search.
3. Results
3.1. Yeasts Growth
The growth of N. albida DBVPG 10064 and N. antarctica DBVPG 5271, monitored at the end of each cycle (Figure 1), showed a well-defined trend.
Dry mass weight and viable cell counts (Figure 2) gave similar results. At optimum temperatures, the two strains showed different growth levels: N. albida grown at 25 °C gave a number of cells one logarithmic unit higher than that exhibited by N. antarctica at 20 °C.
Figure 2.
Time course of cell growth of N. antarctica DBVPG 5271 and N. albida DBVPG 10064 during the seeding and incubation cycles. Dry weight and viable cell number were shown. Error bars indicate the SEM.
Interestingly, the biomass of the two strains incubated at 4 °C (cold stress) was not significantly different in any of the three cycles. In particular, N. albida dry mass decreased, whereas N. antarctica increased the total number of cells and dry mass (Figure 2). Finally, when the cultures were incubated back at their individual optimum temperatures, the number of cells of N. antarctica decreased reaching the quantity shown in the first three cycles of incubation while the number of cells of N. albida remained stable in all the three assayed conditions, showing only some fluctuation when dry mass was considered.
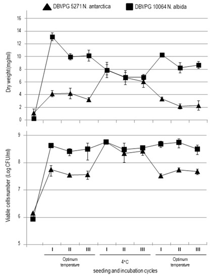
This trend was confirmed by the serial diluted suspensions inoculated as single spots in Petri dishes (Figure 3). At the respective optimum temperatures, the growth of N. albida strain was appreciably more abundant than N. antarctica, but when the strains were moved to 4 °C, the two cultures showed a similar growth. In particular, the observable growth of N. antarctica at 4 °C was similar to that observed at optimum incubation temperature while that of N. albida was less abundant than that at 25 °C (Figure 3).
Figure 3.
Growth of serial diluted suspensions of N. antarctica DBVPG 5271 and N. albida DBVPG 10064 during the seeding and incubation cycles. Each suspension was inoculated in Petri dishes containing YEPG agar medium as single spot (10 µL).
3.2. Effect of Cold stress on DNA Methylation
After MSAP fingerprint, a total of 550 and 423 clear and reproducible fragments were amplified from N. antarctica and N. albida strains, respectively (Table S1). The percentage and the trend of relative level of DNA methylation is reported in Table 1 and Figure 4. Under control conditions (20 °C and 25 °C), the average level of DNA methylation of CCGG sequences was 70.97% ± 2.47% in N. antarctica and 58.31% ± 0.72% in N. albida. When the strains were incubated at low temperature (cold stress), the two Naganishia strains showed an impaired response in terms of DNA methylation: the percentage of total methylated sequence in psychrophilic N. antarctica showed no significant decrease (68.73% ± 4.89%, Table S2) and no significant increase (63.99% ± 4.64%, Table S2) in psychrotolerant N. albida. Notably, by taking into consideration only stress-induced loci, N. antarctica showed a level of demethylation higher than that of methylation (58.01% vs. 41.99%), whereas N. albida had an opposite behavior with a percentage of demethylated loci lower than that of methylated ones (41.27% vs. 58.78 %). After recovery from cold stress condition the psychrophilic N. antarctica showed a level of methylation (74.36% ± 3.10%) and a banding pattern close to those observed under control conditions. In fact, the changes in DNA methylation between T3 and T1 were not statistically significant. On the contrary, the methylation of psychrotolerant N. albida continued to a level that was significantly different (p < 0.001) from that of control conditions (69.50% ± 3.48% vs. 58.31 ± 0.72, Table S2).
Table 1.
DNA methylation changes of N. antarctica DBVPG 5271 and N. albida DBVPG 10064 at different temperatures: optimum and cold stress.
Figure 4.
Relative level of DNA methylation as inferred by MSAP in N. antarctica DBVPG 5271 and N. albida DBVPG 10064 during the seeding and incubation cycles.
Consistent with the approach used by Karan et al. [48], all possible banding patterns between control and cold stress condition in N. antarctica and N. albida strains were compared to identify the changes in cytosine methylation patterns. Sixteen banding patterns were apparent from the MSAP analysis (Table 2). Patterns A–D represent monomorphic classes in which the methylation pattern is the same following either the control or the cold stress condition. Patterns E–J are indicative of cytosine demethylation, whereas possible cytosine methylation events induced by cold stress are represented by patterns K–P.
Table 2.
Analysis of DNA methylation patterns in N. antarctica DBVPG 5271 and N. albida DBVPG 10064 under cold conditions compared with control conditions.
Out of 550 and 423 fragments, 70.8% and 56.2% of CCGG sites remained unchanged after the imposition of cold temperature to psychrophilic N. antarctica and psychrotolerant N. albida strains, respectively (Table 2). Under experimental temperature (4 °C) conditions, the percentages of demethylated sites were 17.63% and 18.12%, whereas the percentages of methylated sites were 11.5% and 25.7% in N. antarctica and N. albida, respectively (Table 2). This indicates more DNA methylation events in cold stressed psychrotolerant than in cold stressed psychrophilic strain (Table 2).
To identify the DNA methylation changes (i.e., demethylation or methylation under experimental conditions and subsequent recovery), all differentially methylated DNA fragments have been clustered into seven classes. As indicated in Table 3, the a–c classes included fragments with DNA demethylation induced by cold stress, the d–f classes comprised methylated DNA fragments induced by cold stress, and the g and h classes included DNA fragments for which cold stress had no effect on their methylation status. Interestingly class d, representing the number of DNA patterns methylated by cold stress that remained methylated after recovery, is higher for N. albida than for N. antarctica (38 vs. 24, Table 3). In particular, after recovery, both strains showed a number of cold stress demethylated loci that were re-methylated (returning to their original status) higher than the unchanged one (a and b classes, respectively; Figure 5). Conversely, the number of cold stressed methylated loci changed after recovery (c class, Figure 5) was lower than that of unchanged loci (d class, Figure 5) in both strains.
Table 3.
Number of DNA methylation changes of N. antarctica DBVPG 5271 and N. albida DBVPG 10064 under cold stress condition with definition of arbitrary classes.
Figure 5.
Demethylated and methylated loci of N. antarctica DBVPG 5271 (A) and N. albida DBVPG 10064 (B) induced by cold stress and changed (a,c) or unchanged (b,d) after recovery as in Table 2.
3.3. Sequencing of Differentially Methylated DNA Fragments
A total of 12 polymorphic fragments were selected, cloned, and sequenced. Four sequences could not be used for BLASTX analysis because they were shorter (55 to 80 bp) than the set limit (100 bp). The sequence length of the residual eight fragments ranged between 116 bp and 287 bp. Two fragments, B1 and B3 (Table 4), did not match to any known sequences of NCBI database (no similarity found). Five other sequences showed a high degree of similarity with those belonging to yeasts (Cryptococcus amylolentus, Cryptococcus neoformans var. grubii, and S. cerevisiae) and one with sequence of a cyanobacterium genus (Cyanothece sp.) (Table 4). Fragments B2 and B7 were particularly interesting; in fact, they were significantly associated to a gene encoding for elongation factor G of Cr. neoformans (OWZ31767). Analogously B6 and B4 showed high similarity with the chitin synthase export chaperon of Cr. amylolentus (XM019140565).
Table 4.
Functional association of the methylated fragments. X = presence of amplification product. The complete scoring of samples is given in Table S1.
4. Discussion
Earth cold environments (i.e., deep seas, cold deserts, and glacial habitats) are known to be colonized by a large microbial diversity, including yeasts, which have developed specific physiological adaptations to increase their chances to survive in such harsh conditions [10]. Some authors demonstrated that laboratory-simulated cold or freeze–thaw conditions may selectively increase the abundance of specific yeast species. These studies were carried out using two strains of Goffeauzyma gilvescens (former Cryptococcus gilvescens) and Cryptococcus sp., which were known to adapt well and duplicate under several stressing conditions such as low nutrients, reduced water availability, low temperature, thermal fluctuations, high UV irradiation. Moreover, after a few cycles, these species became dominant [45,49].
Therefore, the above cold-adapted yeasts can survive or even grow at very low temperatures thanks to their activity of decomposition of organic macromolecules through cold-adapted enzyme secretion, thus playing a key role in the carbon cycle [20,45,50,51]. Moreover, they have evolved additional adaptation strategies such as reduction of growth rates, increase of membrane fluidity (changing the composition of fatty acids), synthesis of protecting proteins and cryoprotectant macromolecules (glycerol and trehalose), and other changes at molecular, physiological and metabolic level [6].
In this context, the present work was aimed at investigating the role of DNA methylation in two different yeast species belonging to the same genus, one psychrophilic (N. antarctica) and one psychrotolerant (N. albida), as a possible response to cold stress. DNA methylation has recently been studied in Candida albicans; Metschnikowia reukaufii; Cryptococcus laurentii (now Papiliotrema laurentii); and some species within the Kluyveromyces, Candida, Schizosaccharomyces, and Saccharomyces genera [39,40,42,52]. Despite the involvement of DNA methylation in the rapid response to biotic and abiotic stresses has been widely investigated in plants [46,53,54,55,56,57], none of the above-mentioned studies have taken into consideration the possible involvement of DNA methylation as a possible response induced in yeast species by cold stress.
As already demonstrated in a few studies [19,58], the growth of psychrophilic yeasts at their optimum temperature was slower than that observed on psychrotolerant ones and this could be considered as an ecological advantage in nutrient-poor environments. This hypothesis is consistent with results herein reported: when the two species were grown at their respective optimum temperature, N. antarctica produced a lower quantity of biomass than that produced by N. albida, but this difference disappeared when the two strains were grown under cold stress (4 °C). In fact, N. albida dry mass decreased consistently, whereas N. antarctica increased reaching the same level of biomass for both species. Therefore, incubation at low temperature did not significantly influence the growth of N. antarctica while it caused a consistent stress for N. albida which, despite its broader range of growing temperature, did not show a prompt adaptation to the incubation at 4 °C.
The putative role of DNA methylation in the different adaptation of the two strains to cold stress was therefore investigated. The experimental design (Figure 1) was aimed at studying the strains only after a period of stability at the incubation conditions reducing transitional physiological changes. To the best of knowledge, this is the first time that a psychrophilic and a psychrotolerant species are compared in relation to epigenetic response to cold stress. Considering only loci specifically induced by cold stress in both strains, a different behavior is evident. N. antarctica, compared to N. albida, exhibits apparently a clear genomic strategy in response to cold by demethylating genes, possibly indicating a successful strategy to survive at low temperatures. This hypothesis is apparently confirmed by the observation that only N. antarctica strain increases either number of viable cells, amount of biomass, or dry weight during stress revealing a distinctive aptitude to efficiently live and proliferate at low temperature. Moreover, when the overall changes in DNA methylation are considered, the number of methylated loci in N. antarctica strain was almost stable in the three steps and this pattern does not occur stochastically in stressed and not stressed cells but seems to be controlled by a stable epigenetic program associated to cold adaptation. On the other hand, it is possible to note a continuous increase of relative level of DNA methylation in N. albida (Figure 4) that could resemble an unpaired response after cold.
The different expression of yeast genes involved in transcription and translation in relation to the decrease in temperature, has received the attention of some authors. The cold response of the model organism S. cerevisiae using transcriptomic approaches is described and reviewed in Sahara et al. [23] and Aguilera et al. [28]. Tronchoni et al. [24] compared the cold stress response of S. cerevisiae (mesophilic species) and Saccharomyces kudriavzevii (psychrotolerant species) using transcriptomic and functional approaches, whereas Wong et al. [29] analyzed the cold-adaptation strategies of G. antarctica PI12. On the other hands, Tsuji [20] focused for the first time the attention to a psychrophilic yeast species (the Antarctic basidiomycetous yeast M. blollopis).
In the present study, the sequences of differentially methylated DNA fragments resulted to be associated to two main genes: elongation factor G and chitin synthase export chaperon. Elongation factors are proteins which facilitate protein translational and mitochondrial efficiency. The alterations in the expression of these genes are in accordance with the previous literature that associates cold shock events to the activation of genes related to the translation machinery as a way to compensate an initial decrease or inefficient synthesis of protein that follows the cold stress [23,24,27,28].
Chitin is one of the minor components of yeasts cell wall in and is normally deposited as a ring in the neck between the mother cell and the emerging bud. In S. cerevisiae mutants, it was demonstrated that delocalized chitin in lateral walls can increase to as much as 20% of the wall components, as cell wall stress response (e.g., cells characterized by a deficit of other wall components as b-glucan, mannan, O-linked glycans, and GPI anchors) [59]. In Cryptococcus neoformans mutants, the defect in the palmitoylation and localization of a few target genes, including Chs3 chitin synthase, reduced their viability when subjected to antifungal activity stress (caspofungin tolerance) [60]. The alteration of the synthesis of chitin could therefore be associated to an increase or a reduction of cell duplication as well as to the lack of wall components due to reduction of proteins/enzymes synthesis. Both events can be associated to cold stress responses and can justify the methylation changes that could cause activation/inactivation of these genes.
In conclusion, DNA methylation has so far been poorly explored in yeast species, even if it represents an ideal approach to evaluate the responses of different individuals to different kinds of stresses. Our work demonstrated an involvement of DNA methylation in the response of psychrophilic and psychrotolerant yeast strains to cold stress. Based on these positive results we are planning a genome-wide investigation of DNA methylation in these and other species under several stresses.
Supplementary Materials
The following are available online at https://www.mdpi.com/2076-2607/8/2/296/s1, Table S1: Scoring dataset MSAP, Table S2: chi square control for the evaluation of the significance of the percentage of DNA methylation of N. antarctica DBVPG 5271 and N. albida DBVPG 10064 during the seeding and incubation cycles, Table S3: Methylation Sensitive Amplified Polymorphism (MSAP) primers combination.
Author Contributions
B.T. and C.S. set up and carried out the microbiological experiments; G.M. and E.A. carried out the DNA methylation analysis; B.T., G.M., P.B., and E.A. designed the study. All authors have read and agreed to the published version of the manuscript.
Funding
This paper has been supported by University of Perugia, Basic Research Funding 2014.
Acknowledgments
The authors thank Teresa Emma Cutrona for English revision.
Conflicts of Interest
The authors declare no conflicts of interest.
References
- Begerow, D.; Kemler, M.; Feige, A.; Yurkov, A. Yeasts in Natural Ecosystems: Ecology; Buzzini, P., Lachance, M.A., Yurkov, A., Eds.; Springer: Berlin, Germany, 2017; pp. 179–210. [Google Scholar]
- Inacio, J.; Daniel, H.M. Yeasts in Natural Ecosystems: Ecology; Buzzini, P., Lachance, M.A., Yurkov, A., Eds.; Springer: Berlin, Germany, 2017; pp. 211–228. [Google Scholar]
- Starmer, W.T.; Lachance, M.A. The Yeasts, a Taxonomic Study, 5th ed.; Kurtzman, C.P., Fell, J.W., Boekhout, T., Eds.; Elsevier: Amsterdam, The Netherlands, 2011; pp. 65–83. [Google Scholar]
- Yurkov, A. Yeasts in Natural Ecosystems: Ecology; Springer: Berlin, Germany, 2017; pp. 101–130. [Google Scholar]
- Peter, G.; Takashima, M.; Cadež, N. Yeasts in Natural Ecosystems: Ecology; Buzzini, P., Lachance, M.A., Yurkov, A., Eds.; Springer: Berlin, Germany, 2017; pp. 39–72. [Google Scholar]
- Buzzini, P.; Branda, E.; Goretti, M.; Turchetti, B. Psychrophilic yeasts from worldwide glacial habitats: Diversity, adaptation strategies and biotechnological potential. FEMS Microbiol. Ecol. 2012, 82, 217–241. [Google Scholar] [CrossRef]
- Buzzini, P.; Turk, M.; Perini, L.; Turchetti, B.; Gunde-Cimerman, N. Yeasts in Natural Ecosystems: Diversity; Buzzini, P., Lachance, M.A., Yurkov, A., Eds.; Springer: Berlin, Germany, 2017; pp. 331–366. [Google Scholar]
- Sannino, C.; Tasselli, G.; Filippucci, S.; Turchetti, B.; Buzzini, P. Yeasts in Natural Ecosystems: Diversity; Buzzini, P., Lachance, M.A., Yurkov, A., Eds.; Springer: Berlin, Germany, 2017; pp. 367–396. [Google Scholar]
- Buondy-Mills, K.I. Cold-Adapted Yeasts: Biodiversity, Adaptation Strategies and Biotechnological Significance; Springer: Berlin, Germany, 2014; pp. 23–48. [Google Scholar]
- Buzzini, P.; Margesin, R. Cold-Adapted Yeasts: Biodiversity, Adaptation Strategies and Biotechnological Significance; Buzzini, P., Margesin, R., Eds.; Springer: Berlin, Germany, 2014; pp. 3–22. [Google Scholar]
- Barria, C.; Malecki, M.; Arraiano, C.M. Bacterial adaptation to cold. Microbiology 2013, 159, 2437–2443. [Google Scholar] [CrossRef] [PubMed]
- Giuliodori, A.M. Stress and Environmental Regulation of Gene Expression and Adaptation in Bacteria; de Bruijn Frans, J., Ed.; John Wiley & Sons: Hoboken, NJ, USA, 2016; pp. 859–872. [Google Scholar]
- Yayanos, A.A. Microbiology to 10,500 m in the deep sea. Annu. Rev. Microbiol. 1995, 49, 777–805. [Google Scholar] [CrossRef] [PubMed]
- Vishniac, H.S. Enigmatic Microorganisms and Life in Extreme Environments; Seckbach, J., Ed.; Kluwer Academic Publishers: Berlin, Germany, 1999; pp. 317–324. [Google Scholar]
- Gerday, C.; Aittaleb, M.; Arpigny, J.L.; Baise, E.; Chessa, J.P.; Garsoux, G.; Petrescu, I.; Feller, G. Psychrophilic enzymes: A thermodynamic challenge. Biochim. Biophys. Acta 1997, 1342, 119–131. [Google Scholar] [CrossRef]
- Gerday, C.; Aittaleb, M.; Bentahir, M.; Chessa, J.P.; Claverie, P.; Collins, T.; D’Amico, S.; Dumont, J.; Garsoux, G.; Georlette, D.; et al. Cold-adapted enzymes: From fundamentals to biotechnology. Trend Biotechnol. 2000, 18, 103–107. [Google Scholar] [CrossRef]
- Morgan-Kiss, R.M.; Priscu, J.C.; Pocock, T.; Gudynaite-Savitch, L.; Huner, N.P. Adaptation and acclimation of photosynthetic microorganisms to permanently cold environments. Microbiol. Mol. Biol. R. 2006, 70, 222–252. [Google Scholar] [CrossRef]
- Margesin, R.; Schinner, F.; Marx, J.C.; Gerday, C. Psychrophiles. From Biodiversity to Biotechnology; Springer: Berlin, Germany, 2008. [Google Scholar]
- Rossi, M.; Buzzini, P.; Cordisco, L.; Amaretti, A.; Sala, M.; Raimondi, S.; Ponzoni, C.; Pagnoni, U.M.; Matteuzzi, D. Growth, lipid accumulation and fatty acid composition in obligate psychrophilic, facultative psychrophilic, and mesophilic yeasts. FEMS Microbiol. Ecol. 2009, 69, 363–372. [Google Scholar] [CrossRef] [PubMed][Green Version]
- Tsuji, M. Cold-stress response in the Antarctic Basidiomycetous yeast Mrakia blollopis. R. Soc. Open Sci. 2016, 3, 160106. [Google Scholar] [CrossRef] [PubMed]
- Liu, S.; Ma, Y.; Zheng, Y.; Zhao, W.; Zhao, X.; Luo, T.; Zhang, J.; Yang, Z. Cold-stressed response of probiotic Lactobacillus plantarum K25 by iTRAQ proteomic analysis. J. Microbiol. Biotechnol. 2019, 29. [Google Scholar] [CrossRef]
- Sinetova, M.A.; Los, D.A. Newinsights in cyanobacterial cold stress responses: Genes, sensors, and molecular triggers. Biochim. Biophys. Acta 2016, 1860, 2391–2403. [Google Scholar] [CrossRef] [PubMed]
- Sahara, T.; Goda, T.; Ohgiya, S. Comprehensive expression analysis of time-dependent genetic responses in yeast cells to low temperature. J. Biol. Chem. 2002, 277, 50015–50021. [Google Scholar] [CrossRef]
- Tronchoni, J.; Medina, V.; Guillamón, J.M.; Querol, A.; Pérez-Torrado, R. Transcriptomics of cryophilic Saccharomyces kudriavzevii reveals the key role of gene translation efficiency in cold-stress adaptations. BMC Genom. 2014, 15, 432. [Google Scholar] [CrossRef] [PubMed]
- Salvadó, Z.; Ramos-Alonso, L.; Tronchoni, J.; Penacho, V.; García-Ríos, E.; Morales, P.; Gonzalez, R.; Guillamón, J.M. Genome-wide identification of genes involved in growth and fermentation activity at low temperature in Saccharomyces cerevisiae. Int. J. Food Microbiol. 2016, 236, 38–46. [Google Scholar] [CrossRef]
- Rodriguez-Vargas, S.; Estruch, F.; Randez-Gil, F. Gene expression analysis of cold and freeze stress in Baker’s yeast. Appl. Environ. Microbiol. 2002, 68, 3024–3030. [Google Scholar] [CrossRef] [PubMed]
- Thieringer, H.A.; Jones, P.G.; Inouye, M. Cold shock and adaptation. BioEssays 1998, 20, 49–57. [Google Scholar] [CrossRef]
- Aguilera, J.; Randez-Gil, F.; Prieto, J.A. Cold response in Saccharomyces cerevisiae: New functions for old mechanisms. FEMS Microbiol. Rev. 2007, 31, 327–341. [Google Scholar] [CrossRef]
- Wong, C.M.V.L.; Boo, S.Y.; Voo, C.L.Y.; Zainuddin, N.; Najimudin, N. comparative transcriptomic analysis provides insights into the cold-adaptation mechanisms of a psychrophilic yeast, Glaciozyma antarctica PI12. Polar Biol. 2019, 42, 541–553. [Google Scholar] [CrossRef]
- Tang, Y.; Gao, X.D.; Wang, Y.; Yuan, B.F.; Feng, Y.Q. Widespread existence of cytosine methylation in yeast DNA measured by gas chromatography/mass spectrometry. Anal. Chem. 2012, 84, 7249–7255. [Google Scholar] [CrossRef]
- Iacobazzi, V.; Castegna, A.; Infantino, V.; Andria, G. Mitochondrial DNA methylation as a next-generation biomarker and diagnostic tool. Mol. Genet. Metab. 2013, 110, 25–34. [Google Scholar] [CrossRef]
- Wibowo, A.; Becker, C.; Marconi, G.; Durr, J.; Price, J.; Hagmann, J.; Papareddy, R.; Putra, H.; Kageyama, J.; Becker, J.; et al. Hyperosmotic stress memory in Arabidopsis is mediated by distinct epigenetically labile sites in the genome and is restricted in the male germline by DNA glycosylase activity. eLife 2016, 5, e13546. [Google Scholar] [CrossRef]
- Simpson, V.J.; Johnson, T.E.; Hammen, R.F. Caenorhabditis elegans DNA does not contain 5-methylcytosine at any time during development or aging. Nucleic Acids Res. 1986, 14, 6711–6719. [Google Scholar] [CrossRef] [PubMed]
- Gowher, H.; Leismann, O.; Jeltsch, A. DNA of Drosophila melanogaster contains 5-methylcytosine. EMBO J. 2000, 19, 6918–6923. [Google Scholar] [CrossRef] [PubMed]
- Tamaru, H.; Selker, E.U. A histone H3 methyltransferase controls DNA methylation in Neurospora crassa. Nature 2001, 414, 277–283. [Google Scholar] [CrossRef] [PubMed]
- Katoh, M.; Curk, T.; Xu, Q.; Zupan, B.; Kuspa, A.; Shaulsky, G. Developmentally regulated DNA methylation in Dictyostelium discoideum. Eukaryot. Cell 2006, 5, 18–25. [Google Scholar] [CrossRef]
- Geyer, K.; Rodríguez López, C.M.; Chalmers, I.W.; Munshi, S.E.; Truscott, M.; Heald, J.; Wilkinson, M.J.; Hoffmann, K.F. Cytosine methylation regulates oviposition in the pathogenic blood fluke Schistosoma mansoni. Nat. Commun. 2011, 2, 424. [Google Scholar] [CrossRef] [PubMed]
- Yi, S. Birds do it, bees do it, worms and ciliates do it too: DNA methylation from unexpected corners of the tree of life. Genom Biol. 2012, 13, 174. [Google Scholar] [CrossRef]
- Capuano, F.; Mülleder, M.; Kok, R.; Blom, H.J.; Ralser, M. Cytosine DNA methylation is found in Drosophila melanogaster but absent in Saccharomyces cerevisiae, Schizosaccharomyces pombe, and other yeast species. Anal. Chem. 2014, 86, 3697–3702. [Google Scholar] [CrossRef]
- Hattman, S.; Kenny, C.; Berger, L.; Pratt, K. Comparative study of DNA methylation in three unicellular eucaryotes. J. Bacteriol. 1978, 135, 1156–1157. [Google Scholar] [CrossRef]
- Bulkowska, U.; Ishikawa, T.; Kurlandzka, A.; Trzcińska-Danielewicz, J.; Derlacz, R.; Fronk, J. Expression of murine DNA methyltransferases Dnmt1 and Dnmt3a in the yeast Saccharomyces cerevisiae. Yeast 2007, 24, 871–882. [Google Scholar] [CrossRef]
- Baum, M.; Carbon, J. DNA methylation regulates phenotype-dependent transcriptional activity in Candida albicans. Proc. Natl. Acad. Sci. USA 2011, 108, 11965–11970. [Google Scholar]
- Turchetti, B.; Goretti, M.; Branda, E.; Diolaiuti, G.; D’Agata, C.; Smiraglia, C.; Onofri, A.; Buzzini, P. Influence of abiotic variables on culturable yeast diversity in two distinct Alpine glaciers. FEMS Microbiol. Ecol. 2013, 86, 327–340. [Google Scholar] [CrossRef] [PubMed]
- Madigan, M.T.; Bender, K.S.; Buckley, D.H.; Sattley, W.M.; Stahl, D.A. Brock Biology of Microorganisms; Pearson: London, UK, 2018. [Google Scholar]
- Turchetti, B.; Buzzini, P.; Goretti, M.; Branda, E.; Diolaiuti, G.; D’Agata, C.; Smiraglia, C.; Vaughan-Martini, A. Psychrophilic yeasts in glacial environments of Alpine glaciers. FEMS Microbiol. Ecol. 2008, 63, 73–83. [Google Scholar] [CrossRef] [PubMed]
- Marconi, G.; Pace, R.; Traini, A.; Raggi, L.; Lutts, S.; Chiusano, M.; Guiducci, M.; Falcinelli, M.; Benincasa, P.; Albertini, E. Use of MSAP Markers to Analyse the Effects of Salt Stress on DNA Methylation in Rapeseed (Brassica napus var. oleifera). PLoS ONE 2013, 8, e75597. [Google Scholar] [CrossRef]
- McClelland, M.; Nelson, M.; Raschke, E. Effect of site- specific modification on restriction endonucleases and DNA modification methyltransferases. Nucl. Acids Res. 1994, 22, 3640–3659. [Google Scholar] [CrossRef] [PubMed]
- Karan, R.; DeLeon, T.; Biradar, H.; Subudhi, P.K. Salt stress induced variation in DNA methylation pattern and its influence on gene expression in contrasting rice genotypes. PLoS ONE 2012, 7, e40203. [Google Scholar] [CrossRef] [PubMed]
- Vimercati, L.; Hamsher, S.; Schubert, Z.; Schmidt, S.K. Growth of high-elevation Cryptococcus sp. during extreme freeze-thaw cycles. Extremophiles 2016, 20, 579–588. [Google Scholar] [CrossRef] [PubMed]
- Singh, P.; Singh, S.M. Characterization of yeast and filamentous fungi isolated from cryoconite holes of Svalbard, Arctic. Polar Biol. 2012, 35, 575–583. [Google Scholar] [CrossRef]
- Zalar, P.; Gunde-Cimerman, N. Cold-Adapted Yeasts: Biodiversity, Adaptation Strategies and Biotechnological Significance; Buzzini, P., Margesin, R., Eds.; Springer: Berlin, Germany, 2014; pp. 49–74. [Google Scholar]
- Herrera, C.M.; Pozo, M.I.; Bazaga, P. Jack of all nectars, master of most: DNA methylation and the epigenetic basis of niche width in a flower-living yeast. Molec. Ecol. 2012, 21, 2602–2616. [Google Scholar] [CrossRef]
- Steward, N.; Kusano, T.; Sano, H. Expression of ZmMET1, a gene encoding a DNA methytransferase from maize, is associated not only with DNA replication in actively proliferating cells but also with altered DNA methylation status in cold-stress quiescent cell. Nucleic Acid Res. 2000, 28, 3250–3259. [Google Scholar] [CrossRef]
- Labra, M.; Ghiani, A.; Citterio, S.; Sgorbati, S.; Sala, F.; Vannini, C.; Ruffini-Castiglione, M.; Bracale, M. Analysis of cytosine methylation pattern in response to water deficit in pea roots tips. Plant Biol. 2002, 4, 694–699. [Google Scholar] [CrossRef]
- Sha, A.H.; Lin, X.H.; Huang, J.B.; Zhang, D.P. Analysis of DNA methylation related to rice adult plant resistance to bacterial blight based on methylation-sensitive AFLP (MSAP) analysis. Mol. Genet. Genom. 2005, 273, 484–490. [Google Scholar] [CrossRef] [PubMed]
- Kou, H.P.; Li, Y.; Song, X.X.; Ou, X.F.; Xing, S.C.; Ma, J.; Von Wettstein, D.; Liu, B. Heritable alteration in DNA methylation induced by nitrogen-deficiency stress accompanies enhanced tolerance by progenies to the stress in rice (Oryza sativa L.). J. Plant Physiol. 2011, 168, 1685–1693. [Google Scholar] [CrossRef] [PubMed]
- Bocchini, M.; Bartucca, M.L.; Ciancaleoni, S.; Mimmo, T.; Cesco, S.; Pii, Y.; Albertini, E.; Del Buono, D. Iron deficiency in barley plants: Phytosiderophore release, iron translocation and DNA methylation. Front. Plant Sci. 2015, 6, 514. [Google Scholar] [CrossRef] [PubMed]
- Margesin, R. Effect of temperature on growth parameters of psychrophilic bacteria and yeasts. Extremophiles 2009, 13, 257–262. [Google Scholar] [CrossRef]
- Orlean, P. Architecture and Biosynthesis of the Saccharomyces cerevisiae Cell Wall. Genetics 2012, 192, 775–818. [Google Scholar] [CrossRef]
- Pianalto, K.M.; Billmyre, R.B.; Telzrow, C.L.; Alspaugh, J.A. Roles for stress response and cell wall biosynthesis pathways in caspofungin tolerance in Cryptococcus neoformans. Genetics 2019, 213, 213–227. [Google Scholar] [CrossRef]
© 2020 by the authors. Licensee MDPI, Basel, Switzerland. This article is an open access article distributed under the terms and conditions of the Creative Commons Attribution (CC BY) license (http://creativecommons.org/licenses/by/4.0/).




