Highly Pathogenic Avian Influenza A(H5N1) Outbreaks in West Java Indonesia 2015–2016: Clinical Manifestation and Associated Risk Factors
Abstract
1. Introduction
2. Materials and Methods
2.1. Poultry Farming in Indonesia
2.2. Description of Outbreaks
2.3. Testing of the Samples
2.4. Collection of Epidemiological Data
2.5. Description of Control Farms
2.6. Data Analysis
3. Results
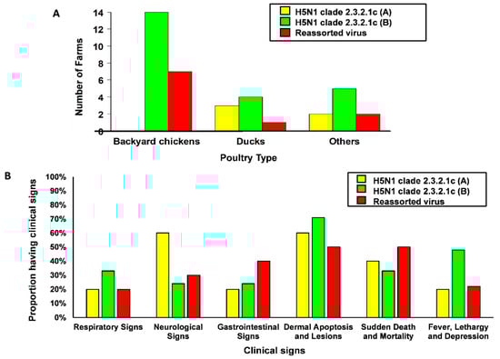
3.1. Outbreaks Description
3.2. Description of Controls
3.3. Factors Associated with HPAI Outbreaks
4. Discussion
5. Conclusions
Supplementary Materials
Author Contributions
Funding
Acknowledgments
Conflicts of Interest
References
- Sims, L.D.; Peiris, M. One Health: The Hong Kong Experience with Avian Influenza. In One Health: The Human-Animal-Environment Interfaces in Emerging Infectious Diseases: The Concept and Examples of a One Health Approach; Mackenzie, J.S., Jeggo, M., Daszak, P., Richt, J.A., Eds.; Springer: Berlin/Heidelberg, Germany, 2013; pp. 281–298. [Google Scholar]
- Bridges, C.B.; Lim, W.; Hu-Primmer, J.; Sims, L.; Fukuda, K.; Mak, K.H.; Rowe, T.; Thompson, W.W.; Conn, L.; Lu, X.; et al. Risk of Influenza A (H5N1) Infection among Poultry Workers, Hong Kong, 1997-1998. J. Infect. Dis. 2002, 185, 1005–1010. [Google Scholar] [CrossRef] [PubMed]
- WHO. Cumulative Number of Confirmed Human Cases for Avian Influenza A(H5N1) Reported to WHO, 2003-2017. Available online: https://www.who.int/influenza/human_animal_interface/H5N1_cumulative_table_archives/en/ (accessed on 5 September 2019).
- Cox, N.J.; Trock, S.C.; Uyeki, T.M. Public health implications of animal influenza viruses. In Animal Influenza; John Wiley & Sons, Inc.: Hoboken, NJ, USA, 2016; pp. 92–132. [Google Scholar]
- Yang, L.; Zhu, W.; Li, X.; Bo, H.; Zhang, Y.; Zou, S.; Gao, R.; Dong, J.; Zhao, X.; Chen, W.; et al. Genesis and Dissemination of Highly Pathogenic H5N6 Avian Influenza Viruses. J. Virol. 2017, 91, e02199-16. [Google Scholar] [CrossRef] [PubMed]
- Chen, L.-J.; Lin, X.-D.; Tian, J.-H.; Liao, Y.; Ying, X.-H.; Shao, J.-W.; Yu, B.; Guo, J.-J.; Wang, M.-R.; Peng, Y.; et al. Diversity, evolution and population dynamics of avian influenza viruses circulating in the live poultry markets in China. Virology 2017, 505, 33–41. [Google Scholar] [CrossRef] [PubMed]
- Tosh, C.; Nagarajan, S.; Kumar, M.; Murugkar, H.V.; Venkatesh, G.; Shukla, S.; Mishra, A.; Mishra, P.; Agarwal, S.; Singh, B.; et al. Multiple introductions of a reassortant H5N1 avian influenza virus of clade 2.3.2.1c with PB2 gene of H9N2 subtype into Indian poultry. Infect. Genetics Evol. 2016, 43, 173–178. [Google Scholar] [CrossRef] [PubMed]
- Wille, M.; Tolf, C.; Avril, A.; Latorre-Margalef, N.; Wallerstrom, S.; Olsen, B. Frequency and patterns of reassortment in natural influenza A virus infection in a reservoir host. Virology 2013, 443. [Google Scholar] [CrossRef] [PubMed]
- Beerens, N.; Heutink, R.; Bergervoet, S.A.; Harders, F.; Bossers, A.; Koch, G. Multiple Reassorted Viruses as Cause of Highly Pathogenic Avian Influenza A(H5N8) Virus Epidemic, the Netherlands, 2016. Emerg. Infect. Dis. 2017, 23, 1974–1981. [Google Scholar] [CrossRef]
- Poetri, O.N.; Van Boven, M.; Claassen, I.; Koch, G.; Wibawan, I.W.; Stegeman, A.; Van den Broek, J.; Bouma, A. Silent spread of highly pathogenic Avian Influenza H5N1 virus amongst vaccinated commercial layers. Res. Vet. Sci. 2014, 97, 637–641. [Google Scholar] [CrossRef]
- Offeddu, V.; Cowling, B.J.; Peiris, J.S.M. Interventions in live poultry markets for the control of avian influenza: A systematic review. One Health 2016, 2, 55–64. [Google Scholar] [CrossRef]
- Pfeiffer, D.U.; Otte, M.J.; Roland-Holst, D.; Zilberman, D. A one health perspective on HPAI H5N1 in the Greater Mekong sub-region. Comp. Immunol. Microbiol. Infect. Dis. 2013, 36, 309–319. [Google Scholar] [CrossRef]
- Smith, G.J.; Naipospos, T.S.; Nguyen, T.D.; de Jong, M.D.; Vijaykrishna, D.; Usman, T.B.; Hassan, S.S.; Nguyen, T.V.; Dao, T.V.; Bui, N.A.; et al. Evolution and adaptation of H5N1 influenza virus in avian and human hosts in Indonesia and Vietnam. Virology 2006, 350, 258–268. [Google Scholar] [CrossRef]
- Kurscheid, J.; Millar, J.; Abdurrahman, M.; Ambarawati, I.G.A.A.; Suadnya, W.; Yusuf, R.P.; Fenwick, S.; Toribio, J.-A.L.M.L. Knowledge and Perceptions of Highly Pathogenic Avian Influenza (HPAI) among Poultry Traders in Live Bird Markets in Bali and Lombok, Indonesia. PLoS ONE 2015, 10, e0139917. [Google Scholar] [CrossRef] [PubMed]
- Kurscheid, J.; Stevenson, M.; Durr, P.; Toribio, J.-A.; Kurscheid, S.; Ambarawati, I.G.A.A.; Abdurrahman, M.; Fenwick, S. Social network analysis of the movement of poultry to and from live bird markets in Bali and Lombok, Indonesia. Transbound. Emerg. Dis. 2017, 64, 2023–2033. [Google Scholar] [CrossRef] [PubMed]
- Henning, J.; Hesterberg, U.W.; Zenal, F.; Schoonman, L.; Brum, E.; McGrane, J. Risk factors for H5 avian influenza virus prevalence on urban live bird markets in Jakarta, Indonesia-Evaluation of long-term environmental surveillance data. PLoS ONE 2019, 14, e0216984. [Google Scholar] [CrossRef] [PubMed]
- Yupiana, Y.; de Vlas, S.J.; Adnan, N.M.; Richardus, J.H. Risk factors of poultry outbreaks and human cases of H5N1 avian influenza virus infection in West Java Province, Indonesia. Int. J. Infect. Dis. 2010, 14, e800–e805. [Google Scholar] [CrossRef] [PubMed]
- Leo, L.; Marius, G.; Jianmei, W.; Christina, C.; Muhammad, H.; Xiangming, X. Identifying risk factors of highly pathogenic avian influenza (H5N1 subtype) in Indonesia. Prev. Vet. Med. 2011, 102, 50–58. [Google Scholar]
- Pfeiffer, D. Assistance in the Geospatial Analysis of HPAI outbreaks in Indonesia. Available online: https://www.google.com.hk/url?sa=t&rct=j&q=&esrc=s&source=web&cd=1&ved=2ahUKEwii1JCjpLnkAhXJDaYKHd9tAS0QFjAAegQIABAC&url=http%3A%2F%2Fwww.fao.org%2Fdocs%2Feims%2Fupload%2F199669%2FPfeiffer_Report_Indonesia_2005.pdf&usg=AOvVaw0e6jKK7CO0gsv7W-oHTp2b (accessed on 5 September 2019).
- Dharmayanti, N.L.P.I.; Hartawan, R.; Pudjiatmoko; Wibawa, H.; Hardiman; Balish, A.; Donis, R.; Davis, C.T.; Samaan, G. Genetic Characterization of Clade 2.3.2.1 Avian Influenza A(H5N1) Viruses, Indonesia, 2012. Emerg. Infect. Dis. 2014, 20, 671–674. [Google Scholar] [CrossRef] [PubMed]
- Smith, G.J.D.; Donis, R.O.; World Health Organization/World Organisation for Animal Health/Food and Agriculture Organization (WHO/OIE/FAO) H5 Evolution Working Group. Nomenclature updates resulting from the evolution of avian influenza A(H5) virus clades 2.1.3.2a, 2.2.1, and 2.3.4 during 2013–2014. Influenza Other Respir. Viruses 2015, 9, 271–276. [Google Scholar]
- Azhar, M.; Lubis, A.S.; Siregar, E.S.; Alders, R.G.; Brum, E.; McGrane, J.; Morgan, I.; Roeder, P. Participatory Disease Surveillance and Response in Indonesia: Strengthening Veterinary Services and Empowering Communities to Prevent and Control Highly Pathogenic Avian Influenza. Avian Dis. 2010, 54, 749–753. [Google Scholar] [CrossRef]
- FAO. FAO Recommendations on the Prevention, Control and Eradication of Highly Pathogenic Avian Influenza (HPAI) in Asia. Available online: https://www.google.com.hk/url?sa=t&rct=j&q=&esrc=s&source=web&cd=1&cad=rja&uact=8&ved=2ahUKEwi5z4GUqbnkAhXMad4KHY3VATsQFjAAegQIABAB&url=http%3A%2F%2Fwww.fao.org%2Ftempref%2Fdocrep%2Ffao%2F008%2Fae930e%2Fae930e02.pdf&usg=AOvVaw0Ya5LgQdDh_om5LtD43kw1 (accessed on 5 September 2019).
- Selleck, P.; Kirkland, P. Avian Influenza. Available online: http://www.agriculture.gov.au/SiteCollectionDocuments/animal/ahl/ANZSDP-Avian-influenza-AI.pdf (accessed on 5 September 2019).
- Heine, H.; Trinidad, L. Rapid Identification and Pathotyping of Virulent IBDV, NDV and AIV Isolates. Available online: https://www.google.com.hk/url?sa=t&rct=j&q=&esrc=s&source=web&cd=1&cad=rja&uact=8&ved=2ahUKEwjag9Xwp7nkAhUPFYgKHWDGBXMQFjAAegQIAhAC&url=https%3A%2F%2Fwww.australianeggs.org.au%2Fdmsdocument%2F566-rapid-identification-and-pathotyping-of-virulent-ibdv-ndv-and-ai-isolates&usg=AOvVaw07m4_7rvBBYbq4h9rwr7p0 (accessed on 5 September 2019).
- Heine, H.; Foord, A.; Wang, J.; Valdeter, S.; Walker, S.; Morrissy, C.; Wong, F.; Meehan, B. Detection of highly pathogenic zoonotic influenza virus H5N6 by reverse-transcriptase quantitative polymerase chain reaction. Virol. J. 2015, 12, 18. [Google Scholar] [CrossRef]
- Karo-karo, D.; Bodewes, R.; Wibawa, H.; Artika, M.; Pribadi, E.S.; Diyantoro; Pramono, W.; Sugama, A.; Hendrayani, N.; Indasari, I.; et al. Reassortments Among Avian Influenza A(H5N1) Viruses Circulating in Indonesia, 2015–2016. Emerg. Infect. Dis. 2019, 25, 465–472. [Google Scholar] [CrossRef]
- Rushton, J.; Viscarra, R.; Bleich, E.G.; McLeod, A. Impact of avian influenza outbreaks in the poultry sectors of five South East Asian countries (Cambodia, Indonesia, Lao PDR, Thailand, Viet Nam) outbreak costs, responses and potential long term control. World’s Poult. Sci. J. 2006, 61, 491–514. [Google Scholar] [CrossRef]
- Wibawa, H.; Karo-Karo, D.; Pribadi, E.S.; Bouma, A.; Bodewes, R.; Vernooij, H.; Diyantoro; Sugama, A.; Muljono, D.H.; Koch, G.; et al. Exploring contacts facilitating transmission of influenza A(H5N1) virus between poultry farms in West Java, Indonesia: A major role for backyard farms? Prev. Vet. Med. 2018, 156, 8–15. [Google Scholar] [CrossRef]
- Robyn, M.; Priyono, W.B.; Kim, L.M.; Brum, E. Diagnostic Sensitivity and Specificity of a Participatory Disease Surveillance Method for Highly Pathogenic Avian Influenza in Household Chicken Flocks in Indonesia. Avian Dis. 2012, 56, 377–380. [Google Scholar] [CrossRef]
- Henning, J.; Wibawa, H.; Morton, J.; Usman, T.B.; Junaidi, A.; Meers, J. Scavenging Ducks and Transmission of Highly Pathogenic Avian Influenza, Java, Indonesia. Emerg. Infect. Dis. 2010, 16, 1244–1250. [Google Scholar] [CrossRef]
- Wibawa, H.; Bingham, J.; Nuradji, H.; Lowther, S.; Payne, J.; Harper, J.; Junaidi, A.; Middleton, D.; Meers, J. Experimentally Infected Domestic Ducks Show Efficient Transmission of Indonesian H5N1 Highly Pathogenic Avian Influenza Virus, but Lack Persistent Viral Shedding. PLoS ONE 2014, 9, e83417. [Google Scholar] [CrossRef]
- Jeong, O.-M.; Kim, M.-C.; Kim, M.-J.; Kang, M.-I.; Kim, H.-R.; Kim, Y.; Joh, S.-J.; Kwon, J.-H.; Lee, Y.-J. Experimental infection of chickens, ducks and quails with the highly pathogenic H5N1 avian influenza virus. J. Vet. Sci. 2009, 10, 53–60. [Google Scholar] [CrossRef]
- Damayanti, R.; Wiyono, A.; Nuradji, H.; Cahyono, M.I. The pathogenecity of H5N1 highly pathogenic Avian Influenza (HPAI) virus clade 2.3.2. in Indonesian indigenous chicken by contact tranmission with infected duck. J. Indones. Trop. Anim. Agric. 2017, 42, 9. [Google Scholar] [CrossRef]
- Wibawa, H.; Bingham, J.; Nuradji, H.; Lowther, S.; Payne, J.; Harper, J.; Wong, F.; Lunt, R.; Junaidi, A.; Middleton, D.; et al. The pathobiology of two Indonesian H5N1 avian influenza viruses representing different clade 2.1 sublineages in chickens and ducks. Comp. Immunol. Microbiol. Infect. Dis. 2013, 36, 175–191. [Google Scholar] [CrossRef]
- Gilbert, M.; Chaitaweesub, P.; Parakamawongsa, T.; Premashthira, S.; Tiensin, T.; Kalpravidh, W.; Wagner, H.; Slingenbergh, J. Free-grazing ducks and highly pathogenic avian influenza, Thailand. Emerg. Infect. Dis. 2006, 12, 227–234. [Google Scholar] [CrossRef]
- Gilbert, M.; Xiao, X.; Pfeiffer, D.U.; Epprecht, M.; Boles, S.; Czarnecki, C.; Chaitaweesub, P.; Kalpravidh, W.; Minh, P.Q.; Otte, M.J.; et al. Mapping H5N1 highly pathogenic avian influenza risk in Southeast Asia. Proc. Natl. Acad. Sci. USA 2008, 105, 4769–4774. [Google Scholar] [CrossRef]
- Loth, L.; Gilbert, M.; Osmani, M.G.; Kalam, A.M.; Xiao, X. Risk factors and clusters of Highly Pathogenic Avian Influenza H5N1 outbreaks in Bangladesh. Prev. Vet. Med. 2010, 96, 104–113. [Google Scholar] [CrossRef]
- Henning, J.; Pfeiffer, D.U.; Stevenson, M.; Yulianto, D.; Priyono, W.; Meers, J. Who Is Spreading Avian Influenza in the Moving Duck Flock Farming Network of Indonesia? PLoS ONE 2016, 11, e0152123. [Google Scholar] [CrossRef]
- Tiensin, T.; Chaitaweesub, P.; Songserm, T.; Chaisingh, A.; Hoonsuwan, W.; Buranathai, C.; Parakamawongsa, T.; Premashthira, S.; Amonsin, A.; Gilbert, M.; et al. Highly pathogenic avian influenza H5N1, Thailand, 2004. Emerg. Infect. Dis. 2005, 11, 1664–1672. [Google Scholar] [CrossRef]
- Capua, I.; Cattoli, G. Prevention and control of highly pathogenic avian influenza with particular reference to H5N1. Virus Res. 2013, 178, 114–120. [Google Scholar] [CrossRef]
- FAO-OIE. BIOSECURITY FOR HIGHLY PATHOGENIC AVIAN INFLUENZA. Available online: https://www.google.com.hk/url?sa=t&rct=j&q=&esrc=s&source=web&cd=1&cad=rja&uact=8&ved=2ahUKEwjQhNifq7nkAhWDMd4KHZAjAI8QFjAAegQIBRAC&url=http%3A%2F%2Fwww.fao.org%2F3%2Fa-i0359e.pdf&usg=AOvVaw0aUv20_f0tyTunoNW5k6_a (accessed on 5 September 2019).
- Nastasijevic, I.; Lakicevic, B.; Petrović, Z. Cold Chain Management in Meat Storage, Distribution and Retail: A Review. Available online: https://iopscience.iop.org/article/10.1088/1755-1315/85/1/012022/meta (accessed on 5 September 2019).
- World Health Organization, Regional Office for South-East Asia. Public Health Interventions for Prevention and Control of Avian Influenza. A Manual for Improving Biosecurity in the Food Supply Chain: Focusing on Live Animal Markets. Available online: https://apps.who.int/iris/bitstream/handle/10665/205700/B0237.pdf?sequence=1&isAllowed=y (accessed on 5 September 2019).
- FAO. LESSONS FROM HPAI. A Technical Stocktaking of Outputs, Outcomes, Best Practices and Lessons Learned from the Fight against Highly Pathogenic Avian Influenza in Asia 2005–2011. Available online: https://www.google.com.hk/url?sa=t&rct=j&q=&esrc=s&source=web&cd=1&cad=rja&uact=8&ved=2ahUKEwjt9tqurLnkAhV1IqYKHQRbBtQQFjAAegQIABAC&url=http%3A%2F%2Fwww.fao.org%2F3%2Fa-i3183e.pdf&usg=AOvVaw0xSqXWIbM8bAO3-dyOr4f9 (accessed on 5 September 2019).




| Factors | Categories | Odds Ratio | |||
|---|---|---|---|---|---|
| Estimate | Std.Err | p-Value | |||
| Univariate Analysis | District | Indramayu | Ref [1] | ||
| Subang | 0.54 | 0.16–1.65 | 0.28851 | ||
| Rest | 0.054 | 0.017–0.15 | 1.46 × 10−7 *** | ||
| Poultry type | Backyard Chickens | Ref [1] | |||
| Ducks | 2.71 | 0.295–44.103 | 0.502 | ||
| Others | 0.031 | 0.008–0.0923 | 8.75 × 10−9 *** | ||
| Farm size | <1000 | Ref [1] | |||
| ≥1000 | 0.015 | 0.0044–0.044 | 5.67 × 10−13 *** | ||
| Housing system | Closed house | Ref [1] | |||
| Open (shed) house | 6.085 | 1.84–27.62 | 0.00689 ** | ||
| Purpose | Household | Ref [1] | |||
| Commercials | 0.054 | 0.015–0.152 | 3.86 × 10−7 *** | ||
| Sector | Sector 4 | Ref [1] | |||
| Sector 3 | 0.038 | 0.0102–0.1082 | 2.58 × 10−8 *** | ||
| Sector 1 | 0.019 | 0.003–0.086 | 1.93 × 10−6 *** | ||
| Inbound contacts | <10 | Ref [1] | |||
| ≥10 | 25.106 | 4.95–458.76 | 0.002 ** | ||
| Multivariate Analysis | Poultry type | Backyard Chickens | Ref [1] | ||
| Ducks | 15.442 | 1.12–706 | 0.082084. | ||
| Others | 1.222 | 0.14–26.58 | 0.869206 | ||
| Farm size | <1000 | Ref [1] | |||
| ≥1000 | 0.0190 | 0.00095–0.12 | 0.000503 *** | ||
| Incoming contacts | <10 | Ref [1] | |||
| ≥10 | 13.536 | 1.65–299.88 | 0.033523 * | ||
© 2019 by the authors. Licensee MDPI, Basel, Switzerland. This article is an open access article distributed under the terms and conditions of the Creative Commons Attribution (CC BY) license (http://creativecommons.org/licenses/by/4.0/).
Share and Cite
Karo-karo, D.; Diyantoro; Pribadi, E.S.; Sudirman, F.X.; Kurniasih, S.W.; Sukirman; Indasari, I.; Muljono, D.H.; Koch, G.; Stegeman, J.A. Highly Pathogenic Avian Influenza A(H5N1) Outbreaks in West Java Indonesia 2015–2016: Clinical Manifestation and Associated Risk Factors. Microorganisms 2019, 7, 327. https://doi.org/10.3390/microorganisms7090327
Karo-karo D, Diyantoro, Pribadi ES, Sudirman FX, Kurniasih SW, Sukirman, Indasari I, Muljono DH, Koch G, Stegeman JA. Highly Pathogenic Avian Influenza A(H5N1) Outbreaks in West Java Indonesia 2015–2016: Clinical Manifestation and Associated Risk Factors. Microorganisms. 2019; 7(9):327. https://doi.org/10.3390/microorganisms7090327
Chicago/Turabian StyleKaro-karo, Desniwaty, Diyantoro, Eko Sugeng Pribadi, Fransiscus Xaverius Sudirman, Sussi Widi Kurniasih, Sukirman, Iin Indasari, David Handojo Muljono, Guus Koch, and Jan Arend Stegeman. 2019. "Highly Pathogenic Avian Influenza A(H5N1) Outbreaks in West Java Indonesia 2015–2016: Clinical Manifestation and Associated Risk Factors" Microorganisms 7, no. 9: 327. https://doi.org/10.3390/microorganisms7090327
APA StyleKaro-karo, D., Diyantoro, Pribadi, E. S., Sudirman, F. X., Kurniasih, S. W., Sukirman, Indasari, I., Muljono, D. H., Koch, G., & Stegeman, J. A. (2019). Highly Pathogenic Avian Influenza A(H5N1) Outbreaks in West Java Indonesia 2015–2016: Clinical Manifestation and Associated Risk Factors. Microorganisms, 7(9), 327. https://doi.org/10.3390/microorganisms7090327
 
        

 
       