Polysaccharide Utilization and Adhesion Enable the Genome-Streamlined Opacimonas immobilis to Adapt to the Diatom Phycosphere
Abstract
1. Introduction
2. Materials and Methods
2.1. Bacterial and Microalgal Strains
2.2. Monitoring of Diatom–Bacterial Co-Cultivation Systems
2.3. Comparative Genomic Analysis of Interaction-Related Genes
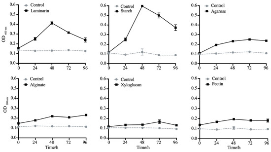
2.4. Detection of Polysaccharides Utilizing Activity
2.5. qRT-PCR Detection of Glycoside Hydrolase-Encoding Genes
3. Results
3.1. Strain LMIT016T Exhibited the Steadiest Growth While Benefiting the Diatom
3.2. LMIT016T Cells Adhered and Formed Dense Aggregates on the Diatom Surface
3.3. Strain LMIT016T Exhibited Genomic Features Supporting Stable Surface Association with the Diatom
3.4. Strain LMIT016T Encodes Genes for Stable Energy Conversion and Nutrient Acquisition
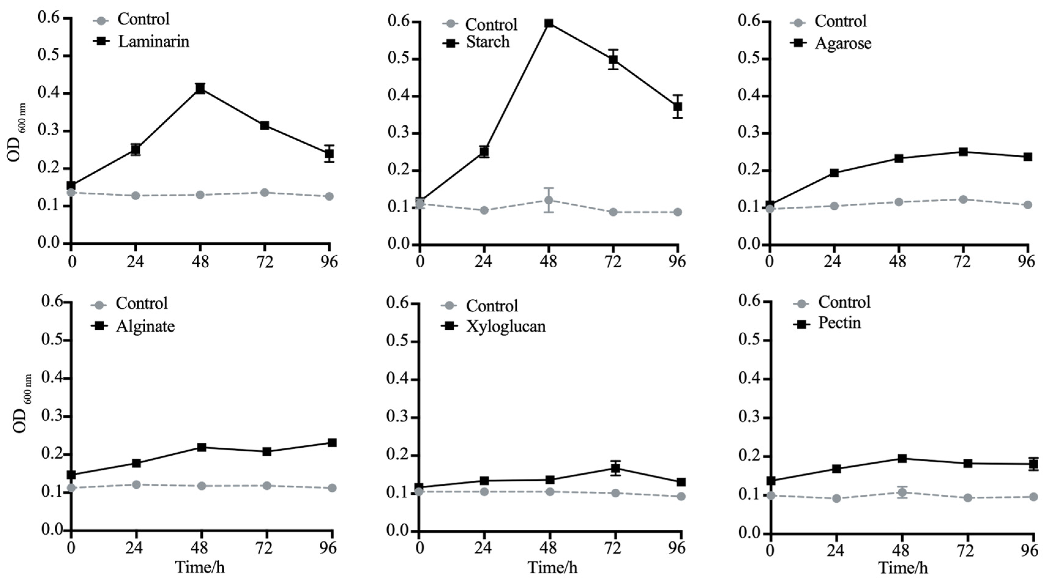
3.5. Strain LMIT016T Efficiently Utilize Laminarin and α-1,4-Glucan via Two PULs
4. Discussion
5. Conclusions
Supplementary Materials
Author Contributions
Funding
Institutional Review Board Statement
Informed Consent Statement
Data Availability Statement
Conflicts of Interest
References
- Seymour, J.R.; Amin, S.A.; Raina, J.-B.; Stocker, R. Zooming in on the phycosphere: The ecological interface for phytoplankton–bacteria relationships. Nat. Microbiol. 2017, 2, 17065. [Google Scholar] [CrossRef]
- Falkowski, P.G. The role of phytoplankton photosynthesis in global biogeochemical cycles. Photosynth. Res. 1994, 39, 235–258. [Google Scholar] [CrossRef]
- Longnecker, K.; Kido Soule, M.C.; Kujawinski, E.B. Dissolved organic matter produced by Thalassiosira pseudonana. Mar. Chem. 2015, 168, 114–123. [Google Scholar] [CrossRef]
- Bell, W.; Mitchell, R. Chemotactic and Growth Responses of Marine Bacteria to Algal Extracellular Products. Biol. Bull. 1972, 143, 265–277. [Google Scholar] [CrossRef]
- Buchan, A.; LeCleir, G.R.; Gulvik, C.A.; González, J.M. Master recyclers: Features and functions of bacteria associated with phytoplankton blooms. Nat. Rev. Microbiol. 2014, 12, 686–698. [Google Scholar] [CrossRef]
- Jiao, N.; Cai, R.; Zheng, Q.; Tang, K.; Liu, J.; Jiao, F.; Wallace, D.; Chen, F.; Li, C.; Amann, R.; et al. Unveiling the enigma of refractory carbon in the ocean. Natl. Sci. Rev. 2018, 5, 459–463. [Google Scholar] [CrossRef]
- Needham, D.M.; Fuhrman, J.A. Pronounced daily succession of phytoplankton, archaea and bacteria following a spring bloom. Nat. Microbiol. 2016, 1, 16005. [Google Scholar] [CrossRef]
- Martin-Platero, A.M.; Cleary, B.; Kauffman, K.; Preheim, S.P.; McGillicuddy, D.J.; Alm, E.J.; Polz, M.F. High resolution time series reveals cohesive but short-lived communities in coastal plankton. Nat. Commun. 2018, 9, 266. [Google Scholar] [CrossRef] [PubMed]
- Croft, M.T.; Lawrence, A.D.; Raux-Deery, E.; Warren, M.J.; Smith, A.G. Algae acquire vitamin B12 through a symbiotic relationship with bacteria. Nature 2005, 438, 90–93. [Google Scholar] [CrossRef] [PubMed]
- Amin, S.A.; Hmelo, L.R.; van Tol, H.M.; Durham, B.P.; Carlson, L.T.; Heal, K.R.; Morales, R.L.; Berthiaume, C.T.; Parker, M.S.; Djunaedi, B.; et al. Interaction and signalling between a cosmopolitan phytoplankton and associated bacteria. Nature 2015, 522, 98–101. [Google Scholar] [CrossRef] [PubMed]
- Azam, F.; Malfatti, F. Microbial structuring of marine ecosystems. Nat. Rev. Microbiol. 2007, 5, 782–791, Erratum in Nat. Rev. Microbiol. 2007, 5, 966. [Google Scholar] [CrossRef]
- Amin Shady, A.; Parker Micaela, S.; Armbrust, E.V. Interactions between Diatoms and Bacteria. Microbiol. Mol. Biol. Rev. 2012, 76, 667–684. [Google Scholar] [CrossRef]
- Yang, X.; Cai, G.; Cai, R.; Gu, H.; Chen, Y.; Xie, J.; Hu, Z.; Wang, H. Redefinition of archetypal phytoplankton-associated bacteria taxa based on globally distributed dinoflagellates and diatoms. bioRxiv 2023. [Google Scholar] [CrossRef]
- Li, D.; He, Y.; Zheng, Y.; Zhang, S.; Zhang, H.; Lin, L.; Wang, D. Metaproteomics reveals unique metabolic niches of dominant bacterial groups in response to rapid regime shifts during a mixed dinoflagellate bloom. Sci. Total Environ. 2022, 823, 153557. [Google Scholar] [CrossRef] [PubMed]
- Pedler, B.E.; Aluwihare, L.I.; Azam, F. Single bacterial strain capable of significant contribution to carbon cycling in the surface ocean. Proc. Natl. Acad. Sci. USA 2014, 111, 7202–7207. [Google Scholar] [CrossRef] [PubMed]
- Baker, B.J.; Sheik, C.S.; Taylor, C.A.; Jain, S.; Bhasi, A.; Cavalcoli, J.D.; Dick, G.J. Community transcriptomic assembly reveals microbes that contribute to deep-sea carbon and nitrogen cycling. ISME J. 2013, 7, 1962–1973, Erratum in ISME J. 2013, 7, 2060. [Google Scholar] [CrossRef] [PubMed]
- García-Martínez, J.; Acinas, S.G.; Massana, R.; Rodríguez-Valera, F. Prevalence and microdiversity of Alteromonas macleodii-like microorganisms in different oceanic regions. Environ. Microbiol. 2002, 4, 42–50. [Google Scholar] [CrossRef]
- Pfreundt, U.; Spungin, D.; Bonnet, S.; Berman-Frank, I.; Hess, W.R. Global analysis of gene expression dynamics within the marine microbial community during the VAHINE mesocosm experiment in the southwest Pacific. Biogeosciences 2016, 13, 4135–4149. [Google Scholar] [CrossRef]
- Hou, S.; López-Pérez, M.; Pfreundt, U.; Belkin, N.; Stüber, K.; Huettel, B.; Reinhardt, R.; Berman-Frank, I.; Rodriguez-Valera, F.; Hess, W.R. Benefit from decline: The primary transcriptome of Alteromonas macleodii str. Te101 during Trichodesmium demise. ISME J. 2018, 12, 981–996. [Google Scholar] [CrossRef]
- Koch, H.; Dürwald, A.; Schweder, T.; Noriega-Ortega, B.; Vidal-Melgosa, S.; Hehemann, J.-H.; Dittmar, T.; Freese, H.M.; Becher, D.; Simon, M.; et al. Biphasic cellular adaptations and ecological implications of Alteromonas macleodii degrading a mixture of algal polysaccharides. ISME J. 2019, 13, 92–103. [Google Scholar] [CrossRef]
- Reintjes, G.; Fuchs, B.M.; Scharfe, M.; Wiltshire, K.H.; Amann, R.; Arnosti, C. Short-term changes in polysaccharide utilization mechanisms of marine bacterioplankton during a spring phytoplankton bloom. Environ. Microbiol. 2020, 22, 1884–1900. [Google Scholar] [CrossRef]
- Cusick, K.D.; Polson, S.W.; Duran, G.; Hill, R.T. Multiple Megaplasmids Confer Extremely High Levels of Metal Tolerance in Alteromonas Strains. Appl. Environ. Microbiol. 2020, 86, e01831-19. [Google Scholar] [CrossRef]
- Clerc, E.E.; Raina, J.-B.; Keegstra, J.M.; Landry, Z.; Pontrelli, S.; Alcolombri, U.; Lambert, B.S.; Anelli, V.; Vincent, F.; Masdeu-Navarro, M.; et al. Strong chemotaxis by marine bacteria towards polysaccharides is enhanced by the abundant organosulfur compound DMSP. Nat. Commun. 2023, 14, 8080. [Google Scholar] [CrossRef]
- McCutcheon, J.P.; Moran, N.A. Extreme genome reduction in symbiotic bacteria. Nat. Rev. Microbiol. 2012, 10, 13–26. [Google Scholar] [CrossRef] [PubMed]
- Giovannoni, S.J.; Cameron Thrash, J.; Temperton, B. Implications of streamlining theory for microbial ecology. ISME J. 2014, 8, 1553–1565. [Google Scholar] [CrossRef]
- Yang, X.; Lin, X.; Cai, R.; Wang, H.; Cai, G. Opacimonas immobilis sp. nov., a novel non-flagellated Alteromonadaceae species with the smallest genome isolated from the phycosphere of the diatom Actinocyclus curvatulus. Arch. Microbiol. 2025, 207, 173. [Google Scholar] [CrossRef] [PubMed]
- Pierella Karlusich, J.J.; Cosnier, K.; Zinger, L.; Henry, N.; Nef, C.; Bernard, G.; Scalco, E.; Dvorak, E.; Acinas, S.G.; Babin, M.; et al. Patterns and drivers of diatom diversity and abundance in the global ocean. Nat. Commun. 2025, 16, 3452. [Google Scholar] [CrossRef]
- Guillard, R.R.L. Culture of Phytoplankton for Feeding Marine Invertebrates. In Culture of Marine Invertebrate Animals: Proceedings —1st Conference on Culture of Marine Invertebrate Animals Greenport; Smith, W.L., Chanley, M.H., Eds.; Springer: Boston, MA, USA, 1975; pp. 29–60. [Google Scholar]
- Richard, A.L.; Farooq, A. Abundant protein-containing particles in the sea. Aquat. Microb. Ecol. 1996, 10, 213–221. [Google Scholar] [CrossRef]
- Palanisamy, P.; Crossia, W.F.; Prakash, D.; Antonyraj, A.P.M. Nanoformulation of stavudine-loaded niosomes: Enhancing drug delivery, entrapment efficiency, and controlled release for improved antiretroviral therapy. J. Orthop. Rep. 2025, 100677. [Google Scholar] [CrossRef]
- Zoccarato, L.; Sher, D.; Miki, T.; Segrè, D.; Grossart, H.-P. A comparative whole-genome approach identifies bacterial traits for marine microbial interactions. Commun. Biol. 2022, 5, 276. [Google Scholar] [CrossRef]
- Mann, A.J.; Hahnke, R.L.; Huang, S.; Werner, J.; Xing, P.; Barbeyron, T.; Huettel, B.; Stüber, K.; Reinhardt, R.; Harder, J.; et al. The Genome of the Alga-Associated Marine Flavobacterium Formosa agariphila KMM 3901T Reveals a Broad Potential for Degradation of Algal Polysaccharides. Appl. Environ. Microbiol. 2013, 79, 6813–6822. [Google Scholar] [CrossRef]
- Zech, H.; Thole, S.; Schreiber, K.; Kalhöfer, D.; Voget, S.; Brinkhoff, T.; Simon, M.; Schomburg, D.; Rabus, R. Growth phase-dependent global protein and metabolite profiles of Phaeobacter gallaeciensis strain DSM 17395, a member of the marine Roseobacter-clade. Proteomics 2009, 9, 3677–3697. [Google Scholar] [CrossRef]
- Robb, M.; Hobbs, J.K.; Boraston, A.B. Separation and Visualization of Glycans by Fluorophore-Assisted Carbohydrate Electrophoresis. In Carbohydrate-Protein Interactions: Methods and Protocols; Abbott, D.W., Zandberg, W.F., Eds.; Springer: New York, NY, USA, 2023; pp. 215–222. [Google Scholar]
- Livak, K.J.; Schmittgen, T.D. Analysis of Relative Gene Expression Data Using Real-Time Quantitative PCR and the 2−ΔΔCT Method. Methods 2001, 25, 402–408. [Google Scholar] [CrossRef] [PubMed]
- Hussain, S.A.; Ghimouz, R.; Panda, S.P.; Panigrahy, U.P.; Marunganathan, V.; Shaik, M.R.; Deepak, P.; Thiyagarajulu, N.; Shaik, B.; Antonyraj, A.P.M.; et al. Synergistic effects of copper oxide-stigmasterol nanoparticles: A novel therapeutic strategy for oral pathogen biofilms and oral cancer. Mater. Technol. 2025, 40, 2476999. [Google Scholar] [CrossRef]
- Hengge, R. Principles of c-di-GMP signalling in bacteria. Nat. Rev. Microbiol. 2009, 7, 263–273. [Google Scholar] [CrossRef] [PubMed]
- Khan, F.; Jeong, G.-J.; Tabassum, N.; Kim, Y.-M. Functional diversity of c-di-GMP receptors in prokaryotic and eukaryotic systems. Cell Commun. Signal. 2023, 21, 259. [Google Scholar] [CrossRef]
- Whitfield, C.; Trent, M.S. Biosynthesis and Export of Bacterial Lipopolysaccharides*. Annu. Rev. Biochem. 2014, 83, 99–128. [Google Scholar] [CrossRef]
- Hinsa, S.M.; Espinosa-Urgel, M.; Ramos, J.L.; O’Toole, G.A. Transition from reversible to irreversible attachment during biofilm formation by Pseudomonas fluorescens WCS365 requires an ABC transporter and a large secreted protein. Mol. Microbiol. 2003, 49, 905–918. [Google Scholar] [CrossRef]
- Whitfield, C.; Wear, S.S.; Sande, C. Assembly of Bacterial Capsular Polysaccharides and Exopolysaccharides. Annu. Rev. Microbiol. 2020, 74, 521–543. [Google Scholar] [CrossRef]
- Smith, B.L.; Fernando, S.; King, M.D. Escherichia coli resistance mechanism AcrAB-TolC efflux pump interactions with commonly used antibiotics: A molecular dynamics study. Sci. Rep. 2024, 14, 2742, Erratum in Sci. Rep. 2024, 14, 29940. [Google Scholar] [CrossRef]
- Zhu, Y.; Dou, Q.; Du, L.; Wang, Y. QseB/QseC: A two-component system globally regulating bacterial behaviors. Trends Microbiol. 2023, 31, 749–762. [Google Scholar] [CrossRef]
- Mettert, E.L.; Kiley, P.J. How Is Fe-S Cluster Formation Regulated? Annu. Rev. Microbiol. 2015, 69, 505–526. [Google Scholar] [CrossRef]
- Saavedra, D.E.M.; González, J.M.; Klaushofer, K.; Breyer, E.; Afjehi-Sadat, L.; Bulgheresi, S.; Liao, L.; Dong, X.; Patrick, W.M.; Baltar, F. Multifunctionally diverse alkaline phosphatases of Alteromonas drive the phosphorus cycle in the ocean. Nat. Commun. 2025, 16, 9789. [Google Scholar] [CrossRef] [PubMed]
- Olofsson, M.; Ferrer-González, F.X.; Uchimiya, M.; Schreier, J.E.; Holderman, N.R.; Smith, C.B.; Edison, A.S.; Moran, M.A. Growth-stage-related shifts in diatom endometabolome composition set the stage for bacterial heterotrophy. ISME Commun. 2022, 2, 28. [Google Scholar] [CrossRef] [PubMed]
- Percival, E.G.V.; Ross, A.G. 156. The constitution of laminarin. Part II. The soluble laminarin of Laminaria digitata. J. Chem. Soc. 1951, 720–726. [Google Scholar] [CrossRef]
- Michel, G.; Tonon, T.; Scornet, D.; Cock, J.M.; Kloareg, B. Central and storage carbon metabolism of the brown alga Ectocarpus siliculosus: Insights into the origin and evolution of storage carbohydrates in Eukaryotes. New Phytol. 2010, 188, 67–81. [Google Scholar] [CrossRef]
- Reintjes, G.; Arnosti, C.; Fuchs, B.M.; Amann, R. An alternative polysaccharide uptake mechanism of marine bacteria. ISME J. 2017, 11, 1640–1650. [Google Scholar] [CrossRef] [PubMed]
- Ramanan, R.; Kim, B.-H.; Cho, D.-H.; Oh, H.-M.; Kim, H.-S. Algae–bacteria interactions: Evolution, ecology and emerging applications. Biotechnol. Adv. 2016, 34, 14–29. [Google Scholar] [CrossRef]
- Raina, J.-B.; Fernandez, V.; Lambert, B.; Stocker, R.; Seymour, J.R. The role of microbial motility and chemotaxis in symbiosis. Nat. Rev. Microbiol. 2019, 17, 284–294. [Google Scholar] [CrossRef]
- Stocker, R.; Seymour, J.R. Ecology and Physics of Bacterial Chemotaxis in the Ocean. Microbiol. Mol. Biol. Rev. 2012, 76, 792–812. [Google Scholar] [CrossRef]
- Raina, J.-B.; Giardina, M.; Brumley, D.R.; Clode, P.L.; Pernice, M.; Guagliardo, P.; Bougoure, J.; Mendis, H.; Smriga, S.; Sonnenschein, E.C.; et al. Chemotaxis increases metabolic exchanges between marine picophytoplankton and heterotrophic bacteria. Nat. Microbiol. 2023, 8, 510–521. [Google Scholar] [CrossRef]
- Becker, S.; Tebben, J.; Coffinet, S.; Wiltshire, K.; Iversen, M.H.; Harder, T.; Hinrichs, K.-U.; Hehemann, J.-H. Laminarin is a major molecule in the marine carbon cycle. Proc. Natl. Acad. Sci. USA 2020, 117, 6599–6607. [Google Scholar] [CrossRef]
- Gügi, B.; Le Costaouec, T.; Burel, C.; Lerouge, P.; Helbert, W.; Bardor, M. Diatom-Specific Oligosaccharide and Polysaccharide Structures Help to Unravel Biosynthetic Capabilities in Diatoms. Mar. Drugs 2015, 13, 5993–6018. [Google Scholar] [CrossRef]
- Hoppe, H.G. Attachment of Bacteria: Advantage or Disadvantage for Survival in the Aquatic Environment. In Microbial Adhesion and Aggregation; Marshall, K.C., Ed.; Springer: Berlin/Heidelberg, Germany, 1984; pp. 283–301. [Google Scholar]
- Leu Andy, O.; Eppley John, M.; Burger, A.; DeLong Edward, F. Diverse Genomic Traits Differentiate Sinking-Particle-Associated versus Free-Living Microbes throughout the Oligotrophic Open Ocean Water Column. mBio 2022, 13, e01569-22. [Google Scholar] [CrossRef]
- Kabisch, A.; Otto, A.; König, S.; Becher, D.; Albrecht, D.; Schüler, M.; Teeling, H.; Amann, R.I.; Schweder, T. Functional characterization of polysaccharide utilization loci in the marine Bacteroidetes ‘Gramella forsetii’ KT0803. ISME J. 2014, 8, 1492–1502. [Google Scholar] [CrossRef] [PubMed]
- Beidler, I.; Steinke, N.; Schulze, T.; Sidhu, C.; Bartosik, D.; Zühlke, M.-K.; Martin, L.T.; Krull, J.; Dutschei, T.; Ferrero-Bordera, B.; et al. Alpha-glucans from bacterial necromass indicate an intra-population loop within the marine carbon cycle. Nat. Commun. 2024, 15, 4048. [Google Scholar] [CrossRef] [PubMed]
- Mühlenbruch, M.; Grossart, H.-P.; Eigemann, F.; Voss, M. Mini-review: Phytoplankton-derived polysaccharides in the marine environment and their interactions with heterotrophic bacteria. Environ. Microbiol. 2018, 20, 2671–2685. [Google Scholar] [CrossRef] [PubMed]
- Zanaroli, G.; Negroni, A.; Calisti, C.; Ruzzi, M.; Fava, F. Selection of commercial hydrolytic enzymes with potential antifouling activity in marine environments. Enzym. Microb. Technol. 2011, 49, 574–579. [Google Scholar] [CrossRef]
- Kristensen, J.B.; Meyer, R.L.; Laursen, B.S.; Shipovskov, S.; Besenbacher, F.; Poulsen, C.H. Antifouling enzymes and the biochemistry of marine settlement. Biotechnol. Adv. 2008, 26, 471–481. [Google Scholar] [CrossRef]
- Ivanova, E.P.; Mikhailov, V.V. A New Family, Alteromonadaceae fam. nov., Including Marine Proteobacteria of the Genera Alteromonas, Pseudoalteromonas, Idiomarina, and Colwellia. Microbiology 2001, 70, 10–17. [Google Scholar] [CrossRef]
- Feng, X.; Chu, X.; Qian, Y.; Henson, M.W.; Lanclos, V.C.; Qin, F.; Barnes, S.; Zhao, Y.; Thrash, J.C.; Luo, H. Mechanisms driving genome reduction of a novel Roseobacter lineage. ISME J. 2021, 15, 3576–3586. [Google Scholar] [CrossRef] [PubMed]





| ID | Locus Tag | Length (aa) | Domains | Functions | EC Numbers |
|---|---|---|---|---|---|
| Laminarin PUL1 | LMIT016_00395 | 454 | GH1 | Beta-glucosidase | 3.2.1.21 |
| LMIT016_00396 | 420 | GluP | Glucose/galactose transporter | ||
| LMIT016_00397 | 862 | GH3 | Beta-glucosidase | 3.2.1.21 | |
| LMIT016_00398 | 1012 | TonB | Outer membrane receptor protein | ||
| LMIT016_00399 | 1599 | GH16 | Endo-β-1,3-glucanases | 3.2.1.39 | |
| LMIT016_00400 | 498 | Gnd | Catalyzes the oxidative decarboxylation of 6-phosphogluconate to ribulose 5-phosphate | 1.1.1.343 | |
| LMIT016_00401 | 325 | PfkB | Carbohydrate kinase | 2.7.1.4 | |
| LMIT016_00404 | 773 | GH13 | Alpha-amylase | 3.2.1.1 | |
| LMIT016_00405 | 152 | MgsA | MGS-like | 4.2.3.3 | |
| LMIT016_00406 | 502 | GlpK | Catalyzes the phosphorylation of glycerol to yield sn-glycerol-3-phosphate | 2.7.1.30 | |
| LMIT016_00407 | 257 | GlpR | Transcriptional regulator | ||
| LMIT016_00408 | 513 | GlpD | FAD-dependent glycerol-3-phosphate dehydrogenase | 1.1.5.3 | |
| Alpha-1,4-glucan PUL2 | LMIT016_02110 | 688 | GH13 | Alpha-amylase | 3.2.1.68 |
| LMIT016_02111 | 725 | GH13 | Alpha-amylase | 2.4.1.18 | |
| LMIT016_02112 | 737 | GH77 | Alpha-1,4-glucanotransferase | 2.4.1.25 | |
| LMIT016_02113 | 336 | GapA | Glyceraldehyde-3-phosphate dehydrogenase | 1.2.1.12 | |
| LMIT016_02114 | 270 | YeaD | Glucose-6-phosphate 1-epimerase | 5.1.3.15 | |
| LMIT016_02115 | 219 | Eda | 2-keto-3-deoxy-6-phosphogluconate aldolase | 4.1.2.14 | |
| LMIT016_02116 | 330 | Glk | Glucokinase | 2.7.1.2 | |
| LMIT016_02117 | 621 | Edd | IlvD Edd family | 4.2.1.12 | |
| LMIT016_02118 | 232 | Pgl | 6-phosphogluconolactonase Glucosamine-6-phosphate isomerase deaminase | 3.1.1.31 | |
| LMIT016_02119 | 507 | Zwf | Catalyzes the oxidation of glucose 6-phosphate to 6-phosphogluconolacton | 1.1.1.363 | |
| LMIT016_02120 | 285 | HexR | Transcriptional regulator |
Disclaimer/Publisher’s Note: The statements, opinions and data contained in all publications are solely those of the individual author(s) and contributor(s) and not of MDPI and/or the editor(s). MDPI and/or the editor(s) disclaim responsibility for any injury to people or property resulting from any ideas, methods, instructions or products referred to in the content. |
© 2026 by the authors. Licensee MDPI, Basel, Switzerland. This article is an open access article distributed under the terms and conditions of the Creative Commons Attribution (CC BY) license.
Share and Cite
Yang, X.; Lin, X.; Xie, J.; Cai, R.; Cai, G.; Wang, H. Polysaccharide Utilization and Adhesion Enable the Genome-Streamlined Opacimonas immobilis to Adapt to the Diatom Phycosphere. Microorganisms 2026, 14, 139. https://doi.org/10.3390/microorganisms14010139
Yang X, Lin X, Xie J, Cai R, Cai G, Wang H. Polysaccharide Utilization and Adhesion Enable the Genome-Streamlined Opacimonas immobilis to Adapt to the Diatom Phycosphere. Microorganisms. 2026; 14(1):139. https://doi.org/10.3390/microorganisms14010139
Chicago/Turabian StyleYang, Xiaoyu, Xuanru Lin, Jianmin Xie, Runlin Cai, Guanjing Cai, and Hui Wang. 2026. "Polysaccharide Utilization and Adhesion Enable the Genome-Streamlined Opacimonas immobilis to Adapt to the Diatom Phycosphere" Microorganisms 14, no. 1: 139. https://doi.org/10.3390/microorganisms14010139
APA StyleYang, X., Lin, X., Xie, J., Cai, R., Cai, G., & Wang, H. (2026). Polysaccharide Utilization and Adhesion Enable the Genome-Streamlined Opacimonas immobilis to Adapt to the Diatom Phycosphere. Microorganisms, 14(1), 139. https://doi.org/10.3390/microorganisms14010139
