Whole-Genome Sequencing and Analysis Reveals Plant Growth-Promoting Properties and Biocontrol Potential of the Crotalaria retusa Endophytic Bacillus velezensis Strain G2T39
Abstract
1. Introduction
2. Materials and Methods
2.1. Evaluation of B. velezensis Strain G2T39 Antagonistic Activity Against Phypathogenic Agents from Côte d’Ivoire
2.2. Nitrogen Fixation Test
2.3. Whole-Genome Sequencing and Assembly of G2T39
2.4. Genome Component
3. Results
3.1. Biological Control Activity of B. velezensis Strain G2T39
3.2. Whole-Genome Sequencing and Phylogeny of B. velezensis Strain G2T39
3.3. Genomic Profiling of B. velezensis G2T39
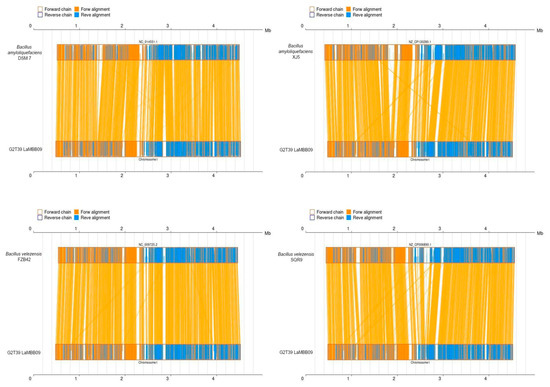
3.4. Genomic Comparison and Structural Synteny of B. velezensis G2T39
3.5. Prediction of G2T39 Genome-Wide Secondary Metabolites and CAZymes
3.6. Genetic Basis of G2T39 Plant Defense Activity
3.7. Genetic Basis of Genes Associated with Nitrogen Metabolism/Fe–S Cluster Assembly and Nitrogen Regulation in G2T39 Genome
3.8. Genetic Basis for Plant Growth-Promoting Activity of G2T39
4. Discussion
5. Conclusions
Supplementary Materials
Author Contributions
Funding
Institutional Review Board Statement
Informed Consent Statement
Data Availability Statement
Acknowledgments
Conflicts of Interest
References
- Tatineni, S.; Hein, G.L. Plant Viruses of Agricultural Importance: Current and Future Perspectives of Virus Disease Management Strategies. Phytopathology 2023, 113, 117–141. [Google Scholar] [CrossRef]
- Kaur, R.; Choudhary, D.; Bali, S.; Bandral, S.S.; Singh, V.; Ahmad, M.A.; Rani, N.; Singh, T.G.; Chandrasekaran, B. Pesticides: An Alarming Detrimental to Health and Environment. Sci. Total Environ. 2024, 915, 170113. [Google Scholar] [CrossRef]
- Lykogianni, M.; Bempelou, E.; Karamaouna, F.; Aliferis, K.A. Do Pesticides Promote or Hinder Sustainability in Agriculture? The Challenge of Sustainable Use of Pesticides in Modern Agriculture. Sci. Total Environ. 2021, 795, 148625. [Google Scholar] [CrossRef]
- Sabzevari, S.; Hofman, J. A Worldwide Review of Currently Used Pesticides’ Monitoring in Agricultural Soils. Sci. Total Environ. 2022, 812, 152344. [Google Scholar] [CrossRef] [PubMed]
- Nonthakaew, N.; Panbangred, W.; Songnuan, W.; Intra, B. Plant Growth-Promoting Properties of Streptomyces spp. Isolates and Their Impact on Mung Bean Plantlets’ Rhizosphere Microbiome. Front. Microbiol. 2022, 13, 967415. [Google Scholar] [CrossRef]
- Bennis, M.; Kaddouri, K.; Badaoui, B.; Bouhnik, O.; Chaddad, Z.; Perez-Tapia, V.; Lamin, H.; Alami, S.; Lamrabet, M.; Abdelmoumen, H.; et al. Plant Growth Promoting Activities of Pseudomonas sp. and Enterobacter sp. Isolated from the Rhizosphere of Vachellia gummifera in Morocco. FEMS Microbiol. Ecol. 2023, 99, fiad114. [Google Scholar] [CrossRef]
- Ghazala, I.; Chiab, N.; Saidi, M.N.; Gargouri-Bouzid, R. The Plant Growth-Promoting Bacteria Strain Bacillus mojavensis I4 Enhanced Salt Stress Tolerance in Durum Wheat. Curr. Microbiol. 2023, 80, 178. [Google Scholar] [CrossRef] [PubMed]
- Kiesewalter, H.T.; Lozano-Andrade, C.N.; Wibowo, M.; Strube, M.L.; Maróti, G.; Snyder, D.; Jørgensen, T.S.; Larsen, T.O.; Cooper, V.S.; Weber, T.; et al. Genomic and Chemical Diversity of Bacillus subtilis Secondary Metabolites against Plant Pathogenic Fungi. mSystems 2021, 6, e00770-20. [Google Scholar] [CrossRef] [PubMed]
- Wang, F.; Lai, L.; Liu, Y.; Yang, B.; Wang, Y. Expression and Characterization of a Novel Glycerophosphodiester Phosphodiesterase from Pyrococcus furiosus DSM 3638 That Possesses Lysophospholipase D Activity. Int. J. Mol. Sci. 2016, 17, 831. [Google Scholar] [CrossRef]
- Cao, Y.; Pi, H.; Chandrangsu, P.; Li, Y.; Wang, Y.; Zhou, H.; Xiong, H.; Helmann, J.D.; Cai, Y. Antagonism of Two Plant-Growth Promoting Bacillus velezensis Isolates Against Ralstonia solanacearum and Fusarium oxysporum. Sci. Rep. 2018, 8, 4360. [Google Scholar] [CrossRef]
- Keshmirshekan, A.; de Souza Mesquita, L.M.; Ventura, S.P.M. Biocontrol Manufacturing and Agricultural Applications of Bacillus velezensis. Trends Biotechnol. 2024, 42, 986–1001. [Google Scholar] [CrossRef]
- Sun, L.; Wang, W.; Zhang, X.; Gao, Z.; Cai, S.; Wang, S.; Li, Y. Bacillus velezensis BVE7 as a Promising Agent for Biocontrol of Soybean Root Rot Caused by Fusarium oxysporum. Front. Microbiol. 2023, 14, 1275986. [Google Scholar] [CrossRef] [PubMed]
- Magno-Pérez-Bryan, M.C.; Martínez-García, P.M.; Hierrezuelo, J.; Rodríguez-Palenzuela, P.; Arrebola, E.; Ramos, C.; de Vicente, A.; Pérez-García, A.; Romero, D. Comparative Genomics Within the Bacillus Genus Reveal the Singularities of Two Robust Bacillus amyloliquefaciens Biocontrol Strains. Mol. Plant-Microbe Interact. 2015, 28, 1102–1116. [Google Scholar] [CrossRef] [PubMed]
- Zaid, D.S.; Cai, S.; Hu, C.; Li, Z.; Li, Y. Comparative Genome Analysis Reveals Phylogenetic Identity of Bacillus velezensis HNA3 and Genomic Insights into Its Plant Growth Promotion and Biocontrol Effects. Microbiol. Spectr. 2022, 10, e02169-21. [Google Scholar] [CrossRef]
- Xie, L.; Liu, L.; Luo, Y.; Rao, X.; Di, Y.; Liu, H.; Qian, Z.; Shen, Q.; He, L.; Li, F. Complete Genome Sequence of Biocontrol Strain Bacillus velezensis YC89 and Its Biocontrol Potential against Sugarcane Red Rot. Front. Microbiol. 2023, 14, 1180474, Erratum in Front. Microbiol. 2023, 14, 1235695. https://doi.org/10.3389/fmicb.2023.1235695. [Google Scholar] [CrossRef]
- Yang, F.; Jiang, H.; Ma, K.; Wang, X.; Liang, S.; Cai, Y.; Jing, Y.; Tian, B.; Shi, X. Genome Sequencing and Analysis of Bacillus velezensis VJH504 Reveal Biocontrol Mechanism against Cucumber Fusarium Wilt. Front. Microbiol. 2023, 14, 1279695. [Google Scholar] [CrossRef]
- Chen, Q.; Song, Y.; An, Y.; Lu, Y.; Zhong, G. Soil Microorganisms: Their Role in Enhancing Crop Nutrition and Health. Diversity 2024, 16, 734. [Google Scholar] [CrossRef]
- Zheng, Y.; Liu, T.; Wang, Z.; Wang, X.; Wang, H.; Li, Y.; Zheng, W.; Wei, S.; Leng, Y.; Li, J.; et al. Whole-Genome Sequencing and Secondary Metabolite Exploration of the Novel Bacillus velezensis BN with Broad-Spectrum Antagonistic Activity against Fungal Plant Pathogens. Front. Microbiol. 2025, 15, 1498653. [Google Scholar] [CrossRef]
- Cai, X.-C.; Liu, C.-H.; Wang, B.-T.; Xue, Y.-R. Genomic and Metabolic Traits Endow Bacillus velezensis CC09 with a Potential Biocontrol Agent in Control of Wheat Powdery Mildew Disease. Microbiol. Res. 2017, 196, 89–94. [Google Scholar] [CrossRef]
- Khan, M.S.; Gao, J.; Chen, X.; Zhang, M.; Yang, F.; Du, Y.; Moe, T.S.; Munir, I.; Xue, J.; Zhang, X. The Endophytic Bacteria Bacillus velezensis Lle-9, Isolated from Lilium Leucanthum, Harbors Antifungal Activity and Plant Growth-Promoting Effects. J. Microbiol. Biotechnol. 2020, 30, 668–680. [Google Scholar] [CrossRef]
- Ahoty, E.S.S.; Fossou, R.K.; Magot, F.; Ebou, A.T.E.; Kouadjo-Zézé, C.G.Z.; Marchesseau, B.; Spina, R.; Grosjean, J.; Laurain-Mattar, D.; Slezack, S.; et al. Fusarium Antagonism Potential and Metabolomics Analysis of Endophytic Bacteria Isolated from Crotalaria retusa L., a Traditional Medicinal Plant in Côte d’Ivoire. FEMS Microbiol. Lett. 2025, 372, fnaf056. [Google Scholar] [CrossRef]
- Munakata, Y.; Gavira, C.; Genestier, J.; Bourgaud, F.; Hehn, A.; Slezack-Deschaumes, S. Composition and Functional Comparison of Vetiver Root Endophytic Microbiota Originating from Different Geographic Locations That Show Antagonistic Activity towards Fusarium graminearum. Microbiol. Res. 2021, 243, 126650. [Google Scholar] [CrossRef]
- Bolivar-Anillo, H.J.; González-Rodríguez, V.E.; Cantoral, J.M.; García-Sánchez, D.; Collado, I.G.; Garrido, C. Endophytic Bacteria Bacillus subtilis, Isolated from Zea mays, as Potential Biocontrol Agent against Botrytis cinerea. Biology 2021, 10, 492. [Google Scholar] [CrossRef] [PubMed]
- Park, M.; Kim, C.; Yang, J.; Lee, H.; Shin, W.; Kim, S.; Sa, T. Isolation and Characterization of Diazotrophic Growth Promoting Bacteria from Rhizosphere of Agricultural Crops of Korea. Microbiol. Res. 2005, 160, 127–133. [Google Scholar] [CrossRef]
- Koren, S.; Walenz, B.P.; Berlin, K.; Miller, J.R.; Bergman, N.H.; Phillippy, A.M. Canu: Scalable and Accurate Long-Read Assembly via Adaptive k-Mer Weighting and Repeat Separation. Genome Res. 2017, 27, 722–736. [Google Scholar] [CrossRef] [PubMed]
- Delcher, A.L.; Bratke, K.A.; Powers, E.C.; Salzberg, S.L. Identifying Bacterial Genes and Endosymbiont DNA with Glimmer. Bioinformatics 2007, 23, 673–679. [Google Scholar] [CrossRef]
- Meier-Kolthoff, J.P.; Carbasse, J.S.; Peinado-Olarte, R.L.; Göker, M. TYGS and LPSN: A Database Tandem for Fast and Reliable Genome-Based Classification and Nomenclature of Prokaryotes. Nucleic Acids Res. 2022, 50, D801–D807. [Google Scholar] [CrossRef]
- Richter, M.; Rosselló-Móra, R.; Oliver Glöckner, F.; Peplies, J. JSpeciesWS: A Web Server for Prokaryotic Species Circumscription Based on Pairwise Genome Comparison. Bioinformatics 2016, 32, 929–931. [Google Scholar] [CrossRef] [PubMed]
- Blin, K.; Shaw, S.; Vader, L.; Szenei, J.; Reitz, Z.L.; Augustijn, H.E.; Cediel-Becerra, J.D.D.; de Crécy-Lagard, V.; Koetsier, R.A.; Williams, S.E.; et al. antiSMASH 8.0: Extended gene cluster detection capabilities and analyses of chemistry, enzymology, and regulation. Nucleic Acids Res. 2025, 53, W32–W38. [Google Scholar] [CrossRef] [PubMed] [PubMed Central]
- Zdouc, M.M.; Blin, K.; Louwen, N.L.L.; Navarro, J.; Loureiro, C.; Bader, C.D.; Bailey, C.B.; Barra, L.; Booth, T.J.; Bozhüyük, K.A.J.; et al. MIBiG 4.0: Advancing Biosynthetic Gene Cluster Curation through Global Collaboration. Nucleic Acids Res. 2025, 53, D678–D690. [Google Scholar] [CrossRef]
- Zheng, J.; Ge, Q.; Yan, Y.; Zhang, X.; Huang, L.; Yin, Y. dbCAN3: Automated Carbohydrate-Active Enzyme and Substrate Annotation. Nucleic Acids Res. 2023, 51, W115–W121. [Google Scholar] [CrossRef]
- Eddy, S.R. Accelerated Profile HMM Searches. PLoS Comput. Biol. 2011, 7, e1002195. [Google Scholar] [CrossRef]
- Busk, P.K. Accurate, Automatic Annotation of Peptidases with Hotpep-Protease. Green. Chem. Eng. 2020, 1, 124–130. [Google Scholar] [CrossRef]
- Buchfink, B.; Xie, C.; Huson, D.H. Fast and Sensitive Protein Alignment Using DIAMOND. Nat. Methods 2015, 12, 59–60. [Google Scholar] [CrossRef] [PubMed]
- Almagro Armenteros, J.J.; Tsirigos, K.D.; Sønderby, C.K.; Petersen, T.N.; Winther, O.; Brunak, S.; von Heijne, G.; Nielsen, H. SignalP 5.0 Improves Signal Peptide Predictions Using Deep Neural Networks. Nat. Biotechnol. 2019, 37, 420–423. [Google Scholar] [CrossRef] [PubMed]
- Richter, M.; Rosselló-Móra, R. Shifting the Genomic Gold Standard for the Prokaryotic Species Definition. Proc. Natl. Acad. Sci. USA 2009, 106, 19126–19131. [Google Scholar] [CrossRef]
- Fan, B.; Wang, C.; Song, X.; Ding, X.; Wu, L.; Wu, H.; Gao, X.; Borriss, R. Bacillus velezensis FZB42 in 2018: The Gram-Positive Model Strain for Plant Growth Promotion and Biocontrol. Front. Microbiol. 2018, 9, 2491, Erratum in Front. Microbiol. 2019, 10, 1279. [Google Scholar] [CrossRef]
- Mu, F.; Chen, X.; Fu, Z.; Wang, X.; Guo, J.; Zhao, X.; Zhang, B. Genome and Transcriptome Analysis to Elucidate the Biocontrol Mechanism of Bacillus amyloliquefaciens XJ5 against Alternaria Solani. Microorganisms 2023, 11, 2055. [Google Scholar] [CrossRef]
- Torres, A.N.; Chamorro-Veloso, N.; Costa, P.; Cádiz, L.; Del Canto, F.; Venegas, S.A.; López Nitsche, M.; Coloma-Rivero, R.F.; Montero, D.A.; Vidal, R.M. Deciphering Additional Roles for the EF-Tu, l-Asparaginase II and OmpT Proteins of Shiga Toxin-Producing Escherichia coli. Microorganisms 2020, 8, 1184. [Google Scholar] [CrossRef] [PubMed] [PubMed Central]
- Hummels, K.R.; Kearns, D.B. Suppressor mutations in ribosomal proteins and FliY restore Bacillus subtilis swarming motility in the absence of EF-P. PLoS Genet. 2019, 15, e1008179. [Google Scholar] [CrossRef] [PubMed] [PubMed Central]
- Borriss, R.; Danchin, A.; Harwood, C.R.; Médigue, C.; Rocha, E.P.C.; Sekowska, A.; Vallenet, D. Bacillus subtilis, the model Gram-positive bacterium: 20 years of annotation refinement. Microb. Biotechnol. 2018, 11, 3–17. [Google Scholar] [CrossRef] [PubMed] [PubMed Central]
- Belda, E.; Sekowska, A.; Le Fèvre, F.; Morgat, A.; Mornico, D.; Ouzounis, C.; Vallenet, D.; Médigue, C.; Danchin, A. An updated metabolic view of the Bacillus subtilis 168 genome. Microbiology 2013, 159, 757–770. [Google Scholar] [CrossRef]
- Carvalho, S.M.; de Jong, A.; Kloosterman, T.G.; Kuipers, O.P.; Saraiva, L.M. The Staphylococcus aureus α-Acetolactate Synthase ALS Confers Resistance to Nitrosative Stress. Front. Microbiol. 2017, 8, 1273. [Google Scholar] [CrossRef] [PubMed]
- Wang, Y.; Liu, B.; Grenier, D.; Yi, L. Regulatory Mechanisms of the LuxS/AI-2 System and Bacterial Resistance. Antimicrob. Agents Chemother. 2019, 63, e01186-19. [Google Scholar] [CrossRef] [PubMed]
- Alleman, A.B.; Garcia Costas, A.; Mus, F.; Peters, J.W. Rnf and Fix Have Specific Roles during Aerobic Nitrogen Fixation in Azotobacter vinelandii. Appl. Environ. Microbiol. 2022, 88, e01049-22. [Google Scholar] [CrossRef]
- Li, Q.; Zhang, H.; Zhang, L.; Chen, S. Functional Analysis of Multiple nifB Genes of Paenibacillus Strains in Synthesis of Mo-, Fe- and V-Nitrogenases. Microb. Cell Factories 2021, 20, 139. [Google Scholar] [CrossRef]
- Zhao, D.; Curatti, L.; Rubio, L.M. Evidence for nifU and nifS Participation in the Biosynthesis of the Iron-Molybdenum Cofactor of Nitrogenase. J. Biol. Chem. 2007, 282, 37016–37025. [Google Scholar] [CrossRef]
- Glöer, J.; Thummer, R.; Ullrich, H.; Schmitz, R.A. Towards Understanding the Nitrogen Signal Transduction for Nif Gene Expression in Klebsiella pneumoniae. FEBS J. 2008, 275, 6281–6294. [Google Scholar] [CrossRef]
- He, S.; Chen, M.; Xie, Z.; Yan, Y.; Li, H.; Fan, Y.; Ping, S.; Lin, M.; Elmerich, C. Involvement of GlnK, a PII Protein, in Control of Nitrogen Fixation and Ammonia Assimilation in Pseudomonas stutzeri A1501. Arch. Microbiol. 2008, 190, 1–10. [Google Scholar] [CrossRef]
- Ayala-Castro, C.; Saini, A.; Outten, F.W. Fe-S Cluster Assembly Pathways in Bacteria. Microbiol. Mol. Biol. Rev. 2008, 72, 110–125. [Google Scholar] [CrossRef]
- Dean, D.R. On the Path to [Fe-S] Protein Maturation: A Personal Perspective. Biochim. Biophys. Acta Mol. Cell Res. 2024, 1871, 119750. [Google Scholar] [CrossRef]
- Yasumura, A.; Abe, S.; Tanaka, T. Involvement of Nitrogen Regulation in Bacillus subtilis degU Expression. J. Bacteriol. 2008, 190, 5162–5171. [Google Scholar] [CrossRef] [PubMed][Green Version]
- Wu, X.; Rensing, C.; Han, D.; Xiao, K.-Q.; Dai, Y.; Tang, Z.; Liesack, W.; Peng, J.; Cui, Z.; Zhang, F. Genome-Resolved Metagenomics Reveals Distinct Phosphorus Acquisition Strategies between Soil Microbiomes. mSystems 2022, 7, e01107-21. [Google Scholar] [CrossRef]
- Mehra, P.; Pandey, B.K.; Verma, L.; Giri, J. A Novel Glycerophosphodiester Phosphodiesterase Improves Phosphate Deficiency Tolerance in Rice. Plant Cell Environ. 2019, 42, 1167–1179. [Google Scholar] [CrossRef]
- Kerovuo, J.; Lauraeus, M.; Nurminen, P.; Kalkkinen, N.; Apajalahti, J. Isolation, Characterization, Molecular Gene Cloning, and Sequencing of a Novel Phytase from Bacillus subtilis. Appl. Environ. Microbiol. 1998, 64, 2079–2085. [Google Scholar] [CrossRef]
- Stasi, R.; Neves, H.I.; Spira, B. Phosphate Uptake by the Phosphonate Transport System PhnCDE. BMC Microbiol. 2019, 19, 79. [Google Scholar] [CrossRef]
- Chandrangsu, P.; Huang, X.; Gaballa, A.; Helmann, J.D. Bacillus subtilis FolE Is Sustained by the ZagA Zinc Metallochaperone and the Alarmone ZTP under Conditions of Zinc Deficiency. Mol. Microbiol. 2019, 112, 751–765. [Google Scholar] [CrossRef]
- Vitreschak, A.G.; Rodionov, D.A.; Mironov, A.A.; Gelfand, M.S. Regulation of Riboflavin Biosynthesis and Transport Genes in Bacteria by Transcriptional and Translational Attenuation. Nucleic Acids Res. 2002, 30, 3141–3151. [Google Scholar] [CrossRef]
- Fu, B.; Ying, J.; Chen, Q.; Zhang, Q.; Lu, J.; Zhu, Z.; Yu, P. Enhancing the Biosynthesis of Riboflavin in the Recombinant Escherichia coli BL21 Strain by Metabolic Engineering. Front. Microbiol. 2023, 13, 1111790. [Google Scholar] [CrossRef] [PubMed]
- Peuckert, F.; Miethke, M.; Albrecht, A.G.; Essen, L.; Marahiel, M.A. Structural Basis and Stereochemistry of Triscatecholate Siderophore Binding by FeuA. Angew. Chem. Int. Ed. 2009, 48, 7924–7927. [Google Scholar] [CrossRef] [PubMed]
- Peuckert, F.; Ramos-Vega, A.L.; Miethke, M.; Schwörer, C.J.; Albrecht, A.G.; Oberthür, M.; Marahiel, M.A. The Siderophore Binding Protein FeuA Shows Limited Promiscuity toward Exogenous Triscatecholates. Chem. Biol. 2011, 18, 907–919. [Google Scholar] [CrossRef]
- Podkowa, K.J.; Briere, L.-A.K.; Heinrichs, D.E.; Shilton, B.H. Crystal and Solution Structure Analysis of FhuD2 from Staphylococcus aureus in Multiple Unliganded Conformations and Bound to Ferrioxamine-B. Biochemistry 2014, 53, 2017–2031. [Google Scholar] [CrossRef] [PubMed]
- Delepelaire, P. Bacterial ABC Transporters of Iron Containing Compounds. Res. Microbiol. 2019, 170, 345–357. [Google Scholar] [CrossRef] [PubMed]
- Mariotti, P.; Malito, E.; Biancucci, M.; Lo Surdo, P.; Mishra, R.P.N.; Nardi-Dei, V.; Savino, S.; Nissum, M.; Spraggon, G.; Grandi, G.; et al. Structural and Functional Characterization of the Staphylococcus aureus Virulence Factor and Vaccine Candidate FhuD2. Biochem. J. 2013, 449, 683–693. [Google Scholar] [CrossRef]
- Adusei-Danso, F.; Khaja, F.T.; DeSantis, M.; Jeffrey, P.D.; Dubnau, E.; Demeler, B.; Neiditch, M.B.; Dubnau, D. Structure-Function Studies of the Bacillus subtilis Ric Proteins Identify the Fe-S Cluster-Ligating Residues and Their Roles in Development and RNA Processing. mBio 2019, 10, e01841-19. [Google Scholar] [CrossRef]
- Corredor-Rozo, Z.-L.; Marquez-Ortiz, R.; Velandia-Romero, M.L.; Abril, D.; Madroñero, J.; Prada, L.F.; Vanegas-Gomez, N.; García, B.; Echeverz, M.; Calderón-Peláez, M.-A.; et al. Deciphering the Function of Com_YlbF Domain-Containing Proteins in Staphylococcus aureus. J. Bacteriol. 2025, 207, e0006125. [Google Scholar] [CrossRef]
- Bomjan, R.; Zhang, M.; Zhou, D. YshB Promotes Intracellular Replication and Is Required for Salmonella Virulence. J. Bacteriol. 2019, 201, e00314-19. [Google Scholar] [CrossRef]
- Moreno-Vivián, C.; Cabello, P.; Martínez-Luque, M.; Blasco, R.; Castillo, F. Prokaryotic Nitrate Reduction: Molecular Properties and Functional Distinction among Bacterial Nitrate Reductases. J. Bacteriol. 1999, 181, 6573–6584. [Google Scholar] [CrossRef]
- Chai, Y.; Kolter, R.; Losick, R. A Widely Conserved Gene Cluster Required for Lactate Utilization in Bacillus subtilis and Its Involvement in Biofilm Formation. J. Bacteriol. 2009, 191, 2423–2430. [Google Scholar] [CrossRef]
- Ashraf, K.U.; Josts, I.; Mosbahi, K.; Kelly, S.M.; Byron, O.; Smith, B.O.; Walker, D. The Potassium Binding Protein Kbp Is a Cytoplasmic Potassium Sensor. Structure 2016, 24, 741–749. [Google Scholar] [CrossRef]
- Simon, J.; Hederstedt, L. Composition and Function of Cytochrome c Biogenesis System II. FEBS J. 2011, 278, 4179–4188. [Google Scholar] [CrossRef]
- Araújo, T.A.D.N.D.; Vendruscolo, E.P.; Binotti, F.F.D.S.; Costa, E.; Lima, S.F.D.; Sant’Ana, G.R.; Bortolheiro, F.P.D.A.P. Nicotinamide Increases the Physiological Performance and Initial Growth of Maize Plant. Int. J. Agron. 2024, 2024, 5567314. [Google Scholar] [CrossRef]
- Singh, V.K.; Shukla, A.K.; Singh, A.K. Endophytic Bacillus Species as Multifaceted Toolbox for Agriculture, Environment, and Medicine. Environ. Dev. Sustain. 2024. [Google Scholar] [CrossRef]
- Sousa, E.G.; Campos, G.M.; Viana, M.V.C.; Gomes, G.C.; Rodrigues, D.L.N.; Aburjaile, F.F.; Fonseca, B.B.; De Araújo, M.R.B.; Da Costa, M.M.; Guedon, E.; et al. The Research on the Identification, Taxonomy, and Comparative Genomics Analysis of Nine Bacillus velezensis Strains Significantly Contributes to Microbiology, Genetics, Bioinformatics, and Biotechnology. Front. Microbiol. 2025, 16, 1544934. [Google Scholar] [CrossRef]
- Krebs, B.; Höding, B.; Kübart, S.; Workie, M.; Junge, H.; Schmiedeknecht, G.; Grosch, R.; Bochow, H.; Hevesi, M. Use of Bacillus Subtilis as Biocontrol Agent. I. Activities and Characterization of Bacillus subtilis Strains/Anwendung von Bacillus subtilis Als Mittel Für Den Biologischen Pflanzenschutz. I. Aktivitäten Und Charakterisierung von Bacillus sibtills-Stämmen. J. Plant Dis. Prot. 1998, 105, 181–197. [Google Scholar]
- Xu, Z.; Zhang, R.; Wang, D.; Qiu, M.; Feng, H.; Zhang, N.; Shen, Q. Enhanced Control of Cucumber Wilt Disease by Bacillus amyloliquefaciens SQR9 by Altering the Regulation of Its DegU Phosphorylation. Appl. Environ. Microbiol. 2014, 80, 2941–2950. [Google Scholar] [CrossRef]
- Uwaremwe, C.; Yue, L.; Wang, Y.; Tian, Y.; Zhao, X.; Liu, Y.; Zhou, Q.; Zhang, Y.; Wang, R. An Endophytic Strain of Bacillus amyloliquefaciens Suppresses Fusarium oxysporum Infection of Chinese Wolfberry by Altering Its Rhizosphere Bacterial Community. Front. Microbiol. 2022, 12, 782523. [Google Scholar] [CrossRef]
- Schisler, D.A.; Khan, N.I.; Boehm, M.J.; Slininger, P.J. Greenhouse and Field Evaluation of Biological Control of Fusarium Head Blight on Durum Wheat. Plant Dis. 2002, 86, 1350–1356. [Google Scholar] [CrossRef] [PubMed]
- Siddiqui, S.; Siddiqui, Z.A.; Ahmad, I. Evaluation of Fluorescent Pseudomonads and Bacillus Isolates for the Biocontrol of a Wilt Disease Complex of Pigeonpea. World J. Microbiol. Biotechnol. 2005, 21, 729–732. [Google Scholar] [CrossRef]
- Vitullo, D.; Di Pietro, A.; Romano, A.; Lanzotti, V.; Lima, G. Role of New Bacterial Surfactins in the Antifungal Interaction between Bacillus amyloliquefaciens and Fusarium oxysporum. Plant Pathol. 2012, 61, 689–699. [Google Scholar] [CrossRef]
- Naz, R.; Khushhal, S.; Asif, T.; Mubeen, S.; Saranraj, P.; Sayyed, R.Z. Inhibition of Bacterial and Fungal Phytopathogens Through Volatile Organic Compounds Produced by Pseudomonas sp. In Secondary Metabolites and Volatiles of PGPR in Plant-Growth Promotion; Sayyed, R.Z., Uarrota, V.G., Eds.; Springer International Publishing: Cham, Switzerland, 2022; pp. 95–118. ISBN 978-3-031-07558-2. [Google Scholar]
- Ongena, M.; Jacques, P. Bacillus Lipopeptides: Versatile Weapons for Plant Disease Biocontrol. Trends Microbiol. 2008, 16, 115–125. [Google Scholar] [CrossRef]
- Cheng, C.; Su, S.; Bo, S.; Zheng, C.; Liu, C.; Zhang, L.; Xu, S.; Wang, X.; Gao, P.; Fan, K.; et al. A Bacillus velezensis Strain Isolated from Oats with Disease-Preventing and Growth-Promoting Properties. Sci. Rep. 2024, 14, 12950. [Google Scholar] [CrossRef]
- Chowdhury, S.P.; Dietel, K.; Rändler, M.; Schmid, M.; Junge, H.; Borriss, R.; Hartmann, A.; Grosch, R. Effects of Bacillus amyloliquefaciens FZB42 on Lettuce Growth and Health under Pathogen Pressure and Its Impact on the Rhizosphere Bacterial Community. PLoS ONE 2013, 8, e68818. [Google Scholar] [CrossRef]
- Edreva, A. Pathogenesis-related proteins: Research progress in the last 15 years. Gen. Appl. Plant Physiol. 2005, 31, 105–124. [Google Scholar]
- Marshall, R.; Kombrink, A.; Motteram, J.; Loza-Reyes, E.; Lucas, J.; Hammond-Kosack, K.E.; Thomma, B.P.H.J.; Rudd, J.J. Analysis of Two in Planta Expressed LysM Effector Homologs from the Fungus Mycosphaerella graminicola Reveals Novel Functional Properties and Varying Contributions to Virulence on Wheat. Plant Physiol. 2011, 156, 756–769. [Google Scholar] [CrossRef]
- Mentlak, T.A.; Kombrink, A.; Shinya, T.; Ryder, L.S.; Otomo, I.; Saitoh, H.; Terauchi, R.; Nishizawa, Y.; Shibuya, N.; Thomma, B.P.H.J.; et al. Effector-Mediated Suppression of Chitin-Triggered Immunity by Magnaporthe Oryzae Is Necessary for Rice Blast Disease. Plant Cell 2012, 24, 322–335. [Google Scholar] [CrossRef]
- Kunze, G.; Zipfel, C.; Robatzek, S.; Niehaus, K.; Boller, T.; Felix, G. The N Terminus of Bacterial Elongation Factor Tu Elicits Innate Immunity in Arabidopsis Plants. Plant Cell 2004, 16, 3496–3507. [Google Scholar] [CrossRef] [PubMed]
- Li, H.; Xu, F.; Ren, X.; Chen, S. Functional Analysis of the fixL/fixJ and fixK Genes in Azospirillum Brasilense Sp7. Ann. Microbiol. 2010, 60, 469–480. [Google Scholar] [CrossRef]
- Cheng, Y.; Jiang, X.; He, X.; Wu, Z.; Lv, Q.; Zhao, S.; Zhang, X.; Wang, S.; He, H.; Liu, J. Bacillus velezensis 20507 Promotes Symbiosis between Bradyrhizobium japonicum USDA110 and Soybean by Secreting Flavonoids. Front. Microbiol. 2025, 16, 1572568. [Google Scholar] [CrossRef] [PubMed]
- Chen, Y.; Li, Y.; Fu, Y.; Jia, L.; Li, L.; Xu, Z.; Zhang, N.; Liu, Y.; Fan, X.; Xuan, W.; et al. The Beneficial Rhizobacterium Bacillus velezensis SQR9 Regulates Plant Nitrogen Uptake via an Endogenous Signaling Pathway. J. Exp. Bot. 2024, 75, 3388–3400. [Google Scholar] [CrossRef]
- Vats, P.; Banerjee, U.C. Production Studies and Catalytic Properties of Phytases (Myo-Inositolhexakisphosphate Phosphohydrolases): An Overview. Enzym. Microb. Technol. 2004, 35, 3–14. [Google Scholar] [CrossRef]
- Vuolanto, A.; Von Weymarn, N.; Kerovuo, J.; Ojamo, H.; Leisola, M. Phytase Production by High Cell Density Culture of Recombinant Bacillus subtilis. Biotechnol. Lett. 2001, 23, 761–766. [Google Scholar] [CrossRef]
- Ren, R.; Zhai, L.; Tian, Q.; Meng, D.; Guan, Z.; Cai, Y.; Liao, X. Identification of a Novel Glycerophosphodiester Phosphodiesterase from Bacillus altitudinis W3 and Its Application in Degradation of Diphenyl Phosphate. 3 Biotech 2021, 11, 161. [Google Scholar] [CrossRef] [PubMed]
- Ohshima, N.; Yamashita, S.; Takahashi, N.; Kuroishi, C.; Shiro, Y.; Takio, K. Escherichia coli Cytosolic Glycerophosphodiester Phosphodiesterase (UgpQ) Requires Mg2+, Co2+, or Mn2+ for Its Enzyme Activity. J. Bacteriol. 2008, 190, 1219–1223. [Google Scholar] [CrossRef]
- Mehra, P.; Giri, J. Rice and Chickpea GDPDs Are Preferentially Influenced by Low Phosphate and CaGDPD1 Encodes an Active Glycerophosphodiester Phosphodiesterase Enzyme. Plant Cell Rep. 2016, 35, 1699–1717. [Google Scholar] [CrossRef]
- Dang, D.T.T.; Nguyen, L.T.; Tran, A.-T.; Tran, T.T.T.; Tran, T.-A.; Vo, K.T.X.; Jeon, J.-S.; Van Vu, T.; Kim, J.-Y.; Nguyen, N.P.; et al. A Novel Glycerophosphodiester Phosphodiesterase 13 Is Involved in the Phosphate Starvation-Induced Phospholipid Degradation in Rice. Plant Physiol. Biochem. PPB 2025, 228, 110230. [Google Scholar] [CrossRef] [PubMed]







| G2T39 | ||
|---|---|---|
| Strains | ANIb (%) | ANIm (%) |
| B. velezensis NRRL B-41580 | 98.83 | 99.00 |
| B. velezensis KACC 18228 | 98.19 | 98.43 |
| B. velezensis FZB42 1 | 98.06 | 98.42 |
| B. velezensis SQR9 | 97.99 | 98.32 |
| B. velezensis KACC 13105 | 97.91 | 98.26 |
| B. amyloliquefaciens XJ5 | 97.91 | 98.30 |
| B. ayatagriensis RMG6 | 97.46 | 97.79 |
| B. siamensis KCTC 13613 | 93.95 | 94.43 |
| B. siamensis XY18 | 93.86 | 94.42 |
| B. amyloliquefaciens DSM 7 | 93.55 | 94.26 |
| B. nakamurai NRRL B-41091 | 85.65 | 87.08 |
| B. rugosus SPB7 | 76.83 | 84.02 |
| B. mojavensis KCTC 3706 | 76.34 | 84.00 |
| Strain | Total CDS | VFDB | ARDB | CAZY | IPR | SWISSPROT | COG | CARD | GO | KEGG | NR | T3SS | Overall |
|---|---|---|---|---|---|---|---|---|---|---|---|---|---|
| G2T39 | 4118 | 187 (4.54%) | 35 (0.84%) | 207 (5.02%) | 3444 (83.63%) | 3323 (80.69%) | 3030 (73.57%) | 3 (0.07%) | 2387 (57.96%) | 2561 (62.19%) | 4090 (99.32%) | 417 (10.12%) | 4099 (99.53%) |
| Genome Characteristics | G2T39 Endophytic | XJ5 Plant | FZB42 Rhizosphere | SQR9 Rhizosphere | DSM 7 Soil |
|---|---|---|---|---|---|
| NCBI accession | CP199939 | CP071970.1 | NC_009725 | CP006890 | NC_014551.1 |
| Size (base pairs) | 4,040,830 | 4,160,003 | 3,918,596 | 4,117,023 | 3,980,199 |
| CDS | 3911 | 4307 | 3724 | 3957 | 4028 |
| sORF | 4 | - | 4 | 5 | 6 |
| tRNA | 87 | 87 | 90 | 72 | 94 |
| rRNA | 27 | 27 | 30 | 21 | 30 |
| ncRNA | 33 | 5 | 20 | 17 | 21 |
| Prophages | 4 (1, 1, 2) | 4 (1, 3, 0) | 3 (0, 3, 0) | 5 (0, 3, 2) | 8 (5, 3, 0) |
| Microsatellite/Minisatellite | 0/36 | 0/17 | 1/31 | 0/20 | 2/74 |
| Region | Type | From | To | Similarity Confidence | Most Similar Known Cluster |
|---|---|---|---|---|---|
| 1 | NRPS | 311,342 | 376,749 | High | Surfactin |
| 2 | PKS-like | 976,709 | 1,017,953 | Low | - |
| 3 | Terpene | 1,103,673 | 1,124,413 | Low | - |
| 4 | TransAT-PKS | 1,428,716 | 1,516,916 | High | Macrolactin H |
| 5 | TransAT-PKS, T3PKS, NRPS-like, NRPS | 1,741,965 | 1,852,076 | High | Bacillaene |
| 6 | NRPS, betalactone | 1,919,009 | 2,030,616 | High | Fengycin |
| 7 | Terpene | 2,066,805 | 2,088,688 | Low | - |
| 8 | T3PKS | 2,165,562 | 2,206,662 | Low | - |
| 9 | TransAT-PKS | 2,321,307 | 2,427,483 | High | Difficidin |
| 10 | Terpene-precursor | 2,450,817 | 2,471,707 | Low | - |
| 11 | Terpene-precursor, NRP-metallophore, NRPS, RiPP-like | 3,051,270 | 3,116,703 | High | Bacillibactin |
| 12 | NRPS | 3,415,561 | 3,483,981 | High | |
| 13 | Other | 3,686,785 | 3,728,203 | High | Bacilysin |
| 14 | RiPP-like | 3,905,907 | 3,918,985 | Low | - |
| Bacillus Strains | Glycoside Hydrolase Enzymes | Glycosyl Transferase Enzymes | Polysaccharide Lyase Enzymes | Carbohydrate Esterase Enzymes | Auxiliary Activity Enzymes | Carbohydrate-Binding Module Enzymes |
|---|---|---|---|---|---|---|
| G2T39 | 82 | 64 | 3 | 15 | 5 | 14 |
| FZB42 | 38 | 40 | 3 | 14 | 5 | 12 |
| SQR9 | 41 | 41 | 3 | 13 | 5 | 12 |
| ID and Accession of Genes Identified in G2T39 Genome | Resistance Type | Gene Product | References |
|---|---|---|---|
| WP_038565169_1 tuf | PTI | Translation elongation factor EF-Tu | [39] |
| NP_390325_2 efp | PTI | Translation elongation factor EF-Tu | [40] |
| NP_389532_1 tsf | PTI | Translation elongation factor EF-Ts | [41] |
| NP_387891_1 dacA | PTI | D-alanyl-D-alanine carboxypeptidase | [15] |
| NP_390709_1 ilvB | ISR | [42] | |
| NP_391482_2 alsS | ISR | [15,43] | |
| WP_011197788_1 metC | ISR | Cystathionine beta-lyase/cystathionine gamma-synthase | [15,42] |
| NP_390945_1 luxS | ISR | S-ribosylhomocysteine lyase LuxS | [44] |
| ID and Accession of Genes Identified in G2T39 Genome | Gene Product | References |
|---|---|---|
| COG2025 fixB | Electron transfer flavoprotein, alpha subunit | [45] |
| COG1104 nifS COG1104 nifS COG1104 nifS | Cysteine desulfurase/Cysteine sulfinate desulfinase IscS or related enzyme, NifS family | [46] [47] |
| COG0347 glnK | Nitrogenase regulatory protein PII | [48] [49] |
| NP_388677_2 skfB | Putative Fe-S oxydoreductase | [46] |
| NP_391149_1 COG0719 sufB | Fe-S cluster assembly scaffold protein SufB | [50] |
| NP_391147_1 COG0822 iscU, nifU | Fe-S cluster assembly scaffold protein IscU, NifU family | [51] |
| NP_391096_1 iscA | Fe-S cluster assembly iron-binding protein IscA | [51] |
| degU | Activation of the nitrogenase | [52] |
| ID and Accession of Genes Identified in G2T39 Genome | Gene Product | References |
|---|---|---|
| NP_388095_1 glpQA | Glycerophosphoryl diester phosphodiesterase | [53] [54] |
| NP_389861_1 COG4247 phyC | 3-phytase (myo-inositol-hexaphosphate 3-phosphohydrolase) | [55] |
| NP_387910_ darA/pstA | Cyclic di-AMP receptor DarA/PstA | [56] |
| COG0395 ugpE COG0395 ugpE COG0395 ugpE COG1175 ugpA COG1175 ugpA COG 1653 ugpB COG1653 ugpB | ABC-type glycerol-3-phosphate transport system, permease component | [56] |
| ID and Accession of Genes Identified in G2T39 Genome | Gene Product | References | Function |
|---|---|---|---|
| NP_388218_1 zinU | Zinc metallochaperone YeiR/ZagA | [57] | Zinc solubilization |
| COG0307 riB | Riboflavin synthase alpha chain | [58] | Riboflavin synthesis |
| NP_390772_2 yigB | FMN and 5-amino-6-(5-phospho-D-ribitylamino)uracil phosphatase YigB, HAD superfamily | [59] | Riboflavin synthesis |
| NP_390206_1 ribH | 6,7-dimethyl-8-ribityllumazine synthase | [58] [59] | Riboflavin synthesis |
| NP_388042_2 feuC NP_388043_1 feuB NP_391211_1 fhuG NP_391173_1 feuV NP_391210_1 fhuC | ABC-type Fe3+-siderophore transport system, permease component | [60] [61] [62] [63] [64] | Siderophore transport and metabolism |
| NP_387913_1 ricT | Cell fate regulator YaaT, PSP1 superfamily (controls sporulation, competence, biofilm development) | [65] | Biofilm formation |
| COG3679 ylbF COG3679 ylbF | Cell fate regulator YlbF, YheA/YmcA/DUF963 family (controls sporulation, competence, biofilm development) | [66] | Biofilm formation |
| NP_390738_1 yshB | Colicin V production accessory protein CvpA, regulator of purF expression and biofilm formation | [67] | Biofilm formation |
| NP_388171_1yceC NP_388173_1 yceE | Stress response protein SCP2 | Putative [41] | Stress tolerance |
| NP_390361_2 | Thiamin-binding stress response protein YqgV, UPF0045 family | Putative [41] | Stress tolerance |
| NP_391606_1 narL NP_391607_1 narJ NP_391608_1 narH NP_391609_2 narG | Nitrate reductase assembly protein NarJ, required for insertion of molybdenum cofactor | [68] | Nitrate reductase |
| NP_391284_1 lutB | L-lactate utilization protein LutB, contains a ferredoxin-type domain | [69] | Lactate metabolism |
| COG1652 kbp | Cytoplasmic potassium-binding protein Kbp/XkdP/YgaU, contains LysM domain | [70] | Potassium homeostasis |
| COG1333 resB | Cytochrome c biogenesis protein ResB | [71] | Cytochrome c biogenesis |
| NP_832865_1 NP_387898_1 NP_391054_1 | Nicotinamidase-related amidase | [72] | Nicotinamide Biosynthesis |
Disclaimer/Publisher’s Note: The statements, opinions and data contained in all publications are solely those of the individual author(s) and contributor(s) and not of MDPI and/or the editor(s). MDPI and/or the editor(s) disclaim responsibility for any injury to people or property resulting from any ideas, methods, instructions or products referred to in the content. |
© 2026 by the authors. Licensee MDPI, Basel, Switzerland. This article is an open access article distributed under the terms and conditions of the Creative Commons Attribution (CC BY) license.
Share and Cite
Ahoty, E.S.S.; Kouadjo-Zézé, Z.G.C.; Fossou, R.K.; Ediman, A.T.E.; Boga, E.P.-M.K.; Zézé, A. Whole-Genome Sequencing and Analysis Reveals Plant Growth-Promoting Properties and Biocontrol Potential of the Crotalaria retusa Endophytic Bacillus velezensis Strain G2T39. Microorganisms 2026, 14, 123. https://doi.org/10.3390/microorganisms14010123
Ahoty ESS, Kouadjo-Zézé ZGC, Fossou RK, Ediman ATE, Boga EP-MK, Zézé A. Whole-Genome Sequencing and Analysis Reveals Plant Growth-Promoting Properties and Biocontrol Potential of the Crotalaria retusa Endophytic Bacillus velezensis Strain G2T39. Microorganisms. 2026; 14(1):123. https://doi.org/10.3390/microorganisms14010123
Chicago/Turabian StyleAhoty, Evrad Sausthène Seka, Zaka Ghislaine Claude Kouadjo-Zézé, Romain Kouakou Fossou, Anicet Théodore Ebou Ediman, Espérance Pierre-Marie Kéran Boga, and Adolphe Zézé. 2026. "Whole-Genome Sequencing and Analysis Reveals Plant Growth-Promoting Properties and Biocontrol Potential of the Crotalaria retusa Endophytic Bacillus velezensis Strain G2T39" Microorganisms 14, no. 1: 123. https://doi.org/10.3390/microorganisms14010123
APA StyleAhoty, E. S. S., Kouadjo-Zézé, Z. G. C., Fossou, R. K., Ediman, A. T. E., Boga, E. P.-M. K., & Zézé, A. (2026). Whole-Genome Sequencing and Analysis Reveals Plant Growth-Promoting Properties and Biocontrol Potential of the Crotalaria retusa Endophytic Bacillus velezensis Strain G2T39. Microorganisms, 14(1), 123. https://doi.org/10.3390/microorganisms14010123

