You are currently viewing a new version of our website. To view the old version click .
Microorganisms
  • Article
  • Open Access

18 September 2025

Amino Acid Balanced Compound Low-Protein Diets Improve Resource Efficiency in Sanhua Goose Production: Impacts on Metabolism, Gut Health, and Microbial Diversity

,
,
,
,
,
,
,
and
1
Institute of Animal Husbandry and Veterinary Medicine, Shanghai Academy of Agricultural Science, Shanghai 201106, China
2
Institute of Livestock and Poultry Research, Ningbo Academy of Agricultural Sciences, Ningbo 315040, China
*
Author to whom correspondence should be addressed.
These authors contributed equally to this work.
This article belongs to the Section Veterinary Microbiology

Abstract

This study investigated a compound low-protein diet (CLPD) strategy to reduce soybean meal (SBM) dependency in meat geese. Diets were formulated with crude protein (CP) levels decreasing from 16.5% (corn-soybean meal diet, CSD) to 9.8%, incorporating alternative ingredients such as rapeseed meal, corn distillers dried grains with solubles (DDGS), broken rice, and rice bran. All diets were balanced for limiting amino acids (lysine, methionine, threonine, and valine) through supplemental synthetic amino acids. A total of 192 four-week-old Sanhua geese were randomly assigned according to a single-factor completely randomized design to four dietary treatment groups: the 16.5% (CSD) group and three CLPD treatment groups (14.0% CP, 11.5% CP, and 9.8% CP). Each treatment consisted of six replicate pens with eight geese per pen. During the six-week trial, evaluations included growth performance, organ weights, nutrient digestibility, serum biochemistry, amino acid profiles, intestinal morphology, and cecal microbiota composition. Results demonstrated that compared to the 16.5% (CSD) group, the 11.5% CP (CLPD) group significantly improved final body weight (p < 0.05), average daily gain (P_Linear < 0.01, p < 0.05), and feed conversion efficiency (P_Linear < 0.01, p < 0.05), alongside enhanced apparent digestibility of crude protein and amino acids (P_Linear < 0.01, p < 0.05). Organ weights were generally stable, though the 9.8% CP (CLPD) group showed reduced liver weight (p < 0.05) and increased abdominal fat (P_Linear < 0.01, p < 0.05). Serum levels of low-density lipoprotein cholesterol increased (P_Linear < 0.05, p < 0.05). Intestinal morphology improved in the duodenum and jejunum: in the duodenum, villus height and villus-to-crypt ratio were significantly increased, and crypt depth was significantly decreased (P_Linear < 0.01, p < 0.05); in the jejunum, villus height was significantly increased (p < 0.05) and crypt depth was significantly decreased (p < 0.05). Cecal microbiota alpha diversity remained consistent. The dominant genera in the 9.8% CP (CLPD) group were unclassified_Oscillospiraceae and unclassified_Ruminococcaceae (p < 0.05), among which, Megamonas, Prevotellaceae_Ga6A1_group, and Rikenellaceae_RC9_gut_group dominated in the 16.5% (CSD) group (p < 0.05). These findings indicate that a compound low-protein diet (CLPD) with 11.5% CP, precisely balanced for limiting amino acids, supports optimal growth performance, improves nutrient utilization, and maintains intestinal health in meat geese. Overall, this offers a viable approach to easing SBM reliance in poultry nutrition while enhancing resource efficiency.

1. Introduction

SBM, with its high crude protein content (40–48%) and balanced amino acid profile, serves as the primary protein source in poultry feed, contributing approximately 60% of dietary protein [1]. However, the rapid intensification of livestock farming has driven surging global soybean demand, increasing Chicago Board of Trade (CBOT) soybean futures prices by USD 9.47 per bushel during 2020–2023, thereby significantly reducing profit margins in animal production. This supply-demand imbalance highlights three systemic challenges: (1) Geopolitical Concentration: The United States and Brazil collectively dominate 60% of global soybean production, 90% of which comprises genetically modified varieties [2]. Meanwhile, China’s import dependency exceeds 80%, exposing its industry to trade volatility, such as tariff disputes that inflate costs; (2) Ecological Pressures: Global soybean cultivation areas expanded by 108% from 2000 to 2019, directly linked to 9% of South American deforestation [3]. The overall average carbon footprint of Brazilian soybean exports is 0.69 tons of carbon dioxide equivalent per ton of soy equivalent [4], while excessive SBM use contributes to 41.6% of livestock nitrogen emissions [5]; (3) Resource Constraints: A 10% reduction in SBM usage could conserve 11.3 million hectares of arable land annually (equivalent to Bulgaria’s land area) and reduce nitrogen emissions by 1.4 million tons [6]. These challenges underscore the urgent need for sustainable SBM reduction strategies to ensure food security and ecological preservation.
Low-protein diets (LPD) based on the ideal amino acid model and supplemented with synthetic amino acids offer a viable strategy for conserving protein resources. Alterations in dietary composition, particularly protein levels, can influence the gut microbiota structure, thereby modulating nutrient utilization efficiency and environmental outcomes [7,8]. While LPD has demonstrated potential to reduce nitrogen emissions in broilers [9], its application in goose nutrition remains largely underexplored. Notably, global goose production reached 770 million birds in 2023, with China contributing over 97% of this total and an annual growth rate of approximately 1% [10]. Despite this, research on SBM reduction in geese constitutes less than 3% of total poultry-related studies. As herbivorous poultry, geese exhibit unique digestive adaptations, such as robust cecal fermentation capacity, which may confer greater flexibility in adapting to dietary protein adjustments. Experimental evidence indicates that reducing crude protein levels in gosling diets from 18.5% to 15.5%, while balancing essential amino acids, decreases nitrogen excretion by 23% without compromising growth [11]. More recent findings suggest that lowering dietary protein and supplementing key amino acids during the gosling phase not only sustains growth performance into the growing period but also consistently reduces nitrogen excretion [12]. Additionally, prioritizing supplementation of sulfur-containing amino acids, such as methionine, at consistent protein levels has been shown to enhance slaughter rate and muscle quality in geese [13].
Despite these advances, research on low-protein, amino acid-balanced diets in geese has predominantly focused on goslings and breeding geese [14], with systematic studies on meat geese (commercial geese) remaining scarce. Meat geese, characterized by a prolonged rearing period and limited suitability for restricted feeding, may exhibit heightened adaptability to LPD [15], underscoring the practical significance of investigating SBM reduction strategies in this population. However, current studies primarily emphasize single SBM reduction paired with comprehensive amino acid balancing or supplementation with a single amino acid [16]. While these approaches confirm the feasibility of LPD in goose production, incorporating major grain processing by-products—such as DDGS, broken rice, rice bran, and wheat bran—alongside SBM reduction could diversify dietary composition, substantially lower costs, and enhance resource efficiency. Moreover, precise balancing of limiting amino acids in LPD holds promise for elucidating the amino acid metabolic requirements and nutrient deposition patterns in geese, providing a robust theoretical foundation for future optimization of meat goose diets.
The Sanhua Goose is an excellent meat goose breed widely raised across China, boasting both outstanding growth performance and strong stress resistance. According to the recommendations of the Chinese agricultural industry standards “Nutritional Requirements for Geese” (NY/T 4641-2025 [17]) and “Feeding Standards for Commercial Meat Geese” (DB37/T 2784-2016 [18]), the nutritional needs for growing geese aged 4–10 weeks include a dietary metabolizable energy of 11.0–11.5 MJ/kg, a CP level of approximately 14–16%, lysine (0.75–0.9%), methionine + cystine (0.64–0.65%), threonine (0.40–0.60%), and valine (0.61–0.67%) to support normal growth. Building on this, the present study employs a gradient SBM replacement strategy, based on the metabolizable energy levels and apparent digestibility of amino acids in geese for alternative ingredients such as rapeseed meal, DDGS, broken rice, and rice bran. By supplementing crystalline amino acids to achieve balance in key limiting amino acids, a CLPD for meat geese was formulated. Through systematic assessment of its effects on growth performance, nitrogen utilization efficiency, and intestinal development, combined with 16S rRNA gene sequencing to characterize shifts in gut microbiota structure, this research seeks to clarify the nutritional metabolic profiles of geese under reduced SBM conditions and the interplay between amino acid balance and gut microbiota. These insights aim to provide scientific guidance for advancing sustainable waterfowl production.

2. Research Methods and Materials

2.1. Animal Ethics Guidelines

The experimental protocol for this study received approval from the Shanghai Academy of Agricultural Sciences’ Animal Care and Use Committee (SAASPZ0522050, 1 April 2022). It was conducted in compliance with China’s national standards, including the ’Experimental Animal—Guidelines for Welfare’ (GB/T 42011-2022 [19]). All procedures were designed to minimize distress and discomfort for the geese throughout the study.

2.2. Experimental Animals and Diet Design

A total of 192 healthy 4-week-old Sanhua geese were sourced from the Daluyuan Breeding Cooperative in Lu’an City, Anhui Province, China. After a 3-day acclimatization period, the geese were weighed to determine their initial body weights. They were then randomly assigned to one of four dietary treatment groups based on these initial weights: a control group fed a Corn-Soybean meal Diet (CSD) with 16.5% crude protein (CP) and three Composite Low-Protein Diet (CLPD) groups with 14.0% CP, 11.5% CP, and 9.8% CP, respectively. Each group comprised six replicates, with eight geese per replicate. The CLPDs were formulated to match the amino acid profile of the CSD, with synthetic amino acids added to achieve this balance. To maintain energy adequacy while reducing crude protein levels, the protein-to-energy ratios were adjusted as follows: 14.86 g CP/MJ ME for the 16.5% CP (CSD) group (control), 12.62 g CP/MJ ME for the 14.0% CP (CLPD) group, 10.37 g CP/MJ ME for the 11.5% CP (CLPD) group, and 8.84 g CP/MJ ME for the 9.8% CP (CLPD) group. All dietary formulations adhered to the Nutritional Requirements for Geese in China (NY/T 4641-2025) and the Nutritional Standards for Commercial Meat Geese (DB37/T 2784-2016).

2.3. Feeding Management and Facility Conditions

The experiment was conducted over 6 weeks at the Zhuanghang Comprehensive Experimental Station, Shanghai Academy of Agricultural Sciences, Shanghai, China. Geese were housed in an environmentally controlled facility, with temperatures maintained between 22 and 28 °C and relative humidity ranging from 55 to 65%. Twenty-four raised mesh pens (dimensions: 3.0 m × 2.0 m × 0.8 m) were used, each fitted with plastic mesh flooring featuring 1 cm apertures. Each pen was equipped with trough feeders for ad libitum feed access and nipple drinkers for water supply. Standardized biosecurity measures were enforced, including vaccinations against Newcastle disease and avian influenza, weekly removal of pen waste, and daily monitoring of goose health status.

2.4. Nutrient Composition Determination

The CP content of feed and fecal samples was determined according to the method described in AOAC 984.13 (AOAC, 2005 [20]). The amino acid profiles were analyzed by Shanghai Kailite Agricultural Product Testing Technology Service Co., Ltd. (Shanghai, China) following the method specified in AOAC Method 994.12 (AOAC, 2019 [21]). The detailed breakdown of nutrient components in the feed of each treatment group is shown in Table 1.
Table 1. Ingredients and nutrient compositions of experimental diets (air dry basis).

2.5. Growth Performance Evaluation

On the day the experiment commenced (4 weeks of age), geese were subjected to a 12-h fasting period prior to weighing, and their initial body weight (IBW) was recorded. On the final day of the experiment (10 weeks of age), the same fasting procedure was applied before weighing to determine their final body weight (FBW), from which the average daily gain (ADG) was calculated. Throughout the experimental period, feed consumption was monitored for each replicate pen, and the feed-to-gain ratio (F/G) was determined for each replicate. The average daily feed intake (ADFI) for each replicate was subsequently calculated based on the F/G and ADG values.
The following formulas were used to assess growth performance parameters:
ADG = (FBW− IBW)/Number of Experimental Days
F/G = Total Feed Consumption/Total Weight Gain
ADFI = total feed intake/(Number of Experimental Days × number of experimental geese)

2.6. Relative Organ Weight Determination

On the final day of the experiment, eight geese with similar body weights were selected from each treatment group, totaling 32 geese. Specifically, 1 representative goose (matching the average body weight of the pen) was selected from each of the 6 pens (replicates) in the treatment group, and an additional 2 geese were supplementarily selected from the same treatment group to ensure consistency with the overall average body weight of the group. After an 8-h fasting period, the geese were anesthetized through a wing vein injection of 30 mg/kg sodium pentobarbital (Sinopharm Group, Shanghai, China). Once fully anesthetized, they were euthanized by exsanguination via the jugular vein, following ethical guidelines for animal welfare. The abdominal cavity was then opened, and the heart, liver, spleen, gizzard, and abdominal fat pad were carefully dissected and weighed. All organ weights were recorded by a single technician to minimize measurement variation. Relative organ weight was calculated using the formula:
Relative Organ Weight = (Organ Weight/Body Weight) × 100%

2.7. Determination of Apparent Digestibility Nutrient

Representative feed samples were collected from each treatment group throughout the trial to accurately reflect the nutritional composition of the diets consumed by the geese. For excreta collection, one goose per replicate pen, selected based on body weight closest to the group mean (total of 6 geese per treatment group), was used. These geese were acclimated to individual metabolic cages for a 3-day adaptation period, during which they received the experimental diet ad libitum to facilitate environmental adjustment and minimize stress-induced variability in excretion patterns. Following adaptation, excreta were collected continuously and completely over a 48-h period. Any feathers or spilled feed mixed in the excreta were carefully removed, and the samples were treated with 10% hydrochloric acid for nitrogen fixation to prevent ammonia volatilization. The treated excreta were immediately stored at −20 °C to inhibit microbial degradation and nutrient loss. For analysis, both feed and excreta samples were thawed, homogenized, and dried at 65 °C in a forced-air oven to constant weight (72 h). The dried samples were then ground through a 1-mm sieve using a laboratory mill and stored in airtight containers at room temperature until further analysis. Crude protein content was determined using the Kjeldahl method according to AOAC 984.13 (AOAC, 2005 [20]), and amino acid profiles were analyzed via ion-exchange chromatography following AOAC 994.12 (AOAC, 2019 [21]). The acid-insoluble ash (AIA) content was determined following the GB/T 23742-2009 standard [22] and the equivalent AOAC 975.12 method. First, the samples were ashed at 600 °C, followed by acid treatment to separate and quantify the insoluble fraction.
Apparent digestibility (AD) was calculated as:
AD (%) = 100 − [100 × (AIA_feed/AIA_feces) × (nutrient_feces/nutrient_feed)],
where AIA_feed and AIA_feces are the AIA percentages in feed and feces, respectively, and nutrient_feed and nutrient_feces are the concentrations of crude protein or specific amino acids in feed and feces, respectively.

2.8. Blood Biochemistry and Amino Acid Profile Analysis

On the final day of the experiment, following an 8-h fasting period, 5 mL blood samples were collected from the brachial vein of geese. The samples were allowed to clot at 4 °C for 2 h and then centrifuged at 3000 rpm for 10 min to separate the serum. The resulting serum samples were stored at −80 °C and subsequently transported to Shanghai Renjie Biotechnology Co., Ltd. (Shanghai, China) for biochemical analysis. Serum biochemical parameters, including total protein (TP), albumin (Alb), globulin (Glob), total cholesterol (TC), low-density lipoprotein cholesterol (LDL-C), high-density lipoprotein cholesterol (HDL-C), uric acid (UA), serum creatinine (SCR), glucose (Glu), total bilirubin (TBIL), indirect bilirubin (IBIL), alanine aminotransferase (ALT), aspartate aminotransferase (AST), and alkaline phosphatase (ALP), were measured using an automatic biochemical analyzer (Model 7180, Hitachi, Tokyo, Japan), with all procedures conducted in strict accordance with the manufacturer’s instructions.

2.9. Determination of Amino Acid Profiles in Serum and Breast-Leg Muscle Tissues

Serum samples were collected as described in Section 2.7 and stored at −80 °C until analysis. Following euthanasia, approximately 5 g of tissue was excised from the same anatomical locations in the breast and leg muscles of each goose. These samples were immediately placed in cryogenic tubes, snap-frozen in liquid nitrogen, and maintained at −80 °C until further processing. The amino acid composition of serum and muscle tissues was determined using a Hitachi automatic amino acid analyzer (Model: LA8080, Hitachi High-Tech Corporation, Tokyo, Japan), in accordance with the standards outlined in GB/T 18246-2019 [23] and AOAC Method 994.12 (AOAC, 2019). Briefly, sample pretreatment involved hydrochloric acid extraction for serum to isolate free amino acids, followed by precipitation removal and pH adjustment for purification; for muscle, proteins were first hydrolyzed with acid to release amino acids, followed by similar purification steps to eliminate impurities. Subsequently, target amino acids were separated via cation-exchange chromatography based on differences in their charge properties. Post-column derivatization with ninhydrin was performed online, and the derivatives were detected photometrically at dual wavelengths (570 nm for primary amino acids and 440 nm for secondary amino acids such as proline). Finally, amino acids were identified qualitatively by retention time and quantified using the external standard method with calibration curves to determine concentrations in serum and muscle.

2.10. Morphological Observation of the Small Intestine

Following euthanasia, the abdominal cavity was opened, and the duodenum, jejunum, and ileum were carefully isolated, rinsed with phosphate-buffered saline (PBS), and fixed in 4% paraformaldehyde solution. After 12 h, the fixative was replaced, and the samples were sent to Beijing Lanyi Technology Co., Ltd., Beijing, China, for histological processing. The fixed samples were subjected to gradient ethanol dehydration, paraffin embedding, sectioning at 5 μm, H&E staining, and mounting. Sections were examined using an Olympus BX-41TF microscope (Olympus Corporation, Tokyo, Japan). For each intestinal segment, six sections were analyzed, and measurements of villus height (VH), crypt depth (CD), and muscularis mucosae thickness were obtained from morphologically intact areas. The VH/CD ratio was calculated, and each parameter was measured five times across different areas of the section, with the average value being used for analysis.

2.11. Cecal Microbiota Analysis

During the slaughter process, cecal contents were collected from each goose. The samples were immediately transferred into cryogenic tubes and snap-frozen in liquid nitrogen, then sent to Beijing Biomarker Technologies Co., Ltd. (Beijing, China) for 16S rRNA gene sequencing. Microbial DNA was extracted from the cecal contents using the Tiangen DP328 Stool DNA Kit (Tiangen Biotech, Beijing, China). Following an assessment of DNA quality and concentration, the V3-V4 region of the bacterial 16S rRNA gene was amplified by PCR with the specific primers F (5′-ACTCCTACGGGAGGCAGCA-3′) and R (5′-GGACTACHVGGGTWTCTAAT-3′). The resulting amplicons were purified via gel electrophoresis and used to construct sequencing libraries. After quality control, paired-end sequencing was performed on the Illumina MiSeq 6000 platform. Raw sequencing data were processed using DADA2 for quality filtering, denoising, merging, and chimera removal to generate high-quality operational taxonomic units (OTUs). These OTUs were taxonomically annotated against the SILVA 138 database and analyzed to assess the diversity, composition, and relative abundance of the cecal microbiota in goslings.

3. Statistical Analysis

All data were preprocessed using Microsoft Excel, followed by statistical analyses performed in Python 3.12 with the SciPy, Statsmodels, and Pingouin libraries. One-way analysis of variance (ANOVA) was employed to assess intergroup differences, with Tukey’s multiple comparison test applied for post-hoc analysis when significant differences were detected by ANOVA (p < 0.05). To evaluate trends across the graded crude protein (CP) levels (16.5%, 14.0%, 11.5%, and 9.8%), orthogonal polynomial contrasts were applied using unequally spaced coefficients to test for linearity, with significance set at p < 0.05 for trend effects. Prior to ANOVA and polynomial contrasts, the Shapiro-Wilk test was used to verify the normality of data distribution, and Levene’s test was employed to evaluate variance homogeneity. To enhance statistical robustness and account for multiple comparisons, p-values were adjusted using the false discovery rate (FDR) method (α = 0.05) according to Benjamini and Hochberg (BH) to minimize the risk of Type I errors. Statistical significance was set at p < 0.05.

4. Result

4.1. Growth Performance

Table 2 presents the growth performance results. No significant differences were observed in IBW among the treatment groups (p > 0.05). Compared to the 16.5% CP (CSD) group, the FBW was significantly higher in the 11.5% CP (CLPD) and 9.8% CP (CLPD) groups (p < 0.01). The ADG in the 14.0% CP (CLPD), 11.5% CP (CLPD), and 9.8% CP (CLPD) groups was significantly superior to that in the 16.5% CP (CSD) group (p < 0.01). The F/G in the 16.5% CP (CSD) group was significantly higher than in the other groups (p < 0.01). No significant differences were observed in ADFI among the groups (p > 0.05). The CP levels exhibited significant linear effects on FBW, ADG, and F/G (P_linear < 0.01), indicating improved growth efficiency with reduced CP in the CLPD groups.
Table 2. Effects of low-protein compound amino acid balanced diets on the growth performance of Sanhua geese (means ± SD; n = 6 replicates/pens per group, 8 geese per replicate).

4.2. Relative Organ Weight

The effects of various dietary treatments on the relative organ weights and abdominal fat yield of geese are presented in Table 3. No significant differences were observed in the relative weights of the heart, spleen, and gizzard across all treatment groups (p > 0.05). In contrast, the relative liver weight in the 9.8% CP (CLPD) group was significantly lower than that in the other groups (p < 0.05). Furthermore, abdominal fat yield was significantly higher in the 11.5% CP (CLPD) and 9.8% CP (CLPD) compared to the 16.5% CP (CSD) and 14.0% CP (CLPD) groups (p < 0.01). The crude protein level exhibited a significant linear relationship with the abdominal fat percentage in Sanhua geese (P_linear < 0.01), indicating that lower dietary protein levels facilitate greater fat deposition.
Table 3. Effects of low-protein compound amino acid balanced diets on relative organ weights of Sanhua geese (means ± SD, n = 8 samples per group).

4.3. Apparent Digestibility of Crude Protein and Amino Acids in Geese

The apparent digestibility of CP and amino acids in geese was significantly influenced by different dietary treatments, as shown in Table 4. CP digestibility was significantly higher in the 9.8% CP (CLPD) group compared to all other groups (p < 0.01), while the 11.5% CP (CLPD) group had significantly greater CP digestibility than the 16.5% CP (CSD) and 14.0% CP (CLPD) groups (p < 0.01). In terms of amino acid digestibility, the 9.8% CP (CLPD) group demonstrated significantly higher values for 13 amino acids—including threonine (Thr), serine (Ser), glutamic acid (Glu), alanine (Ala), valine (Val), isoleucine (Ile), leucine (Leu), tyrosine (Tyr), phenylalanine (Phe), lysine (Lys), histidine (His), arginine (Arg), and proline (Pro)—compared to all other groups (p < 0.01). The 11.5% CP (CLPD) group also exhibited significantly higher digestibility of CP and several amino acids, including aspartic acid (Asp), Thr, Ser, glycine (Gly), Ile, Leu, and Phe, compared to the 16.5% CP (CSD) and 14.0% CP (CLPD) groups (p < 0.01). However, the digestibility of Ala in the 11.5% CP (CLPD) group was significantly higher than in the 16.5% CP (CSD) group (p < 0.01) but did not differ significantly from the 14.0% CP (CLPD) group (p > 0.05). No significant differences (p > 0.05) were found in the digestibility of His, Arg, and Pro between the 11.5% CP (CLPD) group and the 16.5% CP (CSD) and 14.0% CP (CLPD) groups. The CP levels exhibited significant linear effects on the apparent digestibility of amino acids (P_linear < 0.01), indicating that reduced CP in the CLPD groups significantly improved amino acid digestibility.
Table 4. Effects of low-protein compound amino acid-balanced diets on apparent digestibility of Sanhua geese (means ± SD, n = 6 samples per group).

4.4. Serum Biochemical Parameters

As shown in Table 5, different dietary treatments significantly influenced the serum biochemical parameters of geese. Low-density lipoprotein cholesterol (LDL-c) levels were significantly higher in the 9.8% CP (CLPD) group than in all other groups (p < 0.01), while no significant differences were found among the 16.5% CP (CSD), 14.0% CP (CLPD), and 11.5% CP (CLPD) groups (p > 0.05). Serum creatinine (SCR) levels in the 16.5% CP (CSD) and 14.0% CP (CLPD) groups were significantly higher than in the 11.5% CP (CLPD) and 9.8% CP (CLPD) groups (p < 0.01). Other serum biochemical parameters showed no significant differences among the treatment groups (p > 0.05).
Table 5. Effects of low-protein compound amino acid balanced diets on serum biochemical parameters of meat geese (means ± SD, n = 8 samples per group).

4.5. Serum Amino Acid Composition

As shown in Table 6, there was no significant difference in serum amino acid levels among all treatment groups (p > 0.05). The serum levels of Asp, Glu, Ile, Leu, and Arg exhibited a significant linear relationship with dietary protein levels (P_linear < 0.01), indicating a linear decreasing trend in the concentrations of these amino acids in serum as CP levels were reduced in the CLPD groups.
Table 6. Effects of low-protein compound amino acid balanced diets on serum amino acid composition of Sanhua geese (means ± SD, n = 8 samples per group).

4.6. Amino Acid Composition in Goose Breast Muscle

As shown in Table 7, different dietary treatments significantly affected the amino acid composition in goose breast muscle. The levels of Gly, Ala, Lys, Arg, and Pro in the 16.5% CP (CSD) and 14.0% CP (CLPD) groups were significantly higher than those in the 11.5% CP (CLPD) and 9.8% CP (CLPD) groups (p < 0.01), with no significant difference observed between the 11.5% CP (CLPD) and 9.8% CP (CLPD) groups (p > 0.05). Similarly, the levels of Ile, Leu, and His in the 16.5% CP (CSD) and 14.0% CP (CLPD) groups were significantly elevated compared to the 11.5% CP (CLPD) and 9.8% CP (CLPD) groups (p < 0.05), and no significant difference was found between the 11.5% CP (CLPD) and 9.8% CP (CLPD) groups (p > 0.05). For Tyr and Phe, a gradient pattern was observed, with the 16.5% CP (CSD) group exhibiting significantly higher levels than the 11.5% CP (CLPD) and 9.8% CP (CLPD) groups (p < 0.01), and the 14.0% CP (CLPD) group showing significantly higher levels than the 9.8% CP (CLPD) group (p < 0.01); however, no significant differences were detected between the 14.0% CP (CLPD) and 11.5% CP (CLPD) groups or between the 11.5% CP (CLPD) and 9.8% CP (CLPD) groups (p > 0.05). In contrast, the levels of ASP, Thr, Ser, Glu, Val, and Met showed no significant differences among all treatment groups (p > 0.05). With the exception of Asp, Glu, and Ala, all amino acid levels in the breast muscle exhibited a significant linear relationship with crude protein levels (P_linear < 0.05), indicating a decreasing trend in the deposition of these amino acids in the breast muscle as CP levels were reduced in the CLPD groups.
Table 7. Effects of low-protein compound amino acid balanced diets on amino acid composition of breast muscle in Sanhua geese (means ± SD, n = 8 samples per group).

4.7. Amino Acid Composition in Goose Leg Muscle

As presented in Table 8, different dietary treatments significantly influenced the amino acid composition of goose leg muscle. The results indicated that the levels of Tyr and Phe in the 9.8% CP (CLPD) group were significantly higher than those in the 16.5% CP (CSD) and 14.0% CP (CLPD) groups (p < 0.01), whereas no significant differences were observed between the 11.5% CP (CLPD) group and any other groups for these amino acids (p > 0.05). Other amino acids, ASP, Thr, Ser, Glu, Gly, Ala, Val, Met, Ile, Leu, Lys, His, Arg, and Pro, exhibited no significant differences across all treatment groups (p > 0.05). The levels of Phe and Tyr in the leg muscle exhibited a significant linear relationship with dietary crude protein levels (P_linear < 0.05), indicating an upward trend in the deposition of Phe and Tyr amino acids in the leg muscle as CP levels were reduced in the CLPD groups.
Table 8. Effects of low-protein compound amino acid balanced diets on amino acid composition of leg muscle in Sanhua geeses (means ± SD, n = 8 samples per group).

4.8. Intestinal Morphology Parameters

As shown in Figure 1 and Table 9, the effects of dietary treatments on intestinal morphology parameters in geese varied by intestinal segment. In the duodenum, villus height was significantly greater in the 11.5% CP (CLPD) and 9.8% CP (CLPD) groups compared to the 16.5% CP (CSD) and 14.0% CP (CLPD) groups (p < 0.01). Crypt depth in the 9.8% CP (CLPD) group was significantly lower than in the 16.5% CP (CSD) group (p < 0.05), and both the villus-to-crypt ratio and muscularis mucosa thickness were significantly greater in the 9.8% CP (CLPD) group than in the 16.5% CP (CSD) group (p < 0.01). In the jejunum, villus height in the 16.5% CP (CSD) group was significantly lower than in the 14.0% CP (CLPD), 11.5% CP (CLPD), and 9.8% CP (CLPD) groups (p < 0.01). Crypt depth in the 16.5% CP (CSD) group was lower than in the 14.0% CP (CLPD) group (p < 0.05), and muscularis mucosa thickness showed a significant gradient of 16.5% CP (CSD) > 14.0% CP (CLPD) > 9.8% CP (CLPD) (p < 0.01). In the ileum, only the 14.0% CP (CLPD) group exhibited significantly lower muscularis mucosa thickness compared to the 16.5% CP (CSD), 11.5% CP (CLPD), and 9.8% CP (CLPD) groups (p < 0.01). No significant differences were observed in other intestinal morphology parameters across all segments (p > 0.05). The CP levels exhibited significant linear effects on VH and the VH/CD ratio in the duodenum (P_linear < 0.01), as well as on MMLT in the duodenum and jejunum (P_linear < 0.01), indicating improved intestinal structure in the CLPD groups.
Figure 1. Effects of low-protein compound amino acid balanced diets on intestinal histological observation of Sanhua geese (100×).
Table 9. Effects of low-protein compound amino acid balanced diets on intestinal morphological indices of Sanhua geese (means ± SD, n = 8 samples per group).

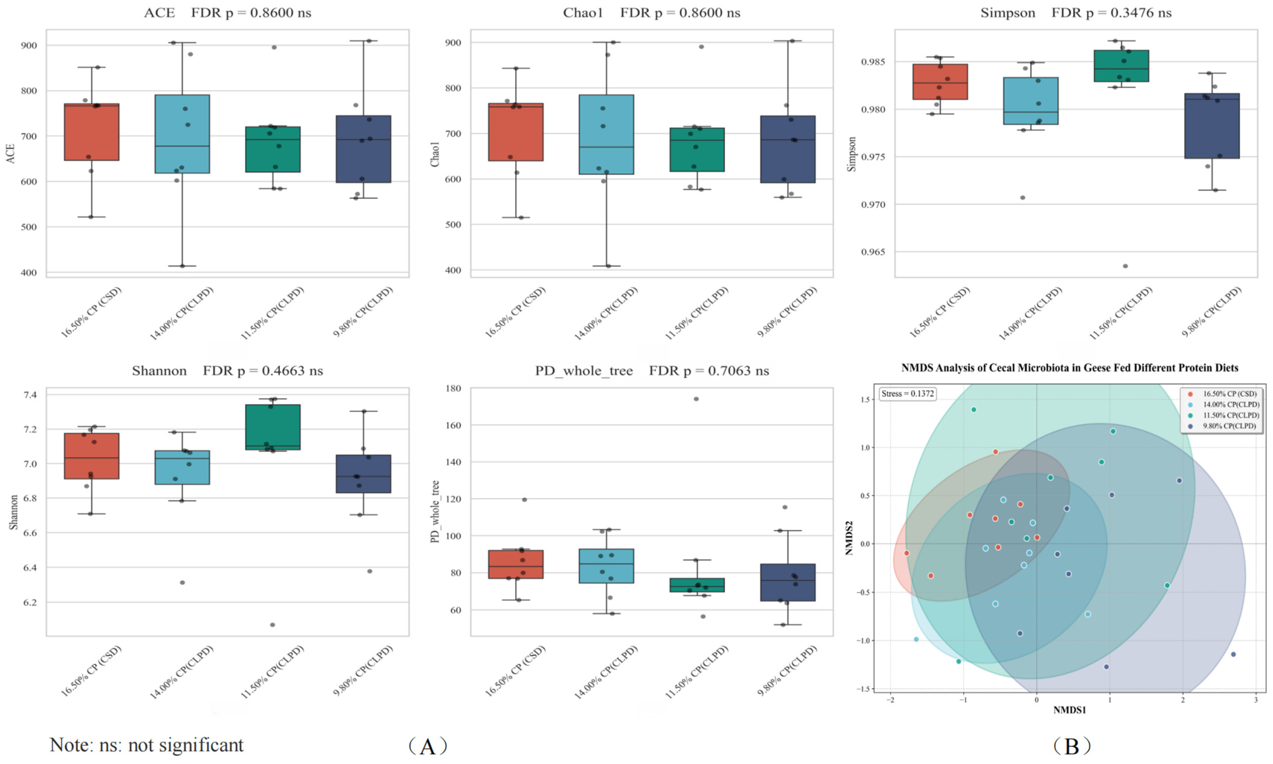
4.9. Alpha Diversity of Cecal Contents and Microbial Community Structure Analysis

The effects of different dietary treatments on the alpha diversity of cecal contents in geese are shown in Figure 2A. There were no significant differences in ACE, Chao1, Simpson, Shannon, and PD_whole_tree among the treatment groups (p > 0.05). The non-metric multidimensional scaling (NMDS) analysis of cecal microbiota in geese fed diets with different CP levels is shown in Figure 2B, and the stress value was 0.1372 (falling within the range of 0.1–0.2, which indicates an acceptable fit for reflecting differences in microbial communities). The NMDS plot revealed partial clustering patterns of microbial communities among the four groups: samples from the 9.8% CP (CLPD) group tended to cluster in the right region along the NMDS1 axis; samples from the 16.5% CP (CSD) group were more concentrated in the left region; while samples from the 14.0% CP (CLPD) and 11.5% CP (CLPD) groups showed relatively dispersed distributions and overlapped with other groups to varying degrees. These patterns suggested that dietary CP levels potentially contributed to differences in cecal microbial composition, although there was no complete distinct separation among all groups due to partial overlap.
Figure 2. (A): Effects of low-protein compound amino acid balanced diets on alpha diversity of cecal contents in Sanhua Geese. (B): Effects of low-protein compound amino acid-balanced diets on PCoA Analysis of cecal contents in meat geese (n = 8 samples per group).

4.10. Taxonomic Composition and LEfSe Analysis of Cecal Microbiota

The structure and abundance of the cecal microbiota, influenced by the SBM reduction strategy, are shown in Figure 3A,B. At the phylum level (Figure 3A), the microbiota composition remained similar across all treatment groups, with the most abundant phyla being Firmicutes, Bacteroidota, Desulfobacterota, Proteobacteria, Verrucomicrobiota, Actinobacteriota, Cyanobacteria, Elusimicrobiota, Fusobacteriota, and Campylobacterota. At the genus level (Figure 3B), the most prevalent genera included Bacteroides, Megamonas, Desulfovibrio, Faecalibacterium, and Prevotellaceae_Ga6A1_group, among others. LEfSe analysis (Figure 3C,D) identified Megamonas, Prevotellaceae_Ga6A1_group, and Rikenellaceae_RC9_gut_group as significant biomarkers for the 16.5% CP (CSD) group (LDA scores > 4.0), while Desulfovibrio, unclassified_Ruminococcaceae, unclassified_Oscillospiraceae were identified as key biomarkers for the 9.8% CP (CLPD) group (LDA scores > 3.0). These findings suggest distinct shifts in microbiota composition related to dietary treatments, with potential implications for metabolic processes.
Figure 3. Effects of low-protein compound amino acid-balanced diets on the abundance and taxonomic structure of cecal microbiota in Sanhua geese (n = 8 samples per group). (A): Relative abundance of microbial phyla (Top 15) across different groups; (B): Relative abundance of microbial genera (Top 25) across different groups; (C): LEfSe cladogram showing differential abundance of microbial taxa between groups; (D): LDA score plot of differentially abundant microbial taxa between groups.

4.11. Dietary Effects on Cecal Microbiota at Phylum and Genus Levels

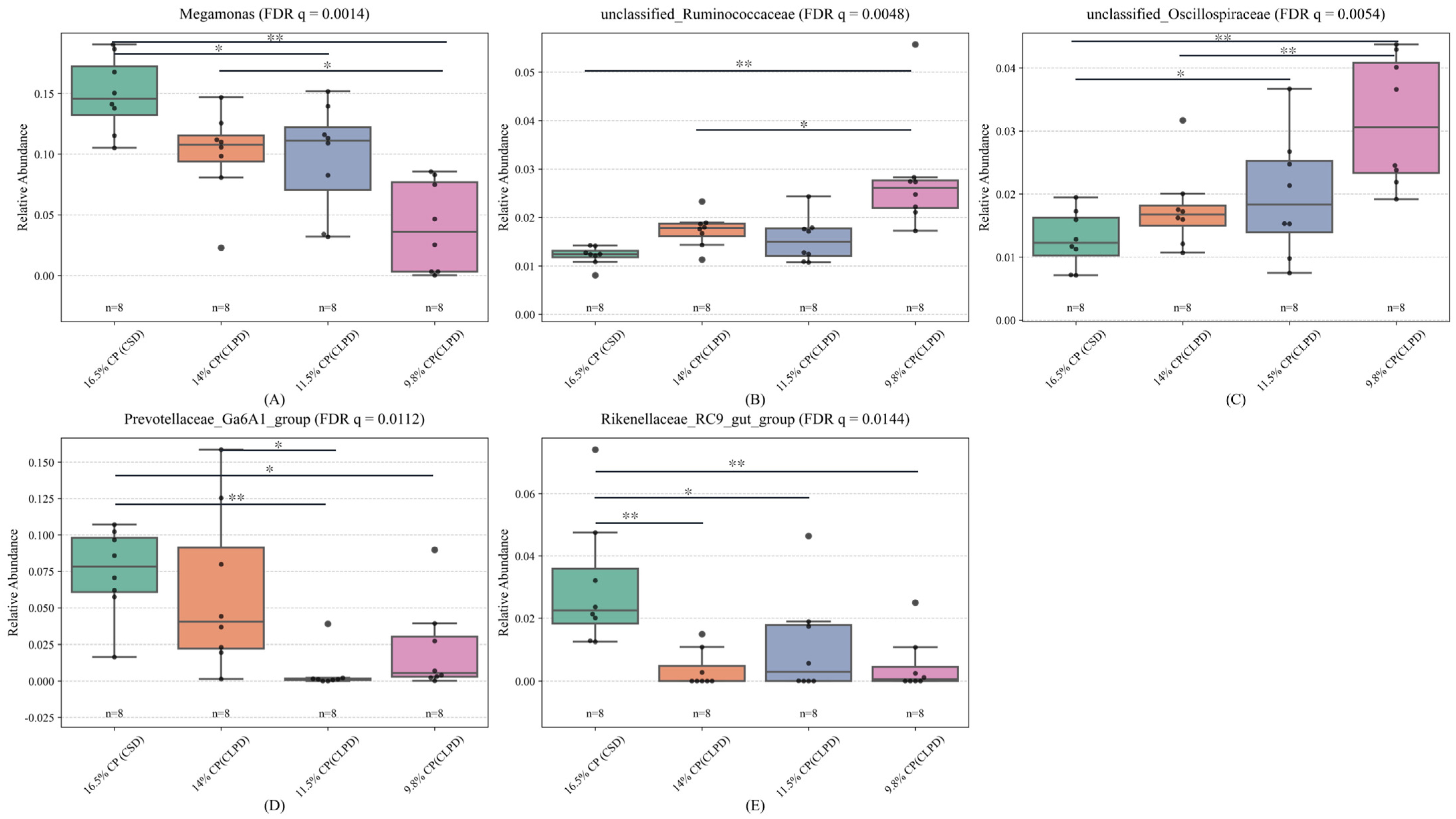
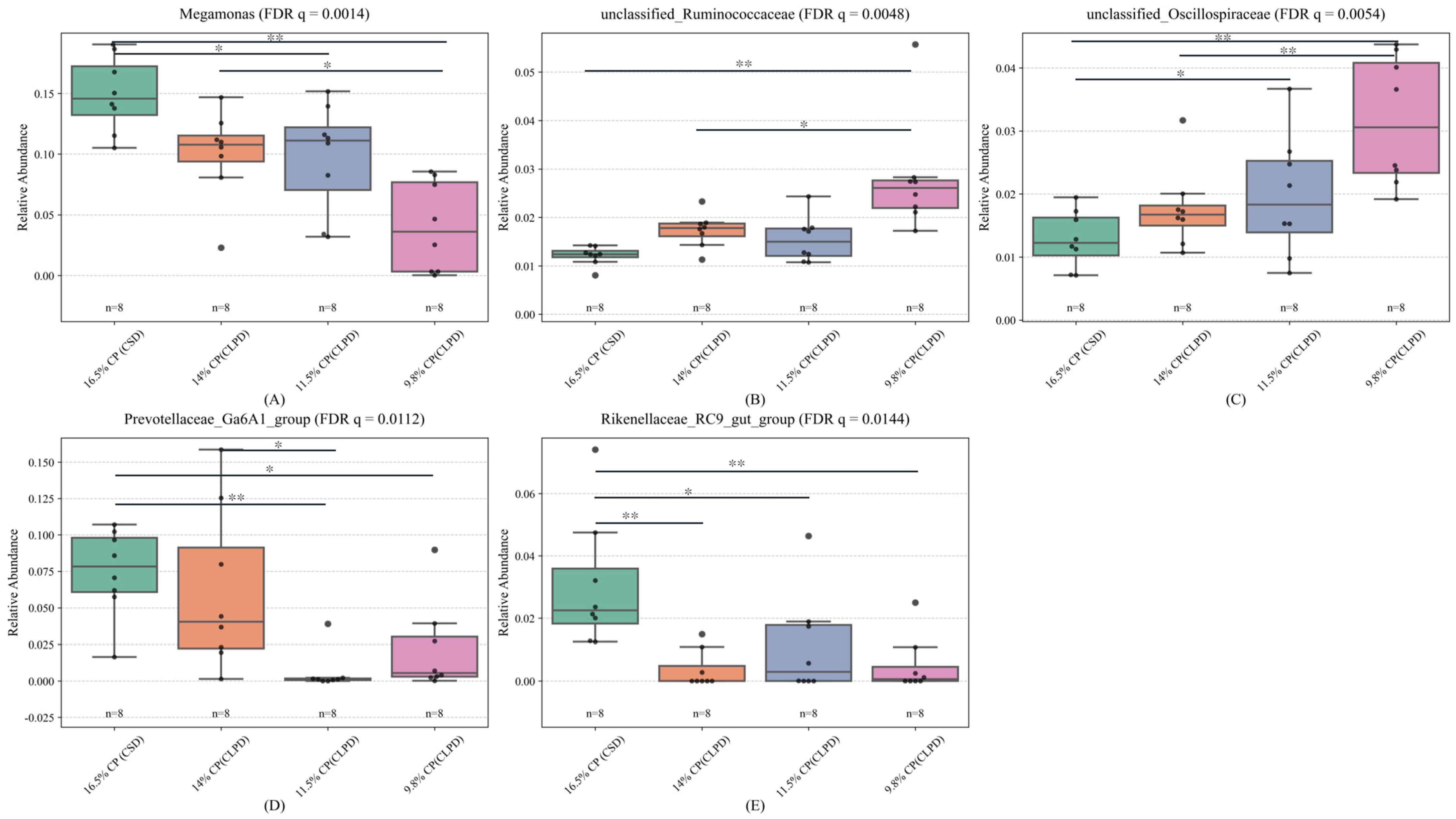
To further validate these differences, the relative abundances of the identified taxa were analyzed using one-way analysis of variance (ANOVA), followed by Tukey′s multiple comparison test, with p-values adjusted via the false discovery rate (FDR) method to account for multiple comparisons (Figure 4). The results, based on adjusted p-values (p), are as follows: (1) The relative abundance of Megamonas (Figure 4A) was significantly higher in the 16.5% CP (CSD) group compared to the 11.5% CP (CLPD) and 9.8% CP (CLPD) groups (p < 0.01), and in the 14.0% CP (CLPD) group compared to the 9.8% CP (CLPD) group (p < 0.05), while no significant differences were observed between the 14.0% CP (CLPD) group and the 11.5% CP (CLPD) or 9.8% CP (CLPD) groups (p > 0.05); (2) The relative abundance of unclassified_Ruminococcaceae (Figure 4B) was significantly higher in the 9.8% CP (CLPD) group compared to the 16.5% CP (CSD) and 14.0% CP (CLPD) groups (p < 0.05), with no significant differences among the remaining groups (p > 0.05); (3) The relative abundance of unclassified_Oscillospiraceae (Figure 4C) was significantly higher in the 9.8% CP (CLPD) group compared to the 16.5% CP (CSD) and 14.0% CP (CLPD) groups (p < 0.05), the 11.5% CP (CLPD) group had a significantly higher than the 16.5% CP (CLPD) group (p < 0.05), while there was no significant difference between the 16.5% CP (CLPD) group and the 14.00% CP (CLPD) group(p > 0.05); (4) The relative abundance of Prevotellaceae_Ga6A1_group (Figure 4D) was significantly higher in the 16.5% CP (CSD) group compared to the 11.5% CP (CLPD) and 9.8% CP (CLPD) groups (p < 0.05), and in the 14.0% CP (CLPD) group compared to the 11.5% CP (CLPD) group (p < 0.05), while no significant difference was observed between the 11.5% CP (CLPD) and 9.8% CP (CLPD) groups (p > 0.05); (5) The relative abundance of Rikenellaceae_RC9_gut_group (Figure 4E) was significantly higher in the 16.5% CP (CSD) group compared to the other groups (p < 0.05), with no significant differences among the remaining groups (p > 0.05).
Figure 4. Effects of low-protein compound amino acid-balanced diets on the abundance of different microbial genera in the Cecum of Sanhua Geese. (A): Relative abundance of the Megamonas genus in the 16.5% CP (CSD), 14.0% CP (CLPD), 11.5% CP (CLPD), and 9.8% CP (CLPD) groups. (B): Relative abundance of the unclassified_Ruminococcaceae genus in the 16.5% CP (CSD), 14.0% CP (CLPD), 11.5% CP (CLPD), and 9.8% CP (CLPD) groups. (C): Relative abundance of the unclassified_Oscillospiraceae genus in the 16.5% CP (CSD), 14.0% CP (CLPD), 11.5% CP (CLPD), and 9.8% CP (CLPD) groups. (D): Relative abundance of the Prevotellaceae_Ga6A1_group genus in the 16.5% CP (CSD), 14.0% CP (CLPD), 11.5% CP (CLPD), and 9.8% CP (CLPD) groups. (E): Relative abundance of the Rikenellaceae_RC9_gut_group genus in the 16.5% CP (CSD), 14.0% CP (CLPD), 11.5% CP (CLPD), and 9.8% CP (CLPD) groups. Note: Asterisks (*) indicate statistically significant differences between groups. p < 0.05 is indicated by *, p < 0.01 is indicated by **.

4.12. Correlation of Cecal Genera with Geese Morphology and Physiology

As shown in Figure 5, significant correlations were observed between differential cecal genera and intestinal morphology, growth performance, and serum biochemical parameters in meat geese. Specifically, Figure 5A illustrates the correlations with intestinal morphological indices: Megamonas was significantly negatively correlated with duodenal villus height (VH, p < 0.05), villus height to crypt depth ratio (VH/CD, p < 0.05), and mucosal muscle layer thickness (MMLT, p < 0.05), but positively correlated with duodenal crypt depth (CD, p < 0.05) and jejunal MMLT (p < 0.05). Similarly, Rikenellaceae_RC9_gut_group exhibited significant negative correlations with duodenal VH (p < 0.05), VH/CD (p < 0.05), and MMLT (p < 0.05), as well as jejunal VH (p < 0.05) and CD (p < 0.05). Figure 5B presents the correlations with growth performance and serum biochemical parameters: Megamonas showed significant negative correlations with average daily gain (ADG, p < 0.05), while displaying positive correlations with feed-to-gain ratio (F/G, p < 0.05), relative liver weight (p < 0.05), and serum triglyceride (TG, p < 0.05) levels. Additionally, Prevotellaceae_Ga6A1_group was positively correlated with F/G (p < 0.05), serum total cholesterol (TC, p < 0.05), and creatinine (SCR, p < 0.05), but negatively correlated with abdominal fat percentage (p < 0.05).
Figure 5. Effects of low-protein compound amino acid balanced diets on spearman correlation analysis between cecal genera and growth performance, organ weights, serum biochemical parameters, and intestinal morphology in Sanhua geese. (A): Spearman Correlation Analysis Between Cecal Genera and Intestinal Morphology. (B): Spearman Correlation Analysis Between Cecal Genera and Growth Performance, Serum Biochemical Parameters. Note: D-VH: Duodenal villus height, D-CD: Duodenal crypt depth, D-VH/CD: Duodenal villus to crypt ratio, D-MMLT: Duodenal mucosal muscle layer thickness, J-VH: Jejunal villus height, J-CD: Jejunal crypt depth, J-VH/CD: Jejunal villus to crypt ratio, J-MMLT: Jejunal mucosal muscle layer thickness, I-VH: Ileal villus height, I-CD: Ileal crypt depth, I-VH/CD: Ileal villus to crypt ratio, I-MMLT: Ileal mucosal muscle layer thickness. Asterisks (*) indicate statistically significant differences between groups; p < 0.05 is indicated by *, p < 0.01 is indicated by **.

5. Discussion

To mitigate the challenges posed by the meat goose industry’s heavy reliance on SBM—including raw material price volatility, geopolitical risks, and environmental pressures—this study developed and evaluated a sustainable low-protein compound diet system. This approach entailed a progressive reduction in dietary SBM content, supplemented by alternative feedstuffs such as rapeseed meal, corn distillers DDGS, broken rice, and rice bran, with dietary formulations optimized through restrictive amino acid balancing. Results revealed that this low-protein feeding strategy significantly enhanced the growth performance of meat geese. Specifically, geese in the CLPD groups (B, C, and D) exhibited a markedly higher ADG and improved feed conversion ratio compared to the control group. These findings suggest that, by refining dietary composition and ensuring amino acid equilibrium, CLPD can sustain or even augment growth outcomes in meat geese while substantially improving nitrogen utilization efficiency. This strategy offers a practical avenue for reducing SBM dependency, providing valuable implications for the sustainable advancement of poultry production.
The observed improvements in growth performance are intricately linked to a suite of physiological and metabolic adaptations. As dietary protein levels declined, the apparent digestibility of crude protein and multiple amino acids in geese increased progressively. This enhancement is likely attributable to the elevated bioavailability of synthetic amino acids, which, existing in free form, are readily absorbed by the intestine without requiring extensive enzymatic degradation [24]. Such rapid uptake accelerates protein turnover, ensuring an adequate amino acid supply for muscle development. Additionally, the diminished inclusion of SBM likely alleviated the adverse effects of trypsin inhibitors inherent in SBM [25], thereby enhancing endogenous protease activity and boosting overall feed digestibility. A notable shift in the dietary energy-to-protein ratio prompted a reallocation of metabolic resources. Protein synthesis, encompassing transcription, translation, and folding, demands considerable ATP, whereas lipid synthesis is comparatively energy-efficient. Consequently, CLPD redirected energy toward rapid fat deposition rather than muscle protein accretion [26], accounting for the accelerated body weight gain and elevated abdominal fat proportion in geese fed these diets. Increased serum low-density lipoprotein cholesterol levels, which may indicate heightened cholesterol transport demands, could further support this potential metabolic shift [27]. Although we balanced the limiting amino acids (lysine, methionine, and threonine), previous studies suggest that a further reduction in dietary protein levels (below 10%) might lead to relative deficiencies in certain essential amino acids, such as leucine and arginine. These potential deficiencies could plausibly impair the efficiency of ribosomal protein synthesis downstream of the mTORC1 signaling pathway, potentially reducing the overall efficiency of protein synthesis in the organism, as reported in prior research [28]. As a result, unutilized amino acids are metabolized and released into the bloodstream, leading to elevated blood amino acid concentrations and a concurrent decrease in amino acid deposition in muscle tissue. This observation is consistent with the primary findings of our experimental study.
At the muscular level, responses to CLPD displayed distinct site-specific patterns. In breast muscle, concentrations of glycine, alanine, and aromatic amino acids were significantly diminished. Concurrently, rapid fat synthesis and deposition, coupled with sustained insulin elevation, may induce “anabolic resistance” in fast-twitch fibers, potentially diminishing mTORC1 pathway responsiveness to amino acids and channeling carbon skeletons toward adipose tissue, as hypothesized in previous literature [29]. This mechanism elucidates the heightened sensitivity of breast muscle to LPD. Conversely, leg muscle, dominated by slow-twitch fibers, exhibited greater metabolic stability, with elevated tyrosine and phenylalanine levels detected only in the group with the most substantial SBM reduction (group D). This anomaly likely stems from insufficient phenylalanine intake due to lower SBM levels, constraining tetrahydrobiopterin synthesis—a critical cofactor for phenylalanine hydroxylase—and impeding phenylalanine conversion to tyrosine [30]. These differential responses highlight the potential of targeted supplementation with branched-chain and methyl-donor amino acids, alongside comprehensive optimization of the dietary amino acid profile, to enhance breast muscle protein synthesis efficiency and maintain leg muscle aromatic amino acid homeostasis while reducing SBM reliance, ultimately preserving meat quality.
The influence of CLPD on intestinal morphology also exhibited pronounced segment-specificity, predominantly affecting the duodenum and jejunum, with minimal impact on the ileum. In the duodenum, groups C and D displayed significantly greater villus height and reduced crypt depth relative to groups A and B, culminating in an elevated V/C in group D—a trait closely associated with improved nutrient absorption [31]. Additionally, the thickened mucosal muscularis in group D likely bolstered intestinal mechanical strength and peristalsis [32]. In the jejunum, CLPD similarly fostered villus elongation, yet mucosal muscularis thickness declined with decreasing protein levels, possibly reflecting adaptive responses to altered mechanical demands, the mechanisms of which merit further exploration. By contrast, ileal morphology remained largely unaltered, with only minor shifts in muscularis thickness in select groups, consistent with its primary role in water and electrolyte absorption [33]. Remarkably, despite progressive SBM reduction, intestinal morphology showed no detrimental effects; instead, enhancements in duodenal and jejunal parameters emerged. This improvement likely arises from the combined reduction in SBM-derived antinutritional factors and optimized amino acid provision via synthetic supplements, synergistically enhancing nutrient absorption and feed efficiency in the proximal intestine.
Using 16S rRNA sequencing, this study assessed the effects of CLPD on cecal microbiota, elucidating how SBM reduction modulates gut microbial communities to bolster growth and metabolic efficiency. Dietary treatments exerted no significant influence on cecal microbial alpha diversity, corroborating prior evidence that moderate protein reductions preserve microbial richness and stability [34]. However, beta diversity analyses revealed distinct microbial community structures across groups, with the greatest divergence between the 16.5%CP (CSD) and the 9.8%CP (CLPD) groups, indicating that substantial protein level alterations drive microbial restructuring. Megamonas, potentially linked to fat deposition and energy metabolism, declined in abundance under the high energy-to-protein ratio of CLPD, consistent with observations in laying hens on high-energy diets [35]. Previous studies have shown that the improvement of cecal microflora in geese is accompanied by a significant increase in the relative abundance of Oscillospiraceae and Ruminococcaceae. As important producers of short-chain fatty acids (SCFAs) in the intestine [36,37], the butyric acid produced by Oscillospiraceae and Ruminococcaceae helps to directly support the function of intestinal epithelial cells and maintain the intestinal barrier function [38]. This study found that a low-protein, diversified diet is conducive to the colonization of these bacteria in the cecum of geese, promoting their decomposition of cellulose in the diet and improving the feed conversion efficiency. Prevotellaceae_Ga6A1_group, implicated in cellulose degradation for high-fiber digestion [39], decreased possibly due to DDGS inclusion, mirroring findings from brewer’s grain supplementation in Landes geese [37]. Rikenellaceae_RC9_gut_group, engaged in bile acid, protein, lipid, and carbohydrate metabolism [40], diminished with reduced crude fiber and increased energy feed proportions in LPD [41]. In contrast, Megamonas positively correlated with F/G and BUN and negatively with ADG, abdominal fat, and intestinal morphology, implying nitrogen wastage and intestinal suppression in high-protein contexts [42]. Prevotellaceae_Ga6A1_group positively correlated with serum cholesterol and creatinine, hinting at lipid and renal regulatory roles, while Rikenellaceae_RC9_gut_group negatively correlated with intestinal morphology, reinforcing high-protein diets’ inhibitory effects. Collectively, CLPD with amino acid balancing selectively modulates cecal microbiota, enhancing growth, intestinal health, and nitrogen efficiency, thus supporting sustainable poultry production.

6. Conclusions

This study finds that a low-protein compound diet with precisely balanced limiting amino acids can reduce SBM usage, improve feed utilization, and enhance meat geese’s growth performance, protein efficiency, and intestinal development by regulating nitrogen metabolism and lipid deposition. However, crude protein levels below 10% cause amino acid imbalance and adverse metabolic effects, while 11.5% with balanced amino acids optimizes growth and homeostasis.

Author Contributions

Conceptualization, X.W. and D.H.; Methodology, H.W. and D.H.; Software, Y.L.; Validation, G.L.; Formal Analysis, X.W. and H.W.; Investigation, H.W. and J.D.; Resources, Y.L., H.J. and X.Z.; Data Curation, G.L.; Writing—Original Draft Preparation, X.W.; Writing—Review and Editing, H.W. and D.H.; Visualization, X.W.; Supervision, H.W. and D.H.; Project Administration, S.C. and D.H.; Funding Acquisition, D.H. and S.C. All authors have read and agreed to the published version of the manuscript.

Funding

This study was supported by the Science and Technology Innovation 2025 Major Project of Ningbo: Exploration of Germplasm Resources and Breeding of New Strains of Zhedong White Goose [2021Z131], the National Modern Agriculture Industry Technology System [CARS-42-35], the SAAS Program for Excellent Research Team [2022-021].

Institutional Review Board Statement

The experimental protocol for this study received approval from the Shanghai Academy of Agricultural Sciences’ Animal Care and Use Committee (SAASPZ0522050, 1 April 2022). It was conducted in compliance with China’s national standards, including the ‘Experimental Animal—Guidelines for Welfare’ (GB/T 42011-2022). All procedures were designed to minimize distress and discomfort for the geese throughout the study.

Data Availability Statement

The original contributions presented in this study are included in the article. Further inquiries can be directed to the corresponding author.

Conflicts of Interest

The authors declare no conflicts of interest.

References

  1. Lambo, M.T.; Ma, H.; Zhang, H.; Song, P.; Mao, H.; Cui, G.; Dai, B.; Li, Y.; Zhang, Y. Mechanism of action, benefits, and research gap in fermented soybean meal utilization as a high-quality protein source for livestock and poultry. Anim. Nutr. 2023, 16, 130–146. [Google Scholar] [CrossRef] [PubMed]
  2. Cheng, X.; Li, H.; Tang, Q.; Zhang, H.; Liu, T.; Wang, Y. Trends in the global commercialization of genetically modified crops in 2023. J. Integr. Agric. 2024, 23, 3943–3952. [Google Scholar] [CrossRef]
  3. Song, X.P.; Hansen, M.C.; Potapov, P.; Adusei, B.; Pickering, J.; Adami, M.; Tyukavina, A. Massive soybean expansion in South America since 2000 and implications for conservation. Nat. Sustain. 2021, 4, 784–792. [Google Scholar] [CrossRef] [PubMed]
  4. Escobar, N.; Tizado, E.J.; zu Ermgassen, E.K.; Löfgren, P.; Börner, J.; Godar, J. Spatially-explicit footprints of agricultural commodities: Mapping carbon emissions embodied in Brazil’s soy exports. Glob. Environ. Change 2020, 62, 102067. [Google Scholar] [CrossRef]
  5. Uwizeye, A.; de Boer, I.J.; Opio, C.I.; Schulte, R.P.; Falcucci, A.; Tempio, G.; Gerber, P.J. Nitrogen emissions along global livestock supply chains. Nat. Food 2020, 1, 437–446, Correction in: Nat. Food. 2025, 6, 214. [Google Scholar] [CrossRef]
  6. US Department of Agriculture. Production—Soybeans. Foreign Agricultural Service. Available online: https://www.fas.usda.gov/data/production/commodity/2222000 (accessed on 1 June 2025).
  7. De Cesare, A.; do Valle, I.F.; Sala, C.; Sirri, F.; Astolfi, A.; Castellani, G.; Manfreda, G. Effect of a low protein diet on chicken ceca microbiome and productive performances. Poult. Sci. 2019, 98, 3963–3976. [Google Scholar] [CrossRef]
  8. Cappelaere, L.; Le Cour Grandmaison, J.; Martin, N.; Lambert, W. Amino acid supplementation to reduce environmental impacts of broiler and pig production: A review. Front. Vet. Sci. 2021, 8, 689259. [Google Scholar] [CrossRef]
  9. Ajao, A.M.; White, D.; Kim, W.K.; Olukosi, O.A. Partial replacement of soybean meal with canola meal or corn DDGS in low-protein diets supplemented with crystalline amino acids—Effect on growth performance, whole-body composition, and litter characteristics. Animals 2022, 12, 2662. [Google Scholar] [CrossRef]
  10. Food and Agriculture Organization of the United Nations. FAOSTAT—Crops and Livestock Products. Available online: https://www.fao.org/faostat/zh/#data/QCL (accessed on 1 June 2025).
  11. Liang, Y.Q.; Zheng, X.C.; Wang, J.; Yang, H.M.; Wang, Z.Y. Different amino acid supplementation patterns in low-protein diets on growth performance and nitrogen metabolism of goslings from 1 to 28 days of age. Poult. Sci. 2023, 102, 102395. [Google Scholar] [CrossRef]
  12. Li, W.; Zhao, M.; Zhang, L.; Sun, G.; Zhao, H.; Zhang, G.; Chen, G. Impact of low-protein diet on geese growth: Early low-protein diets with amino acid supplementation improve nitrogen utilization and maintain growth performance in meat geese. Front. Anim. Sci. 2025, 6, 1507440. [Google Scholar] [CrossRef]
  13. Elahi, U.; Wang, J.; Ma, Y.B.; Wu, S.G.; Qi, G.H.; Zhang, H.J. The response of broiler chickens to dietary soybean meal reduction with glycine and cysteine inclusion at marginal sulfur amino acids (SAA) deficiency. Animals 2020, 10, 1686. [Google Scholar] [CrossRef]
  14. Shi, W.; Jiang, C.; Zhang, X.; Hu, Q.; Zhao, C.; Li, X.; Ghonaim, A.H.; Li, S.; Ren, M. Effects of Different Dietary Crude Protein Levels on Reproductive Performance, Egg Quality and Serum Biochemical Indices of Wanxi White Geese in the Laying Period. Animals 2025, 15, 1140. [Google Scholar] [CrossRef]
  15. Shen, J.; Chen, J.; Chen, Y.; Yang, Z.; Yang, H.; Wang, Z. Effects of different protein levels and starch-to-fat ratios in diets on growth performance, slaughter performance, and nutrient digestibility of geese. Poult. Sci. 2025, 104, 104961. [Google Scholar] [CrossRef]
  16. Chen, Y.; Zhang, B.; Wang, B.; Zhang, M.; Fan, W.; Li, W. Effects of dietary arginine supplementation on production performance, serum biochemicals, antioxidant capacity, and immunity of laying Wulong geese. Poult. Sci. 2023, 102, 102727. [Google Scholar] [CrossRef]
  17. NY/T 4641-2025; Nutrient Requirements of Goose. National Technical Committee for Animal Husbandry Standardization: Beijing, China, 2025.
  18. DB37/T 2784-2016; Feeding Standard for Commercial Meat Geese. Shandong Provincial Bureau of Quality and Technical Supervision: Shandong, China, 2016.
  19. GB/T 42011-2022; Laboratory Animals—General Code of Animal Welfare. State Administration for Market Regulation: Beijing, China, 2022.
  20. AOAC. Official Method of Analysis, 18th ed.; Association of Officiating Analytical Chemists: Washington, DC, USA, 2005. [Google Scholar]
  21. AOAC. Official Methods of Analysis of the Association of Official Analytical Chemists: Official Methods of Analysis of AOAC International, 21st ed.; AOAC: Washington, DC, USA, 2019. [Google Scholar]
  22. GB/T 23742-2009; Determination of Hydrochloric Acid-Insoluble Ash in Feeds. General Administration of Quality Supervision, Inspection and Quarantine: Beijing, China, 2009.
  23. GB/T 18246-2019; Determination of Amino Acids in Feeds. Standardization Administration of the People’s Republic of China: Beijing, China, 2019.
  24. Wu, G. Amino acids: Metabolism, functions, and nutrition. Amino Acids 2009, 37, 1–17. [Google Scholar] [CrossRef] [PubMed]
  25. Erdaw, M.M.; Beyene, W.T. Anti-nutrients reduce poultry productivity: Influence of trypsin inhibitors on pancreas. Asian J. Poult. Sci. 2018, 12, 14–24. [Google Scholar] [CrossRef]
  26. Barzegar, S.; Wu, S.B.; Choct, M.; Swick, R.A. Factors affecting energy metabolism and evaluating net energy of poultry feed. Poult. Sci. 2020, 99, 487–498. [Google Scholar] [CrossRef] [PubMed]
  27. El-Far, A.S.; Kamiya, M.; Saneyasu, T.; Honda, K. Effects of Amino Acid Supplementation to a Low-Protein Diet on the Growth Performance and Protein Metabolism-related Factors in Broiler Chicks. J. Poult. Sci. 2024, 61, 2024014. [Google Scholar] [CrossRef]
  28. Bar-Peled, L.; Chantranupong, L.; Cherniack, A.D.; Chen, W.W.; Ottina, K.A.; Grabiner, B.C.; Sabatini, D.M. A Tumor suppressor complex with GAP activity for the Rag GTPases that signal amino acid sufficiency to mTORC1. Science 2013, 340, 1100–1106. [Google Scholar] [CrossRef]
  29. Xu, J.; Velleman, S.G. Critical role of the mTOR pathway in poultry skeletal muscle physiology and meat quality: An opinion paper. Front. Physiol. 2023, 14, 1228318. [Google Scholar] [CrossRef]
  30. Wu, G. Dietary requirements of synthesizable amino acids by animals: A paradigm shift in protein nutrition. J. Anim. Sci. Biotechnol. 2014, 5, 34. [Google Scholar] [CrossRef]
  31. Li, G.; Wang, X.; Liu, Y.; Gong, S.; Yang, Y.; Wang, C.; Wang, H.; He, D. Bile acids supplementation modulates lipid metabolism, intestinal function, and cecal microbiota in geese. Front. Microbiol. 2023, 14, 1185218. [Google Scholar] [CrossRef]
  32. Kushch, M.M.; Kushch, L.L.; Fesenko, I.A.; Miroshnikova, O.S.; Matsenko, O.V. Microscopic features of lamina muscularis mucosae of the goose gut. Regul. Mech. Biosyst. 2019, 10, 382–387. [Google Scholar] [CrossRef]
  33. Salem, H.M.; Saad, A.M.; Soliman, S.M.; Selim, S.; Mosa, W.F.A.; Ahmed, A.E.; Al Jaouni, S.K.; Almuhayawi, M.S.; Abd El-Hack, M.E.; El-Tarabily, K.A.; et al. Ameliorative avian gut environment and bird productivity through the application of safe antibiotics alternatives: A comprehensive review. Poult. Sci. 2023, 102, 102840. [Google Scholar] [CrossRef] [PubMed]
  34. Wang, X.; Wang, H.; Liu, Y.; Li, G.; Yang, Y.; Wang, C.; Jia, H. Optimizing low-protein diets with edible dock powder: Integrated effects on growth performance, slaughter quality, organ weights, muscle quality, and cecal microbiota in growing Sanhua geese. Poult. Sci. 2024, 103, 104476. [Google Scholar] [CrossRef] [PubMed]
  35. Feng, Y.; Liu, D.; Liu, Y.; Yang, X.; Zhang, M.; Wei, F.; Li, D.; Hu, Y.; Guo, Y. Host-genotype-dependent cecal microbes are linked to breast muscle metabolites in Chinese chickens. Iscience 2022, 25, 104469. [Google Scholar] [CrossRef]
  36. Ali, Q.; Ma, S.; Liu, B.; Niu, J.; Liu, M.; Mustafa, A.; Li, D.; Wang, Z.; Sun, H.; Cui, Y.; et al. Supplementing Ryegrass Ameliorates Commercial Diet-Induced Gut Microbial Dysbiosis-Associated Spleen Dysfunctions by Gut–Microbiota–Spleen Axis. Nutrients 2024, 16, 747. [Google Scholar] [CrossRef]
  37. Zhou, X.; Wang, L.; Dai, J.; Jia, H.; Shi, K.; Zhao, J.; Chen, S. Dietary Fiber-Rich Spartina anglica Improves Intestinal Health and Antioxidant Capacity of Zhedong White Geese. Antioxidants 2025, 14, 87. [Google Scholar] [CrossRef]
  38. Yin, Z.; Ji, S.; Yang, J.; Guo, W.; Li, Y.; Ren, Z.; Yang, X. Cecal Microbial Succession and Its Apparent Association with Nutrient Metabolism in Broiler Chickens. mSphere 2023, 8, e0061422. [Google Scholar] [CrossRef]
  39. Guo, B.; Li, D.; Zhou, B.; Jiang, Y.; Bai, H.; Zhang, Y.; Xu, Q.; Zhao, W.; Chen, G. Comparative characterization of bacterial communities in geese consuming of different proportions of ryegrass. PLoS ONE 2019, 14, e0223445. [Google Scholar] [CrossRef]
  40. Xu, P.; Hong, Y.; Chen, P.; Wang, X.; Li, S.; Wang, J.; Xiao, Y. Regulation of the cecal microbiota community and the fatty liver deposition by the addition of brewers’ spent grain to feed of Landes geese. Front. Microbiol. 2022, 13, 970563. [Google Scholar] [CrossRef] [PubMed]
  41. Qiu, M.; Hu, J.; Peng, H.; Li, B.; Xu, J.; Song, X.; Kong, F. Research Note: The gut microbiota varies with dietary fiber levels in broilers. Poult. Sci. 2022, 101, 101922. [Google Scholar] [CrossRef] [PubMed]
  42. Li, X.; Hu, S.; Wang, W.; Tang, B.; Zheng, C.; Hu, J.; Wang, J. Effects of cage versus floor rearing system on goose intestinal histomorphology and cecal microbial composition. Poult. Sci. 2022, 101, 101931. [Google Scholar] [CrossRef] [PubMed]
Disclaimer/Publisher’s Note: The statements, opinions and data contained in all publications are solely those of the individual author(s) and contributor(s) and not of MDPI and/or the editor(s). MDPI and/or the editor(s) disclaim responsibility for any injury to people or property resulting from any ideas, methods, instructions or products referred to in the content.

Article Metrics

Citations

Article Access Statistics

Multiple requests from the same IP address are counted as one view.