New Insights on Endophytic Microbacterium-Assisted Blast Disease Suppression and Growth Promotion in Rice: Revelation by Polyphasic Functional Characterization and Transcriptomics
Abstract
1. Introduction
2. Materials and Methods
2.1. Bacterial Strain and Identity Confirmation
2.2. Multigene-Sequencing-Based Identification
2.3. Antagonistic Activity of Microbacterium testaceum B2 on Magnaporthe oryzae In Vitro
2.4. Chemo-Profiling of Bacterial Volatile Organic Compounds with Solvent Extraction (SE) Method
2.5. Testing the Ability of Microbacterium testaceum B2 to Induce a Hypersensitive Reaction (HR) on Nicotiana tabacum
2.6. Studies on Endophytic Colonization of Microbacterium testaceum B2 in Rice Plant
2.7. Effect of Microbacterium testaceum B2 Mediated Seed Priming on Rice Seedlings Growth and Development
2.8. Assessing the Probiotic Plant Features of Microbacterium testaceum B2
2.9. In Planta Evaluation of Microbacterium testaceum B2 for Blast Disease Suppression on Rice
2.10. Defense Gene Expression Studies of Rice Plant upon Bacterization
2.11. Transcriptional Analysis of Genes Associated with Immune Competence in Rice Seedlings
2.11.1. RNA Extraction, Library Preparation, and Sequencing
2.11.2. Quality Control and Read Mapping to the Reference Genome
2.11.3. Differential Expression and Functional Annotation
2.11.4. qRT-PCR-Based Validation of DEGs
3. Results
3.1. Polyphasic Characterization of Endophytic Bacteria
3.2. Evaluation of Antifungal Activity In Vitro
3.3. Profiling of Volatile Organic Compounds through GC-MS
3.4. Evaluation of Potential Pathogenic Nature
3.5. Studies on Endophytic Colonization of Microbacterium testaceum B2 in Rice Plant
3.5.1. GFP Transformation of Bacterium
3.5.2. Endophytic Colonization on Rice
3.6. Plant Probiotic Features of Microbacterium testaceum B2
3.7. Microbacterium testaceum B2-Mediated Priming in Seedlings
3.8. Evaluation of Disease Control Efficacy
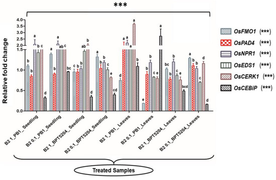
3.9. Evaluation of Immunocompetence Conferred by Microbacterium testaceum B2
3.10. RNA-Seq Data Statistics
3.11. Functional Analysis of Induced DEGs
3.12. GO Classification
4. Discussion
Supplementary Materials
Author Contributions
Funding
Institutional Review Board Statement
Informed Consent Statement
Data Availability Statement
Acknowledgments
Conflicts of Interest
References
- Farooq, M.; Basra, S.; Wahid, A.; Khaliq, A.; Kobayashi, N. Rice seed invigoration: A review. In Organic Farming, Pest Control and Remediation of Soil Pollutants; Lichtfouse, E., Ed.; Springer International Publishing: Dodrecht, The Netherlands, 2009; pp. 137–175. [Google Scholar] [CrossRef]
 - Sanogo, I.; Amadou, M.M. Rice market integration and food security in Nepal: The role of cross-border trade with India. Food Policy 2010, 35, 312–322. [Google Scholar] [CrossRef]
 - Van Nguyen, N.; Ferrero, A. Meeting the challenges of global rice production. Paddy Water Environ. 2006, 4, 1–9. [Google Scholar] [CrossRef]
 - Ahluwalia, O.; Singh, P.C.; Bhatia, R. A review on drought stress in plants: Implications, mitigation and the role of plant growth promoting rhizobacteria. Resour. Environ. Sustain. 2021, 5, 100032. [Google Scholar] [CrossRef]
 - Prăvălie, R.; Patriche, C.; Borrelli, P.; Panagos, P.; Roșca, B.; Dumitraşcu, M.; Nita, I.-A.; Săvulescu, I.; Birsan, M.-V.; Bandoc, G. Arable lands under the pressure of multiple land degradation processes. A global perspective. Environ. Res. 2021, 194, 110697. [Google Scholar] [CrossRef] [PubMed]
 - Kato, H. Rice blast disease. Pest. Out. 2001, 12, 23–25. [Google Scholar] [CrossRef]
 - Parker, D.; Beckmann, M.; Enot, D.P.; Overy, D.P.; Rios, Z.C.; Gilbert, M.; Talbot, N.; Draper, J. Rice blast infection of Brachypodium distachyon as a model system to study dynamic host/pathogen interactions. Nat. Prot. 2008, 3, 435–445. [Google Scholar] [CrossRef]
 - Dean, R.; Van Kan, J.A.; Pretorius, Z.A.; Hammond-Kosack, K.E.; Di Pietro, A.; Spanu, P.D.; Rudd, J.J.; Dickman, M.; Kahmann, R.; Ellis, J. The Top 10 fungal pathogens in molecular plant pathology. Mol. Plant Pathol. 2012, 13, 414–430. [Google Scholar] [CrossRef]
 - Chakraborty, M.; Mahmud, N.U.; Ullah, C.; Rahman, M.; Islam, T. Biological and biorational management of blast diseases in cereals caused by Magnaporthe oryzae. Crit. Rev. Biotechnol. 2021, 41, 994–1022. [Google Scholar] [CrossRef]
 - Prakash, G.; Patel, A.; Prakash, I.; Sahu, K.P.; Hosahatti, R.; Kumar, A. Microconidia: Understanding its role in the fungus Magnaporthe oryzae Inciting Rice Blast Disease. In Blast Disease of Cereal Crops: Evolution and Adaptation in Context of Climate Change; Anil Kumar, B.M., Hosahatti, R., Satyavathi, C.T., Prakash, G., Sharma, R., Eds.; Springer International Publishing: Cham, Switzerland, 2021; pp. 143–150. [Google Scholar] [CrossRef]
 - Sahu, K.P.; Kumar, A.; Sakthivel, K.; Reddy, B.; Kumar, M.; Patel, A.; Sheoran, N.; Gopalakrishnan, S.; Prakash, G.; Rathour, R. Deciphering core phyllomicrobiome assemblage on rice genotypes grown in contrasting agroclimatic zones: Implications for phyllomicrobiome engineering against blast disease. Environ. Microb. 2022, 17, 28. [Google Scholar] [CrossRef]
 - Sahu, K.P.; Patel, A.; Kumar, M.; Sheoran, N.; Mehta, S.; Reddy, B.; Eke, P.; Prabhakaran, N.; Kumar, A. Integrated metabarcoding and culturomic-based microbiome profiling of rice phyllosphere reveal diverse and functional bacterial communities for blast disease suppression. Front. Microbiol. 2021, 12, 780458. [Google Scholar] [CrossRef]
 - Leach, J.E.; Triplett, L.R.; Argueso, C.T.; Trivedi, P. Communication in the phytobiome. Cell 2017, 169, 587–596. [Google Scholar] [CrossRef] [PubMed]
 - Chowdhury, K.; Emran, M.; Jeon, J.; Ok Rim, S.; Park, Y.-H.; Kyu Lee, S.; Bae, H. Composition, diversity and bioactivity of culturable bacterial endophytes in mountain-cultivated ginseng in Korea. Sci. Rep. 2017, 7, 10098. [Google Scholar] [CrossRef] [PubMed]
 - Sheoran, N.; Kumar, A.; Munjal, V.; Nadakkakath, A.V.; Eapen, S.J. Pseudomonas putida BP25 alters root phenotype and triggers salicylic acid signaling as a feedback loop in regulating endophytic colonization in Arabidopsis thaliana. Physiol. Mol. Plant Pathol. 2016, 93, 99–111. [Google Scholar] [CrossRef]
 - Ashajyothi, M.; Kumar, A.; Sheoran, N.; Ganesan, P.; Gogoi, R.; Subbaiyan, G.K.; Bhattacharya, R. Black pepper (Piper nigrum L.) associated endophytic Pseudomonas putida BP25 alters root phenotype and induces defense in rice (Oryza sativa L.) against blast disease incited by Magnaporthe oryzae. Biol. Cont. 2020, 143, 104181. [Google Scholar] [CrossRef]
 - Nagendran, K.; Karthikeyan, G.; Peeran, M.F.; Raveendran, M.; Prabakar, K.; Raguchander, T. Management of bacterial leaf blight disease in rice with endophytic bacteria. World Appl. Sci. J. 2013, 28, 2229–2241. [Google Scholar] [CrossRef]
 - Liu, B.; Qiao, H.; Huang, L.; Buchenauer, H.; Han, Q.; Kang, Z.; Gong, Y. Biological control of take-all in wheat by endophytic Bacillus subtilis E1R-j and potential mode of action. Biol. Cont. 2009, 49, 277–285. [Google Scholar] [CrossRef]
 - Sheoran, N.; Nadakkakath, A.V.; Munjal, V.; Kundu, A.; Subaharan, K.; Venugopal, V.; Rajamma, S.; Eapen, S.J.; Kumar, A. Genetic analysis of plant endophytic Pseudomonas putida BP25 and chemo-profiling of its antimicrobial volatile organic compounds. Microbiol. Res. 2015, 173, 66–78. [Google Scholar] [CrossRef]
 - Patel, A.; Kumar, A.; Sheoran, N.; Kumar, M.; Sahu, K.P.; Ganeshan, P.; Ashajyothi, M.; Gopalakrishnan, S.; Gogoi, R. Antifungal and defense elicitor activities of pyrazines identified in endophytic Pseudomonas putida BP25 against fungal blast incited by Magnaporthe oryzae in rice. J. Plant Dis. Protect. 2021, 128, 261–272. [Google Scholar] [CrossRef]
 - Sahu, K.P.; Kumar, A.; Patel, A.; Kumar, M.; Gopalakrishnan, S.; Prakash, G.; Rathour, R.; Gogoi, R. Rice blast lesions: An unexplored phyllosphere microhabitat for novel antagonistic bacterial species against Magnaporthe oryzae. Microb. Ecol. 2021, 81, 731–745. [Google Scholar] [CrossRef]
 - Kumar, M.; Kumar, A.; Sahu, K.P.; Patel, A.; Reddy, B.; Sheoran, N.; Krishnappa, C.; Rajashekara, H.; Bhagat, S.; Rathour, R. Deciphering core-microbiome of rice leaf endosphere: Revelation by metagenomic and microbiological analysis of aromatic and non-aromatic genotypes grown in three geographical zones. Microbiol. Res. 2021, 246, 126704. [Google Scholar] [CrossRef] [PubMed]
 - Kumar, M.; Charishma, K.; Sahu, K.P.; Sheoran, N.; Patel, A.; Kundu, A.; Kumar, A. Rice leaf associated Chryseobacterium species: An untapped antagonistic flavobacterium displays volatile mediated suppression of rice blast disease. Biol. Cont. 2021, 161, 104703. [Google Scholar] [CrossRef]
 - Tranum-Jensen, J. [50] Electron microscopy: Assays involving negative staining. In Methods in Enzymology; Packer, L., Glazer, A.N., Eds.; Elsevier: St Andrew Square Edinburgh, UK, 1988; Volume 165, pp. 357–374. [Google Scholar] [CrossRef]
 - O’Shea, E.F.; Cotter, P.D.; Stanton, C.; Ross, R.P.; Hill, C. Production of bioactive substances by intestinal bacteria as a basis for explaining probiotic mechanisms: Bacteriocins and conjugated linoleic acid. Int. J. Food Microbiol. 2012, 152, 189–205. [Google Scholar] [CrossRef] [PubMed]
 - Felsenstein, J. Confidence limits on phylogenies: An approach using the bootstrap. Evolution 1985, 39, 783–791. [Google Scholar] [CrossRef] [PubMed]
 - Hasegawa, M.; Kishino, H.; Yano, T.-A. Dating of the human-ape splitting by a molecular clock of mitochondrial DNA. J. Mol. Evol. 1985, 22, 160–174. [Google Scholar] [CrossRef] [PubMed]
 - Kumar, S.; Stecher, G.; Tamura, K. MEGA7: Molecular evolutionary genetics analysis version 7.0 for bigger datasets. Mol. Biol. Evol. 2016, 33, 1870–1874. [Google Scholar] [CrossRef]
 - Joana Gil-Chávez, G.; Villa, J.A.; Fernando Ayala-Zavala, J.; Basilio Heredia, J.; Sepulveda, D.; Yahia, E.M.; González-Aguilar, G.A. Technologies for extraction and production of bioactive compounds to be used as nutraceuticals and food ingredients: An overview. Compr. Rev. Food Sci. Food Saf. 2013, 12, 5–23. [Google Scholar] [CrossRef]
 - Klement, Z. Rapid detection of the pathogenicity of phytopathogenic pseudomonads. Nature 1963, 199, 299–300. [Google Scholar] [CrossRef]
 - Chen, X.-H.; Vater, J.; Piel, J.r.; Franke, P.; Scholz, R.; Schneider, K.; Koumoutsi, A.; Hitzeroth, G.; Grammel, N.; Strittmatter, A.W. Structural and functional characterization of three polyketide synthase gene clusters in Bacillus amyloliquefaciens FZB 42. J. Bacteriol. 2006, 188, 4024–4036. [Google Scholar] [CrossRef]
 - Aleksandrov, V.; Blagodyr, R.; Ilev, I. Liberation of phosphoric acid from apatite by silicate bacteria. Mikrobiol Z. 1967, 29, 1. [Google Scholar]
 - Pikovskaya, R. Mobilization of phosphorus in soil in connection with vital activity of some microbial species. Prikl. Biokhim.Mikrobiol. 1948, 17, 362–370. [Google Scholar]
 - Patten, C.L.; Glick, B.R. Bacterial biosynthesis of indole-3-acetic acid. Can. J. Microbiol. 1996, 42, 207–220. [Google Scholar] [CrossRef]
 - Zhou, L.; Boyd, C.E. Comparison of Nessler, phenate, salicylate and ion selective electrode procedures for determination of total ammonia nitrogen in aquaculture. Aquaculture 2016, 450, 187–193. [Google Scholar] [CrossRef]
 - Krishnan, P.; Bhat, R.; Kush, A.; Ravikumar, P. Isolation and functional characterization of bacterial endophytes from Carica papaya fruits. J. Appl. Microbiol. 2012, 113, 308–317. [Google Scholar] [CrossRef] [PubMed]
 - Mackill, D.; Bonman, J. Inheritance of blast resistance in near-isogenic lines of rice. Phytopathology 1992, 82, 746–749. [Google Scholar] [CrossRef]
 - Akamatsu, A.; Wong, H.L.; Fujiwara, M.; Okuda, J.; Nishide, K.; Uno, K.; Imai, K.; Umemura, K.; Kawasaki, T.; Kawano, Y. An OsCEBiP/OsCERK1-OsRacGEF1-OsRac1 module is an essential early component of chitin-induced rice immunity. Cell Host Micr. 2013, 13, 465–476. [Google Scholar] [CrossRef]
 - Kouzai, Y.; Mochizuki, S.; Nakajima, K.; Desaki, Y.; Hayafune, M.; Miyazaki, H.; Yokotani, N.; Ozawa, K.; Minami, E.; Kaku, H. Targeted gene disruption of OsCERK1 reveals its indispensable role in chitin perception and involvement in the peptidoglycan response and immunity in rice. Mol. Plant Microbe Interact. 2014, 27, 975–982. [Google Scholar] [CrossRef]
 - Ke, Y.; Liu, H.; Li, X.; Xiao, J.; Wang, S. Rice O s PAD 4 functions differently from Arabidopsis AtPAD 4 in host-pathogen interactions. Plant J. 2014, 78, 619–631. [Google Scholar] [CrossRef]
 - Ke, Y.; Kang, Y.; Wu, M.; Liu, H.; Hui, S.; Zhang, Q.; Li, X.; Xiao, J.; Wang, S. Jasmonic acid-involved OsEDS1 signaling in Rice-bacteria interactions. Rice 2019, 12, 25. [Google Scholar] [CrossRef]
 - Sugano, S.; Jiang, C.-J.; Miyazawa, S.-I.; Masumoto, C.; Yazawa, K.; Hayashi, N.; Shimono, M.; Nakayama, A.; Miyao, M.; Takatsuji, H. Role of OsNPR1 in rice defense program as revealed by genome-wide expression analysis. Plant Mol. Biol. 2010, 74, 549–562. [Google Scholar] [CrossRef]
 - Koch, M.; Vorwerk, S.; Masur, C.; Sharifi-Sirchi, G.; Olivieri, N.; Schlaich, N.L. A role for a flavin-containing mono-oxygenase in resistance against microbial pathogens in Arabidopsis. Plant J. 2006, 47, 629–639. [Google Scholar] [CrossRef]
 - Mishina, T.E.; Zeier, J. The Arabidopsis flavin-dependent monooxygenase FMO1 is an essential component of biologically induced systemic acquired resistance. Plant Physiol. 2006, 141, 1666–1675. [Google Scholar] [CrossRef]
 - Jalili, V.; Afgan, E.; Gu, Q.; Clements, D.; Blankenberg, D.; Goecks, J.; Taylor, J.; Nekrutenko, A. The Galaxy platform for accessible, reproducible and collaborative biomedical analyses: 2020 update. Nucl. Acids Res. 2020, 48, W395–W402. [Google Scholar] [CrossRef]
 - Bolger, A.M.; Lohse, M.; Usadel, B. Trimmomatic: A flexible trimmer for Illumina sequence data. Bioinformatics 2014, 30, 2114–2120. [Google Scholar] [CrossRef]
 - Dobin, A.; Davis, C.A.; Schlesinger, F.; Drenkow, J.; Zaleski, C.; Jha, S.; Batut, P.; Chaisson, M.; Gingeras, T.R. STAR: Ultrafast universal RNA-seq aligner. Bioinformatics 2013, 29, 15–21. [Google Scholar] [CrossRef]
 - Trapnell, C.; Williams, B.A.; Pertea, G.; Mortazavi, A.; Kwan, G.; Van Baren, M.J.; Salzberg, S.L.; Wold, B.J.; Pachter, L. Transcript assembly and quantification by RNA-Seq reveals unannotated transcripts and isoform switching during cell differentiation. Nat. Biotechnol. 2010, 28, 511–515. [Google Scholar] [CrossRef] [PubMed]
 - Goedhart, J.; Luijsterburg, M.S. VolcaNoseR is a web app for creating, exploring, labeling and sharing volcano plots. Sci. Rep. 2020, 10, 20560. [Google Scholar] [CrossRef] [PubMed]
 - Ogata, H.; Goto, S.; Sato, K.; Fujibuchi, W.; Bono, H.; Kanehisa, M. KEGG: Kyoto encyclopedia of genes and genomes. Nucl. Acids Res. 1999, 27, 29–34. [Google Scholar] [CrossRef] [PubMed]
 - Livak, K.J.; Schmittgen, T.D. Analysis of relative gene expression data using real-time quantitative PCR and the 2−ΔΔCT method. Methods 2001, 25, 402–408. [Google Scholar] [CrossRef]
 - Liu, H.; Brettell, L.E.; Qiu, Z.; Singh, B.K. Microbiome-mediated stress resistance in plants. Trend. Plant Sci. 2020, 25, 733–743. [Google Scholar] [CrossRef] [PubMed]
 - Brady, C.; Cleenwerck, I.; Venter, S.; Vancanneyt, M.; Swings, J.; Coutinho, T. Phylogeny and identification of Pantoea species associated with plants, humans and the natural environment based on multilocus sequence analysis (MLSA). Syst. Appl. Microbiol. 2008, 31, 447–460. [Google Scholar] [CrossRef]
 - Morohoshi, T.; Wang, W.-Z.; Someya, N.; Ikeda, T. Genome sequence of Microbacterium testaceum StLB037, an N-acylhomoserine lactone-degrading bacterium isolated from potato leaves. Am. Soc. Microbiol. 2011, 193, 2072–2073. [Google Scholar] [CrossRef] [PubMed]
 - Kaur, I.; Dhanjal, S.; Korpole, S.; Bora, T.C.; Mayilraj, S. Description of a novel actinobacterium Microbacterium assamensis sp. nov., isolated from water sample collected from the river Brahmaputra, Assam, India. Curr. Microbiol. 2011, 62, 1039–1043. [Google Scholar] [CrossRef] [PubMed]
 - Yang, J.-K.; Zhang, J.-J.; Yu, H.-Y.; Cheng, J.-W.; Miao, L.-H. Community composition and cellulase activity of cellulolytic bacteria from forest soils planted with broad-leaved deciduous and evergreen trees. Appl. Microbiol. Biotechnol. 2014, 98, 1449–1458. [Google Scholar] [CrossRef]
 - Yi, K.J.; Cho, S.S.; Kim, S.-K. Characteristics of digestive enzyme activity, antibiotic resistance, and pathogenicity of bacteria inhabited in animal feed resources. Kor. J. Veter. Serv. 2017, 40, 119–131. [Google Scholar] [CrossRef]
 - Elahi, A.; Ajaz, M.; Rehman, A.; Vuilleumier, S.; Khan, Z.; Hussain, S.Z. Isolation, characterization, and multiple heavy metal-resistant and hexavalent chromium-reducing Microbacterium testaceum B-HS2 from tannery effluent. J. King Saud. Univ. Sci. 2019, 31, 1437–1444. [Google Scholar] [CrossRef]
 - Zinniel, D.K.; Feng, Z.; Blum, P.H.; Barletta, R.G.; Vidaver, A.K. Plasmid transformation and expression of the firefly luciferase in Microbacterium testaceum type and endophytic colonizing field strains. Can. J. Microbiol. 2008, 54, 964–970. [Google Scholar] [CrossRef] [PubMed]
 - Selvakumar, G.; Panneerselvam, P.; Ganeshamurthy, A. Biosafety of novel bioinoculants. J. Biofert. Biopest. 2014, 5, 1000145. [Google Scholar] [CrossRef]
 - Keswani, C.; Prakash, O.; Bharti, N.; Vílchez, J.I.; Sansinenea, E.; Lally, R.D.; Borriss, R.; Singh, S.P.; Gupta, V.K.; Fraceto, L.F. Re-addressing the biosafety issues of plant growth promoting rhizobacteria. Sci. Total Environ. 2019, 690, 841–852. [Google Scholar] [CrossRef] [PubMed]
 - Hussain, A.; Zahir, Z.A.; Asghar, H.N.; Ahmad, M.; Jamil, M.; Naveed, M.; Zaman Akhtar, M.F.U. Zinc solubilizing bacteria for zinc biofortification in cereals: A step toward sustainable nutritional security. In Role of Rhizospheric Microbes in Soil; Meena, V.S., Ed.; Springer: Singapore, 2018; pp. 203–227. [Google Scholar] [CrossRef]
 - Salgueiro, M.; Zubillaga, M.; Lysionek, A.; Cremaschi, G.; Goldman, C.; Caro, R.; De Paoli, T.; Hager, A.; Weill, R.; Boccio, J. Zinc status and immune system relationship. Biol. Trace Elem. Res. 2000, 76, 193–205. [Google Scholar] [CrossRef]
 - Wang, J.; Li, R.; Zhang, H.; Wei, G.; Li, Z. Beneficial bacteria activate nutrients and promote wheat growth under conditions of reduced fertilizer application. BMC Microbiol. 2020, 20, 38. [Google Scholar] [CrossRef]
 - Naidu, L.; Sidhu, G.; Sarkar, D.; Ramamurthy, V. Emerging deficiency of potassium in soils and crops of India. Karn. J. Agricul. Sci. 2011, 24, 12–19. [Google Scholar]
 - Misra, N.; Gupta, G.; Jha, P.N. Assessment of mineral phosphate-solubilizing properties and molecular characterization of zinc-tolerant bacteria. J. Basic Microbiol. 2012, 52, 549–558. [Google Scholar] [CrossRef] [PubMed]
 - Kour, D.; Rana, K.L.; Kaur, T.; Sheikh, I.; Yadav, A.N.; Kumar, V.; Dhaliwal, H.S.; Saxena, A.K. Microbe-mediated alleviation of drought stress and acquisition of phosphorus in great millet (Sorghum bicolour L.) by drought-adaptive and phosphorus-solubilizing microbes. Biocat. Agricul. Biotechnol. 2020, 23, 101501. [Google Scholar] [CrossRef]
 - Mukherjee, A.; Singh, B.K.; Verma, J.P. Harnessing chickpea (Cicer arietinum L.) seed endophytes for enhancing plant growth attributes and bio-controlling against Fusarium sp. Microbiol. Res. 2020, 237, 126469. [Google Scholar] [CrossRef] [PubMed]
 - Cocking, E.C. Endophytic colonization of plant roots by nitrogen-fixing bacteria. Plant Soil 2003, 252, 169–175. [Google Scholar] [CrossRef]
 - Briat, J.-F.; Dubos, C.; Gaymard, F. Iron nutrition, biomass production, and plant product quality. Trend. Plant Sci. 2015, 20, 33–40. [Google Scholar] [CrossRef] [PubMed]
 - Chhabra, S.; Dowling, D.N. Endophyte-promoted nutrient acquisition: Phosphorus and iron. In Functional Importance of the Plant Microbiome; Dotty, S.L., Ed.; Springer: Cham, Switzerland, 2017; pp. 21–42. [Google Scholar] [CrossRef]
 - Aznar, A.; Dellagi, A. New insights into the role of siderophores as triggers of plant immunity: What can we learn from animals? J. Exp. Bot. 2015, 66, 3001–3010. [Google Scholar] [CrossRef]
 - Takatsuka, H.; Umeda, M. Hormonal control of cell division and elongation along differentiation trajectories in roots. J. Exp. Bot. 2014, 65, 2633–2643. [Google Scholar] [CrossRef] [PubMed]
 - Daulagala, W. Chitinolytic endophytic bacteria as biocontrol agents for phytopathogenic fungi and nematode pests: A review. Asian J. Res. Bot. 2021, 5, 14–24. [Google Scholar]
 - Lucero, C.T.; Lorda, G.S.; Anzuay, M.S.; Ludueña, L.M.; Taurian, T. Peanut endophytic phosphate solubilizing bacteria increase growth and P content of soybean and maize plants. Current Microbiol. 2021, 78, 1961–1972. [Google Scholar] [CrossRef]
 - Verma, P.; Yadav, A.N.; Kazy, S.K.; Saxena, A.K.; Suman, A. Evaluating the diversity and phylogeny of plant growth promoting bacteria associated with wheat (Triticum aestivum) growing in central zone of India. Int. J. Curr. Microbiol. Appl. Sci. 2014, 3, 432–447. [Google Scholar]
 - Ateş, Ö.; Guersoy, A.; Altıntaş, H.; Oetuek, G.; Birteksoez, S. Synthesis and Antimicrobial Activity of {2-[2-(N, N-disubstituted thiocarbamoyl-sulfanyl)-acylamino] thiazol-4-yl} acetic Acid Ethyl Esters. Arch. Pharm. 2003, 336, 39–46. [Google Scholar] [CrossRef]
 - Zhang, W.; Liu, W.; Jiang, X.; Jiang, F.; Zhuang, H.; Fu, L. Design, synthesis and antimicrobial activity of chiral 2-(substituted-hydroxyl)-3-(benzo [d] oxazol-5-yl) propanoic acid derivatives. Eur. J. Med. Chem. 2011, 46, 3639–3650. [Google Scholar] [CrossRef] [PubMed]
 - Aparna, V.; Dileep, K.V.; Mandal, P.K.; Karthe, P.; Sadasivan, C.; Haridas, M. Anti-inflammatory property of n-hexadecanoic acid: Structural evidence and kinetic assessment. Chem. Biol. Drug Des. 2012, 80, 434–439. [Google Scholar] [CrossRef]
 - Abubacker, M.; Deepalakshmi, T. In vitro antifungal potential of bioactive compound methyl ester of hexadecanoic acid isolated from Annona muricata L. (annonaceae) leaves. Biosci. Biotechnol. Res. Asia 2013, 10, 879–884. [Google Scholar] [CrossRef]
 - Marrez, D.A.; Sultan, Y.Y. Antifungal activity of the cyanobacterium Microcystis aeruginosa against mycotoxigenic fungi. J. Appl. Pharm. Sci. 2016, 6, 191–198. [Google Scholar] [CrossRef]
 - Bergaoui, A.; Boughalleb, N.; Harzallah-Shiric, F.; El Mahjoub, M.; Mighri, Z. Chemical composition and antifungal activity of volatiles from three Opuntia species growing in Tunisia. Pak. J. Biol. Sci. 2007, 10, 2485–2489. [Google Scholar] [CrossRef] [PubMed]
 - George, J. Analysis of phytochemical constituents and antimicrobial activities of Alpinia calcarata against clinical pathogens. Int. J. Pharma Sci. Res. 2014, 5, 555–560. [Google Scholar]
 - Wang, E.; Fan, F.; Li, Y.; Liu, X.; Lu, Y.; Song, A. Noncontact inhibitory of volatile organic compounds from rice root bacteria on rhizopus microsporus. Sci. Agric. Sin. 2020, 53, 1986–1996. [Google Scholar] [CrossRef]
 - Mallaiah, B.; Rajinikanth, E.; Muthamilan, M. Isolation and identification of secondary metabolites produced by Trichoderma viride inhibiting the growth of the Fusarium incarnatum (Desm.) Sacc. Incitant of crossandra wilt. Bioscan 2016, 11, 1525–1529. [Google Scholar]
 - Speert, D.P.; Wannamaker, L.W.; Gray, E.D.; Clawson, C.C. Bactericidal effect of oleic acid on group A streptococci: Mechanism of action. Infect. Immun. 1979, 26, 1202–1210. [Google Scholar] [CrossRef] [PubMed]
 - Dye, E.; Kapral, F.A. Characterization of a bactericidal lipid developing within staphylococcal abscesses. Infect. Immun. 1981, 32, 98–104. [Google Scholar] [CrossRef] [PubMed]
 - Balachandar, R.; Karmegam, N.; Saravanan, M.; Subbaiya, R.; Gurumoorthy, P. Synthesis of bioactive compounds from vermicast isolated actinomycetes species and its antimicrobial activity against human pathogenic bacteria. Microb. Pathogen. 2018, 121, 155–165. [Google Scholar] [CrossRef]
 - Kumar, S.V.; Rambabu, R.; Bhaskar, B.; Madhavi, K.; Srikanth, S.; Prakasam, V.; Sundaram, R.; Madhav, M.S.; Rao, L.S.; Prasad, M.S. Introgression of durable blast resistance gene Pi-54 into indica rice cv. samba mahsuri, through Marker Assisted Backcross Breeding. Elect. J. Plant Breed. 2018, 9, 705–715. [Google Scholar] [CrossRef]
 - Pooja, K.; Katoch, A. Past, present and future of rice blast management. Plant Sci. Today 2014, 1, 165–173. [Google Scholar] [CrossRef]
 - Wang, W.-Z.; Morohoshi, T.; Someya, N.; Ikeda, T. Diversity and distribution of N-acylhomoserine lactone (AHL)-degrading activity and AHL-lactonase (AiiM) in genus Microbacterium. Microbes Environ. 2012, 27, 330–333. [Google Scholar] [CrossRef]
 - Park, H.L.; Yoo, Y.; Bhoo, S.H.; Lee, T.-H.; Lee, S.-W.; Cho, M.-H. Two chalcone synthase isozymes participate redundantly in UV-induced sakuranetin synthesis in rice. Int. J. Mol. Sci. 2020, 21, 3777. [Google Scholar] [CrossRef]
 - Cho, M.-H.; Lee, S.-W. Phenolic phytoalexins in rice: Biological functions and biosynthesis. Int. J. Mol. Sci. 2015, 16, 29120–29133. [Google Scholar] [CrossRef]
 - Gao, Y.; He, C.; Zhang, D.; Liu, X.; Xu, Z.; Tian, Y.; Liu, X.-H.; Zang, S.; Pauly, M.; Zhou, Y. Two trichome birefringence-like proteins mediate xylan acetylation, which is essential for leaf blight resistance in rice. Plant Physiol. 2017, 173, 470–481. [Google Scholar] [CrossRef]
 - Marrs, K.A. The functions and regulation of glutathione S-transferases in plants. Ann. Rev. Plant Biol. 1996, 47, 127–158. [Google Scholar] [CrossRef] [PubMed]
 - Loyall, L.; Uchida, K.; Braun, S.; Furuya, M.; Frohnmeyer, H. Glutathione and a UV light–induced glutathione S-transferase are involved in signaling to chalcone synthase in cell cultures. Plant Cell 2000, 12, 1939–1950. [Google Scholar] [CrossRef]
 - Kampranis, S.C.; Damianova, R.; Atallah, M.; Toby, G.; Kondi, G.; Tsichlis, P.N.; Makris, A.M. A novel plant glutathione S-transferase/peroxidase suppresses Bax lethality in yeast. J. Biol. Chem. 2000, 275, 29207–29216. [Google Scholar] [CrossRef]
 - Veitch, N.C. Structural determinants of plant peroxidase function. Phytochem. Rev. 2004, 3, 3–18. [Google Scholar] [CrossRef]
 - Lefebvre, B.; Timmers, T.; Mbengue, M.; Moreau, S.; Hervé, C.; Tóth, K.; Bittencourt-Silvestre, J.; Klaus, D.; Deslandes, L.; Godiard, L. A remorin protein interacts with symbiotic receptors and regulates bacterial infection. Proc. Nat. Acad. Sci. USA 2010, 107, 2343–2348. [Google Scholar] [CrossRef] [PubMed]
 - Zhang, B.; Deng, L.; Qian, Q.; Xiong, G.; Zeng, D.; Li, R.; Guo, L.; Li, J.; Zhou, Y. A missense mutation in the transmembrane domain of CESA4 affects protein abundance in the plasma membrane and results in abnormal cell wall biosynthesis in rice. Plant Mol. Biol. 2009, 71, 509–524. [Google Scholar] [CrossRef]
 - Piston, F.; Uauy, C.; Fu, L.; Langston, J.; Labavitch, J.; Dubcovsky, J. Down-regulation of four putative arabinoxylan feruloyl transferase genes from family PF02458 reduces ester-linked ferulate content in rice cell walls. Planta 2010, 231, 677–691. [Google Scholar] [CrossRef] [PubMed]
 - Kesten, C.; Menna, A.; Sánchez-Rodríguez, C. Regulation of cellulose synthesis in response to stress. Curr. Opi. Plant Biol. 2017, 40, 106–113. [Google Scholar] [CrossRef] [PubMed]
 - Srivastava, R.; Liu, J.X.; Guo, H.; Yin, Y.; Howell, S.H. Regulation and processing of a plant peptide hormone, AtRALF23, in Arabidopsis. Plant J. 2009, 59, 930–939. [Google Scholar] [CrossRef] [PubMed]
 - Huot, B.; Yao, J.; Montgomery, B.L.; He, S.Y. Growth–defense tradeoffs in plants: A balancing act to optimize fitness. Mol. Plant 2014, 7, 1267–1287. [Google Scholar] [CrossRef]
 - Chitnis, P.R. Photosystem I: Function and physiology. Ann. Rev. Plant Biol. 2001, 52, 593. [Google Scholar] [CrossRef]
 - Sano, T.; Nagata, T. The possible involvement of a phosphate-induced transcription factor encoded by Phi-2 gene from tobacco in ABA-signaling pathways. Plant Cell Physiol. 2002, 43, 12–20. [Google Scholar] [CrossRef] [PubMed]
 - Coates, J.C.; Laplaze, L.; Haseloff, J. Armadillo-related proteins promote lateral root development in Arabidopsis. Proc. Nat. Acad. Sci. USA 2006, 103, 1621–1626. [Google Scholar] [CrossRef] [PubMed]
 - Zhang, T.; Lv, W.; Zhang, H.; Ma, L.; Li, P.; Ge, L.; Li, G. Genome-wide analysis of the basic Helix-Loop-Helix (bHLH) transcription factor family in maize. BMC Plant Biol. 2018, 18, 1–14. [Google Scholar] [CrossRef] [PubMed]
 - Zhang, J.; Yuan, H.; Yang, Y.; Fish, T.; Lyi, S.M.; Thannhauser, T.W.; Zhang, L.; Li, L. Plastid ribosomal protein S5 is involved in photosynthesis, plant development, and cold stress tolerance in Arabidopsis. J. Exp. Bot. 2016, 67, 2731–2744. [Google Scholar] [CrossRef] [PubMed]
 - He, Z.; Webster, S.; He, S.Y. Growth–defense trade-offs in plants. Curr. Biol. 2022, 32, R634–R639. [Google Scholar] [CrossRef]
 - Kumar, S.; Stecher, G.; Tamura, K. MEGA11: Molecular evolutionary genetics analysis version 11. Mol. Biol. Evol. 2021, 38, 3022–3027. [Google Scholar] [CrossRef]
 








| Gene Name | Seq. Length (bp) | Max Score | Total Score | Query Cover (%) | E- Value  | Identity (%)  | * Closest Match | Species Identity | Accession Number Assigned | 
|---|---|---|---|---|---|---|---|---|---|
| B2_tyrS | 760 | 1166 | 1166 | 100 | 0.0 | 94.3 | AP012052.1 | Microbacterium testaceum | OP419672 | 
| B2_metG | 784 | 1238 | 1238 | 100 | 0.0 | 95.1 | AP012052.1 | Microbacterium testaceum | OP419671 | 
| B2_gyrB | 785 | 941 | 941 | 100 | 0.0 | 88.3 | AP012052.1 | Microbacterium testaceum | OP419665 | 
| B2_cycS | 800 | 985 | 985 | 100 | 0.0 | 88.8 | AP012052.1 | Microbacterium testaceum | OP419668 | 
| B2_pyk | 842 | 1334 | 1334 | 100 | 0.0 | 95.2 | AP012052.1 | Microbacterium testaceum | OP419670 | 
| B2_infB | 887 | 1506 | 1506 | 100 | 0.0 | 97.2 | AP012052.1 | Microbacterium testaceum | OP419666 | 
| B2_fumC | 908 | 1317 | 1317 | 100 | 0.0 | 92.8 | AP012052.1 | Microbacterium testaceum | OP419669 | 
| B2_rpoC | 935 | 1567 | 1567 | 100 | 0.0 | 96.9 | AP012052.1 | Microbacterium testaceum | OP419667 | 
| Treatment | Mycelial Growth Inhibition (%) | ||
|---|---|---|---|
| Secreted Metabolite | Volatile Organic Compounds | ||
| Exposure Effect | Release Effect | ||
| Control | 0 | 0.00 | 0.00 | 
| OsEnb_ALM_B2 | 19.79 | 100.00 | 10.83 | 
| Compound Name * | Retention Time (min) | Area (%) | 
|---|---|---|
| Acetic acid ethyl ester | 3.59 | 31.59 | 
| Propanoic acid, ethyl ester | 4.65 | 32.29 | 
| 11-Pentadecenal | 5.15 | 3.49 | 
| 3-Buten-2-one | 5.24 | 2.65 | 
| 2-Hexanone | 6.48 | 4.26 | 
| 2,3-Epoxyoctan-1-ol | 6.99 | 6.38 | 
| 3-Hexanol | 9.10 | 5.84 | 
| Hexadecanoic acid | 21.29 | 12.39 | 
| 9-Octadecenoic acid | 28.62 | 1.52 | 
| Eicosanoic acid | 31.55 | 0.28 | 
| (A) | |||||||||
|---|---|---|---|---|---|---|---|---|---|
| Bacterial Dose (CFU mL−1)  | Germi-Nation (%) | *Shoot Length (cm) | Root Length (cm) | Number of Roots | Fresh Weight (g) | Dry Weight (g) | Net Weight (g) | Percent Disease Index | Reduction in Disease Severity (%) | 
| Control | 100 | 4.77c | 4.23c | 3.67 | 0.36c | 0.15c | 0.22c | 48.03 | |
| 108 | 100 | 5.07b | 5.47a | 3.33 | 0.43b | 0.17a | 0.26b | 7.86 | 83.64 | 
| 107 | 100 | 5.60a | 4.53b | 4.67 | 0.56a | 0.16b | 0.40a | 4.47 | 90.68 | 
| CD(0.05) | NS | 0.15 | 0.12 | NS | 0.004 | 0.002 | 0.004 | ||
| CV | 1.45 | 1.22 | 14.43 | 0.46 | 0.66 | 0.72 | |||
| (B) | |||||||||
| Bacterial Dose (CFU mL−1)  | Germi-nation (%) | * Shoot length (cm) | Root length (cm) | Number of roots | Fresh weight (g) | Dry weight (g) | Net weight (g) | Percent Disease Index | Reduction in Disease severity (%) | 
| Control | 100 | 3.07b | 4.13b | 2.67 | 0.28b | 0.11a | 0.18b | 45.71 | |
| 108 | 100 | 3.03b | 6.03a | 3.67 | 0.31a | 0.07b | 0.19b | 9.86 | 78.43 | 
| 107 | 100 | 3.60a | 3.60c | 3.67 | 0.29b | 0.10a | 0.21a | 6.61 | 85.53 | 
| CD(0.05) | NS | 0.15 | 0.22 | NS | 0.01 | 0.01 | 0.01 | ||
| CV | 2.31 | 2.41 | 17.32 | 2.19 | 3.0 | 3.66 | |||
Disclaimer/Publisher’s Note: The statements, opinions and data contained in all publications are solely those of the individual author(s) and contributor(s) and not of MDPI and/or the editor(s). MDPI and/or the editor(s) disclaim responsibility for any injury to people or property resulting from any ideas, methods, instructions or products referred to in the content.  | 
© 2023 by the authors. Licensee MDPI, Basel, Switzerland. This article is an open access article distributed under the terms and conditions of the Creative Commons Attribution (CC BY) license (https://creativecommons.org/licenses/by/4.0/).
Share and Cite
Patel, A.; Sahu, K.P.; Mehta, S.; Javed, M.; Balamurugan, A.; Ashajyothi, M.; Sheoran, N.; Ganesan, P.; Kundu, A.; Gopalakrishnan, S.; et al. New Insights on Endophytic Microbacterium-Assisted Blast Disease Suppression and Growth Promotion in Rice: Revelation by Polyphasic Functional Characterization and Transcriptomics. Microorganisms 2023, 11, 362. https://doi.org/10.3390/microorganisms11020362
Patel A, Sahu KP, Mehta S, Javed M, Balamurugan A, Ashajyothi M, Sheoran N, Ganesan P, Kundu A, Gopalakrishnan S, et al. New Insights on Endophytic Microbacterium-Assisted Blast Disease Suppression and Growth Promotion in Rice: Revelation by Polyphasic Functional Characterization and Transcriptomics. Microorganisms. 2023; 11(2):362. https://doi.org/10.3390/microorganisms11020362
Chicago/Turabian StylePatel, Asharani, Kuleshwar Prasad Sahu, Sahil Mehta, Mohammed Javed, Alexander Balamurugan, Mushineni Ashajyothi, Neelam Sheoran, Prakash Ganesan, Aditi Kundu, Subbaiyan Gopalakrishnan, and et al. 2023. "New Insights on Endophytic Microbacterium-Assisted Blast Disease Suppression and Growth Promotion in Rice: Revelation by Polyphasic Functional Characterization and Transcriptomics" Microorganisms 11, no. 2: 362. https://doi.org/10.3390/microorganisms11020362
APA StylePatel, A., Sahu, K. P., Mehta, S., Javed, M., Balamurugan, A., Ashajyothi, M., Sheoran, N., Ganesan, P., Kundu, A., Gopalakrishnan, S., Gogoi, R., & Kumar, A. (2023). New Insights on Endophytic Microbacterium-Assisted Blast Disease Suppression and Growth Promotion in Rice: Revelation by Polyphasic Functional Characterization and Transcriptomics. Microorganisms, 11(2), 362. https://doi.org/10.3390/microorganisms11020362
        
