Next Article in Journal
Serum Biochemical Parameters, Rumen Fermentation, and Rumen Bacterial Communities Are Partly Driven by the Breed and Sex of Cattle When Fed High-Grain Diet
Next Article in Special Issue
Cryptococcal Immune Reconstitution Inflammatory Syndrome: From Clinical Studies to Animal Experiments
Previous Article in Journal
Clinical Factors Implicated in Antibiotic Resistance in Helicobacter pylori Patients
Previous Article in Special Issue
Recent Advances in Cryptococcus and Cryptococcosis
 
 
Font Type:
Arial Georgia Verdana
Font Size:
Aa Aa Aa
Line Spacing:
Column Width:
Background:
Article

Phenotypic Diversity of Cryptococcus neoformans var. neoformans Clinical Isolates from Localized and Disseminated Infections

1
Department of Mycotic and Parasitic Agents and Mycobacteria, Robert Koch Institute, 13353 Berlin, Germany
2
Medizinische Klinik 3, Sektion Klinische Infektiologie und Immundefizienz, Universitätsklinikum Erlangen, Friedrich-Alexander-University Erlangen-Nürnberg, 91054 Erlangen, Germany
3
Medizinische Klinik 2, Infektiologie und Therapie der HIV Infektion, Universitätsklinikum Frankfurt, 60596 Frankfurt am Main, Germany
*
Author to whom correspondence should be addressed.
Microorganisms 2022, 10(2), 321; https://doi.org/10.3390/microorganisms10020321
Submission received: 4 January 2022 / Revised: 25 January 2022 / Accepted: 27 January 2022 / Published: 29 January 2022
(This article belongs to the Special Issue Recent Advances in Cryptococcus and Cryptococcosis)

Abstract

Cryptococcus neoformans var. neoformans is the second most prevalent agent of cryptococcosis in central Europe. Infections mostly present with localized skin and disseminated infections. Previous studies did not find these presentations to be determined by the fungal genotype as detected by multilocus sequence typing (MLST). However, phenotypic fungal traits may impact clinical presentation. Here, we studied the growth and virulence factors of C. neoformans var. neoformans isolates from disseminated and localized infections and an environmental isolate. We used coincubation with Acanthamoeba castellanii and the Galleria mellonella infection model to identify phenotypic characteristics potentially associated with clinical presentation. Clinical isolates of C. neoformans var. neoformans present a substantial phenotypic variability. Median survival of G. mellonella varied between 6 and 14 days. C. neoformans var. neoformans isolates from disseminated infections showed stronger melanization and larger capsules. They demonstrated superior uptake into an amoeba and increased cytotoxicity for the amoeba. Differences of strains from localized and disseminated infections in coincubation with amoeba are in line with the importance of phagocytes in the pathogenesis of disseminated cryptococcosis. Phenotypic traits and non-vertebrate infection models may help understand the virulence potential of C. neoformans var. neoformans isolates.

1. Introduction

Cryptococcosis is the most prevalent fungal infection of the central nervous system. Currently, the nomenclature of the agents of cryptococcosis is being reevaluated [1,2]. Here, we adhere to the nomenclature using Cryptococcus neoformans species complex. C. neoformans var. grubii is the most prevalent agent isolated from AIDS patients with meningoencephalitis worldwide [3]. Several virulence factors including the polysaccharide capsule and production of melanin were characterized. Although clinical isolates differ in these phenotypes, their contribution to clinical illness is poorly understood [4].
In Europe, up to 20% of human cryptococcosis cases are caused by C. neoformans var. neoformans [5,6]. Infection models generally suggest a lower virulence of C. neoformans var. neoformans strains as compared to C. neoformans var. grubii [7]. These infections may present with diverse clinical syndromes including primary cutaneous cryptococcosis, often in non-immunocompromised hosts [8].
Molecular typing of clinical and environmental C. neoformans isolates from Europe using multilocus sequence typing (MLST) covering parts of six housekeeping genes and an intergenic spacer suggests different trajectories of clinical isolates from both varieties cultivated in Europe, i.e., mostly clonal expansion of C. neoformans var. grubii versus recombination of C. neoformans var. neoformans [6,9,10]. Previous studies did not find a correlation between genotypes, as assessed by MLST and clinical presentation [10]. Correlation between genotype and fungal phenotype is increasingly being recognized and may be responsible for clinical presentation and outcome of patients with cryptococcosis. However, isolates of the same genotype, as determined by MLST may dramatically differ in virulence traits, suggesting that typing methods with higher resolution might be needed to understand genetic determinants of virulence and clinical presentation [4,11]. In addition, isolates of different genotypes may show comparable virulence determinants as identified by infection models that are associated with the clinical presentation of cryptococcosis.
Here, we studied C. neoformans var. neoformans isolates from patients with either disseminated or localized skin infections diagnosed in Germany and an environmental isolate from Germany to compare virulence factors and fungus–host interaction in two alternative host models to document phenotypic diversity of these fungi and screen for factors associated with different clinical presentations.

2. Materials and Methods

2.1. Cryptococcus Isolates and Reference Strains

Selected C. neoformans var. neoformans isolates from human cryptococcosis cases, one isolate per patient and an environmental isolate cultivated between 2013 and 2019 were included (Table 1). Isolates were provided by a network of laboratories throughout Germany. They were selected based on the availability of information needed to identify disease presentation, i.e., isolation from a skin infection with negative or minor serum antigen for localized infection or isolation from blood culture or cerebrospinal fluid (CSF) for disseminated infection.
Fungi were obtained from frozen stocks (Microbank™, Pro-Lab Diagnostics Inc., Birkenhead, UK) and transferred to yeast peptone dextrose (YPD) agar using a sterile disposable inoculation loop. They were cultivated at 30 °C and stored at 4 °C until needed. For subsequent experiments, isolates and reference strains from overnight cultures (YPD at 25 °C with moderate shaking (130 rpm)) were centrifuged (1000× g, 10 min) and washed three times with phosphate-buffered saline (PBS; pH 7.2). The cell concentration was determined by using a hemocytometer and adjusted to the required cell concentration.
The reference strains C. neoformans var. neoformans B3501, a capsule deficient strain C. neoformans var. neoformans cap67, and C. neoformans var. grubii H99 were used in the Galleria mellonella infection model to control for the model’s ability to detect differences in virulence. Both C. neoformans var. neoformans reference strains were used in coincubation with Acanthamoeba castellanii to identify the ability to detect differences in uptake and cytotoxicity in the amoeba coincubation model. The C. gattii VGII strains R265 and CBS7750 were used as controls for determination of a hypermutator phenotype [12].
Fungal DNA for genotyping was extracted from overnight cultures in YPD cultivated at 25 °C with moderate shaking (130 rpm) using the Master Pure yeast extraction kit (LGC Lucigen, Middleton, WI, USA) with additional bead beating as described previously [5]. The genotype VNIV of the isolates was confirmed by a PCR assay targeting the STR1 gene as previously described [13]. The mating-type was determined by specific PCR assays targeting the STE12a gene. MLST was performed according to the ISHAM standard protocol [14]. Allele and sequence types were assigned using the ISHAM MLST database. Strain and sequence information were submitted to this database.
All media were prepared at the Robert Koch Institute in Berlin, Germany. Appropriate performance was checked with reference organisms.
All experiments were performed and analyzed by an investigator (Z.M.B.) blinded to clinical information of the isolates.

2.2. Growth of C. neoformans var. neoformans at Different Conditions

The C. neoformans var. neoformans cells were harvested from overnight cultures in the dark and adjusted to a concentration of 1 × 106 cells/mL in 0.85% NaCl solution. A serial dilution in 0.85% NaCl was performed and 5 µL plated on yeast nitrogen base (YNB) agar.
Cells were incubated at 30 °C for 48 h in the dark at different concentrations of H2O2 (0, 5, 10 µM, 1 mM), different carbon dioxide concentrations (0 vs. 5.0% CO2) and different pH (5 vs. 7). The effect of temperature was determined by incubation at 25 °C, 30 °C, or 37 °C. The effect of each condition on the cell growth was determined by counting the number of colony-forming units (CFU) after the incubation. Tests were performed in three independent replicates with five technical replicates each.

2.3. Expression of Virulence Factors

For quantification of specific virulence factors, cells from overnight cultures were washed and adjusted to a concentration of 1 × 106 cells/mL in 0.85% NaCl solution.
Melanization was determined by spotting 5 µL of suspension on Niger Seed agar and incubating at 30 °C for 48 h in the dark. Plates were photographed and converted to black and white pictures. Pigmentation was quantified digitally (ZEN2012, Carl Zeiss Microscopy GmbH, Jena, Germany) by measuring the pixel intensity. The pixel intensity was normalized by dividing the intensity by the sum of all measured pixels. Therefore, lower values of normalized pixel intensity indicate stronger melanization. Three individual experiments with four technical replicates were performed.
p i x e l   i t e n s i t y   n o r m . = p i x e l   i t e n s i t y   s i n g l e   c o l o n y Σ a l l   m e a s u r e d   p i x e l s
Urease activity was assessed using Christensen’s urea agar. Fungal suspensions (5 µL of 1 × 106 cells/mL) were spotted in the middle of an agar plate and incubated at 30 °C for 48 h. The hydrolysis of urea catalyzed by urease leads to a pH shift which can be detected by the pH indicator in the agar. The diameter of the resulting halo was measured digitally (ImageJ version 1.52a, [15]) in horizontal and vertical directions. Three individual experiments were performed.
Phospholipase activity was determined by spotting 5 µL of suspension in the middle of egg yolk agar and incubating at 30 °C for 120 h. The resulting precipitation halo was measured and the phospholipase activity (Pz value) was calculated following the principle described by Price et al. by measuring the ratio of the colony’s diameter to its surrounding precipitation halo [16]. Therefore, a Pz value of 1.0 indicates that the tested isolate was phospholipase negative. Three individual experiments were performed.
P z = c o l o n y s   d i a m e t e r h a l o s   d i a m t e r
Capsule and cell sizes were measured after cultivation in minimal medium (15 mM dextrose, 10 m MMgSO4, 29.4 mM KHPO4, 13 mM glycine, and 3 μM thiamine, pH 5.5 [17]) at 30 °C for 24 h at moderate shaking (130 rpm) to induce capsule formation. Twenty µL of suspension was stained with 80 µL India ink., viewed under a microscope (40× magnification) and imaged via moticam (Motic, Xiamen, China). Capsule, cell body and total cell sizes were measured digitally (ImageJ version 1.52a, [15]) in horizontal and vertical directions for 20 randomly selected cells.
The ability to spontaneously develop resistance to 5-fluorocytosine (5-FC) was used as an indicator of mutation frequency as a nonsense mutation in the DNA repair gene MSH2 favors the formation of spontaneous mutations [12]. The spontaneous 5-FC resistance was measured following the principle described before [12]. In short, fungal suspensions (100 µL of 1 × 106 cells/mL) were incubated on YNB agar with and without 100 µg/mL 5-FC (Sigma-Aldrich, Burlington, MA, USA) at 30 °C for 48 h. Resistance to 5-FC was measured by counting the number of CFU on the plates. The hypermutator strain CBS7750 and the C. gattii R265 without this phenotype were used as controls. Three individual experiments were performed [12].

2.4. Interaction of Cryptococcus with Acanthamoeba

A. castellanii 1BU (ATCC PRA-105, Manassas, VA, USA) was obtained from a stock culture maintained at the Robert Koch Institute. Trophozoites were incubated at 29 °C with 4.5% CO2 in 20 mL peptone yeast glucose medium (PYG; ATCC 712, Manassas, VA, USA) containing 1% (v/v) of Penicillin/Streptomycin. Amoebas were passaged weekly and one day before each experimental unit by transferring the culture into a new cell culture flask with filter cap and diluting the culture 1:10 with fresh medium.
Phagocytosis by and cytotoxicity for A. castellanii was determined following the procedure described before by Steenbergen et al. [18]. In brief, phagocytosis indices were determined by coincubation of fungi (2 × 105) and amoeba (1 × 105) in 100 µL PYG medium at 29 °C and 4.5% CO2 for two hours in the dark. Cells were stained, viewed by microscope and the ratio of amoebas with engulfed yeast cells was calculated. For determination of cytotoxicity, fungi (1 × 104) and amoeba (1 × 104) were coincubated in 100 µL PBS at 29 °C and 4.5% CO2 for 48 h in the dark. The trypan blue exclusion assay (Sigma-Aldrich, Burlington, MA, USA) was performed to determine the percentage of dead amoebas [19]. As negative control, amoebas were incubated alone in PBS. The reference strain B3501A and the acapsular strain cap67 were used to determine the detectable range of uptake and cytotoxicity of the coincubation experiments. For each experimental setup, three individual experiments were performed with eight technical replicates each.

2.5. Infection of Galleria mellonella Larvae

Larvae of G. mellonella were obtained in a shop for fishing supplies (Angelbedarfsladen Malchow, Berlin, Germany) and experiments were started immediately after obtaining the larvae. One day before inoculation, animals were weighed and collected in experimental groups of 20. The larvae were divided into equal weight groups (250–600 mg) and weights were visualized via boxplots to obtain a cross-section of the total population but equally distributed between the groups to ensure comparability and thereby exclude body volume as a determining factor. Larvae with dark spots were excluded because melanization might be evidence for infection [20]. The animals were incubated overnight at 37 °C in Petri dishes (Ø = 10 cm) containing wood chips before inoculation.
Cryptococcus cells were harvested from overnight cultures, washed and adjusted to a concentration of 0.5 × 108 cells/mL in 0.85% NaCl. The cell suspensions were carefully vortexed and taken up by an insulin syringe. Larvae were disinfected using a cotton swab containing 70% ethanol and inoculated through injection of 20 µL into the last left proleg. Each animal was infected with 1 × 106 cells. The inoculum was controlled by plating (5 µL) as a serial dilution on YPD and brain heart infusion (BHI) agar. In each experiment, control groups were used to estimate a traumatic effect of inoculation (injection of 20 µL sterile 0.85% NaCl), to estimate the virulence potential of unviable C. neoformans var. neoformans cells (H99 inactivated at 60 °C for one hour), and to monitor for larval viability (no intervention). Larvae were incubated at 37 °C in Petri dishes containing wood chips and controlled for survival (movement upon stimulus) every day. Petri dishes with fresh wood chips were changed daily.

2.6. Statistical Analysis

Experiments studying the effect of incubation conditions on the fungal growth were analyzed by performing a two-way ANOVA and additional Tukey’s multiple comparison test.
For differences in virulence factor phenotype, datasets were first checked for a normal distribution. For this purpose, the Kolmogorov–Smirnov test (if n < 50) or Shapiro–Wilk test (if n > 50) was performed, and the test results were visually confirmed using QQ-plots. Next, the residuals and variances were checked for equal distribution. Therefore, a visual inspection of plots was made, and an F-test or Bartlett’s test was performed, depending on whether two or more groups were compared. If the data were normally distributed and the residuals and variances were equal, an unpaired t-test was performed when comparing two groups, or an ordinary one-way ANOVA when comparing several groups. If the variances were not equal, the respective tests were adjusted by a Welch correction. If the datasets did not have a normal distribution of the data, a Wilcoxon–Mann–Whitney test was performed to compare two groups and a Kruskal–Wallis test for the comparison of multiple groups.
For G. mellonella survival analysis, larval survival was documented and pupated animals were censored on the day of pupation. Survival was displayed via Kaplan–Meier curves. For statistical analysis, differences of survival curves were tested for significance pairwise using a log-rank test. The median survival of larvae was calculated and analyzed similar to the virulence factors analysis. Statistical analysis was performed using Graphpad Prism 8-software (GraphPad Software, San Diego, CA, USA) and for all tests performed, the significance level was set at p < 0.05 in two-sided tests.

3. Results

3.1. Growth of Isolates Might Be Affected by Temperature

No differences in growth could be observed between the isolates at 30 °C and 37 °C. Incubation of some C. neoformans var. neoformans isolates (13-0492: environmental; 18-0352: disseminated infection, 19-1016: localized infection) displayed reduced growth at 25 °C compared to incubation at 30 °C (Supplemental Figure S1). Two strains from disseminated infections (19-0346 and 18-0352) showed less growth at 25 °C compared to 37 °C. Incubation at different H2O2 concentrations only affected one strain (19-0346) isolated from blood. The presence of 5% CO2 resulted in a smaller colony size for two isolates from disseminated infections (18-0352, 19-0346) and the environmental isolate.

3.2. Isolates Demonstrate Differences in Melanization, Capsule and Cell Size

Individual Cryptococcus isolates display significant differences (p ≤ 0.0001) for all virulence factors analyzed, including melanization (0.047–0.077 norm. pixel intensity), urease activity (7.9–33.2 mm), phospholipase activity (Pz values between 0.31 and 0.64), capsule (2.4–3.8 μm), cell body (3.8–6.6 μm) and total cell size (6.2–10.4 μm). The environmental isolate is comparable to the clinical isolates for all virulence factors with intermediate values between those of the clinical isolates.
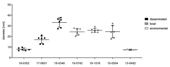
When isolates from different clinical presentations were pooled, those from disseminated infections presented a stronger melanization (Pz values of 0.07 vs. 0.06; p = 0.0037; Figure 1), larger capsules (3.15 µm vs. 2.92 µm; p = 0.0164), larger cell bodies (4.33 µm vs. 3.79 µm; p = 0.0022) and total cell sizes (7.98 µm vs. 6.59 µm; p = 0.0164; Figure 2) as compared to isolates from localized infections. Pooled isolates from disseminated infections presented a higher diversity in cell body size (std. deviation 1.6 µm) and total cell size (std. deviation 2 µm). In contrast, isolates from localized infections presented comparable cell bodies and total cell sizes (std. deviation of 1.1 µm and 1.5 µm, respectively).
While individual isolates differed in urease and phospholipase activity, no significant differences between cells from disseminated and localized infections could be observed after the pooling of isolates from different clinical presentations (Figure 3 and Figure 4). However, isolates from disseminated infections showed greater variability in urease activity compared to isolates from local infections (std. deviation of 11.2 mm and 3.8 mm, respectively). Measurements of phospholipase activity displayed similar results with a standard deviation of Pz = 0.16 for disseminated isolates and Pz = 0.06 for localized isolates.
Cultivation of CBS7750 with a hypermutator phenotype resulted in 49 CFU on 5-FC containing plates, while R265 did not show growth as expected. Interestingly, only the C. neoformans var. neoformans environmental isolate produced 33 CFU on 5-FC containing plates suggesting a hypermutator phenotype. In contrast, all clinical isolates formed no or few CFU and thus did not differ significantly from the reference isolate R265. The isolate 19-1016 could not be examined with this method as it is resistant to 5-FC.

3.3. Isolates from Disseminated Infections Demonstrate Higher Uptake and Cytotoxicity for Acanthamoeba

Coincubation of C. neoformans var. neoformans with A. castellanii resulted in significantly different phagocytosis indices with C. neoformans var. neoformans reference strain B3501A and acapsular mutant strain cap67 defining the detectable range of the method performed (p < 0.0001; Figure 5). While almost all C. neoformans var. neoformans isolates resulted in a higher phagocytic index than B3501A (1.8%), they all demonstrate significantly lower phagocytic indices than the strain cap67 (45.9%) lacking the antiphagocytic capsule.
Cryptococci isolated from disseminated infections showed a significantly higher mean phagocytic index as compared to isolates from localized soft tissue infections (7.9 vs. 2.1%; p < 0.0001). The environmental isolate resulted in a phagocytic index between cells from disseminated and localized cells.
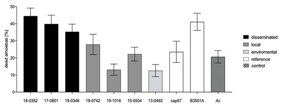
The coincubation of C. neoformans var. neoformans with A. castellanii for 48 h resulted in significantly different percentages of dead amoebas (p < 0.0001; Figure 6). The reference strain B3501A had the second-highest cytotoxicity for amoeba, resulting in a mean percentage of dead amoebae of 41%. The capsule mutant strain, on the other hand, did not affect amoeba viability and is comparable to incubation of amoeba alone (24% and 21%, respectively). The environmental strain and one strain from a localized infection (19-1016) even had a positive effect on amoeba viability, as coincubation resulted in a lower percentage of dead amoebae than incubation of A. castellanii alone (13% vs. 21%).
Taken together, cells from disseminated infections showed higher cytotoxicity for amoeba than isolates from localized infections (40% vs. 21%; p < 0.0001).

3.4. Median Survival of G. mellonella Larvae Varies Significantly between Isolates

C. neoformans var. grubii H99 showed the highest virulence in G. mellonella and C. neoformans var. neoformans cap67 the lowest (median 4 vs. 17 days; Figure 7). Infection with clinical and the environmental C. neoformans var. neoformans strains showed median survival between 6 and 13.5 days (p = 0.0047) with all isolates being less virulent than H99. The environmental isolate resulted in a median survival of 10 days.
Curve comparison after pooling of isolates revealed significantly faster larval killing after infection with cells from disseminated infections compared to isolates from localized infection (p = 0.0276). However, the median survival of the two groups of isolation was not statistically different (9 days vs. 10 days).
The most virulent strain in G. mellonella (18-0352), isolated from a disseminated infection, also demonstrated a high phagocytic index in coincubation with Acanthamoeba and the highest cytotoxicity for the amoeba. In contrast, isolate 19-0346, a mating-type isolate cultivated from a disseminated infection, demonstrated a high phagocytic index and high cytotoxicity for amoeba and was among the least virulent in the G. mellonella infection model.

4. Discussion

C. neoformans var. neoformans isolates cultivated in Germany show a remarkable phenotypic diversity including capsule size, production of melanin, urease and phospholipase activity. This may impact the differences in uptake into phagocytic amoebae, cytotoxicity for amoebae and virulence in the G. mellonella infection model. Isolates from disseminated infections showed larger capsules, cell bodies and higher melanin production as compared to isolates from localized skin infections. Although isolates from disseminated infections showed variable degrees of urease and phospholipase production, they demonstrated higher uptake into amoeba and cytotoxicity and shorter survival of G. mellonella.
Epidemiologic studies performed in the context of disseminated infections by C. neoformans var. grubii in HIV-infected patients demonstrate that fungal genotype may affect clinical outcomes [4]. It was suggested that cell surface changes, including capsule size, melanization and changes in cell size, i.e., large titan cells and small micro cells are phenotypic changes that correlate with virulence potential when environmental fungi enter hosts [4]. It was demonstrated that isolates from human cryptococcosis patients, mainly C. neoformans var. grubii and C. gattii, show substantial variation in virulence in infection models including the G. mellonella infection model [21,22].
So far, few studies have been performed to correlate the virulence potential of C. neoformans var. neoformans and the clinical presentation of these infections. C. neoformans var. neoformans are the second most prevalent agents of cryptococcosis in Europe [5,6]. In addition, they can be cultivated from environmental sources including trees, dust, pigeon droppings and animals including cats, cows and pigeons [9]. Based on environmental sampling from non-random sites, it was suggested that this fungus may be adapted to colder, wetter climates currently found in central Europe [10]. However, a recent report on the cultivation from Saudi Arabian desert soil suggests that this fungus is more widespread and potentially more adaptable to various environmental conditions than previously thought [23]. Interestingly, the population structure of C. neoformans var. neoformans isolates from Europe shows high genotypic diversity potentially facilitated by sexual reproduction [9]. As this process may generate phenotypic diverse offspring, laboratory tests might be needed address to virulence potential and therefore the public health potential of C. neoformans var. neoformans isolates.
Different models were used to study fungal virulence. Amoebas are a relatively easy and cheap model system. They have gained interest as some aspects of the interaction between amoeba and fungi resemble the interaction between fungi and phagocytic cells. The capsule, melanin production and phospholipase activity were shown to be important for the survival of Cryptococcus in coincubation with amoeba, while urease activity and mating-type were not. This model does not reflect other disease determinants such as immune-mediated host damage, an important part of animal cryptococcosis [24]. However, the significant differences in uptake by amoeba and cytotoxicity suggest that this model may be used to screen for the potential of strains to cause disseminated infections.
G. mellonella has emerged as a model system to explore fungal virulence and pathogenesis. G. mellonella and the mammalian immune system share some similarities including pathogen recognition, inflammatory responses, phagocytosis of pathogens and phagocyte responses to fungal uptake [25].
Primary cutaneous cryptococcosis typically presents as a solitary skin infection site after transcutaneous injury with a contaminated source. These infections are thought to be mostly caused by C. neoformans var. neoformans (genotype VNIV) isolates and generally have a favorable outcome without systemic signs of infection and mostly negative serum antigen. They are often diagnosed in patients without underlying immunosuppression [8]. The absence of dissemination in these cases might be a consequence of the host’s immune system and fungal attributes. Genotype VNIV strains were shown to be less virulent in animal models than VNI strains. In addition, cryptococci with the mating-type are less virulent in infection models and this was confirmed for C. neoformans var. neoformans [7,26].
Nevertheless, even Da strains may cause disseminated infections despite low virulence potential in infection models as demonstrated here by the isolate 19-0346 from a disseminated infection and low virulence in G. mellonella. This has previously been documented for another Da isolate from a disseminated infection in an AIDS patient and low virulence in a mouse model [7].
Previous studies using molecular typing (MLST) did not show that specific genotypes account for primary or secondary skin or disseminated infections [10]. Our results suggest that phenotypic traits and non-vertebrate infection models may help to identify isolates with the potential to cause disseminated infections. This seems to be important, given the occurrence of a genetically distinct population of C. neoformans var. neoformans in the environment in Europe that recombines sexually and asexually and therefore may produce offspring with different virulence potential [10].
Interestingly, the only environmental isolate we included showed evidence for a hypermutator phenotype. This phenotype can be caused by mutations in mismatch repair proteins. It may provide a mechanism for the rapid creation of phenotypic diversity and could also be demonstrated to be of clinical relevance, i.e., be associated with relapsed disease and antifungal drug resistance [27].

5. Conclusions

This report documents substantial phenotypic variability of C. neoformans var. neoformans isolated in Germany. The differences of strains from localized and disseminated infections in interaction with amoeba are in line with the importance of host cells in the pathogenesis of disseminated infections. Phenotypic traits and non-vertebrate infection models may help to understand the virulence potential of Cryptococcus isolates. The use of C. neoformans var. neoformans strains from patients with localized and disseminated infections may offer an alternative approach to study mechanisms of fungal dissemination. Both infection models may help to screen C. neoformans potential to cause disseminated infections.

Supplementary Materials

The following supporting information can be downloaded at: https://www.mdpi.com/article/10.3390/microorganisms10020321/s1, Figure S1: Effect of temperature on growth of Cryptococcus neoformans var. neoformans.

Author Contributions

Conceptualization, V.R. and Z.M.B.; resources, A.F.K., C.S. and T.H.; data curation, Z.M.B. and N.D.; writing—original draft preparation, Z.M.B.; writing—review and editing, V.R.; visualization, Z.M.B.; supervision, V.R.; project administration, V.R.; funding acquisition, V.R. All authors have read and agreed to the published version of the manuscript.

Funding

This research received no external funding.

Institutional Review Board Statement

Acquisition of patient data was carried out as part of a retrospective cohort study of cryptococcosis in Germany (ethics committee of the Hospital of Goethe University Frankfurt, Germany no. 198/18).

Informed Consent Statement

Informed consent was waived for the retrospective analysis by the committee.

Data Availability Statement

All data are available in graphs and tables in the manuscript and supplement data.

Acknowledgments

We thank physicians for providing isolates and information on patient presentation.

Conflicts of Interest

The authors declare no conflict of interest.

References

  1. Hagen, F.; Lumbsch, H.T.; Arsic Arsenijevic, V.; Badali, H.; Bertout, S.; Billmyre, R.B.; Bragulat, M.R.; Cabañes, F.J.; Carbia, M.; Chakrabarti, A. Importance of resolving fungal nomenclature: The case of multiple pathogenic species in the Cryptococcus genus. Msphere 2017, 2, e00238-17. [Google Scholar] [CrossRef]
  2. Kwon-Chung, K.J.; Bennett, J.E.; Wickes, B.L.; Meyer, W.; Cuomo, C.A.; Wollenburg, K.R.; Bicanic, T.A.; Castañeda, E.; Chang, Y.C.; Chen, J. The case for adopting the “species complex” nomenclature for the etiologic agents of cryptococcosis. MSphere 2017, 2, e00357-16. [Google Scholar] [CrossRef] [PubMed]
  3. May, R.C.; Stone, N.R.; Wiesner, D.L.; Bicanic, T.; Nielsen, K. Cryptococcus: From environmental saprophyte to global pathogen. Nat. Rev. Microbiol. 2016, 14, 106–117. [Google Scholar] [CrossRef]
  4. Altamirano, S.; Jackson, K.M.; Nielsen, K. The interplay of phenotype and genotype in Cryptococcus neoformans disease. Biosci. Rep. 2020, 40, BSR20190337. [Google Scholar] [CrossRef] [PubMed]
  5. Sanchini, A.; Smith, I.M.; Sedlacek, L.; Schwarz, R.; Tintelnot, K.; Rickerts, V. Molecular typing of clinical Cryptococcus neoformans isolates collected in Germany from 2004 to 2010. Med. Microbiol. Immunol. 2014, 203, 333–340. [Google Scholar] [CrossRef] [PubMed]
  6. Desnos-Ollivier, M.; Patel, S.; Raoux-Barbot, D.; Heitman, J.; Dromer, F.; French Cryptococcosis Study, G. Cryptococcosis Serotypes Impact Outcome and Provide Evidence of Cryptococcus neoformans Speciation. MBio 2015, 6, e00311-15. [Google Scholar] [CrossRef] [PubMed]
  7. Barchiesi, F.; Cogliati, M.; Esposto, M.C.; Spreghini, E.; Schimizzi, A.M.; Wickes, B.L.; Scalise, G.; Viviani, M.A. Comparative analysis of pathogenicity of Cryptococcus neoformans serotypes A, D and AD in murine cryptococcosis. J. Infect. 2005, 51, 10–16. [Google Scholar] [CrossRef] [PubMed]
  8. Neuville, S.; Dromer, F.; Morin, O.; Dupont, B.; Ronin, O.; Lortholary, O.; French Cryptococcosis Study, G. Primary cutaneous cryptococcosis: A distinct clinical entity. Clin. Infect. Dis. Off. Publ. Infect. Dis. Soc. Am. 2003, 36, 337–347. [Google Scholar] [CrossRef] [PubMed]
  9. Cogliati, M.; Desnos-Ollivier, M.; McCormick-Smith, I.; Rickerts, V.; Ferreira-Paim, K.; Meyer, W.; Boekhout, T.; Hagen, F.; Theelen, B.; Inacio, J.; et al. Genotypes and Population Genetics of Cryptococcus Neoformans and Cryptococcus Gattii Species Complexes in Europe and the Mediterranean Area. Fungal Genet. Biol. 2019, 129, 16–29. [Google Scholar] [CrossRef]
  10. Cogliati, M.; Zani, A.; Rickerts, V.; McCormick, I.; Desnos-Ollivier, M.; Velegraki, A.; Escandon, P.; Ichikawa, T.; Ikeda, R.; Bienvenue, A.L.; et al. Multilocus sequence typing analysis reveals that Cryptococcus neoformans var. neoformans is a recombinant population. Fungal Genet. Biol. 2016, 87, 22–29. [Google Scholar] [CrossRef]
  11. Montoya, M.C.; Magwene, P.M.; Perfect, J.R. Associations between Cryptococcus Genotypes, Phenotypes, and Clinical Parameters of Human Disease: A Review. J. Fungi 2021, 7, 260. [Google Scholar] [CrossRef] [PubMed]
  12. Billmyre, R.B.; Clancey, S.A.; Li, L.X.; Doering, T.L.; Heitman, J. 5-fluorocytosine resistance is associated with hypermutation and alterations in capsule biosynthesis in Cryptococcus. Nat. Commun. 2020, 11, 1–9. [Google Scholar] [CrossRef] [PubMed]
  13. Feng, X.; Fu, X.; Ling, B.; Wang, L.; Liao, W.; Yao, Z. Development of a singleplex PCR assay for rapid identification and differentiation of Cryptococcus neoformans var. grubii, Cryptococcus neoformans var. neoformans, Cryptococcus gattii, and hybrids. J. Clin. Microbiol. 2013, 51, 1920–1923. [Google Scholar] [CrossRef] [PubMed]
  14. Meyer, W.; Aanensen, D.M.; Boekhout, T.; Cogliati, M.; Diaz, M.R.; Esposto, M.C.; Fisher, M.; Gilgado, F.; Hagen, F.; Kaocharoen, S. Consensus multi-locus sequence typing scheme for Cryptococcus neoformans and Cryptococcus gattii. Med. Mycol. 2009, 47, 561–570. [Google Scholar] [CrossRef]
  15. Schneider, C.A.; Rasband, W.S.; Eliceiri, K.W. NIH Image to ImageJ: 25 years of image analysis. Nat. Methods 2012, 9, 671–675. [Google Scholar] [CrossRef]
  16. Price, M.F.; Wilkinson, I.D.; Gentry, L.O. Plate method for detection of phospholipase activity in Candida albicans. Sabouraudia J. Med. Vet. Mycol. 1982, 20, 7–14. [Google Scholar] [CrossRef]
  17. García-Rodas, R.; Trevijano-Contador, N.; Román, E.; Janbon, G.; Moyrand, F.; Pla, J.; Casadevall, A.; Zaragoza, O. Role of Cln1 during melanization of Cryptococcus neoformans. Front. Microbiol. 2015, 6, 798. [Google Scholar] [CrossRef][Green Version]
  18. Steenbergen, J.; Shuman, H.; Casadevall, A. Cryptococcus neoformans interactions with amoebae suggest an explanation for its virulence and intracellular pathogenic strategy in macrophages. Proc. Natl. Acad. Sci. USA 2001, 98, 15245–15250. [Google Scholar] [CrossRef]
  19. Malliaris, S.D.; Steenbergen, J.N.; Casadevall, A. Cryptococcus neoformans var. gattii can exploit Acanthamoeba castellanii for growth. Med. Mycol. 2004, 42, 149–158. [Google Scholar] [CrossRef]
  20. Cerenius, L.; Lee, B.L.; Söderhäll, K. The proPO-system: Pros and cons for its role in invertebrate immunity. Trends Immunol. 2008, 29, 263–271. [Google Scholar] [CrossRef]
  21. Firacative, C.; Duan, S.; Meyer, W. Galleria mellonella model identifies highly virulent strains among all major molecular types of Cryptococcus gattii. PLoS ONE 2014, 9, e105076. [Google Scholar] [CrossRef] [PubMed]
  22. Mukaremera, L.; McDonald, T.R.; Nielsen, J.N.; Molenaar, C.J.; Akampurira, A.; Schutz, C.; Taseera, K.; Muzoora, C.; Meintjes, G.; Meya, D.B. The mouse inhalation model of Cryptococcus neoformans infection recapitulates strain virulence in humans and shows that closely related strains can possess differential virulence. Infect. Immun. 2019, 87, e00046-19. [Google Scholar] [CrossRef] [PubMed]
  23. Samarasinghe, H.; Aljohani, R.; Jimenez, C.; Xu, J. Fantastic yeasts and where to find them: The discovery of a predominantly clonal Cryptococcus deneoformans population in Saudi Arabian soils. FEMS Microbiol. Ecol. 2019, 95, fiz122. [Google Scholar] [CrossRef] [PubMed]
  24. Casadevall, A.; Fu, M.S.; Guimaraes, A.J.; Albuquerque, P. The ‘amoeboid predator-fungal animal virulence’ hypothesis. J. Fungi 2019, 5, 10. [Google Scholar] [CrossRef]
  25. FQ Smith, D.; Casadevall, A. Fungal immunity and pathogenesis in mammals versus the invertebrate model organism Galleria mellonella. Pathog. Dis. 2021, 79, ftab013. [Google Scholar] [CrossRef]
  26. Lengeler, K.B.; Wang, P.; Cox, G.M.; Perfect, J.R.; Heitman, J. Identification of the MATa mating-type locus of Cryptococcus neoformans reveals a serotype A MATa strain thought to have been extinct. Proc. Natl. Acad. Sci. USA 2000, 97, 14455–14460. [Google Scholar] [CrossRef]
  27. Rhodes, J.; Beale, M.A.; Vanhove, M.; Jarvis, J.N.; Kannambath, S.; Simpson, J.A.; Ryan, A.; Meintjes, G.; Harrison, T.S.; Fisher, M.C.; et al. A Population Genomics Approach to Assessing the Genetic Basis of Within-Host Microevolution Underlying Recurrent Cryptococcal Meningitis Infection. G3 Genes Genomes Genet. 2017, 7, 1165–1176. [Google Scholar] [CrossRef]
Figure 1. Melanization of Cryptococcus neoformans var. neoformans isolates. 5 µL containing 106 cells were spotted on Niger seed agar and incubated at 30 °C for 48 h. Plates were photographed and converted to black/white pictures. The pixel intensity of the colonies was measured digitally. Measurements were normalized by division through the sum of all measured pixels. Therefore, lower values of normalized pixel intensity indicate stronger melanization. Black lines show means with standard deviation of three biological replicates with five measurements each. Dots show individual data points.
Figure 1. Melanization of Cryptococcus neoformans var. neoformans isolates. 5 µL containing 106 cells were spotted on Niger seed agar and incubated at 30 °C for 48 h. Plates were photographed and converted to black/white pictures. The pixel intensity of the colonies was measured digitally. Measurements were normalized by division through the sum of all measured pixels. Therefore, lower values of normalized pixel intensity indicate stronger melanization. Black lines show means with standard deviation of three biological replicates with five measurements each. Dots show individual data points.
Microorganisms 10 00321 g001
Figure 2. Capsule (A), cell body (B) and total cell size (C) of Cryptococcus neoformans var. neoformans isolates from disseminated infections (black), localized soft tissue infections (grey), and the environment (light grey). Cells were incubated in minimal medium at 30 °C for 24 h. Cells were stained with India ink and measured digitally. Black lines show means with standard deviation of 20 measured cells per isolate. Dots show individual data points.
Figure 2. Capsule (A), cell body (B) and total cell size (C) of Cryptococcus neoformans var. neoformans isolates from disseminated infections (black), localized soft tissue infections (grey), and the environment (light grey). Cells were incubated in minimal medium at 30 °C for 24 h. Cells were stained with India ink and measured digitally. Black lines show means with standard deviation of 20 measured cells per isolate. Dots show individual data points.
Microorganisms 10 00321 g002
Figure 3. Urease activity of Cryptococcus neoformans var. neoformans isolates from disseminated infections (black), localized soft tissue infections (grey), and the environment (light grey). A total of 5 µL containing 106 cells were spotted on Christensen’s urea agar and incubated at 30 °C for 48 h. Halos surrounding colonies were measured digitally. Black lines show means with standard deviation of three biological replicates with two measurements each.
Figure 3. Urease activity of Cryptococcus neoformans var. neoformans isolates from disseminated infections (black), localized soft tissue infections (grey), and the environment (light grey). A total of 5 µL containing 106 cells were spotted on Christensen’s urea agar and incubated at 30 °C for 48 h. Halos surrounding colonies were measured digitally. Black lines show means with standard deviation of three biological replicates with two measurements each.
Microorganisms 10 00321 g003
Figure 4. Phospholipase activity of Cryptococcus neoformans var. neoformans isolates from disseminated infections (black), localized soft tissue infections (grey), and the environment (light grey). A total of 5 µL containing 106 cells were spotted on egg yolk agar and incubated at 30 °C for five days. Halos surrounding colonies were measured digitally. Black lines show means with standard deviation of three biological replicates with two measurements each. Dots show individual data points.
Figure 4. Phospholipase activity of Cryptococcus neoformans var. neoformans isolates from disseminated infections (black), localized soft tissue infections (grey), and the environment (light grey). A total of 5 µL containing 106 cells were spotted on egg yolk agar and incubated at 30 °C for five days. Halos surrounding colonies were measured digitally. Black lines show means with standard deviation of three biological replicates with two measurements each. Dots show individual data points.
Microorganisms 10 00321 g004
Figure 5. Phagocytic index representing the percentage of Acanthamoeba castellanii with intracellular Cryptococus neoformans var. neoformans cells after incubation in PYG medium at 29 °C for two hours. Clinical isolates from disseminated infections (black) are better phagocytosed than isolates from localized infections (grey) and the environment (light grey). To define the range of this assay, a C. neoformans wild-type reference strain (B3501A) and an acapsular strain (cap67) were included (white). The standard deviations of three independent experiments with eight technical replicates each are shown.
Figure 5. Phagocytic index representing the percentage of Acanthamoeba castellanii with intracellular Cryptococus neoformans var. neoformans cells after incubation in PYG medium at 29 °C for two hours. Clinical isolates from disseminated infections (black) are better phagocytosed than isolates from localized infections (grey) and the environment (light grey). To define the range of this assay, a C. neoformans wild-type reference strain (B3501A) and an acapsular strain (cap67) were included (white). The standard deviations of three independent experiments with eight technical replicates each are shown.
Microorganisms 10 00321 g005
Figure 6. Cytotoxicity of Cryptococcus neoformans var. neoformans isolates for Acanthamoeba castellanii after incubation in PBS medium at 29 °C for 48 h. Clinical isolates from disseminated infections (black) are more cytotoxic for amoebas than isolates from localized soft tissue infections (grey) and the environment (light grey). To define the range of this assay, a wild-type reference strain and an acapsular strain were included (white). A. castellanii was incubated without fungi as control (checkered). Standard deviations of three independent experiments with eight technical replicates each are shown.
Figure 6. Cytotoxicity of Cryptococcus neoformans var. neoformans isolates for Acanthamoeba castellanii after incubation in PBS medium at 29 °C for 48 h. Clinical isolates from disseminated infections (black) are more cytotoxic for amoebas than isolates from localized soft tissue infections (grey) and the environment (light grey). To define the range of this assay, a wild-type reference strain and an acapsular strain were included (white). A. castellanii was incubated without fungi as control (checkered). Standard deviations of three independent experiments with eight technical replicates each are shown.
Microorganisms 10 00321 g006
Figure 7. Virulence of Cryptococcus neoformans var. neoformans isolates in the Galleria mellonella injection model. Kaplan–Meier survival curves demonstrate that isolates recovered from human infections, either disseminated infections (black), localized soft tissue infections (grey), or environmental isolates (light grey), show substantial differences in virulence. While all C. neoformans var. neoformans isolates show longer median survival compared to C. neoformans var. grubii H99, they show shorter median survival than cap67, a strain lacking a capsule that was demonstrated to be avirulent in mice (40, 41). Each symbol represents a tested isolate; dashed lines represent control groups. Each curve represents cumulative data of three biological replicates with 20 larvae per group and experimental unit.
Figure 7. Virulence of Cryptococcus neoformans var. neoformans isolates in the Galleria mellonella injection model. Kaplan–Meier survival curves demonstrate that isolates recovered from human infections, either disseminated infections (black), localized soft tissue infections (grey), or environmental isolates (light grey), show substantial differences in virulence. While all C. neoformans var. neoformans isolates show longer median survival compared to C. neoformans var. grubii H99, they show shorter median survival than cap67, a strain lacking a capsule that was demonstrated to be avirulent in mice (40, 41). Each symbol represents a tested isolate; dashed lines represent control groups. Each curve represents cumulative data of three biological replicates with 20 larvae per group and experimental unit.
Microorganisms 10 00321 g007
Table 1. C. neoformans var. neoformans strains isolated in Germany used in this study.
Table 1. C. neoformans var. neoformans strains isolated in Germany used in this study.
Strain IdentifierIsolation SiteSerum AntigenMating-TypeSequence Type
13-0492pigeon guanonot applicablea524
15-0504skinnegativeα597
17-0601CSFunknownα270
18-0352CSFunknownα116
19-0346bloodunknowna661
19-0742skinnegativeα567
19-1016skin1:32α514
Publisher’s Note: MDPI stays neutral with regard to jurisdictional claims in published maps and institutional affiliations.

Share and Cite

MDPI and ACS Style

Birkenfeld, Z.M.; Dittel, N.; Harrer, T.; Stephan, C.; Kiderlen, A.F.; Rickerts, V. Phenotypic Diversity of Cryptococcus neoformans var. neoformans Clinical Isolates from Localized and Disseminated Infections. Microorganisms 2022, 10, 321. https://doi.org/10.3390/microorganisms10020321

AMA Style

Birkenfeld ZM, Dittel N, Harrer T, Stephan C, Kiderlen AF, Rickerts V. Phenotypic Diversity of Cryptococcus neoformans var. neoformans Clinical Isolates from Localized and Disseminated Infections. Microorganisms. 2022; 10(2):321. https://doi.org/10.3390/microorganisms10020321

Chicago/Turabian Style

Birkenfeld, Zena M., Nikita Dittel, Thomas Harrer, Christoph Stephan, Albrecht F. Kiderlen, and Volker Rickerts. 2022. "Phenotypic Diversity of Cryptococcus neoformans var. neoformans Clinical Isolates from Localized and Disseminated Infections" Microorganisms 10, no. 2: 321. https://doi.org/10.3390/microorganisms10020321

APA Style

Birkenfeld, Z. M., Dittel, N., Harrer, T., Stephan, C., Kiderlen, A. F., & Rickerts, V. (2022). Phenotypic Diversity of Cryptococcus neoformans var. neoformans Clinical Isolates from Localized and Disseminated Infections. Microorganisms, 10(2), 321. https://doi.org/10.3390/microorganisms10020321

Note that from the first issue of 2016, this journal uses article numbers instead of page numbers. See further details here.

Article Metrics

Back to TopTop