Photosynthetic Characteristics of Smaller and Larger Cell Size-Fractioned Phytoplankton Assemblies in the Daya Bay, Northern South China Sea
Abstract
:1. Introduction
2. Materials and Methods
2.1. Study Area
2.2. Sampling Protocol
2.2.1. Environment Measurements
2.2.2. Chlorophyll a (Chl a) Measurement
2.2.3. Fluorescence Measurement
2.3. Statistical Analysis
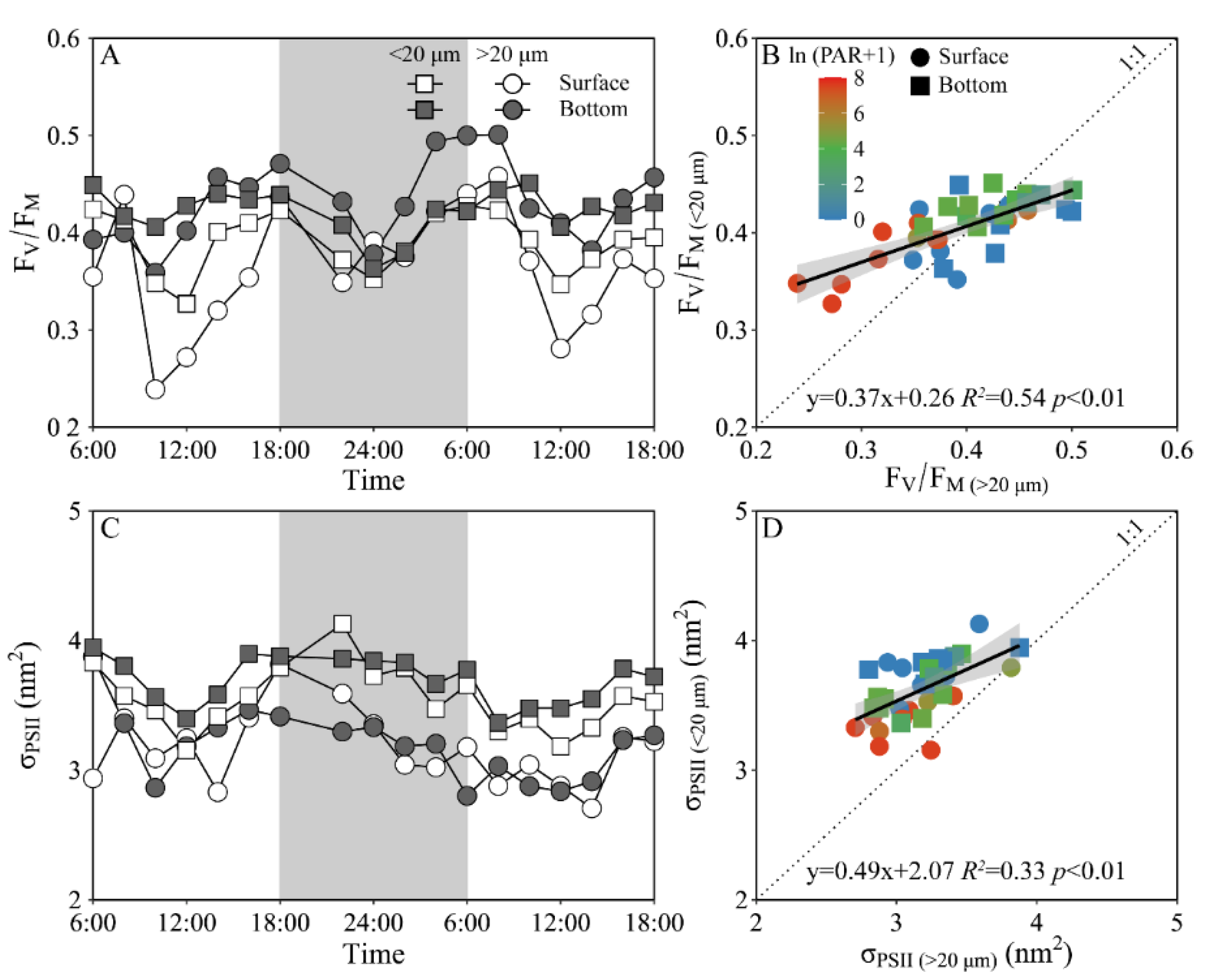
3. Results
4. Discussion
5. Conclusions
Supplementary Materials
Author Contributions
Funding
Institutional Review Board Statement
Informed Consent Statement
Data Availability Statement
Conflicts of Interest
References
- Field, C.B.; Behrenfeld, M.J.; Randerson, J.T.; Falkowski, P. Primary production of the biosphere: Integrating terrestrial and oceanic components. Science 1998, 281, 237–240. [Google Scholar] [CrossRef] [PubMed] [Green Version]
- Jiang, L.; Schofield, O.M.E.; Falkowski, P.G. Adaptive evolution of phytoplankton cell size. Am. Nat. 2005, 166, 496–505. [Google Scholar] [CrossRef] [PubMed] [Green Version]
- Finkel, Z.V.; Beardall, J.; Flynn, K.J.; Quigg, A.; Rees, T.A.V.; Raven, J.A. Phytoplankton in a changing world: Cell size and elemental stoichiometry. J. Plankton Res. 2010, 32, 119–137. [Google Scholar] [CrossRef] [Green Version]
- Cloern, J.E. Why large cells dominate estuarine phytoplankton. Limnol. Oceanogr. 2018, 63, S392–S409. [Google Scholar] [CrossRef]
- Raven, J.A. Why are there no picoplanktonic O2 evolvers with volumes less than 10−19 m3? J. Plankton Res. 1994, 16, 565–580. [Google Scholar] [CrossRef]
- Raven, J.A. The twelfth Tansley Lecture. Small is beautiful: The picophytoplankton. Funct. Ecol. 1998, 12, 503–513. [Google Scholar] [CrossRef]
- Mai, G.; Liu, J.; Xia, X.; Pang, X.; Li, B.; Yu, L.; Tan, Y.; Song, X.; Li, G. Acutely rising temperature reduces photosynthetic capacity of phytoplankton assemblages in tropical oceans: A large-scale investigation. Front. Mar. Sci. 2021, 8, 710697. [Google Scholar] [CrossRef]
- Qin, Z.; Xia, X.; Mai, G.; Tan, Y.; Li, G. Differential physiological responses of small Thalassiosira pseudonana and large Thalassiosira punctigera to the shifted-high light and nitrogen. J. Mar. Sci. Eng. 2021, 9, 450. [Google Scholar] [CrossRef]
- Agustí, S.; Llabrés, M. Solar radiation-induced mortality of marine pico-phytoplankton in the oligotrophic ocean. Photochem. Photobiol. 2007, 83, 793–801. [Google Scholar] [CrossRef]
- Agustí, S. Allometric scaling of light absorption and scattering by phytoplankton cells. Can. J. Fish. Aquat. Sci. 1991, 48, 763–767. [Google Scholar] [CrossRef]
- Yan, D.; Beardall, J.; Gao, K. Variation in cell size of the diatom Coscinodiscus granii influences photosynthetic performance and growth. Photosynth. Res. 2018, 137, 41–52. [Google Scholar] [CrossRef] [PubMed]
- Talmy, D.; Blackford, J.; Hardman-Mountford, N.J.; Polimene, L.; Follows, M.J.; Geider, R.J. Flexible C: N ratio enhances metabolism of large phytoplankton when resource supply is intermittent. Biogeosciences 2014, 11, 4881–4895. [Google Scholar] [CrossRef] [Green Version]
- Li, G.; Talmy, D.; Campbell, D.A.; Wetherbee, R. Diatom growth responses to photoperiod and light are predictable from diel reductant generation. J. Phycol. 2017, 53, 95–107. [Google Scholar] [CrossRef]
- Li, G.; Woroch, A.D.; Donaher, N.A.; Cockshutt, A.M.; Campbell, D.A. A hard day’s night: Diatoms continue recycling photosystem II in the dark. Front. Mar. Sci. 2016, 3, 218. [Google Scholar] [CrossRef] [Green Version]
- Wang, H.; Zhang, B.; Song, X.; Jian, X.; Tang, C.; Campbell, D.A.; Lin, Q.; Li, G. High antioxidant capability interacts with respiration to mediate two Alexandrium species growth exploitation of photoperiods and light intensities. Harmful Algae 2019, 82, 26–34. [Google Scholar] [CrossRef] [PubMed]
- Li, P.; Ma, Q.; Xu, S.; Liu, W.; Ma, Z.; Ni, G. Opposite growth responses of Alexandrium minutum and Alexandrium catenella to photoperiods and temperatures. Plants 2021, 10, 1056. [Google Scholar] [CrossRef]
- Xu, G.; Liu, J.; Song, X.; Tan, M.; Ren, H.; Li, D.; Tan, Y.; Huang, L.; Li, G. Diel rhythm in photosynthetic performance of phytoplankton assemblages is predicted to be light-dependent from in situ and mesocosm chlorophyll fluorescence. J. Coast. Res. 2020, 104, 445–454. [Google Scholar] [CrossRef]
- Zhu, Y.; Ishizaka, J.; Tripathy, S.C.; Wang, S.; Mino, Y.; Matsuno, T.; Suggett, D.J. Variation of the photosynthetic electron transfer rate and electron requirement for daily net carbon fixation in Ariake Bay, Japan. J. Oceanogr. 2016, 72, 761–776. [Google Scholar] [CrossRef]
- Xie, Y.; Laws, E.A.; Yang, L.; Huang, B. Diel patterns of variable fluorescence and carbon fixation of picocyanobacteria Prochlorococcus-dominated phytoplankton in the South China Sea basin. Front. Microbiol. 2018, 9, 1589. [Google Scholar] [CrossRef] [Green Version]
- Schallenberg, C.; Strzepek, R.F.; Schuback, N.; Clementson, L.A.; Boyd, P.W.; Trull, T.W. Diel quenching of Southern Ocean phytoplankton fluorescence is related to iron limitation. Biogeosciences 2020, 17, 793–812. [Google Scholar] [CrossRef] [Green Version]
- Schuback, N.; Tortell, P.D. Diurnal regulation of photosynthetic light absorption, electron transport and carbon fixation in two contrasting oceanic environments. Biogeosciences 2019, 16, 1381–1399. [Google Scholar] [CrossRef] [Green Version]
- Xu, G.; Liu, J.; Chen, B.; Li, G. Photoperiod mediates the differential physiological responses of smaller Thalassiosira pseudonana and larger Thalassiosira punctigera to temperature changes. J. Appl. Phycol. 2020, 32, 2863–2874. [Google Scholar] [CrossRef]
- Ke, Z.; Tan, Y.; Huang, L.; Liu, J.; Xiang, C.; Zhao, C.; Zhang, J. Significantly depleted 15N in suspended particulate organic matter indicating a strong influence of sewage loading in Daya Bay, China. Sci. Total Environ. 2019, 650, 759–768. [Google Scholar] [CrossRef] [PubMed]
- Wang, Y.S.; Lou, Z.P.; Sun, C.C.; Sun, S. Ecological environment changes in Daya Bay, China, from 1982 to 2004. Mar. Pollut. Bull. 2008, 56, 1871–1879. [Google Scholar] [CrossRef] [PubMed]
- Song, X.; Huang, L.; Zhang, J.; Huang, H.; Li, T.; Su, Q. Harmful algal blooms (HABs) in Daya Bay, China: An in situ study of primary production and environmental impacts. Mar. Pollut. Bull. 2009, 58, 1310–1318. [Google Scholar] [CrossRef] [PubMed]
- Yang, X.; Tan, Y.; Li, K.; Zhang, H.; Liu, J.; Xiang, C. Long-term changes in summer phytoplankton communities and their influencing factors in Daya Bay, China (1991–2017). Mar. Pollut. Bull. 2020, 161, 111694. [Google Scholar] [CrossRef] [PubMed]
- Song, X.; Li, Y.; Xiang, C.; Su, X.; Xu, G.; Tan, M.; Huang, Y.; Liu, J.; Ma, Z.; Huang, L.; et al. Nitrogen and phosphorus enrichments alter the dynamics of the plankton community in Daya Bay, northern South China Sea: Results of mesocosm studies. Mar. Freshw. Res. 2021, 72, 1632–1642. [Google Scholar] [CrossRef]
- Song, X.; Tan, M.; Xu, G.; Su, X.; Liu, J.; Ni, G.; Li, Y.; Tan, Y.; Huang, L.; Shen, P.; et al. Is phosphorus a limiting factor to regulate the growth of phytoplankton in Daya Bay, northern South China Sea: A mesocosm experiment. Ecotoxicology 2019, 28, 559–568. [Google Scholar] [CrossRef]
- Xu, G. Environments and Resources of Daya Bay; Anhui Press of Science and Technology: Huainan, China, 1989; ISBN 7-5337-0326-X. [Google Scholar]
- Zhang, W.; Zhou, R. Thermal impact analysis of discharge of circulating cooling water at Daya Bay nuclear power station (GNPS) and Ling Ao nuclear power station (LNPS). Radiat. Prot. 2004, 24, 257–262. (In Chinese) [Google Scholar]
- Parsons, T.R.; Maita, Y.; Lalli, C.M. A Manual of Chemical & Biological Methods for Seawater Analysis; Pergamon: Amsterdam, The Netherlands, 1984; ISBN 978-0-08-030287-4. [Google Scholar]
- Cermeño, P.; Estévez-Blanco, P.; Marañón, E.; Emilio Fernández, E. Maximum photosynthetic efficiency of size-fractionated phytoplankton assessed by 14C uptake and fast repetition rate fluorometry. Limnol. Oceanogr. 2005, 50, 1438–1446. [Google Scholar] [CrossRef] [Green Version]
- Schuback, N.; Tortell, P.D.; Berman-Frank, I.; Campbell, D.A.; Ciotti, A.; Courtecuisse, E.; Erickson, Z.K.; Fujiki, T.; Halsey, K.; Hickman, A.E.; et al. Single-turnover variable chlorophyll fluorescence as a tool for assessing phytoplankton photosynthesis and primary productivity: Opportunities, caveats and recommendations. Front. Mar. Sci. 2021, 8, 690607. [Google Scholar] [CrossRef]
- Kolber, Z.S.; Prášil, O.; Falkowski, P.G. Measurements of variable chlorophyll fluorescence using fast repetition rate techniques: Defining methodology and experimental protocols. BBA-Bioenerg. 1998, 1367, 88–106. [Google Scholar] [CrossRef] [Green Version]
- Wei, Y.; Zhao, X.; Sun, J.; Liu, H. Fast repetition rate fluorometry (FRRF) derived phytoplankton primary productivity in the Bay of Bengal. Front. Microbiol. 2019, 10, 1164. [Google Scholar] [CrossRef] [PubMed]
- Cullen, J.J.; Davis, R.F. The Blank Can Make a Big Difference in Oceanographic Measurements. Limnol. Oceanogr. Bull. 2003, 12, 29–35. [Google Scholar] [CrossRef]
- Genty, B.; Briantais, J.-M.; Baker, N.R. The relationship between the quantum yield of photosynthetic electron transport and quenching of chlorophyll fluorescence. BBA-Gen. Subj. 1989, 990, 87–92. [Google Scholar] [CrossRef]
- Webb, W.L.; Newton, M.; Starr, D. Carbon dioxide exchange of Alnus rubra. Oecologia 1974, 17, 281–291. [Google Scholar] [CrossRef] [PubMed]
- Silsbe, G.M.; Kromkamp, J.C. Modeling the irradiance dependency of the quantum efficiency of photosynthesis. Limnol. Oceanogr. Meth. 2012, 10, 645–652. [Google Scholar] [CrossRef] [Green Version]
- R Core Team. R: A Language and Environment for Statistical Computing. Available online: https://www.r-project.org (accessed on 20 August 2021).
- Silsbe, G.M.; Malkin, S.Y. Phytotools: Phytoplankton Production Tools. Available online: https://cran.r-project.org/web/packages/phytotools/index.html (accessed on 20 August 2021).
- Oksanen, J.; Blanchet, F.G.; Friendly, M.; Kindt, R.; Legendre, P.; McGlinn, D.; Minchin, P.R.; O’Hara, R.B.; Simpson, G.L.; Solymos, P.; et al. Vegan: Community Ecology Package. Available online: https://cran.r-project.org/web/packages/vegan/index.html (accessed on 20 August 2021).
- Shi, X.; Zou, D.; Hu, S.; Mai, G.; Ma, Z.; Li, G. Photosynthetic characteristics of three cohabitated macroalgae in the Daya Bay, and their responses to temperature rises. Plants 2021, 10, 2441. [Google Scholar] [CrossRef]
- Gao, K.; Li, G.; Helbling, E.W.; Villafañe, V.E. Variability of UVR effects on photosynthesis of summer phytoplankton assemblages from a tropical coastal area of the South China Sea. Photochem. Photobiol. 2007, 83, 802–809. [Google Scholar] [CrossRef]
- Krumme, U.; Herbeck, L.S.; Wang, T. Tide- and rainfall-induced variations of physical and chemical parameters in a mangrove-depleted estuary of East Hainan (South China Sea). Mar. Environ. Res. 2012, 82, 28–39. [Google Scholar] [CrossRef]
- Han, G.; Zhou, W.; Gao, J.; Liao, J.; Shi, R.; Li, T.; Guo, Y.; Long, A. Characteristics of phytoplankton biomass, primary production and community structure in the Modaomen Channel, Pearl River Estuary, with special reference to the influence of saltwater intrusion during neap and spring tides. PLoS ONE 2016, 11, e0167630. [Google Scholar] [CrossRef]
- Hao, Y.; Tang, D.; Yu, L.; Xing, Q. Nutrient and chlorophyll a anomaly in red-tide periods of 2003–2008 in Sishili Bay, China. China Chin. J. Oceanol. Limnol. 2011, 29, 664–673. [Google Scholar] [CrossRef]
- Wu, X.; Liu, H.; Ru, Z.; Tu, G.; Xing, L.; Ding, Y. Meta-analysis of the response of marine phytoplankton to nutrient addition and seawater warming. Mar. Environ. Res. 2021, 168, 105294. [Google Scholar] [CrossRef]
- Zhang, X.; Huang, X.; Huang, L. Phytoplankton community structure shaped by key environmental factors in fish and shellfish farms in Daya Bay, South China. Aquat. Ecosyst. Health 2013, 16, 300–310. [Google Scholar] [CrossRef]
- Wang, Z.; Zhao, J.; Zhang, Y.; Cao, Y. Phytoplankton community structure and environmental parameters in aquaculture areas of Daya Bay, South China Sea. J. Environ. Sci. 2009, 21, 1268–1275. [Google Scholar] [CrossRef]
- Wu, H.; Roy, S.; Alami, M.; Green, B.R.; Campbell, D.A. Photosystem II photoinactivation, repair, and protection in marine centric diatoms. Plant Physiol. 2012, 160, 464–476. [Google Scholar] [CrossRef] [PubMed] [Green Version]
- Wu, H.; Cockshutt, A.M.; McCarthy, A.; Campbell, D.A. Distinctive photosystem II photoinactivation and protein dynamics in marine diatoms. Plant Physiol. 2011, 156, 2184–2195. [Google Scholar] [CrossRef] [Green Version]
- Suggett, D.J.; Moore, C.M.; Hickman, A.E.; Geider, R.J. Interpretation of fast repetition rate (FRR) fluorescence: Signatures of phytoplankton community structure versus physiological state. Mar. Ecol. Prog. Ser. 2009, 376, 1–19. [Google Scholar] [CrossRef] [Green Version]







| Publisher’s Note: MDPI stays neutral with regard to jurisdictional claims in published maps and institutional affiliations. | 
© 2021 by the authors. Licensee MDPI, Basel, Switzerland. This article is an open access article distributed under the terms and conditions of the Creative Commons Attribution (CC BY) license (https://creativecommons.org/licenses/by/4.0/).
Share and Cite
Mai, G.; Song, X.; Xia, X.; Ma, Z.; Tan, Y.; Li, G. Photosynthetic Characteristics of Smaller and Larger Cell Size-Fractioned Phytoplankton Assemblies in the Daya Bay, Northern South China Sea. Microorganisms 2022, 10, 16. https://doi.org/10.3390/microorganisms10010016
Mai G, Song X, Xia X, Ma Z, Tan Y, Li G. Photosynthetic Characteristics of Smaller and Larger Cell Size-Fractioned Phytoplankton Assemblies in the Daya Bay, Northern South China Sea. Microorganisms. 2022; 10(1):16. https://doi.org/10.3390/microorganisms10010016
Chicago/Turabian StyleMai, Guangming, Xingyu Song, Xiaomin Xia, Zengling Ma, Yehui Tan, and Gang Li. 2022. "Photosynthetic Characteristics of Smaller and Larger Cell Size-Fractioned Phytoplankton Assemblies in the Daya Bay, Northern South China Sea" Microorganisms 10, no. 1: 16. https://doi.org/10.3390/microorganisms10010016
APA StyleMai, G., Song, X., Xia, X., Ma, Z., Tan, Y., & Li, G. (2022). Photosynthetic Characteristics of Smaller and Larger Cell Size-Fractioned Phytoplankton Assemblies in the Daya Bay, Northern South China Sea. Microorganisms, 10(1), 16. https://doi.org/10.3390/microorganisms10010016
 
         
                                                



