Next Article in Journal
The Design and Testing of a Cross-Scale Compliant Rotary Actuator with Minimum Actuation Redundancy and Sub-Microradian Resolution
Previous Article in Journal
Research on Sensorless Control Strategy of High-Speed Submersible Permanent Magnet Synchronous Motor
 
 
Font Type:
Arial Georgia Verdana
Font Size:
Aa Aa Aa
Line Spacing:
Column Width:
Background:
Article

Torsional Vibration Suppression in Multi-Condition Electric Propulsion Systems Through Harmonic Current Modulation

1
School of Mechanotronics and Vehicle Engineering, Chongqing Jiaotong University, Chongqing 400074, China
2
State Key Laboratory of Mechanical Transmission for Advanced Equipment, Chongqing University, Chongqing 400044, China
*
Author to whom correspondence should be addressed.
Actuators 2025, 14(6), 283; https://doi.org/10.3390/act14060283
Submission received: 19 April 2025 / Revised: 6 June 2025 / Accepted: 6 June 2025 / Published: 9 June 2025
(This article belongs to the Section Aerospace Actuators)

Abstract

Electric helicopters represent a pivotal component in the advancement of urban air mobility (UAM), with considerable potential for future development. The electric propulsion system (EPS) is the core component of these systems. However, the inherent complexities of electromechanical coupling can induce excessive torsional vibrations, potentially compromising operational comfort and even threatening flight safety. This study proposes an active torsional vibration suppression method for EPS that explicitly incorporates electromechanical coupling characteristics. A nonlinear dynamic model has been developed, accounting for time-varying meshing stiffness, meshing errors, and multi-harmonic motor excitation. The motor and transmission system models are coupled using torsional angular displacement. A harmonic current command generation algorithm is then formulated, based on the analysis of harmonic torque-to-current transmission characteristics. To achieve dynamic tracking and the real-time compensation of high-order harmonic currents under non-steady-state conditions, a high-order resonant controller with frequency-domain decoupling characteristics was designed. The efficacy of the proposed harmonic current modulation is verified through simulations, showing an effective reduction of torsional vibrations in the EPS under both steady-state and non-steady-state conditions. It decreases the peak dynamic meshing force by 4.17% and the sixth harmonic amplitude by 88.15%, while mitigating overshoot and accelerating vibration attenuation during speed regulation. The proposed harmonic current modulation method provides a practical solution for mitigating torsional vibrations in electric propulsion systems, enhancing the comfort, reliability, and safety of electric helicopters.

1. Introduction

In recent years, there has been a global surge in the development of electric aircraft technology. Electric helicopters, defined as electric aircraft capable of vertical takeoff and landing as well as sustained hovering, have shown significant potential in areas such as urban air transportation, sightseeing, tourism, and other fields [1,2]. An electric propulsion system (EPS), which comprises the motor, transmission system, and main rotor, serves as the power source for these aircraft. Characterized by high power density, high input speed, and long-chain transmission, the EPS stands out as a critical component of electric helicopters.
Torsional vibration is a key concern in EPS research. Excessive torsional vibration can lead to passenger discomfort, flight control challenges, and the accelerated wear of rotating components, ultimately posing a serious threat to flight safety [3,4]. This issue was first identified in helicopter transmission systems by Boeing and Sikorsky in the 1960s and 1970s [3]. A comprehensive investigation by Changhe Aircraft into a low-frequency jigging fault in a specific helicopter model involved detailed inspections of critical components, including the rotor, flight control, hydraulic, and transmission systems. The root cause of the fault was determined to be a 2.7 Hz torsional vibration within the transmission system [4].
Numerous studies have focused on the suppression of torsional vibration in oil-powered helicopter transmission systems. They can be categorized based on two aspects: structural design [5,6] and active control [7,8]. On the structural design front, Chen et al. [5] established a dynamic model of a four-stage helicopter transmission system, using the lumped parameter method, and found through parameter sensitivity analysis that increasing the stiffness of the input shaft could effectively suppress the torsional vibration amplitude of the system. In a similar vein, Özel, et al. [6] introduced a 3D periodic structural design into helicopter rotor blade systems to achieve passive vibration attenuation. By optimizing the structural dimensions using hybrid algorithms, the proposed design reduced the reaction forces at the rotor shaft and provided a lightweight alternative to conventional dampers. Conversely, regarding active control, Ren et al. [7] developed an adaptive active control strategy for the helicopter flexible slung-load system (HFSLS), effectively suppressing vibration despite the presence of input saturation, backlash, and external disturbances. Wang et al. [8] established a model of torsional vibrations in the helicopter propulsion system, including the turboshaft engine, transmission system, and main rotor. They then applied a torsional vibration filter, comprising a notch filter and a low-pass filter, to the engine speed control loop, effectively suppressing torsional vibrations in the propulsion system. As helicopter power systems transition toward electrification, the shift in power output characteristics and control methodologies renders the existing active torsional vibration control methods ineffective for these new systems.
Research on EPSs for electric helicopters is still in its nascent stages. Currently, lithium batteries are predominantly employed in the EPSs of lightweight helicopters [9], while hydrogen fuel cells have also been utilized to achieve enhanced energy density [10]. For medium-sized helicopters with higher power requirements, on-board turbine generators are used to supply power [11]. In a comparative analysis of various EPS schemes for electric helicopters, Serafini et al. [12] concluded that high-speed motors with gear transmission schemes exhibited numerous advantages in terms of weight and volume when compared to low-speed motor direct-drive schemes or medium-speed motors with gear transmission schemes. Electromagnetic torque pulsation in the motor is widely acknowledged to be the result of supply current and magnetic field distortions in the inverter and motor, respectively [13]. Furthermore, the motor torque response is characterized by its rapid nature, and the torsional vibration frequency of the transmission system often falls within the motor’s control response bandwidth [14]. Jia et al. [15] developed a comprehensive electromechanical coupling dynamic model for the EPS, considering both motor and gear nonlinearities. This model revealed the intricate cross-coupling mechanism between the meshing excitation of the transmission system and the electromagnetic torque ripple of the motor. This underscores the urgent need to investigate active suppression methods for the torsional vibration characteristics of EPSs in electric helicopters, which are considerably more complex.
Research on the active suppression of torsional vibration in electric helicopter EPSs is still limited. Studies have reviewed torsional vibration suppression in the field of electromechanical coupling systems in aviation [16] and in electric drive systems that are used in other areas [17,18,19,20]. Ahumada et al. [16] established a coupling model of the onboard generator and gear transmission and proposed a process control method for the electrical load during connection and disconnection actions. This method achieved torsional vibration suppression in the mechanical system by reducing sudden changes in the electrical load. However, this study treated the gear system as a linear lumped parameter model, neglecting its nonlinear characteristics and meshing excitation characteristics. Consequently, the study’s scope was limited to investigating torsional vibration suppression during sudden fluctuations in electrical load, without addressing stable electrical load conditions. In contrast, Ge et al. [17] developed an active load controller for the electric drive system, based on active disturbance rejection control (ADRC). This controller demonstrated the ability to rapidly attenuate low-frequency transient torsional vibrations in the electric drive system under impact loads. However, its effectiveness in suppressing high-frequency torsional vibrations, primarily those induced by the inverter and gear transmission under steady loads, was found to be inadequate. Pejovski et al. [18] proposed a strategy for suppressing torsional resonance in electric drive systems based on the sinusoidal pulse-width modulation (SPWM) principle of inverters, utilizing the carrier-shift method. The carrier-shift method, in essence, does not reduce the electromagnetic torque ripple; rather, it periodically reverses the phase of the ripple harmonics by 180° to prevent the uninterrupted buildup of torsional vibration energy in the mechanical system. Although this method is effective in preventing torsional resonance in the electromechanical system, it is less effective in suppressing torsional vibration in a non-resonant state. In their seminal work, Chen et al. [19] established a permanent magnet synchronous motor model that accounted for both the spatial harmonics of the magnetic field and the time harmonics of the current. They then proposed an analytical formula for the optimal harmonic current command, aiming to minimize the output torque ripple. Additionally, they constructed a harmonic current active modulation module based on a proportional-integral resonant controller. However, the efficacy of this method depends on the precision of the input rotor’s angular displacement, and its implementation is subject to stringent conditions. In a related study, Qu et al. [20] selected a permanent magnet synchronous motor as the subject of investigation and proposed an electromagnetic torque ripple suppression algorithm designed to minimize stator resistance loss.
In addition to suppressing torsional vibrations within the EPS itself, it is also crucial to mitigate the transmission of vibrations along structural paths from the gearbox to the fuselage. Several complementary approaches have been proposed in the literature [21,22] to address this challenge. These methods are not mutually exclusive to the electromechanical control strategy proposed in this study; rather, they can be integrated into a hybrid approach to achieve more comprehensive vibration suppression in electric helicopters.
The aforementioned studies provide valuable reference material for research on the active suppression of torsional vibration in electric helicopter EPSs. However, there are still gaps in areas such as the nonlinear excitation of the gear system, the mutual influence between the motor and the gear system, and the robustness of active suppression methods. This study proposes a detailed nonlinear model of the EPS’s middle gear system and couples the motor and gear system dynamics models (rather than vibration models) using torsional angle displacement instead of vibration angle displacement. This approach can be applied to both transient and steady-state torsional vibration analysis and suppression.

2. Modeling Method of the EPS

Presently, the design of EPSs for helicopters is predominantly analogous to that of traditional fuel-powered helicopters. In this design, the engine is substituted with an electric motor, the parameters of which are determined based on the helicopter’s power and speed requirements. In this study, the OH-58A light utility helicopter was selected as the reference aircraft. The total transmission ratio of the main reducer is 17.44 (comprising a first-stage spiral bevel gear ratio of 3.74 and a second-stage planetary gear ratio of 4.66), and the engine’s rated speed and torque are 6060 rpm and 330.91 N·m, respectively [23]. The EPS following electrification is illustrated in Figure 1, while the motor’s design parameters are provided in Table 1 and Table 2.

2.1. Motor and Inverter Models

The EPS employs a permanent magnet synchronous motor (PMSM) as its power source. PMSMs offer advantages such as high efficiency, compactness, and low noise. To accurately represent the dynamic behavior of the PMSM within the electromechanical coupling system, an equivalent circuit model was developed in the d–q rotating coordinate system using the Clarke–Park transformation. The stator voltage and electromagnetic torque equations are as follows:
U d U q = R i d + L d d d t i d ω e L q i q R i q + L q d d t i q + ω e ( L d i d + ψ f ) ,
T e = 3 2 p n i q i d L d L q + ψ f ,
where Ud and Uq and id and iq are the stator voltages and currents on the d-axis and q-axis, respectively; Ld and Lq are the inductances on the d-axis and q-axis, respectively; R is the stator phase resistance; ωe is the electrical angular velocity; ψf is the permanent magnet flux linkage; Te is the electromagnetic torque of the motor; and pn is the number of pole pairs.
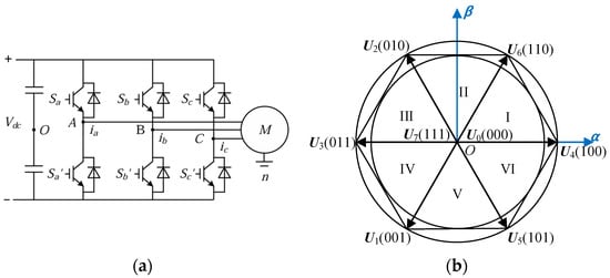
The circuit principle of the three-phase inverter is illustrated in Figure 2a. The switching states of the three legs are denoted by Sa, Sb, and Sc. For illustration, phase A is examined. When Sa = 1, the upper bridge arm is closed and the lower bridge arm is open. When Sa = 0, the opposite is true; that is, the upper bridge arm is open and the lower bridge arm is closed. In an ideal scenario, there are 8 inverter switching states, with each state corresponding to a specific basic voltage space vector [24]. Consequently, the 8 switching states of the inverter are equivalent to 8 voltage space vectors (Figure 2b). The precise expression for this relationship can be expressed as follows:
U o u t = 2 V d c 3 S a + S b e j 2 3 π + S c e j 2 3 π ,
where Vdc is the DC bus voltage, and the meanings of other symbols are as shown in the figure.

2.2. Gear Transmission: Dynamic Model

To emphasize the core electromechanical coupling characteristics, the gear dynamic model omits friction, backlash, and meshing stiffness hysteresis. Friction and backlash are excluded, due to their relatively minor influence compared to the primary excitations (time-varying mesh stiffness). Meshing stiffness variation is represented by the periodic alternation between single- and double-tooth engagement. These simplifications allow for a focused analysis under normal operating conditions.
The lumped parameter model of spiral bevel gears is illustrated in Figure 3. The subscripts p and g represent the driving gear and driven gear, respectively. The rotational angular displacements are denoted by θyp and θzg, while kn, cn, and en represent the time-varying meshing stiffness, meshing damping, and meshing error of the lumped parameter model of spiral bevel gears, respectively. These parameters are defined as follows:
k n t = k ¯ n + l = 1 n A k n l c o s ( l f h n t + Φ k n l )
c n ( t ) = 2 ξ n k n m p m g m p + m g
e n ( t ) = l = 1 n A e n l c o s ( l f h n t + Φ e n l )
where k ¯ n is average meshing stiffness; l is the harmonic order; Aknl and Aenl are the harmonic amplitude of the l order of stiffness and error; fhn is meshing frequencies; Φknl and Φenl are the initial phases; ξn is the mesh damping ratio, and ξn = 0.1 is adopted based on typical values for helical gears under lubricated conditions; mp and mg are the masses of the driving wheel and the driven wheel, respectively.
Notably, the lumped parameter model of the spiral bevel gears possesses 8 degrees of freedom, and its generalized displacement vector is as follows:
q s = θ y p , x p , y p , z p , x g , y g , z g , θ z g T
According to Reference [25], by performing force analysis, one can derive the projection vector Vn of the lumped-parameter model for the spiral bevel gear along the line of action direction:
V n = [ r b p cos α n sin β n , sin α n cos δ n + cos α n sin β n sin δ n , sin α n sin δ n cos α n sin β n cos δ n , cos α n cos β n , sin α n cos δ n + cos α n sin β n sin δ n , sin α n sin δ n cos α n sin β n cos δ n , cos α n cos β n , r b g cos α n sin β n ]
where rbp and rbg represent the base circle radii at the meshing point of the driving and driven helical bevel gears, respectively; αn denotes the normal pressure angle; βn is the helix angle at the pitch cone midpoint; and δn corresponds to the pitch cone angle of the driving helical bevel gear pair.
The dynamic equation of the lumped parameter model of spiral bevel gears is shown in Equation (9):
M s q ¨ s + C s q ˙ s + K s q s = T s
M s = d i a g [ I p , m p , m p , m p , m g , m g , m g , I g ] C s = c n ( t ) V n T V n K s = k n ( t ) V n T V n T s = [ k n ( t ) e n ( t ) + c n ( t ) e ˙ n ( t ) ] V n T
where the coefficient matrices can be obtained from the results of a previous study [24].
The pure torsional dynamic model of the planetary gear set is illustrated in Figure 4. This model possesses 3 + N degrees of freedom, where 3 represents the 3 degrees of freedom of the sun gear, planet carrier, and ring gear; N represents the rotational degrees of freedom of N planet gears. Similarly, km, cm, and em (m = sn, rn) denote time-varying mesh stiffness, mesh damping, and mesh error, respectively.
In this study, the planetary gear set comprises 3 planet gears, and its generalized displacement vector is as follows:
q p = θ s , θ r , θ 1 , θ 2 , θ 3 , θ c T .
The dynamic equation of the lumped parameter model of the planetary gear set is shown in Equation (12):
M p q ¨ p + C p q ˙ p + K p q p = T p .
M p = d i a g [ ( I c + N m p r c 2 ) , I r , I s , I 1 , I 2 , I 3 ] C p = β ( K b + K m ) K p = ( K b + K m ) T p = [ T s , 0   , 0   , 0   , 0   , T c ]
where Ii (i = r, s, c, 1, 2, 3) represents the moment of inertia of component i about its principal axes at the center of mass. β denotes the damping proportionality coefficient, which is assumed to be constant in this formulation. Kb and Km are the 6 × 6 bearing support stiffness matrix and time-varying meshing stiffness matrix, respectively. The coefficient matrices can be obtained from the results of a previous study [25].
The PMSM, spiral bevel gears, planetary gear set, and main rotor are connected through a long, hollow shaft. As this study focuses on the torsional vibration of the transmission system, only the torsional stiffness and damping of the shaft are considered. The torque on the connecting shaft is calculated as:
T M = k s θ s 1 θ s 2 + c s ω s 1 ω s 2 ,
where θs1 represents the axial torsional displacement of Node 1, and θs2 represents the axial torsional displacement of Node 2 (Figure 5); similarly, ω is the angular velocity, ks is the stiffness of the shaft, and cs is the damping of the shaft.

2.3. Electromechanical Coupling Model

The aforementioned models were coupled to derive the electromechanical coupling dynamics model, the generalized displacement vector of which is expressed as follows:
X 16 × 1 = θ m , q s T , q p T , θ r T .
The matrix form of the electromechanical coupling dynamics model is as follows:
M X ¨ + C X ˙ + K X = T T e = 3 2 p n i q i d L d L q + ψ f ,
where M is the generalized mass (constructed as shown in Equation (11)); C and K are the damping and stiffness matrices, respectively (the construction is provided in Appendix A); T is the generalized load vector (see Equation (12)):
M 16 × 16 = d i a g I m , M s 8 × 8 , M p 6 × 6 , I r ,
T 16 × 1 = T e , 0 1 × 14 , T L T ,
where Im and Ir represent the moments of inertia of the motor and the main rotor, respectively, and TL is the rotor load.
The electromechanical coupling model was built in Simulink, enabling comprehensive analysis of the inverter, motor, gear transmission, and rotor, as shown in Figure 6. The subsystems were coupled via the torque and angular displacement at the connecting shaft. The configuration of the coupling model is illustrated in Figure 7. The discrete-time sampling period in the model is 1 μs (sampling frequency fs = 1 MHz). In this study, the control and feedback signals are assumed to be ideal, without considering the quantization effect and electromagnetic interference (EMI) effect. The model uses floating-point precision and does not include explicit quantizers or noise sources. While such non-idealities can affect real-world implementation, they are excluded here to reveal the fundamental electromechanical coupling dynamics and control behavior under idealized conditions.

3. Vibration Characteristics of the EPS

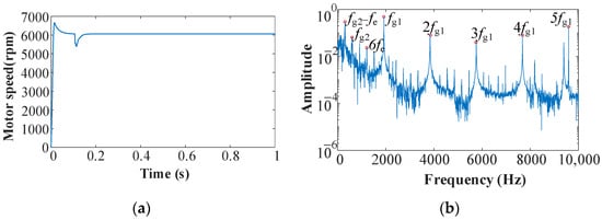
To verify the correctness of the coupling among the subsystems, a simulation and analysis were conducted in MATLAB/Simulink(MATLAB R2022b). It is important to note that in this section, inverter non-idealities such as dead time and voltage drop were not included in the model. This idealized setting was deliberately chosen to isolate and evaluate the intrinsic mechanical and electromechanical dynamics of the coupled PMSM–gear system, without interference from inverter-induced nonlinear effects. Using the electromechanical coupling model shown in Figure 7, the motor speed was set to 6060 rpm, and the main rotor load torque was set to 5770.6 N·m for the simulation experiment. The frequency characteristics of the EPS were investigated by calculating the characteristic frequencies of the electromechanical coupling model (Table 3).
The time-domain and frequency-domain results of the motor speed are presented in Figure 8. The time-domain results show that during the no-load startup phase, the motor speed exhibits a certain degree of overshoot. This overshoot can be attributed to the controller’s dynamic response and the motor’s rotor inertia. When the rated load is applied at 0.1 s, a sudden drop in speed occurs due to the abrupt increase in load torque, followed by recovery as the speed control system stabilizes the motor. Therefore, the steady-state speed during the 0.3 to 1 s interval was selected for spectral analysis. In addition to the 6th harmonic component of the power supply fundamental frequency (fe), the meshing frequencies generated by the gear system (fg1, fg2) and their higher harmonics can also be observed. The spectral results indicate that vibration components from the gear transmission system are transmitted backward to the motor rotor, suggesting a coupled dynamic interaction between the motor and the gear system.
Figure 9 presents the time-domain and frequency-domain results for the motor’s electromagnetic torque. In the time domain, the transient torque response exhibits a rapid rise and a slight overshoot during startup. This corresponds to the early acceleration phase shown in Figure 8, where a relatively large amount of electromagnetic torque is generated to quickly drive the mechanical system toward the rated speed. This behavior reflects the coordinated response of the controller and the motor under no-load conditions. In the steady-state phase, the actual electromagnetic torque is slightly higher than its theoretical value (calculated as the helicopter main rotor load, divided by the main reducer transmission ratio). This deviation is primarily due to mechanical damping in the main reducer, which requires the motor to deliver slightly more torque to maintain a constant speed. The frequency-domain analysis reveals additional harmonics beyond the 6th harmonic of the power supply’s fundamental frequency (fe), including the meshing frequencies of the gear transmission system (fg1, fg2) and their higher-order harmonics. This indicates that the meshing excitations from the gear system are transmitted to the motor’s electromagnetic torque, further confirming the physical coupling between the mechanical and electrical subsystems.
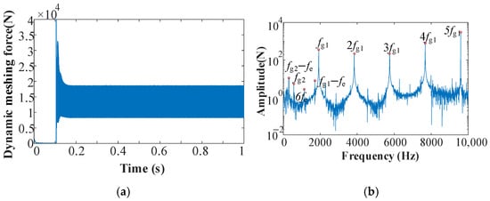
Figure 10 and Figure 11 show the dynamic responses of the first-stage spiral bevel gear and the second-stage planetary gear set, respectively. No tooth disengagement occurred during steady-state meshing, and the dynamic load coefficients of the two-stage gear transmission were 1.38 and 1.37, respectively (as shown in Figure 10a and Figure 11a), indicating moderate dynamic amplification due to meshing stiffness variation and inertial effects during operation. Although the dynamic responses are generally similar, the slightly higher dynamic load coefficient observed in the first stage cannot be attributed to a single deterministic cause. In fact, gear transmission systems represent complex multiple-degree-of-freedom nonlinear dynamic systems. The dynamic meshing force is influenced by the excitation frequency relative to multiple system natural frequencies, vibration mode shapes, and variations in system parameters such as mesh stiffness and damping. Even for the same gear pair, changes in rotational speed or load can increase or decrease dynamic amplification, depending on proximity to resonance regions.
Additionally, Figure 10b and Figure 11b indicate that, alongside the meshing frequency components (fg1, fg2), the 6th harmonic of the current (fe)—originating from the electromagnetic torque ripple induced by the inverter-fed PMSM drive—is also present. The coexistence of mechanical and electrical frequency components in the gear force responses confirms the electromechanical coupling mechanism modeled in this study.
The aforementioned analysis confirms that the meshing excitation of the gear system and the electromagnetic torque ripple of the PMSM are coupled. The characteristic frequencies of the mechanical and electrical subsystems are superimposed, validating the accuracy of the established electromechanical coupling model.

4. Vibration Suppression Through Harmonic Current Modulation

In this section, inverter non-idealities—specifically, dead time and voltage drop—are explicitly introduced into the dynamic model to investigate their influence on current distortion and electromagnetic torque fluctuations. The dead time (Td) and voltage drop of the inverter are critical non-ideal factors influencing current waveform fidelity. In the model, it is assumed that the dead time Td = 4 μs, which introduces a deliberate delay between complementary switch transitions to prevent shoot-through. This delay distorts the output voltage by truncating pulse edges. Meanwhile, the conduction voltage drop Vce of the IGBT is set to 3 V, and the forward conduction voltage drop Vd of the diode is 2 V. These combined effects generate periodic discontinuities in the stator current waveform.

4.1. Principle of Vibration Reduction Through Harmonic Current Modulation

Nonlinear factors, such as dead time and voltage drop in the inverter, cause the stator current to deviate from an ideal sine wave, as shown in Figure 12a. Frequency spectrum analysis reveals not only the fundamental frequency component (fe) related to the electrical angular velocity but also higher-order harmonics, such as the 5th, 7th, and 11th, as illustrated in Figure 12b.
In the stationary three-phase coordinate system, the 5th harmonic current rotates in the opposite direction from the fundamental current, whereas the 7th harmonic current rotates in the same direction [26]. In the d-q coordinate system, which rotates synchronously with the fundamental current, the rotational speeds of the 5th and 7th harmonics are −6ωe and 6ωe, respectively. This gives rise to the 6th-order high harmonic in the electromagnetic torque (Figure 13).
This study focuses on the 5th and 7th harmonics of the stator current and establishes the corresponding mathematical models. According to the findings presented in Equation (1), the steady-state voltage equation of the PMSM is as follows:
u d = ω e L q i q + R i d u q ω e ψ f = ω e L d i d + R i q .
Let u* d = ud, u* q = uquψ; substituting them into Equation (13), we can obtain:
u d = ω e L q i q + R i d u q = ω e L d i d + R i q .
In the event that the three-phase voltage of the PMSM contains the 5th and 7th harmonics, the d- and q-axis current equations with harmonics subsequent to coordinate transformation are as follows:
i d = i 1 + i 5 cos 6 ω e t + θ 5 + i 7 cos 6 ω e t + θ 7 + i q = i 1 + i 5 sin 6 ω e t + θ 5 + i 7 sin 6 ω e t + θ 7 + ,
where i1, i5, and i7 are the fundamental current, 5th, and 7th harmonic currents, respectively. θ5 and θ7 are the initial phases of the 5th and 7th harmonic currents, respectively.
Substituting Equation (15) into Equation (14), the voltage equations with harmonics on the d- and q-axes can be obtained as follows:
u d = ω e L q i 1 + R i 1 + 5 ω e L q i 5 sin 6 ω e t + θ 5 + R i 5 cos ( 6 ω e t + θ 5 ) 7 ω e L q i 7 sin ( 6 ω e t + θ 7 ) + R i 7 cos ( 6 ω e t + θ 7 ) + u q = ω e L d i 1 + R i 1 5 ω e L d i 5 cos 6 ω e t + θ 5 + R i 5 sin ( 6 ω e t + θ 5 ) + 7 ω e L d i 7 cos ( 6 ω e t + θ 7 ) + R i 7 sin ( 6 ω e t + θ 7 ) + .
According to the abc/dq transformation principle, if the speed and direction of the d–q frame match a harmonic component, that harmonic appears as a DC component in the d–q frame. For instance, if the frame rotates at 5 times the fundamental frequency, the 5th harmonic becomes a DC component. The corresponding steady-state voltage equations are as follows:
u d 5 th = 5 ω e L q i q 5 th + R i d 5 th u q 5 th = 5 ω e L d i d 5 th + R i q 5 th ,
where id5th and iq5th are the current components in the d–q frame rotating synchronously with the 5th harmonic.
Similarly, the steady-state voltage equation of the 7th harmonic current is as follows:
u d 7 th = 7 ω e L q i q 7 th + R i d 7 th u q 7 th = 7 ω e L d i d 7 th + R i q 7 th ,
where id7th and iq7th are the current components in the d–q frame rotating synchronously with the 7th harmonic.
Based on the aforementioned mathematical model, to bring the motor current closer to a sine wave and suppress the 6th harmonic in the electromagnetic torque, thereby achieving the torsional vibration suppression of harmonic current modulation, the design objective equation is as follows:
u d 5 th = u q 5 th = 0 u d 7 th = u q 7 th = 0   .

4.2. Torsional Vibration Suppression Strategy of Harmonic Current Modulation

To suppress torsional vibrations via harmonic current modulation, as described by Equations (17)–(19), a harmonic current suppression module can be integrated into the electromechanical coupling model shown in Figure 7. This module, illustrated in Figure 14, is capable of the real-time monitoring of harmonic currents in the three-phase currents ia, ib, and ic, and of adjusting the voltage promptly to suppress the 5th and 7th harmonic components.
The application of harmonic current suppression (with HC modulation) improves the sinusoidality of the stator current in the steady state, as shown by the red curve in Figure 15. The FFT analysis reveals the significant suppression of higher-order harmonics, including the 5th, 7th, 11th, and 13th harmonics of the current. Simultaneously, the electromagnetic torque ripple is reduced, with a substantial reduction in the 6th harmonic component (Figure 16).
To further illustrate this effect, the influence of harmonic current modulation on the mechanical system was analyzed using the first-stage gear transmission as an example. Prior to the application of harmonic current modulation (without HC modulation), the dynamic meshing force exhibited substantial fluctuations, with a dynamic load coefficient of approximately 1.44 (Figure 17; calculated as the ratio of the peak dynamic meshing force to the static transmission force). After applying harmonic current modulation (with HC modulation), the peak dynamic meshing force was reduced by approximately 500 N, and the dynamic load coefficient decreased to approximately 1.38, corresponding to a 4.17% reduction (calculated as (1.44 − 1.38)/1.44 × 100%). FFT analysis further confirmed that the 6th harmonic was significantly suppressed, with its amplitude reduced from 48.1 to 5.7, a decrease of 88.15%. Additionally, the amplitudes of the gear meshing frequency and its harmonics were reduced to varying extents.
These results demonstrate that harmonic current modulation can effectively suppress the torsional vibrations induced by electromechanical coupling. The noticeable reduction in the dynamic load coefficient indicates an improvement in load uniformity and reduced mechanical stress on the gear teeth. The substantial attenuation of the 6th harmonic also confirms the suppression of torque ripple caused by inverter-fed drive systems. This not only enhances the stability of gear transmission under steady-state conditions but also implies potential benefits for fatigue life and noise reduction. The findings validate the feasibility of the proposed control strategy for improving the dynamic performance and reliability of electric propulsion systems in aerospace applications.

4.3. Analysis of Torsional Vibration Suppression Through Harmonic Current Modulation Under Unsteady Working Conditions

In the practical operation of electromechanical systems, unsteady-state conditions, such as sudden load changes and variable-frequency speed regulation, often induce complex electromechanical coupling effects. The time-varying electromagnetic excitation generated during transient processes significantly influences the torsional vibration of the mechanical transmission system. In this study, the transient vibration characteristics of an electromechanical coupling model with harmonic current suppression were analyzed. Accordingly, torsional vibration suppression under non-stationary operating conditions was investigated using harmonic current modulation. Two scenarios were examined: (1) a sudden load change, simulating gusts of wind acting on a helicopter, and (2) variable-speed operation, simulating helicopter flight dynamics.
In Scenario 1, an impulse load with an amplitude of 1100 N·m was applied to the main rotor (Figure 18). The dynamic responses of Shafts 1 and 3 to this sudden load were analyzed.
First, the rotational speed and torque at the high-speed input end were compared. In the system using harmonic current modulation, the torsional vibration amplitude of the motor rotor was notably reduced, especially during the stage of load suddenly increased (Figure 19a). Additionally, the peak torque of Input Shaft 1 was reduced by 15 N·m, as depicted in Figure 19b. This reduction enhances system safety.
Next, the rotational speed and torque at the low-speed output end were compared. With harmonic current modulation, the main rotor was able to regain a stable rotational speed more quickly after the impact load (Figure 20a), an advantage for improving flight control stability. However, the peak torque at the output end remained largely unchanged (Figure 20b). This is likely because the low-speed stage is predominantly influenced by rotor load, and the vibration suppression effect of harmonic current modulation, a high-frequency control technique, is significantly attenuated after passing through two gear transmission stages.
Conventional helicopters are constrained by the dynamic characteristics of the rotor and the rigidity limitations of the power system; therefore, they typically employ a fixed-speed rotor design. The operating speed of the main rotor is usually limited to within ±2% of the reference value. However, this fixed-speed approach restricts the ability to optimize aerodynamic performance across varying flight conditions, such as hovering and high-speed flight. To overcome this limitation, variable-speed rotor systems have been developed. These systems enable the optimization of aerodynamic performance, noise reduction, and energy management by actively adjusting the main rotor speed. Thus, Scenario 2 was designed to evaluate the torsional vibration characteristics of the EPS under variable-speed operation, with a focus on the impact of harmonic current modulation on the transmission system.
In Scenario 2, the motor speed increased from 3000 rpm to 6060 rpm between 1.3 s and 1.4 s, then decreased back to 3000 rpm between 1.7 s and 1.8 s, as shown in Figure 21. Additionally, the correlation between rotor load and rotor speed was considered using the following empirical relationship [27]:
T ¯ = 0.83 × n ¯ + 0.107 ,
where T ¯ is the mean value of rotor load and n ¯ is the mean value of rotor speed.
Figure 22 shows the dynamic responses of speed and torque at the high-speed input end. With harmonic current modulation, the speed overshoot after acceleration is reduced, and the rotor reaches the target speed of 6060 rpm more quickly (Figure 22a). In Figure 22b, during both acceleration and deceleration, inertia causes overshoot at 1.4 s and 1.8 s. However, the system rapidly stabilizes, and the torque amplitude is reduced by approximately 17 N·m.
Figure 23 presents the dynamic responses of speed and torque at the low-speed output end. The output end exhibits a similar fluctuation trend to the input end. During acceleration and deceleration, the system with harmonic current modulation shows a faster response and lower torque amplitude.
A comprehensive analysis of both these unsteady-state conditions confirms that harmonic current modulation has a significant effect on transient vibration behavior. Specifically, during sudden changes in speed or load, the modulation strategy effectively reduces torsional overshoot and accelerates the attenuation of vibration amplitudes. These findings suggest that active harmonic current modulation not only improves transient response performance but also enhances system robustness under operational disturbances, which is critical for the reliable operation of electric propulsion systems in aerospace environments.

5. Conclusions

This study primarily investigates an active suppression method for multi-source coupling torsional vibrations in the electric helicopter’s EPS. The development of an electromechanical coupling dynamic model and the implementation of a harmonic current coordinated control strategy formed the basis for the subsequent simulation analysis. The following conclusions were drawn:
(1)
Harmonic excitation in the stator current increases the fluctuation amplitudes of the motor’s electromagnetic torque and the dynamic meshing force of the gears.
(2)
The analysis identified the presence of the first and second gear meshing frequencies in the motor’s electromagnetic torque and of the power supply fundamental frequency and its multiples in the gears’ dynamic meshing force. These results demonstrate the mutual coupling between the electrical and mechanical systems in the EPS.
(3)
Harmonic current modulation effectively reduces torsional vibrations in the EPS under both steady-state and non-steady-state conditions. In steady-state conditions, it decreases the peak dynamic meshing force by 4.17% and reduces the amplitude of the 6th harmonic by 88.15%. Under non-steady-state conditions, it mitigates overshoot during speed regulation and accelerates the attenuation of transient torsional vibrations.

Author Contributions

Conceptualization, H.J. and C.L.; methodology, H.J., X.X. and G.H.; software, G.H.; validation, H.J. and G.H.; formal analysis, G.H.; investigation, H.J. and G.H.; resources, H.J.; data curation, G.H.; writing—original draft preparation, G.H.; writing—review and editing, H.J. and D.L.; visualization, G.H.; supervision, X.X.; project administration, H.J.; funding acquisition, H.J. All authors have read and agreed to the published version of the manuscript.

Funding

This research was funded by the National Natural Science Foundation of China (Grant No. 52305053), the Open Foundation of the State Key Laboratory of Mechanical Transmission for Advanced Equipment (Grant No. SKLMT-MSKFKT-202223), the Science and Technology Research Program of Chongqing Municipal Education Commission (Grant No. KJQN202100721), and the Chongqing Postgraduate Scientific Research Innovation Project (Grant No. CYS240487).

Data Availability Statement

The datasets from this paper are accessible from the corresponding author upon reasonable request.

Acknowledgments

The authors would like to express their gratitude for the useful comments and constructive suggestions from the editor and anonymous reviewers.

Conflicts of Interest

The authors declare no conflicts of interest.

Appendix A

The stiffness matrix K (see Figure A1) is constructed as follows, with the damping matrix C following a similar structure. The matrix elements represent the torsional stiffness of the individual shafts in the system.
Figure A1. The stiffness matrix K (k1, k2, and k3 represent the torsional stiffness of Shafts 1, 2, and 3, respectively).
Figure A1. The stiffness matrix K (k1, k2, and k3 represent the torsional stiffness of Shafts 1, 2, and 3, respectively).
Actuators 14 00283 g0a1

References

  1. Jansen, R.H.; Bowman, C.L.; Clarke, S.; Avanesian, D.; Dempsey, P.J.; Dyson, R.W. NASA electrified aircraft propulsion efforts. Aircr. Eng. Aerosp. Technol. 2020, 92, 667–673. [Google Scholar] [CrossRef]
  2. Breque, M.; De Nul, L.; Petridis, A. European Commission Directorate-General for Research and Innovation. In Industry 5.0: Towards a Sustainable, Human-Centric and Resilient European Industry; European Commission: Ispra, Italy, 2021. [Google Scholar]
  3. Lim, J.W.; Darlow, M.S. Optimal sizing of composite power transmission shafting. J. Am. Helicopter Soc. 1986, 31, 75–83. [Google Scholar] [CrossRef]
  4. Zheng, K.; Lian, L.; Xue, C. Faults analysis of low frequency vibration of a helicopter in air. New Technol. New Process. 2022, 05, 71–76. [Google Scholar]
  5. Chen, Y.; Zhu, R.; Jin, G.; Xiong, Y. Influence of shaft torsional stiffness on dynamic response of four-stage main transmission System. Math. Probl. Eng. 2018, 2018, 6141035. [Google Scholar] [CrossRef]
  6. Özel, M.A.; Kopmaz, O. Design of a periodic structure for composite helicopter rotor blade. Int. J. Simul. Model. 2024, 3, 447–458. [Google Scholar] [CrossRef]
  7. Ren, Y.; Liu, Z.; Zhao, Z.; Lam, H.K. Adaptive active anti-vibration control for a 3-d helicopter flexible slung-load system with input saturations and backlash. IEEE Trans. Aerosp. Electron. Syst. 2023, 60, 320–333. [Google Scholar] [CrossRef]
  8. Wang, Y.; Zheng, Q.; Zhang, H.; Chen, M. A study on torsional vibration suppression method for an integrated helicopter/engine system. Int. J. Turbo Jet Engines 2022, 39, 319–329. [Google Scholar] [CrossRef]
  9. Snyder, C.A. Exploring propulsion system requirements for more and all-electric helicopters. Int. Symp. Air Breath. Engines 2015, 2015, 20221. [Google Scholar]
  10. Datta, A.; Johnson, W. Requirements for a hydrogen powered all-electric manned helicopter. In Proceedings of the 12th AIAA Aviation Technology, Integration, and Operations (ATIO) Conference and 14th AIAA/ISSMO Multidisciplinary Analysis and Optimization Conference, Indianapolis, Indiana, 17–19 September 2012; Volume 5405. [Google Scholar]
  11. Gurevich, O.; Lukovnikov, A.; Gulienko, A.; Zakharchenko, V.; Kovalenko, I.; Suntsov, P. Analysis of possibilities to apply electric technologies for helicopter propulsion system. In Proceedings of the Congress of the International Council of the Aeronautical Sciences, St. Petersburg, Russia, 7–12 September 2014. [Google Scholar]
  12. Serafini, J.; Cremaschini, M.; Bernardini, G. Conceptual All-Electric Retrofit of Helicopters: Review, Technological Outlook, and a Sample Design. Transp. Electrification. IEEE Trans. 2019, 5, 782–794. [Google Scholar] [CrossRef]
  13. Queval, L.; Ohsaki, H. Nonlinear ABC-model for electrical machines using ND Lookup Tables. IEEE Trans. Energy Convers. 2014, 30, 316–322. [Google Scholar] [CrossRef]
  14. Ge, S.; Qiu, L.; Zhang, Z.; Wang, H.; Hu, M. Electromechanical coupling dynamic characteristics of electric drive system for electric vehicle. Nonlinear Dyn. 2024, 112, 6101–6136. [Google Scholar] [CrossRef]
  15. Jia, H.; Qin, D.; Hu, G.; Xu, X.; Bai, W. Electromechanical coupling modeling and torsional vibration analysis of helicopter electric propulsion system. VDI Ber. 2023, 2422, 675–688. [Google Scholar]
  16. Ahumada, C.; Wheeler, P. Evaluation of input-shaping control robustness for the reduction of torsional vibrations. IEEE Trans. Ind. Appl. 2021, 57, 5028–5038. [Google Scholar] [CrossRef]
  17. Ge, S.; Qin, D.; Hu, M.; Liu, Y. Active torque control for gear dynamic load suppression in a drum shearer cutting transmission system under impact loads. J. Vib. Control. 2018, 24, 5072–5086. [Google Scholar] [CrossRef]
  18. Pejovski, D.; Elshawarby, K.; Gerlando, A.D.; Foglia, G.M.; Perini, R. Damping torsional vibrations in electrical drives by SPWM carrier-shift method. IEEE Trans. Energy Convers. 2025, 40, 284–294. [Google Scholar] [CrossRef]
  19. Chen, S.; Hu, M. Active torsional vibration suppression of integrated electric drive system based on optimal harmonic current instruction analytic calculation method. Mech. Mach. Theor. 2023, 180, 105136. [Google Scholar] [CrossRef]
  20. Qu, J.; Jatskevich, J.; Zhang, C.; Zhang, S. Torque ripple reduction method for permanent magnet synchronous machine drives with novel harmonic current control. IEEE Trans. Energy Convers. 2021, 36, 2502–2513. [Google Scholar] [CrossRef]
  21. Wang, F.; Lu, Y.; Lee, H.P.; Ma, X. Vibration and noise attenuation performance of compounded periodic struts for helicopter gearbox system. J. Sound Vib. 2019, 458, 407–425. [Google Scholar] [CrossRef]
  22. Bertolino, A.C.; Gaidano, M.; Smorto, S.; Porro, P.G.; Sorli, M. Development of a High-Performance Low-Weight Hydraulic Damper for Active Vibration Control of the Main Rotor on Helicopters—Part 2: Preliminary Experimental Validation. Aerospace 2023, 10, 868. [Google Scholar] [CrossRef]
  23. Stringer, D.B.; Allaire, P.E. Modeling techniques for dynamic analysis of a helicopter transmission system. In Proceedings of the International Design Engineering Technical Conferences and Computers and Information in Engineering Conference, San Diego, CA, USA, 30 August–2 September 2009; Volume 49033, pp. 305–311. [Google Scholar]
  24. Xu, H.; Qin, D.; Liu, C.; Yi, Y.; Jia, H. Dynamic modeling of multistage gearbox and analysis method of resonance danger path. IEEE Access 2019, 7, 154796–154807. [Google Scholar] [CrossRef]
  25. Qin, D.; Jia, H. Hybrid dynamic modeling of shearer’s drum driving system and the influence of housing topological optimization on the dynamic characteristics of gears. J. Adv. Mech. Des. Syst. Manuf. 2018, 12, JAMDSM0020. [Google Scholar] [CrossRef]
  26. Wu, Z.; Yang, Z.; Ding, K.; He, G. Order-domain-based harmonic injection method for multiple speed harmonics suppression of PMSM. IEEE Trans. Power Electron. 2020, 36, 4478–4487. [Google Scholar] [CrossRef]
  27. Ning, J. Comprehensive Modeling and Control Research on Variable Speed Helicopter/Transmission System/Engine. PhD’s Thesis, Nanjing University of Aeronautics and Astronautics, Nanjing, China, 2016. [Google Scholar]
Figure 1. Schematic diagram of the EPS.
Figure 1. Schematic diagram of the EPS.
Actuators 14 00283 g001
Figure 2. The three-phase inverter: (a) schematic diagram of the inverter; (b) voltage space vector diagram.
Figure 2. The three-phase inverter: (a) schematic diagram of the inverter; (b) voltage space vector diagram.
Actuators 14 00283 g002
Figure 3. Lumped parameter model of the spiral bevel gear.
Figure 3. Lumped parameter model of the spiral bevel gear.
Actuators 14 00283 g003
Figure 4. Pure torsional model of the planetary gear set.
Figure 4. Pure torsional model of the planetary gear set.
Actuators 14 00283 g004
Figure 5. Hollow long shaft connection model, showing only torsional displacement.
Figure 5. Hollow long shaft connection model, showing only torsional displacement.
Actuators 14 00283 g005
Figure 6. Simulink to the build model of the EPS.
Figure 6. Simulink to the build model of the EPS.
Actuators 14 00283 g006
Figure 7. Electromechanical coupling of the EPS.
Figure 7. Electromechanical coupling of the EPS.
Actuators 14 00283 g007
Figure 8. Motor speed dynamic response and FFT analysis: (a) dynamic response; (b) FFT analysis.
Figure 8. Motor speed dynamic response and FFT analysis: (a) dynamic response; (b) FFT analysis.
Actuators 14 00283 g008
Figure 9. Electromagnetic torque dynamic response and FFT analysis: (a) dynamic response: (b) FFT analysis.
Figure 9. Electromagnetic torque dynamic response and FFT analysis: (a) dynamic response: (b) FFT analysis.
Actuators 14 00283 g009
Figure 10. Dynamic meshing force and FFT analysis of the first-stage gear: (a) dynamic response; (b) FFT analysis (steady state 0.3–1.0 s).
Figure 10. Dynamic meshing force and FFT analysis of the first-stage gear: (a) dynamic response; (b) FFT analysis (steady state 0.3–1.0 s).
Actuators 14 00283 g010
Figure 11. Dynamic meshing force and FFT analysis of second-stage gear: (a) dynamic response; (b) FFT analysis (steady state 0.3–1.0 s).
Figure 11. Dynamic meshing force and FFT analysis of second-stage gear: (a) dynamic response; (b) FFT analysis (steady state 0.3–1.0 s).
Actuators 14 00283 g011
Figure 12. A-phase current distortion: (a) dynamic response; (b) FFT analysis.
Figure 12. A-phase current distortion: (a) dynamic response; (b) FFT analysis.
Actuators 14 00283 g012
Figure 13. Unstable electromagnetic torque: (a) dynamic response; (b) FFT analysis.
Figure 13. Unstable electromagnetic torque: (a) dynamic response; (b) FFT analysis.
Actuators 14 00283 g013
Figure 14. Electromechanical coupling framework with harmonic suppression.
Figure 14. Electromechanical coupling framework with harmonic suppression.
Actuators 14 00283 g014
Figure 15. Comparison of stator current (A-phase) with and without harmonic current (HC) modulation: (a) dynamic response; (b) FFT analysis.
Figure 15. Comparison of stator current (A-phase) with and without harmonic current (HC) modulation: (a) dynamic response; (b) FFT analysis.
Actuators 14 00283 g015
Figure 16. Comparison of electromagnetic torque with and without harmonic current (HC) modulation: (a) dynamic response; (b) FFT analysis.
Figure 16. Comparison of electromagnetic torque with and without harmonic current (HC) modulation: (a) dynamic response; (b) FFT analysis.
Actuators 14 00283 g016
Figure 17. Comparison of dynamic meshing force (first stage) with and without harmonic current (HC) modulation: (a) dynamic response; (b) FFT analysis.
Figure 17. Comparison of dynamic meshing force (first stage) with and without harmonic current (HC) modulation: (a) dynamic response; (b) FFT analysis.
Actuators 14 00283 g017
Figure 18. Torsional vibration suppression under non-stationary operating conditions: transmission system impact condition (Scenario 1: the simulation of gusts of wind). (a) Transmission system; (b) impact load.
Figure 18. Torsional vibration suppression under non-stationary operating conditions: transmission system impact condition (Scenario 1: the simulation of gusts of wind). (a) Transmission system; (b) impact load.
Actuators 14 00283 g018
Figure 19. Dynamic response analysis of Shaft 1 under Scenario 1, with and without harmonic current (HC) modulation: (a) motor rotor torsional vibration; (b) torque fluctuation (Shaft 1).
Figure 19. Dynamic response analysis of Shaft 1 under Scenario 1, with and without harmonic current (HC) modulation: (a) motor rotor torsional vibration; (b) torque fluctuation (Shaft 1).
Actuators 14 00283 g019
Figure 20. Dynamic response analysis of Shaft 3 under Scenario 1, with and without harmonic current (HC) modulation: (a) motor rotor torsional vibration; (b) torque fluctuation (Shaft 3).
Figure 20. Dynamic response analysis of Shaft 3 under Scenario 1, with and without harmonic current (HC) modulation: (a) motor rotor torsional vibration; (b) torque fluctuation (Shaft 3).
Actuators 14 00283 g020
Figure 21. Torsional vibration suppression under non-stationary operating conditions for acceleration and deceleration of the motor system (Scenario 2: simulation of start–stop operation): (a) transmission system; (b) variation speed.
Figure 21. Torsional vibration suppression under non-stationary operating conditions for acceleration and deceleration of the motor system (Scenario 2: simulation of start–stop operation): (a) transmission system; (b) variation speed.
Actuators 14 00283 g021
Figure 22. Dynamic response analysis of Shaft 1 under Scenario 2 with and without harmonic current (HC) modulation: (a) motor rotor torsional vibration; (b) torque fluctuation (Shaft 1).
Figure 22. Dynamic response analysis of Shaft 1 under Scenario 2 with and without harmonic current (HC) modulation: (a) motor rotor torsional vibration; (b) torque fluctuation (Shaft 1).
Actuators 14 00283 g022
Figure 23. Dynamic response analysis of Shaft 3 under Scenario 2 with and without harmonic current (HC) modulation: (a) motor rotor torsional vibration; (b) torque fluctuation (Shaft 3).
Figure 23. Dynamic response analysis of Shaft 3 under Scenario 2 with and without harmonic current (HC) modulation: (a) motor rotor torsional vibration; (b) torque fluctuation (Shaft 3).
Actuators 14 00283 g023
Table 1. Parameters of the permanent magnet synchronous motor.
Table 1. Parameters of the permanent magnet synchronous motor.
ParametersValue
Number of phases3
Number of poles4
Stator phase resistance (Ω)0.1
Stator d-axis inductance (H)4.11 × 10−5
Stator q-axis inductance (H)9.593 × 10−5
Rotor inertia (kg∙m2)0.065
Flux linkage (Wb)0.18137
Table 2. Parameters of the transmission system.
Table 2. Parameters of the transmission system.
ParametersValue
Torsional stiffness of shaft 1 (N·m/rad)1.1212 × 104
Torsional stiffness of shaft 2 (N·m/rad)8 × 105
Torsional stiffness of shaft 3 (N·m/rad)7.675 × 105
Proportional damping coefficient of the shafts5 × 10−4
Main rotor inertia (kg∙m2)5.7
Number of gear teeth of the fixed shaft19, 71
Tooth number of sun gear, planetary gear, and ring gear27, 35, 99
Number of planetary gears3
Table 3. Characteristic frequency of the electromechanical coupling model.
Table 3. Characteristic frequency of the electromechanical coupling model.
NameValue
Rated speed of PMSM (rpm)6060
Current frequency/fe (Hz)202
First-stage meshing frequency/fg1 (Hz)1919
Second-stage meshing frequency/fg2 (Hz)573.4
Disclaimer/Publisher’s Note: The statements, opinions and data contained in all publications are solely those of the individual author(s) and contributor(s) and not of MDPI and/or the editor(s). MDPI and/or the editor(s) disclaim responsibility for any injury to people or property resulting from any ideas, methods, instructions or products referred to in the content.

Share and Cite

MDPI and ACS Style

Jia, H.; Hu, G.; Xu, X.; Liang, D.; Liu, C. Torsional Vibration Suppression in Multi-Condition Electric Propulsion Systems Through Harmonic Current Modulation. Actuators 2025, 14, 283. https://doi.org/10.3390/act14060283

AMA Style

Jia H, Hu G, Xu X, Liang D, Liu C. Torsional Vibration Suppression in Multi-Condition Electric Propulsion Systems Through Harmonic Current Modulation. Actuators. 2025; 14(6):283. https://doi.org/10.3390/act14060283

Chicago/Turabian Style

Jia, Hanjie, Guanghong Hu, Xiangyang Xu, Dong Liang, and Changzhao Liu. 2025. "Torsional Vibration Suppression in Multi-Condition Electric Propulsion Systems Through Harmonic Current Modulation" Actuators 14, no. 6: 283. https://doi.org/10.3390/act14060283

APA Style

Jia, H., Hu, G., Xu, X., Liang, D., & Liu, C. (2025). Torsional Vibration Suppression in Multi-Condition Electric Propulsion Systems Through Harmonic Current Modulation. Actuators, 14(6), 283. https://doi.org/10.3390/act14060283

Note that from the first issue of 2016, this journal uses article numbers instead of page numbers. See further details here.

Article Metrics

Back to TopTop