Abstract
In response to the challenges of multiple personnel, heavy support tasks, and high labor intensity in coal mine tunnel drilling and anchoring operations, this study proposes a novel tracked drilling and anchoring robot. The robot is required to maintain alignment with the centerline of the tunnel during operation. However, owing to the effects of skidding and slipping between the track mechanism and the floor, the precise control of a drilling and anchoring robot in tunnel environments is difficult to achieve. Through an analysis of the body and track mechanisms of the drilling and anchoring robot, a kinematic model reflecting the pose, steering radius, steering curvature, and angular velocity of the drive wheel of the drilling and anchoring robot was established. This facilitated the determination of speed control requirements for the track mechanism under varying driving conditions. Mathematical models were developed to describe the relationships between a tracked drilling and anchoring robot and several key factors in tunnel environments, including the minimum steering space required by the robot, the minimum relative steering radius, the steering angle, and the lateral distance to the sidewalls. Based on these models, deviation-correction control strategies were formulated for the robot, and deviation-correction path planning was completed. In addition, a PID motion controller was developed for the robot, and trajectory-tracking control simulation experiments were conducted. The experimental results indicate that the tracked drilling and anchoring robot achieves precise control of trajectory tracking, with a tracking error of less than 0.004 m in the x-direction from the tunnel centerline and less than 0.001 m in the y-direction. Considering the influence of skidding, the deviation correction control performance test experiments of the tracked drilling and anchoring robot at dy = 0.5 m away from the tunnel centerline were completed. In the experiments, the tracked drilling and anchoring robot exhibited a significant difference in speed between the two sides of the tracks with a track skid rate of 0.22. Although the real-time tracking maximum error in the y-direction from the tunnel centerline was 0.13 m, the final error was 0.003 m, meeting the requirements for position deviation control of the drilling and anchoring robot in tunnel environments. These research findings provide a theoretical basis and technical support for the intelligent control of tracked mobile devices in coal mine tunnels, with significant theoretical and engineering implications.
1. Introduction
During the coal mine tunneling process, the permanent support time accounts for 60% of the total time [1,2]. There are issues such as excessive personnel, heavy support tasks, and high labor intensity [3,4,5]. This paper proposes a novel tracked drilling and anchoring robot that is required to maintain alignment with the centerline of the tunnel during operation. Owing to the complex nonlinear interaction between the track and the floor, accompanied by high-speed track skidding and low-speed track slipping [6], the drilling and anchoring robot is prone to collisions with the sidewalls of the tunnel in tunnel environments.
In a study on tracked chassis steering, Jia W. [7] determined the track force of tracked vehicles during steering based on a shear stress model, established a dynamic model with high computational accuracy, and investigated the steering stability of tracked vehicles in sandy road environments under different steering conditions. Xiong H. [8] provided a dynamic model of the tracked mechanism and a method for motion control in a new underwater environment with nonholonomic constraints and used the Lyapunov principle to verify its safety. Qin H.W. [9] presented a comprehensive overview of recent advancements and breakthroughs in the field of path planning for mobile robots while conducting an in-depth examination and comparison of various path-planning algorithms. Sabiha A.D. [10] optimized the backstepping controller as a kinematic controller and verified the stability analysis of the entire system based on Lyapunov theory. Saglia J. [11] studied the establishment of dynamic models and the adjustment of control gains. The research optimizes the control parameters by analyzing and reducing the execution conflicts and tracking errors. Simulations and experiments have been conducted to implement the analysis and control strategies in mechanisms. Fang Y. [12] established a dynamic model of a negative-pressure suction-tracked wall-climbing robot based on the discrete method of track force load and analyzed the influence of design parameters on the motion performance of tracked robots. Ishikawa T. [13] developed a trajectory tracking control system for dump trucks tracked on both hard and soft surfaces, enabling path tracking under varying ground conditions. Zhang M.J. [14] addressed the slippage and tunnel gradient issues. They established a neural network PID-based motion control algorithm for a boom-type roadheader, achieving real-time correction control of the roadheader. Qu Y.Y. [15] achieved deviation correction for roadheader body walking based on pose deviation path tracking control. Zhang X.H. [16] proposed an automatic directional excavation control method for boom-type roadheaders based on visual navigation, thereby realizing the automatic directional excavation function of the boom-type roadheader. The motion control accuracy is within ±20 mm. Mao Q.H. [17] proposed a deviation correction path planning method based on an Improved Particle Swarm Optimization (I-PSO) algorithm for a full-width horizontal axis roadheader, achieving path planning for the EJM340/4-2 type full-width horizontal axis roadheader.
In summary, the interaction between the track mechanism and the roadway surface is complex, particularly in the confined spaces of underground coal mine tunnels. The track mechanism cannot freely change direction, necessitating a thorough analysis of the track mechanism and steering performance. Therefore, this paper will study the following aspects. First, the article introduces the overall structure and key parameters of the drilling and anchoring robot, laying the foundation for its subsequent analysis. Secondly, the paper analyzes the steering kinematics of the drilling and anchoring robot, investigating the fundamental principles behind its maneuverability. Next, the article discusses the deviation correction control strategy for the drilling and anchoring robot, which is crucial for ensuring the accuracy and reliability of its drilling and anchoring operations. Furthermore, the paper analyzes the path tracking control testing conducted on the drilling and anchoring robot, evaluating its ability to accurately follow a specified trajectory. Finally, the article tests and analyzes the lane deviation control of the drilling and anchoring robot in tunnel environments, assessing its overall applicability in such challenging applications.
2. Structure and Parameters of the Drilling and Anchoring Robot
Drilling and anchoring robots can be used in conjunction with traditional roadheaders, robotic roadheaders, bolter miners, and other equipment to complete support and drilling tasks, reduce the labor intensity of workers, and improve drilling efficiency. The drilling and anchoring robot mainly consists of a main frame, left-track mechanism, right-track mechanism, and other components, as shown in Figure 1. Depending on the research requirements, the tunnel coordinate system Oh and the drilling and anchoring robot coordinate system Or were established where θ represents the yaw angle, α represents the pitch angle, and φ represents the roll angle.
Figure 1.
Composition of drilling and anchoring robot. 1. Left track mechanism, 2. main frame, 3. right track mechanism.
A 3D model of the track mechanism of the drilling and anchoring robot is shown in Figure 2, where B0 represents the track width, r1 is the radius of the driving wheel, r2 is the radius of the driven wheel, L is the length of the track contact segment with the ground, D is the overall length of the track, d is the track pitch, and h is the track thickness. Owing to the thickness of the track, the influence of track thickness cannot be ignored when determining the traveling speed of the robot.
Figure 2.
The 3D model of the track mechanism.
The drilling and anchoring robot uses typical differential steering, where the speed and direction are mainly controlled by adjusting the rotation speed of the driving wheels on the left and right tracks to achieve precise tracking control of the predetermined trajectory. The planar steering model of the drilling and anchoring robot is illustrated in Figure 3, where O represents the symmetrical center of the two track axes of the drilling and anchoring robot, CM denotes the center of mass of the robot, a is the distance from O to CM, and B is the distance between the centerlines of the left and right tracks. The primary parameters of the drilling and anchoring robots are listed in Table 1.
Figure 3.
The geometric configuration of the tracked drilling and anchoring robot’s differential drive system in the xy plane.
Table 1.
Main parameters of the drilling and anchoring robot.
3. Steering Kinematics Analysis of the Drilling and Anchoring Robot
3.1. Kinematic Analysis
The definition of the state variables of the drilling and anchoring robot in the global coordinate system of the tunnel is denoted by , whereas the state variables in the local coordinate system of the drilling and anchoring robot are denoted by . The orthogonal rotation matrix mapping of the local coordinate system of the drilling and anchoring robot to the global coordinate system is as follows [18]:
The relationship between and can be expressed as , .
Without considering the skidding factor, based on the principles of theoretical mechanics, the kinematic equations [19] of the drilling and anchoring robot in the tunnel coordinate system can be established as follows.
where vL and vR represent the linear velocities of the left and right tracks; and represent the angular velocities of the left and right track drive wheels; v is the linear velocity of the robot at point o; represents the angular velocity of the robot at point o; and represents the linear velocity of the drilling and anchoring robot’s CM. The equation for the motion relationship of the CM of the drilling and anchoring robot is given as follows [20]:
As can be seen from the above equation, the drilling and anchoring robot consists of three variables, whereas the control inputs have only two, making it a typical nonholonomic system.
3.2. Steering Curvature Analysis of the Drilling and Anchoring Robot
To eliminate the influence of the drilling and anchoring robot’s own width on the steering performance, the concept of relative steering radius is introduced, defined as
where R represents the track steering radius, and B represents the track center distance.
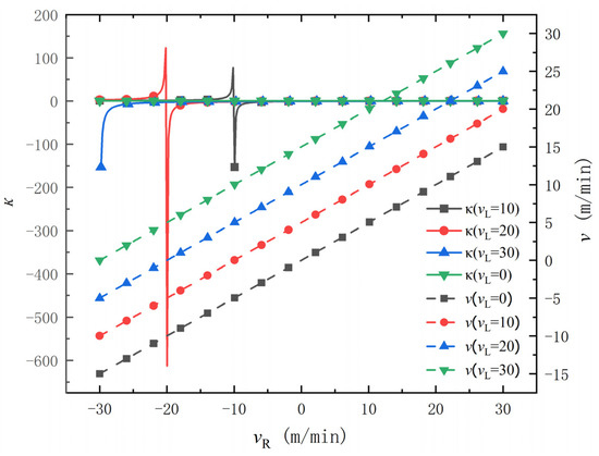
When and are constant, the steering curvature of the robot is given by:
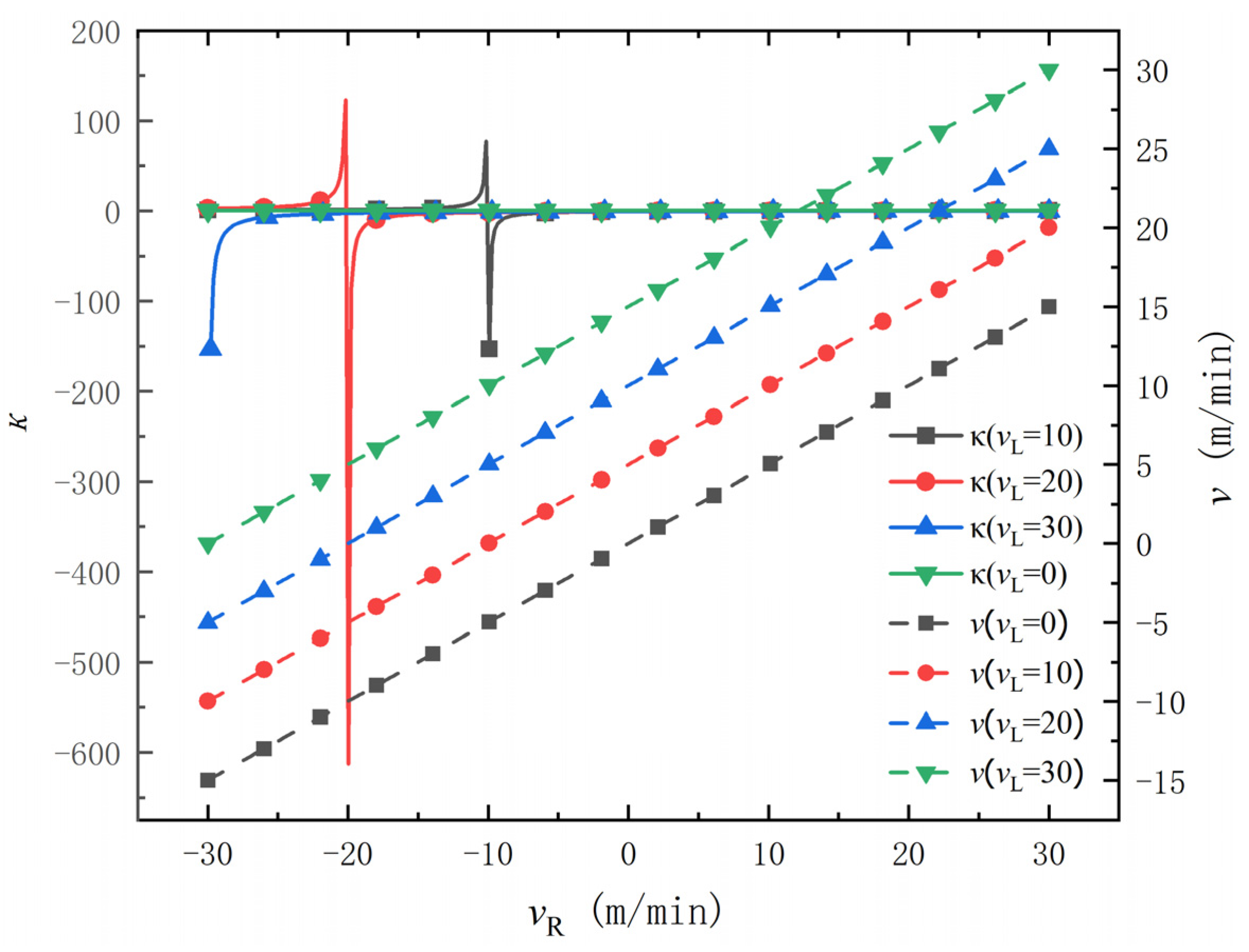
Because the drilling and anchoring robot’s travel speed ranged from 0 to 30 m/min, four different values of vL (0, 10, 20, and 30 m/min) were chosen. Simultaneously, the vR range was set to [–30, 30] m/min. A simulation analysis was conducted to examine the changes in the steering curvature and travel speed of the drilling and anchoring robots under these four scenarios, as illustrated in the following Figure 4.
Figure 4.
The relationship curve between the robot’s steering curvature , velocity v, and the speeds of the left track and right track ( = 0, 10, 20, 30).
From the simulation results, it can be concluded that the greater the difference between the speeds of the left and right track wheels, the larger is the steering curvature, indicating a smaller turning radius for the drilling and anchoring robot. Conversely, when the speeds of the left and right track wheels were closer, the steering curvature was smaller and the steering of the drilling and anchoring robot was smoother. When the drilling and anchoring robot traveled at the maximum speed (v = vmax), the steering curvature of the robot was 0. At this point, the drilling and anchoring robot could only move along a straight line.
3.3. Analysis of Skid Steering in Drilling and Anchoring Robots
The walking mechanism of the drilling and anchoring robot is a tracked structure that is always accompanied by skidding and slipping phenomena during movement. When describing the characteristics of a robot’s track skidding and slipping, it is assumed that the tracks at all points cannot be stretched, meaning that no deformation occurs. The motion of the drilling and anchoring robot was analyzed based on the ground mechanics model developed by Wong [21]. represents the state of track skidding and slipping, represents the skid rate, and represents the slip rate. The following relationship can be obtained:
where represents the effective rolling radius of the drive wheel of the track.
In this equation, the skidding and slipping ratios can be used for the entire motion process of different drilling and anchoring robots, including acceleration or braking. Because the drilling and anchoring robot travels at a slow speed in tunnel environments, only the slip situation of the track is considered in this study (). Therefore, the actual traveling speed and relative steering radius of the drilling and anchoring robots can be determined using the following equations:
where represent the slip rates of the left and right tracks, respectively.
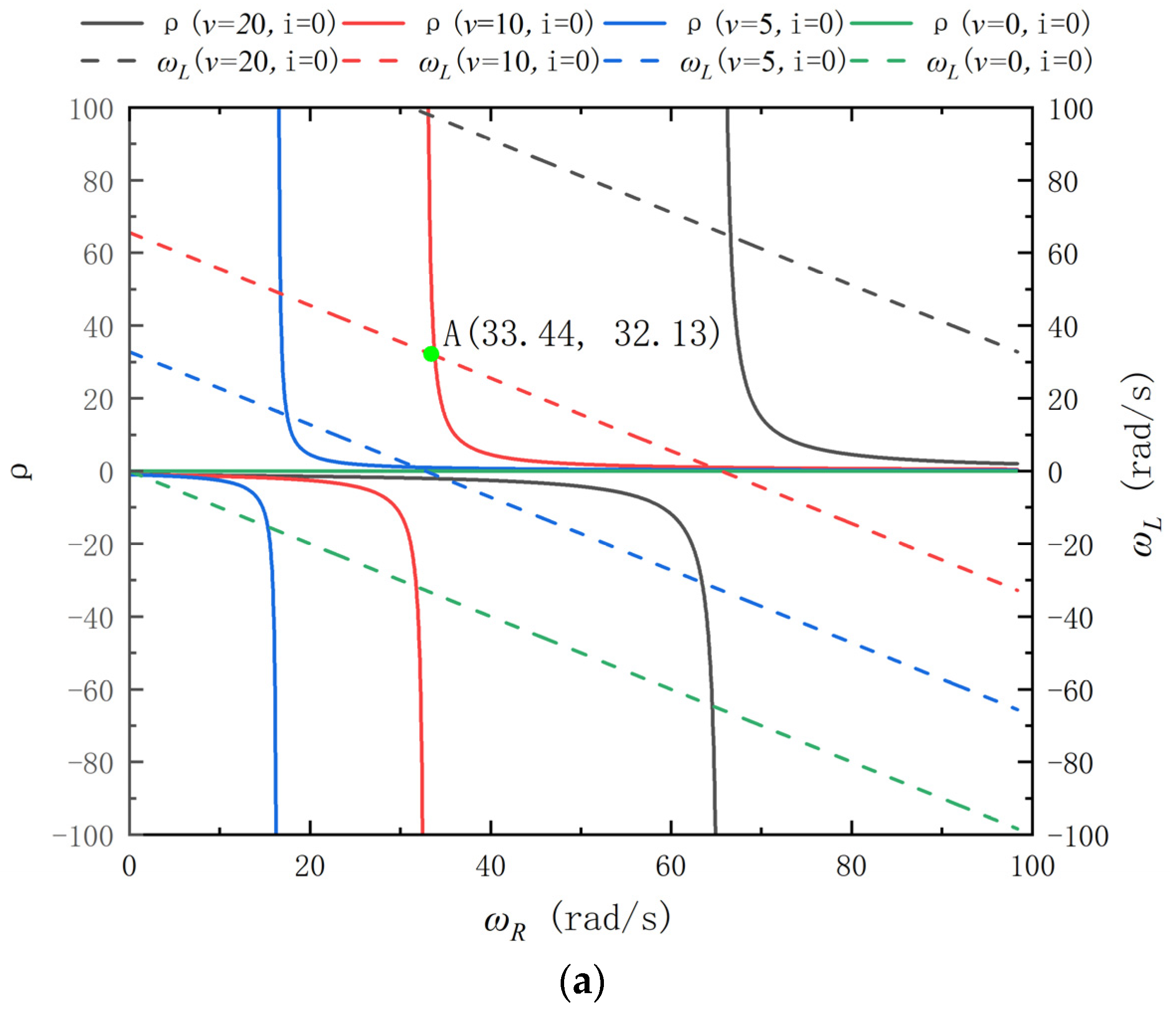
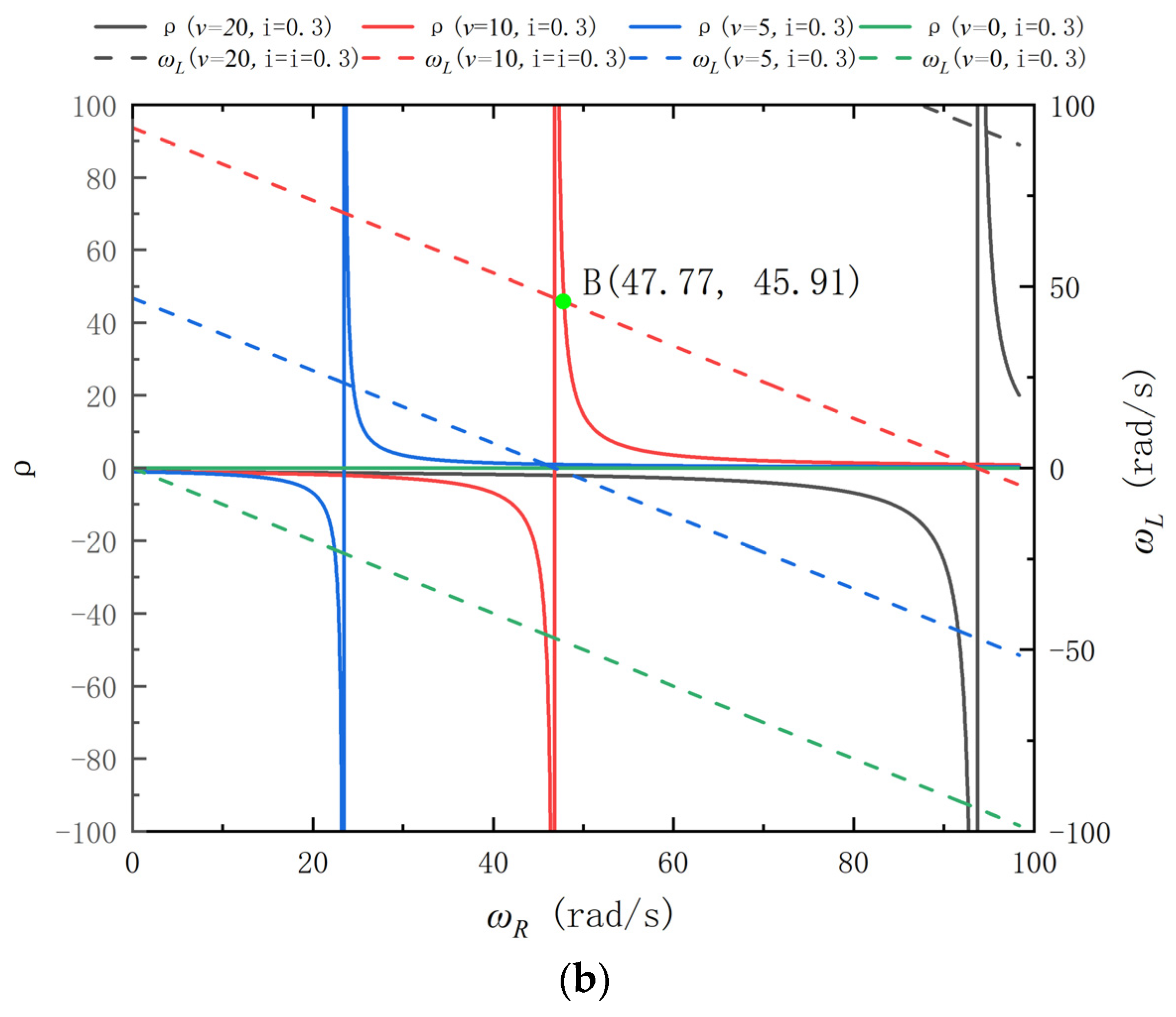
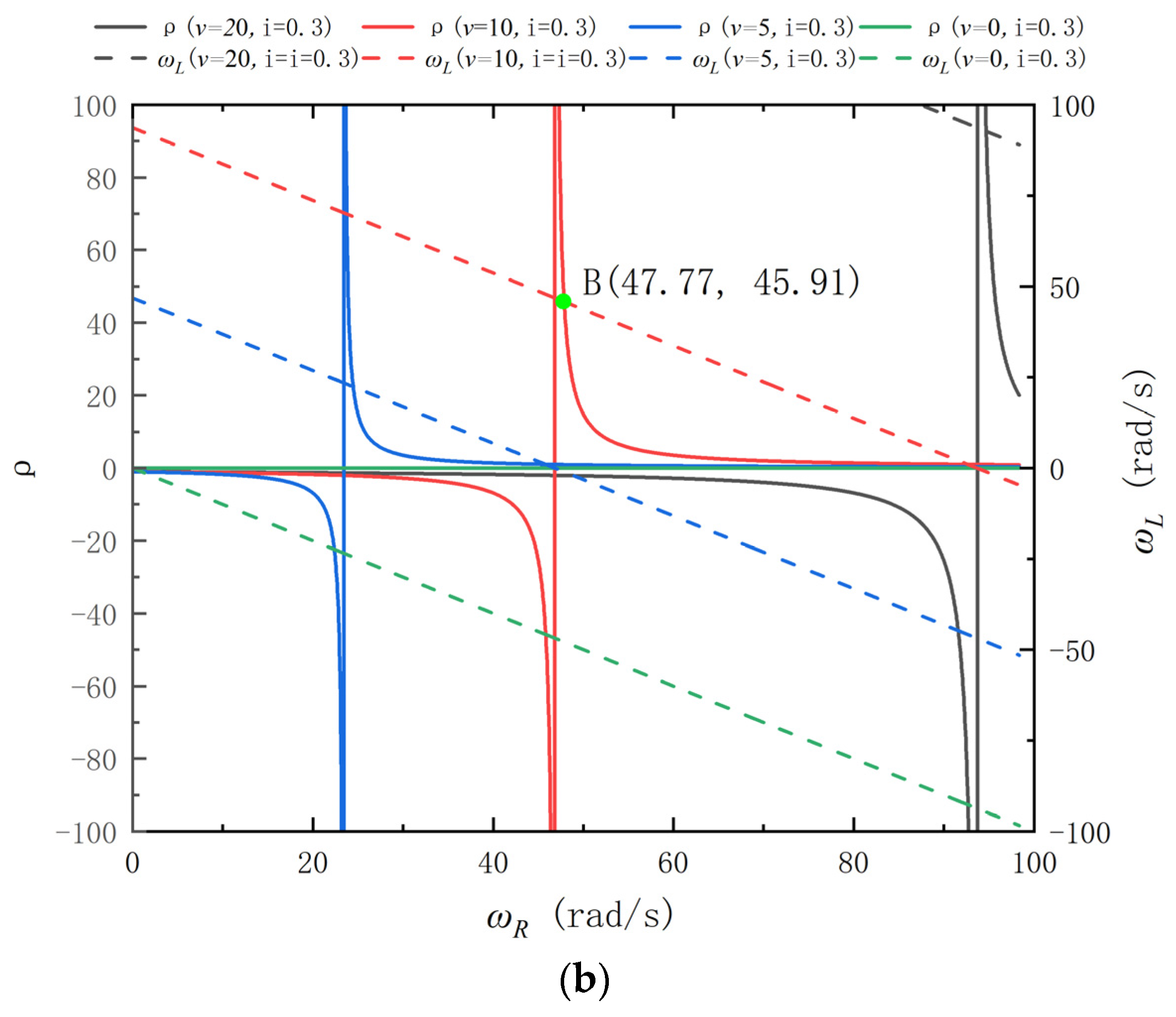
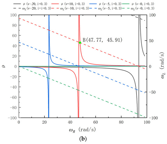
From Equation (7), it is evident that when the left and right track speeds of the robot are limited, the robot achieves its maximum speed when iR = iL = 0. As the speed of the drilling and anchoring robot varied from 0 to 30 m/min, the analysis was conducted for cases where the linear speed during the steering process was set to 0, 5, 15, and 20 m/min. The relationship between the drive wheel speed and turning radius of the drilling and anchoring robot is shown in Figure 5 for both scenarios: without considering (i = 0) and considering (i = 0.3) the track slip factor.

Figure 5.
The relationship graph between the robot’s turning radius , driving speed v, slippage ratio i, and the speeds of the left track vL and right track vR: (a) i = 0, (b) i = 0.3.
From Figure 5, it can be observed that considering or not considering the effects of track skidding and slipping causes significant differences in the control requirements for the speed of the drilling and anchoring robots. By controlling the speed difference between the robot’s left and right tracks, the robot can achieve a specified turning radius during its steering motion, based on the state of track skidding and slipping and the required driving speed. When the robot’s speed remains constant and completes the same radius turning motion, the speeds of the tracks on both sides of the robot are much higher when considering the track’s slipping than when not considering it. For instance, at points A and B in the graph, where the robot’s speed is 10 m/min and it completes a steering motion with , without considering track skidding and slipping (i = 0), the drive-wheel speeds of the drilling and anchoring robot are A(33.44, 32.13) rad/s, whereas when considering track skidding and slipping (i = 0.3), the drive-wheel speeds of the drilling and anchoring robot are B(47.77, 45.91) rad/s.
4. Analysis of the Deviation Correction Control Strategy for the Drilling and Anchoring Robot
4.1. Analysis of the Steering Space of the Robot
An analysis of the steering motion of the drilling and anchoring robots was conducted to understand the relationship between the driving motion of the drilling and anchoring robots and their spatial environment. The principle diagram of the steering motion space of the drilling and anchoring robots is shown in Figure 6. ICR represents the instantaneous center of rotation of the steering motion of the robot. Rmax denotes the radius of the largest arc space occupied by the robot during steering and Rmin represents the radius of the smallest arc space occupied by the robot during steering. During the steering motion of the drilling and anchoring robot, the minimum travel space required was the area enclosed by segments Rmax and Rmin.
Figure 6.
Analysis of the steering space drilling and anchoring robot.
The formulas for calculating the minimum and maximum steering radii of the robot are as follows.
When , the minimum relative steering radius required for the drilling and anchoring robot is
4.2. Relationship between the Steering Angle of the Robot and the Distance to the Sidewall
Influenced by factors such as the width of the tunnel, equipment, and distance from the sidewall, the steering capability of the drilling and anchoring robot is closely related not only to its intrinsic structural parameters and driving parameters, but also to the distance from the tunnel sidewall. Therefore, when traveling in a tunnel, drilling and anchoring robots cannot steer freely. Based on an analysis of the structural dimensions of the drilling and anchoring robot and the tunnel parameters, as shown in Figure 7a, the relationship between the steering angle of the robot and its distance from the sidewall coal seam can be obtained.
Figure 7.
Relationship between the maximum steering angle of the robot and the distance to the sidewall: (a) analysis graph of robot steering capability, (b) robot steering angle θ vs. sidewall distance YR.
Substituting the parameters related to Table 1 into the above equation, the parameters determining the structure of the drilling and anchoring robot are and m, respectively. When the robot was at a distance from the right sidewall, at this point, , the robot could not turn and could only move forward, as indicated by point A in Figure 7b. When considering the robot’s safe distance, at this point where YR = 2.19 m, the robot’s steering angle is , as shown by point B in Figure 7b. During , the robot can turn freely without being limited by obstacles, as shown by point C in Figure 7b. Assuming that the centerline of the drilling and anchoring robot coincides with the centerline of the tunnel, with a tunnel width of 5.8 m, the maximum distance between the robot and the sidewall will be < = 2.92 m, and the robot will not be able to achieve a 360° pivot turn. Considering a safety distance of m between the robot and the tunnel wall during travel, the drilling and anchoring robot will be able to adapt to a tunnel width of 5.7 m, and the maximum steering angle for the drilling and anchoring robot is , as indicated by point D in Figure 7b.
4.3. Correction and Steering Control Strategy for the Drilling and Anchoring Robot
To ensure safe and smooth operation of the drilling and anchoring robot in the tunnel, the structure of the drilling and anchoring robot must not collide with the sidewalls of the tunnel. For ease of analysis, let A, B, C, and D represent the vertices of the drilling and anchoring robots, respectively. The coordinates of these four vertices relative to the robot’s body coordinate system can be obtained using geometric relationships [22,23,24]. If the coordinates of the robot’s center of mass in the tunnel coordinate system are P = (x,y,z) and the coordinates of point A in the robot’s coordinate system are , then the coordinates of point A in the xy-plane coordinate system of the tunnel can be calculated as follows:
The coordinates of points B, C, and D on the drilling and anchoring robot can be obtained in the same manner.
To ensure that the drilling and anchoring robot does not collide with the sidewalls of the tunnel, it is necessary to restrict the positions of the four vertices of the drilling and anchoring robot. Let the width of the tunnel be W, the safe distance of the robot from the left side be SL, and the safe distance of the drilling and anchoring robot from the right side be SR, as illustrated in Figure 8. Then, the vertical coordinate distances of points A, B, C, and D from the centerline have the following constraints.
Figure 8.
Relationship between robot steering angle and distances from points A, B, C, and D to the sidewall.
Based on the above relationships, the following collision avoidance driving control strategy can be formulated for drilling and anchoring robots:
- During , the drilling and anchoring robot maintains its current state and does not require correction. represents the permissible error for robot navigation, which must be set based on the tunnel environment, typically defaulting to 0.01 m.
- When and , the drilling and anchoring robot deviates towards the right side of the tunnel, requiring leftward correction.
- When and , the drilling and anchoring robot deviates towards the left side of the tunnel, requiring rightward correction.
5. Drilling and Anchoring Robot Path Tracking Control Test Analysis
5.1. Anchoring Robot Deviation Correction Path Planning in a Tunnel Environment
To verify the effectiveness of the deviation correction path planning of the anchoring robot in a tunnel environment, we formulated the following requirements for steering and driving.
The steering angle of the robot during turning must be limited within a reasonable range, .
The starting and ending angles should align with the direction of the tunnel, .
Based on the above requirements, we devised a smooth path denoted as a-b-o-c-d, as shown in Figure 9. In this path, segment a-b is a straight line, b-o represents the left-turn path with a turning radius of R1, and o-c represents the right-turn path with a turning radius of R2. When the CM of the drilling and anchoring robot coincides with the centerline of the tunnel, the robot travels in a straight line, as illustrated by curves c-d in the diagram. The entire adjustment curve b–c represents the displacement segment for robot adjustment. Assuming that the driving speed of the drilling and anchoring robot is v, and the steering angular velocity is , the equations for the path curves of the robot during each stage of travel are as follows:
Figure 9.
Path planning for robot correction in a tunnel environment.
a-b:
b-o:
o-c:
c-d:
When the drilling and anchoring robots are traveling in a tunnel environment, with distances YR and YL representing the distances to the right and left sidewalls, respectively, the steering angle is . During R1 = R2, the steering parameters of the robot can be determined as follows:
5.2. Design of the Robot Kinematic Controller
In the tunnel coordinate system, the formula for calculating the pose error of the drilling and anchoring robots is as follows:
The formula for transforming the pose error of the drilling and anchoring robot from the global coordinate system to the local coordinate system is as follows.
The differential equation for the pose error of the center of mass of the drilling and anchoring robot is
Due to the elongated nature of the coal mine’s tunneling roadway, this paper designs a PID controller using the difference in the y-direction (ey) between the drilling and bolting robot and the roadway centerline. The PID controller is as follows:
The control inputs are the linear velocity v and angular velocity ω. To relate uy to these inputs, we need to find a control law for v and ω that minimizes ye. One approach is to assume that v is constant and adjust ω to minimize ye.
Choose a Lyapunov function:
Compute the time derivative of the Lyapunov function:
Substitute into the equation:
Considering the PID controller input,
Assuming the linear velocity v is constant and equal to vr, the error dynamics simplifies to
Approximate for small errors:
Calculate the time derivative of the Lyapunov function:
Since , , and are positive constants,
Through the analysis of the Lyapunov function and its time derivative, it is proven that when , , and are appropriately chosen, the derivative of the Lyapunov function is always negative or zero. This indicates that the system is stable, meaning that the Y-direction error gradually decreases over time and eventually approaches zero. This proves the stability of the PID controller in controlling the Y-direction error of the drilling and anchoring robot.
In this study, a control system model of the robot is constructed in MATLAB/Simulink, and a PID kinematic control model is designed, as shown in Figure 10.
Figure 10.
The robot path tracking PID kinematic controller.
5.3. Construction of the Robot Path Tracking Control System
Utilizing the kinematic control system of the drilling and anchoring robot, a simulation model of the robot path-tracking control system was built to validate the feasibility of the method. Two scenarios were considered in the path-planning m. The straight-line distance traveled on the driving curve was 1 m, and the turning radius was m. In the kinematic model, the maximum driving speed of the robot was v = 30 m/min, and the rotation speeds of the left and right wheels of the drilling and anchoring robot were restricted to [−1.64, 1.64] rad/s. The block diagram of the drilling and anchoring robot is shown in Figure 11 and the simulink model of the robot path tracking control system is shown in Figure 12.
Figure 11.
Block diagram of the robot control system.
Figure 12.
Simulink simulation model of the robot path tracking control system.
5.4. Analysis of Path Tracking Control Errors
From the simulation results shown in Figure 13, the condition of the robot being 0.1 m away from the center line of the roadway was first set. By simulation, the PID parameters were adjusted and set to {50, 10, 1} and {10, 1, 0.1}, with a simulation time of 60 s. The simulation results show that under these two PID parameter settings, the drilling and anchoring robots can accurately track the planned trajectory. It can also be found that when the PID controller parameters are smaller, such as {10, 1, 0.1}, the tracking accuracy of the robot is higher.
Figure 13.
Robot path tracking control simulation under different PID parameters: (a) path tracking simulation under different PID parameters; (b) x-y path tracking error under different PID parameters.
To verify the path tracking control performance of the drilling and anchoring robot in the roadway space, the robot was set at distances of 0.1 m and 0.5 m from the center line of the roadway. After multiple simulation tests, the PID controller parameters were set to {0.1, 0.01, 0}. Additionally, since the deviation between the robot and the center line of the roadway became very small after 30 s of simulation, the simulation time was set to 30 s in this study. From the simulation results shown in Figure 14, the tracking errors in the x-direction from the tunnel centerline were less than 0.005 m, and those in the y-direction were less than 0.001 m, satisfying the precise control requirements of the robot in the tunnel environment. This indicated that the motion controller design was reasonable.
Figure 14.
Path tracking control simulation of the robot PID {0.1, 0.01, 0}: (a) path tracking simulation (dy = 0.1), (b) x-y path tracking error (dy = 0.1), (c) path tracking simulation ((dy = 0.5), (d) x-y path tracking error ((dy = 0.5).
At the same time, it can be observed that the drilling and anchoring robot can only reach the centerline of the tunnel at distances of 1.46 m and 4.57 m, respectively. This suggests that in a constrained tunnel environment, the robot requires a longer distance to travel to the centerline when it is closer to the sidewall. Therefore, in tunnel environments, it is preferable for the robot to be closer to the centerline of the tunnel to ensure a safe and smooth operation.
6. Testing and Analysis of Lane Deviation Control in Tunnel Environments
An experimental platform was set up to verify the lane deviation performance of the drilling and anchoring robot, as shown in Figure 15. The left and right sidewalls are movable components that can be adjusted according to the experimental requirements to control their distance from the drilling and anchoring robots. In this experiment, the path shown in Figure 9 was followed. The width of the experimental site was adjusted to W = 5.8 m, with the robot’s distance from the centerline of the lane set to dy = 0.5 m and SR = 0.05 m. Lane deviation performance tests were conducted on the drilling and anchoring robot both with and without considering skidding and slipping.
Figure 15.
Drilling and anchoring robot test platform.
The performance of the drilling and anchoring robot’s steering control was tested by considering the skidding and slipping of the robot tracks (i = 0 and i = 0.22). The speed of the robot’s driving wheel is limited to [−1.64, 1.64] rad/s. The drive curves of the left and right track motors of the drilling and anchoring robots are shown in Figure 16a. As can be seen from Figure 16a, when skidding and slipping are not considered (i = 0), it takes 13.9 s for the robot to move to the center position of the roadway, while when skidding and slipping are considered (i = 0.22), it takes 64.4 s for the robot to move to the center position of the roadway. The change trend of the result is consistent with the analysis results of Equation (7) and Figure 5, indicating that the theoretical analysis is correct. The displacement curves of the drilling and anchoring robots are shown in Figure 16b. When considering track skidding and slipping, the speed difference between the two sides of the drilling and anchoring robot tracks was significant. At the same time, the real-time tracking error in the y direction from the centerline of the tunnel was relatively large, with a maximum error of 0.13 m. However, the drilling and anchoring robot still successfully moved from a position 0.5 m away from the centerline of the tunnel to the centerline, with an error of 0.003 m, achieving steering correction, as shown in Figure 16c. During the steering correction process, the speed of the drilling and anchoring robot is not the main target; rather, it determines whether the drilling and anchoring robot can move to the centerline of the tunnel. Therefore, the drilling and anchoring robot can achieve steering correction control in a tunnel environment, meeting the requirements for safe and smooth operation of the drilling and anchoring robot.
Figure 16.
Curve plot of robot steering correction control: (a) drive wheel speed curve, (b) displacement curve, (c) real-time error y-direction.
To calculate the distances between the four corner points (A, B, C, D) of the drilling anchor robot and the sidewalls, ultrasonic sensors have been installed on the robot. The location of the right-side ultrasonic sensor is shown in Figure 17, and the left-side sensor is installed in a symmetric position on the robot’s body. The conversion relationship between the distances from the four corner points to the sidewalls, and the ultrasonic sensor measurement values, are expressed by the following equation.
where LR1 represents the distance from the right front ultrasonic sensor to the front end, LR2 represents the distance from the right rear ultrasonic sensor to the rear end, LL1 represents the distance from the left front ultrasonic sensor to the front end, and LL2 represents the distance from the left rear ultrasonic sensor to the rear end. USR1, USR2, USL1, and USL2 represent the measurement values of the right front, right rear, left front, and left rear ultrasonic sensors, respectively. SA, SB, SC, and SD represent the distances between points A, B, C, D and the side skirts, respectively, and represents the yaw angle.
Figure 17.
Schematic diagram of the installation position of the ultrasonic sensors (1 ultrasonic sensor USR1, 2 ultrasonic sensor USR2).
Based on the displacement monitoring of four corner points A, B, C, and D of the drilling and anchoring robot, as shown in Figure 8, the displacement curves of these four points are shown in Figure 18. From the figure, it can be observed that throughout the entire travel process, the drilling and anchoring robot maintains a minimum distance of 0.05 m from both sides of the roadway, with the nearest point being D1(23.7, 0.05) m. This distance exactly meets the requirement of the safety warning line, SR = 0.05 m, thereby ensuring safe travel and smooth control of the drilling and anchoring robot.
Figure 18.
Curves of the displacement variation of the four corner points of the drilling and anchoring robot. (a) A, B, C, and D real-time displacement curves; (b) curves of the distance variation between points A, B, C, D and the sidewall.
7. Conclusions
In this paper, we investigated the slippage characteristics of a tracked drilling and anchoring robot during the steering process and proposed a steering control strategy that accounts for track slippage. A path tracking controller was designed, and its stability was verified through simulations and experiments. The general conclusions are as follows:
- Steering Angle and Distance Relationship: The relationship between the steering angle of the drilling and anchoring robot and the distance to the sidewall in the roadway environment was determined. Based on this relationship, a corrective driving control strategy was formulated to enhance maneuverability and precision.
- Path Planning and PID Controller: Path planning for the corrective driving of the drilling and anchoring robot in the roadway environment was completed. A PID kinematic controller was built, and path-tracking control simulation experiments demonstrated that the tracking error was minimal, indicating a well-designed control system.
- Testing and Verification: A test platform for the corrective driving of the drilling and anchoring robot was established in a roadway environment. The performance of the corrective driving control was thoroughly tested, and the reliability of the proposed method was verified.
The results of this study provide a theoretical basis and technical support for the intelligent control of a tracked drilling and anchoring robot in tunnel environments, showcasing significant theoretical and engineering implications. Future research can focus on optimizing the control strategy to enhance performance under varying environmental conditions, as well as on real-world implementation and testing in diverse tunnel environments to validate the robustness and scalability of the proposed control strategy.
Author Contributions
Conceptualization, C.W. and H.M.; methodology, C.W., Q.M. and X.X.; software, C.W.; validation, C.W., J.S. and R.W. resources, J.S., R.W. and Q.L.; Manufacturing J.S. and R.W.; test, C.W., J.S., R.W. and Q.L.; writing—original draft preparation, C.W.; writing—review and editing, X.X. and Q.M. All authors have read and agreed to the published version of the manuscript.
Funding
This work was supported in part by the National Key Research Development Program of China under grants 2023YFC2907603 and 2022YFF0605300, the National Natural Science Foundation of China under grant 52374161, the Shaanxi Science and Technology Association under grant 2023-JC-YB-331, the Key Research and Development Projects of Shaanxi Province under grant 2023-LL-QY-03, and the Shaanxi Provincial Department of Education to Serve Local Special Program Projects under grant 22JC051.
Data Availability Statement
The data presented in this study are available upon request from the first author.
Conflicts of Interest
The authors declare that they have no known competing financial interests or personal relationships that could have influenced the work reported in this study.
References
- Ge, S.R.; Hu, E.Y.; Li, Y.W. New progress and direction of robot technology in coal mine. J. China Coal Soc. 2023, 48, 54–73. [Google Scholar]
- Ma, H.; Wang, S.; Mao, Q.; Shi, Z.W.; Zhang, X.H.; Yang, Z.; Cao, X.; Xue, X.; Xia, J.; Wang, C.; et al. Key common technology of intelligent heading in coal mine roadway. J. China Coal Soc. 2021, 46, 310–320. [Google Scholar]
- Hao, X.D.; Jing, X.P.; Zhang, Z.P. Workspace analysis and trajectory planning of drill arm of roboticized bolting truck. J. Cent. South Univ. (Sci. Technol.) 2019, 50, 2128–2137. [Google Scholar]
- Ma, H.W.; Wang, P.; Wang, S.B.; Mao, Q.H.; Shi, Z.W.; Xia, J.; Yang, Z.; Xue, X.S.; Wang, C.W. Intelligent parallel cooperative control method of coal mine excavation robot system. J. China Coal Soc. 2021, 46, 2057–2067. [Google Scholar]
- Ma, H.W.; Sun, S.Y.; Wang, C.W. Key technology of drilling anchor robot with multi-manipulator and multi-rig cooperation in the coal mine roadway. J. China Coal Soc. 2023, 48, 497–509. [Google Scholar]
- Zou, T.; Angeles, J.; Hassani, F. Dynamic modeling and trajectory tracking control of unmanned tracked vehicle. Robot. Auton. Syst. 2018, 110, 102–111. [Google Scholar] [CrossRef]
- Jia, W.; Liu, X.; Zhang, C.; Qiu, M.; Zhang, Y.; Quan, Q.; Sun, H. Research on Steering Stability of High-Speed Tracked Vehicles. Math. Probl. Eng. 2022, 2022, 4850104. [Google Scholar] [CrossRef]
- Xiong, H.; Chen, Y.; Li, Y.; Zhu, H.; Yu, C.; Zhang, J. Dynamic model-based back-stepping control design for-trajectory tracking of seabed tracked vehicles. J. Mech. Sci. Technol. 2022, 36, 4221–4232. [Google Scholar] [CrossRef]
- Qin, H.; Shao, S.; Wang, T.; Yu, X.; Jiang, Y.; Cao, Z. Review of Autonomous Path Planning Algorithms for Mobile Robots. Drones. 2023, 7, 211. [Google Scholar] [CrossRef]
- Sabiha, A.D.; Kamel, M.A.; Said, E.; Hussein, W.M. ROS-based trajectory tracking control for autonomous tracked vehicle using optimized backstepping and sliding mode control. Robot. Auton. Syst. 2022, 152, 104058. [Google Scholar] [CrossRef]
- Saglia, J.A.; Tsagarakis, N.G.; Dai, J.S.; Caldwell, D.G. Inverse-kinematics-based control of a redundantly actuated platform for rehabilitation. Proc. Inst. Mech. Eng. Part I—J. Syst. Control Eng. 2009, 223, 53–70. [Google Scholar] [CrossRef]
- Fang, Y.; Wang, S.; Cui, D.; Bi, Q.; Yan, C. Multi-body dynamics model of crawler wall-climbing robot. Proc. Inst. Mech. Eng. Part K J. Multi-Body Dyn. 2022, 236, 535–553. [Google Scholar] [CrossRef]
- Ishikawa, T.; Hamamoto, K.; Kogiso, K. Trajectory tracking switching control system for autonomous crawler dump under varying ground condition. Autom. Constr. 2023, 148, 104740. [Google Scholar] [CrossRef]
- Zhang, M.J.; Cheng, R.; Zhu, Y.; Zhang, M.; Zang, F.; Wu, M. Study on road header rectification running performance and control in the in-cline coalmine roadway. J. China Coal Soc. 2021, 46 (Suppl. S1), 549–557. [Google Scholar]
- Qu, Y.Y.; Song, L.K.; Wu, M.; Ji, X.D. Study on path planning and tracking of the underground mining road-header. J. Min. Sci. Technol. 2020, 5, 194–202. [Google Scholar]
- Zhang, X.H.; Zhao, J.X.; Yang, W.J.; Zhang, C. Vision-based navigation and directional heading control technologies of boom-type road header. J. China Coal Soc. 2021, 46, 2186–2196. [Google Scholar]
- Mao, Q.; Zhang, F.; Zhang, X.; Xue, X.; Wang, L. Deviation Correction Path Planning Method of Full-Width Horizontal Axis Road header Based on Improved Particle Swarm Optimization Algorithm. Math. Probl. Eng. 2023, 2023, 3373873. [Google Scholar] [CrossRef]
- Jia, Z.; Fang, W.; Sun, C.; Li, L. Control of a Path Following Cable Trench Caterpillar Robot Based on a Self-Coupling PD Algorithm. Electronics 2024, 13, 913. [Google Scholar] [CrossRef]
- Stefek, A.; Van Pham, T.; Krivanek, V.; Pham, K.L. Energy Comparison of Controllers Used for a Differential Drive Wheeled Mobile Robot. IEEE Access 2020, 8, 170915–170927. [Google Scholar] [CrossRef]
- Xu, T.; Ji, X.; Liu, Y.; Liu, Y. Differential Drive Based Yaw Stabilization Using MPC for Distributed-Drive Articulated Heavy Vehicle. IEEE Access 2020, 8, 104052–104062. [Google Scholar] [CrossRef]
- Wong, J.Y.; Chiang, C.F. A general theory for skid steering of tracked vehicles on firm ground. Proc. Inst. Mech. Eng. Part D J. Automob. Eng. 2001, 215, 343–355. [Google Scholar] [CrossRef]
- Yang, J.; Ge, S.; Wang, F.; Luo, W.; Zhang, Y.; Hu, X.; Zhu, T.; Wu, M. Parallel tunneling: Intelligent control and key technologies for tunneling, supporting and anchoring based on ACP theory. J. China Coal Soc. 2021, 46, 2100–2111. [Google Scholar]
- Macenski, S.; Singh, S.; Martín, F.; Ginés, J. Regulated pure pursuit for robot path tracking. Auton. Robot. 2023, 47, 669–685. [Google Scholar] [CrossRef]
- Ahn, J.; Shin, S.; Kim, M.; Park, J. Accurate path tracking by adjusting look-ahead point in pure pursuit method. Int. J. Automot. Technol. 2021, 22, 119–129. [Google Scholar] [CrossRef]
Disclaimer/Publisher’s Note: The statements, opinions and data contained in all publications are solely those of the individual author(s) and contributor(s) and not of MDPI and/or the editor(s). MDPI and/or the editor(s) disclaim responsibility for any injury to people or property resulting from any ideas, methods, instructions or products referred to in the content. |
© 2024 by the authors. Licensee MDPI, Basel, Switzerland. This article is an open access article distributed under the terms and conditions of the Creative Commons Attribution (CC BY) license (https://creativecommons.org/licenses/by/4.0/).


















