An ADS-B Information-Based Collision Avoidance Methodology to UAV
Abstract
:1. Introduction
2. Flight Conflict Perception and Prediction
2.1. ADS-B Technology
2.2. ADS-B Message Structure
2.3. Trajectory Prediction Based on UKF
2.3.1. Unscented Transformation (UT)
2.3.2. Main Steps of the UKF Algorithm
- Step 1: Build a system state model.
- Step 2: Input parameters.
- Step 3: Use Gaussian distribution to generate sigma sampling points.
- Step 4: Calculation of sigma test point weight.
- Step 5: Predict the new state equation.
- Step 6: Measurement status update.
- Step 7: Covariance matrix of state measurements.
- Step 8: State update and covariance matrix update.
3. Flight Conflict Relief
3.1. Flight Conflict Resolution Model
3.2. Flight Conflict Resolution Strategies
3.2.1. Speed Deliverance
3.2.2. Heading Deliverance
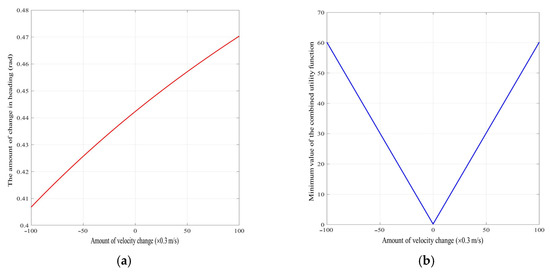
3.2.3. Compound Deliverance
4. UAV Conflict Resolution Strategy Selection Process
5. Simulation Verification
5.1. Track Prediction Verification
5.2. Conflict Resolution under Different Resolution Strategies
5.2.1. Speed Deliverance
5.2.2. Sailing to Deliverance
5.2.3. Compound Deliverance
6. Conclusions
Author Contributions
Funding
Data Availability Statement
Conflicts of Interest
Abbreviations
| UAV | Unmanned Aerial Vehicle |
| ADS-B | Automatic Dependent Surveillance-Broadcast |
| TCAS | Traffic Collision Avoidance System |
| UKF | Unscented Kalman Filter |
| ICAO | International Civil Aviation Organization |
| AES | Aircraft Earth Station |
| ACARS | Aircraft Communications Addressing and Reporting System |
| RGS | Remote Ground Station |
| KF | Kalman Filtering |
| EKF | Extended Kalman Filter |
| UT | Unscented Transformation |
| VO | Velocity Obstacle |
References
- Fu, Q.; Liang, X.; Zhang, J.; Li, Y.; Chen, Z.; Yan, F. A review of low-altitude traffic management system for unmanned aircraft. Flight Mech. 2019, 37, 1–6. [Google Scholar]
- Billmoria, K.D. A geometric optimization approach to aircraft conflict resolution. J. Sci. Food Agric. 2000, 82, 192–202. [Google Scholar]
- White, B.A.; Shin, H.S.; Tsourdos, A. UAV obstacle avoidance using differential geometry concepts. IFAC Proc. Vol. 2011, 44, 6325–6330. [Google Scholar] [CrossRef]
- Wu, M.; Wang, Z.; Wen, X.; Jiang, X.; Sun, Q. Geometric optimization model for flight conflict resolution. Syst. Eng. Electron. Technol. 2019, 41, 864–870. [Google Scholar]
- Du, Y.; Nan, Y. Research of robot path planning based on improved artificial potential field. In Proceedings of the 2016 2nd International Conference on Advances in Mechanical Engineering and Industrial Informatics (AMEII), Hangzhou, China, 9–10 April 2016; pp. 1025–1030. [Google Scholar]
- Zhao, J.; Bin, Y.; Run, Y. The flight navigation planning based on potential field ant colony algorithm. In Proceedings of the 2018 International Conference on Advanced Control, Automation and Artificial Intelligence (ACAAI 2018), Shenzhen, China, 21–22 January 2018. [Google Scholar]
- Zhang, N.; Zhang, Y.; Ma, C.; Wang, B. Path planning of six-DOF serial robots based on improved Artificial potential field method. In Proceedings of the 2017 IEEE International Conference on Robotics and Biomimetics (ROBIO) IEEE, Macau, China, 5–8 December 2017. [Google Scholar]
- Orozco-Rosas, U.; Montiel, O.; Sepulveda, R. Mobile robot path planning using membrane evolutionary artificial field. Appl. Soft Comput. 2019, 77, 236–251. [Google Scholar] [CrossRef]
- Guan, X.M.; Lu, R.L. Multi-vehicle conflict resolution method based on hybrid artificial potential field and ant colony algorithm. J. Wuhan Univ. Technol. 2020, 44, 28–33. [Google Scholar]
- Wu, J.; Zhang, J. Multi-machine free flight conflict resolution strategy using genetic algorithm. J. Intell. Syst. 2013, 8, 16–20. [Google Scholar]
- Zhao, H.; Tian, T. Dynamic state estimation of power systems based on adaptive Unscented Kalman Filtering. Powei Grid Technol. 2014, 38, 188–192. [Google Scholar]
- Wang, Z.; Xue, X.; Wang, Y. State parameter estimation of distributed drive electric vehicles based on adaptive Unscented Kalman Filtering. J. Beijing Univ. Technol. 2021, 38, 698–702. [Google Scholar]
- Wei, K.; Chen, Q. State estimation of lithium ion power batteries based on adaptive Unscented Kalman Filtering. Chin. J. Eltrical Eng. 2014, 34, 445–452. [Google Scholar]
- Shi, Y.; Han, C. Application of adaptive UKF algorithm in target tracking. J. Od Autom. 2011, 37, 755–759. [Google Scholar]
- Han, S.; Wang, W.; Chen, X.; Meng, W. High dynamic carrier tracking loop based on UKF quasi open loop structure. J. Aviat. 2010, 31, 2393–2399. [Google Scholar]
- Zhang, J. Modern Air Traffic Management; Beijing University of Aeronautics and Astronautics Press: Beijing, China, 2005. [Google Scholar]
- Wei, X.; Yao, D.; Dai, Z.; Han, Q. UAV flight conflict resolution technology based on path planning. Firepower Command. Control 2016, 41, 48–58. [Google Scholar]
- Lu, X.; Zhang, Y. Kalman filter algorithm-based ADS-B trajectory prediction. Mod. Inf. Technol. 2021, 5, 48–50+53. [Google Scholar]
- Chen, M.; Fu, J.Y. Research on flight track prediction method based on traceless Kalman filter. Comput. Simul. 2021, 38, 27–30+36. [Google Scholar]
- Zhang, W.; Zhu, M.; Chen, Z. Adaptive SLAM algorithm based on strong tracking UKF. Robotics 2010, 32, 190–195. [Google Scholar] [CrossRef]
- Zhang, H.; Gan, X.; Li, A.; Gao, Z.; Xu, X. UAV obstacle avoidance and trajectory recovery strategy based on velocity obstacle method. Syst. Eng. Electron. Technol. 2020, 42, 1759–1767. [Google Scholar]
- Ye, J.; Gao, J.; Zou, J.; Li, Q.; Cui, K. Verification and evaluation method of ILS safe operation state based on ADS-B data. In Proceedings of the 2020 IEEE 4th Information Technology, Networking, Electronic and Automation Control Conference (ITNEC), Chongqing, China, 12–14 June 2020; pp. 939–942. [Google Scholar]
- Raul-Cristian, R.; Radu-Emil, P.; Emil, M.P. Hybrid Data-Driven Fuzzy Active Disturbance Rejection Control for Tower Crane Systems. Eur. J. Control 2021, 58, 373–387. [Google Scholar]
- Chi, R.; Li, H.; Shen, D.; Hou, Z.; Huang, B. Enhanced P-Type Control: Indirect Adaptive Learning from Set-Point Updates. IEEE Trans. Autom. Control 2023, 68, 1600–1613. [Google Scholar] [CrossRef]
- Du, H.; Zhu, W.; Wen, G.; Duan, Z.; Lü, J. Distributed Formation Control of Multiple Quadrotor Aircraft Based on Nonsmooth Consensus Algorithms. IEEE Trans. Cybern. 2019, 49, 342–353. [Google Scholar] [CrossRef]
- Yu, J.; Dong, X.; Li, Q.; Lü, J.; Ren, Z. Adaptive Practical Optimal Time-Varying Formation Tracking Control for Disturbed High-Order Multi-Agent Systems. IEEE Trans. Circuits Syst. I Regul. Pap. 2022, 69, 2567–2578. [Google Scholar] [CrossRef]
- Ren, W. Consensus Tracking Under Directed Interaction Topologies: Algorithms and Experiments. IEEE Trans. Control Syst. Technol. 2010, 18, 230–237. [Google Scholar] [CrossRef]
- Cai, B.; Yang, J.; Shi, Y.; Zhang, L. Estimation for Fuzzy Semi-Markov Jump Systems With Indirectly Accessible Mode Information and Nonideal Data Transmission. IEEE Trans. Syst. Man Cybern. Syst. 2021, 51, 4016–4027. [Google Scholar] [CrossRef]
- Yang, J.; Ning, Z.; Zhu, Y.; Zhang, L.; Lam, H.K. Semi-Markov jump linear systems with bi-boundary sojourn time: Anti-modal-asynchrony control. Automatica 2022, 140, 110270. [Google Scholar] [CrossRef]
- Lv, M.; de Schutter, B.; Baldi, S. Non-Recursive Control for Formation-Containment of HFV Swarms with Dynamic Event-Triggered Communication. IEEE Trans. Ind. Inform. 2023, 19, 3188–3197. [Google Scholar] [CrossRef]
- Lv, M.; Chen, Z.; de Schutter, B.; Baldi, S. Prescribed-performance tracking for high-power nonlinear dynamics with time-varying unknown control coefficients. Automatica 2022, 146, 110584. [Google Scholar] [CrossRef]












| Error Size (m) | UKF | EKF |
|---|---|---|
| Latitude error | 166.4777 | 362.3431 |
| Longitude error | 101.9416 | 141.5749 |
| Integrated error | 3.5274 | 6.9972 |
Disclaimer/Publisher’s Note: The statements, opinions and data contained in all publications are solely those of the individual author(s) and contributor(s) and not of MDPI and/or the editor(s). MDPI and/or the editor(s) disclaim responsibility for any injury to people or property resulting from any ideas, methods, instructions or products referred to in the content. |
© 2023 by the authors. Licensee MDPI, Basel, Switzerland. This article is an open access article distributed under the terms and conditions of the Creative Commons Attribution (CC BY) license (https://creativecommons.org/licenses/by/4.0/).
Share and Cite
Tong, L.; Gan, X.; Wu, Y.; Yang, N.; Lv, M. An ADS-B Information-Based Collision Avoidance Methodology to UAV. Actuators 2023, 12, 165. https://doi.org/10.3390/act12040165
Tong L, Gan X, Wu Y, Yang N, Lv M. An ADS-B Information-Based Collision Avoidance Methodology to UAV. Actuators. 2023; 12(4):165. https://doi.org/10.3390/act12040165
Chicago/Turabian StyleTong, Liang, Xusheng Gan, Yarong Wu, Nan Yang, and Maolong Lv. 2023. "An ADS-B Information-Based Collision Avoidance Methodology to UAV" Actuators 12, no. 4: 165. https://doi.org/10.3390/act12040165
APA StyleTong, L., Gan, X., Wu, Y., Yang, N., & Lv, M. (2023). An ADS-B Information-Based Collision Avoidance Methodology to UAV. Actuators, 12(4), 165. https://doi.org/10.3390/act12040165

