Characteristics of a Fluidic Oscillator with Low Frequency and Low Speed and Its Application to Stall Margin Improvement
Abstract
1. Introduction
2. Research Subjects and Methodology
2.1. Research Subjects
2.1.1. Low-Speed Axial Compressor Test Rig TA 36
2.1.2. Oscillator Configuration
2.2. Experiment Methods
2.2.1. Oscillator Test Bench
2.2.2. Test Casing
2.2.3. Oscillator–Compressor Experimental System
3. Results
3.1. Oscillator Characteristics
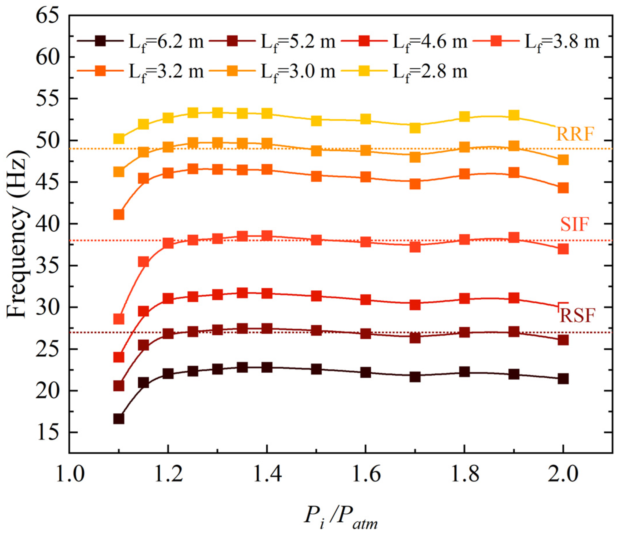
3.1.1. Frequency Response
3.1.2. Velocity Response
3.1.3. Mass Flow Response
3.2. Stall Control Application
3.2.1. Parameter Definition and Experimental Repeatability Verification
3.2.2. Effect of Oscillators on Compressor Stability
4. Discussion
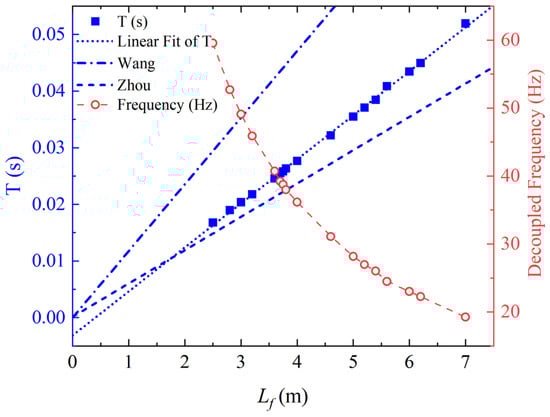
- The response frequency is adjustable and decoupled with pressure. An empirical formula between frequency/period and the feedback channel length is established, which is helpful to predict and select the of corresponding target frequency.
- The oscillators generate micro tip injections, which have almost no impact on the compressor characteristics compared with cases only using test casing, while it can obtain an unsteady stall margin expansion effect of two magnitudes greater than the excitation itself. In this study, the injected mass flow is only 0.08% of the compressor’s design mass flow, and the unsteady stall margin expansion is 3.45%.
5. Conclusions
- The oscillator configuration meets the requirements of unsteady micro tip injection experiments, which can cover the instability characteristic frequencies of TA36 by changing the feedback channel length. When ranges from 1.1 to 2.0, the maximum velocity ranges from 30 m/s to 80 m/s, which is smaller than the flow velocity in the rotor tip region. The flow rate of a single oscillator only varies from 0.017‰ to 0.059‰ of the compressor design flow rate, which causes low flow loss in the compressor.
- The frequency/period of oscillator configuration is decoupled with the variation of inlet pressure. Furthermore, an empirical formula between frequency/period and the feedback channel length is summarized, which is helpful to select the corresponding target frequency in actual application.
- The unsteady active stall margin control with the usage of fluid oscillators is feasible. When the excitation frequency of oscillators is RRF, the improvement of the compressor stall margin is 3.45%, in which the excitation flow and excitation momentum of oscillators are 0.08% and 0.27% of the compressor designed flow rate, respectively.
Author Contributions
Funding
Data Availability Statement
Conflicts of Interest
References
- Day, I.J. Stall, surge, and 75 years of research. J. Turbomach. 2016, 138, 011001. [Google Scholar] [CrossRef]
- Hathaway, M.D. Passive Endwall Treatments for Enhancing Stability. NASA/TM-2007-214409. 1 July 2007. Available online: https://ntrs.nasa.gov/citations/20070025023 (accessed on 25 October 2022).
- Sun, X.F.; Sun, D.K.; Liu, X.H.; Yu, W.W.; Wang, X.Y. Theory of compressor stability enhancement using novel casing treatment, part I: Methodology. J. Propul. Power 2014, 30, 1224–1235. [Google Scholar] [CrossRef]
- Sun, X.F.; Sun, D.K.; Liu, X.H.; Yu, W.W.; Wang, X.Y. Theory of compressor stability enhancement using novel casing treatment, part II: Experiment. J. Propul. Power 2014, 30, 1236–1247. [Google Scholar] [CrossRef]
- Shivaramaiah, S.; Nagpurwala, Q.H.; Varpe, M.K.; Narahari, H.K. Effect of Rotor Tip Winglet on the Performance and Stability of a Transonic Axial Compressor. In Proceedings of the ASME 2017 Gas Turbine India Conference, Bangalore, India, 7–8 December 2017. [Google Scholar]
- Han, S.B.; Zhong, J.J. Effect of blade tip winglet on the performance of a highly loaded transonic compressor rotor. Chin. J. Aeronaut. 2016, 29, 653–661. [Google Scholar] [CrossRef]
- Bons, J.P.; Sondergaard, R.; Rivir, R.B. Turbine Separation Control Using Pulsed Vortex Generator Jets. J. Turbomach. 2001, 123, 198–206. [Google Scholar] [CrossRef]
- Hergt, A.; Meyer, R.; Engel, K. Effects of Vortex Generator Application on the Performance of a Compressor Cascade. J. Turbomach. 2013, 135, 021026. [Google Scholar] [CrossRef]
- Lu, X.G.; Chu, W.L.; Zhu, J.Q. A review of studies on casing treatment of axial flow compressor. Adv. Appl. Mech. 2006, 2, 222–232. [Google Scholar]
- Epstein, A.H.; Ffowkes Williams, J.E.; Greitzer, E.M. Active suppression of aerodynamic instabilities in turbomachines. J. Propul. Power 1989, 5, 204–211. [Google Scholar] [CrossRef]
- Ffowkes Williams, J.E. The aerodynamic potential of anti-Sound. In Proceedings of the 15th ICAS, Congress, London, UK, 7–12 September 1986. [Google Scholar]
- Weigl, H.J.; Paduano, J.D.; Frechette, L.G.; Epstein, A.H.; Greitzer, E.M.; Bright, M.M.; Strazisar, A.J. Active stabilization of rotating stall and surge in a transonic single stage axial compressor. J. Turbomach. 1998, 120, 625–636. [Google Scholar] [CrossRef]
- Suder, K.L.; Hathaway, M.D.; Thorp, S.A.; Strazisar, A.J.; Bright, M.B. Compressor stability enhancement using discrete tip injection. J. Turbomach. 2001, 123, 14–23. [Google Scholar] [CrossRef]
- Paduano, J.D.; Epstein, A.H.; Valavani, L.; Longley, J.P.; Greitzer, E.M.; Guenette, G.R. Active control of rotating stall in a low speed axial Compressor. J. Turbomach. 1993, 115, 48–56. [Google Scholar] [CrossRef]
- Haynes, J.M. Active Control of Rotating Stall in a Three-Stage Axial Compressor. Master’s Thesis, Massachusetts Institute of Technology, Cambridge, MA, USA, 1993. GTL Report #218. [Google Scholar]
- Glezer, A.; Amitay, M. Synthetic jets. Annu. Rev. Fluid. Mech. 2002, 34, 503–529. [Google Scholar] [CrossRef]
- You, D.; Moin, P. Active control of flow separation over an airfoil using synthetic jets. J. Fluid Struct. 2008, 24, 1349–1357. [Google Scholar] [CrossRef]
- Li, J.; Du, J.; Nie, C.; Zhang, H. Review of tip air injection to improve stall margin in axial compressors. Prog. Aerosp. Sci. 2019, 106, 15–31. [Google Scholar] [CrossRef]
- Guinet, C.; Streit, J.A.; Kau, H.; Gümmer, V. Tip Gap Variation on a Transonic Rotor in the Presence of Tip Blowing. In Proceedings of the ASME Turbo Expo 2014: Turbine Technical Conference and Exposition, Düsseldorf, Germany, 16–20 June 2014; Volume 2A: Turbomachinery. [Google Scholar]
- Lin, F.; Tong, Z.T.; Geng, S.J.; Zhang, J.; Chen, J.; Nie, C. A Summary of Stall Warning and Suppression Research with Micro Tip Injection. In Proceedings of the ASME 2011 Turbo Expo: Turbine Technical Conference and Exposition, Vancouver, BC, Canada, 6–10 June 2011; Volume 7: Turbomachinery, Parts A, B, and C. [Google Scholar]
- Li, J.; Lin, F.; Tong, Z.; Nie, C.; Chen, J. The Dual Mechanisms and Implementations of Stability Enhancement with Discrete Tip Injection in Axial Flow Compressors. J. Turbomach. 2015, 137, 031010. [Google Scholar] [CrossRef]
- Greenblatt, D.; Wygnanski, I. The control of flow separation by periodic excitation. Prog. Aerosp. Sci. 2000, 36, 487–545. [Google Scholar] [CrossRef]
- Li, Z.; Gong, Z.; Liu, Y.; Lu, Y. The Experiment Research on the Performance of Low Speed Axial-Compressor by External Acoustic Excitation. In Proceedings of the ASME Turbo Expo 2004: Power for Land, Sea, and Air, Vienna, Austria, 14–17 June 2004; Volume 5: Turbo Expo 2004, Parts A and B. [Google Scholar]
- Kefalakis, M.; Papailiou, K.D. Active Flow Control for Increasing the Surge Margin of an Axial Flow Compressor. In Proceedings of the ASME Turbo Expo 2006: Power for Land, Sea, and Air, Barcelona, Spain, 8–11 May 2006; Volume 6: Turbomachinery, Parts A and B. [Google Scholar]
- Saddoughi, S.; Bennett, G.; Boespflug, M.; Puterbaugh, S.L.; Wadia, A.R. Experimental Investigation of Tip Clearance Flow in a Transonic Compressor with and Without Plasma Actuators. J. Turbomach. 2015, 137, 041008. [Google Scholar] [CrossRef]
- Tomac, M.; Gregory, J. Internal jet interactions in a fluidic oscillator at low flow rate. Exp. Fluids 2014, 55, 1730. [Google Scholar] [CrossRef]
- Gregory, J.; Tomac, M. A review of fluidic oscillator development and application for flow control. In Proceedings of the 43rd Fluid Dynamics Conference, San Diego, CA, USA, 24–27 June 2013. [Google Scholar]
- Spens, A.; Pisano, A.P.; Bons, J.P. The application of curved fluidic oscillators for leading edge flow control. In Proceedings of the AIAA SCITECH 2022 Forum, San Diego, CA, USA, Virtual. 3–7 January 2022. [Google Scholar]
- Raman, G.; Raghu, S. Cavity resonance suppression using miniature fluidic oscillators. AIAA J. 2004, 42, 2608–2612. [Google Scholar] [CrossRef]
- Mohammadshahi, S.; Samsam-Khayani, H.; Nematollahi, O.; Kim, K.C. Flow characteristics of a wall attaching oscillating jet over single-wall and double-wall geometries. Exp. Therm. Fluid Sci. 2020, 112, 110009. [Google Scholar] [CrossRef]
- Kim, S.; Kim, H.; Kim, K. Measurement of two-dimensional heat transfer and flow characteristics of an impinging sweeping jet. Int. J. Heat Mass Transf. 2019, 136, 415–426. [Google Scholar] [CrossRef]
- Raman, G.; Packiarajan, S.; Papadopoulos, G.; Weissman, C.; Raghu, S. Jet thrust vectoring using a miniature fluidic oscillator. Aeronaut. J. 2005, 109, 129–138. [Google Scholar] [CrossRef][Green Version]
- Song, J.; Wang, S.; Wen, X.; Li, Z.; Lu, H.; Kong, X.; Liu, Y. Active flow control in an S-shaped duct at Mach 0.4 using sweeping jet actuators. Exp. Therm. Fluid Sci. 2022, 138, 110699. [Google Scholar] [CrossRef]
- Staats, M.; Nitsche, W. Active control of the corner separation on a highly loaded compressor cascade with periodic nonsteady boundary conditions by means of fluidic actuators. J. Turbomach. 2016, 138, 031004. [Google Scholar] [CrossRef]
- Meng, Q.; Du, X.; Chen, S.; Wang, S. Numerical study of dual sweeping jet actuators for corner separation control in compressor cascade. J. Therm. Sci. 2021, 30, 201–209. [Google Scholar] [CrossRef]
- Kurz, J.; Hoeger, M.; Niehuis, R. Active Boundary Layer Control on a Highly Loaded Turbine Exit Case Profile. Int. J. Turbomach. Propuls. Power 2018, 3, 8. [Google Scholar] [CrossRef]
- Chen, S.; Li, W.; Meng, Q.; Zhou, Z.; Wang, S. Effects of a sweeping jet actuator on aerodynamic performance in a linear turbine cascade with tip clearance. Proceedings of the Institution of Mechanical Engineers, Part G. J. Aerosp. Eng. 2019, 233, 4468–4481. [Google Scholar]
- Wang, S.; Batikh, A.; Baldas, L. On the modeling of the switching mechanisms of a Coanda fluidic oscillator. Sens. Actuator A Phys. 2019, 299, 111618. [Google Scholar] [CrossRef]
- Zhou, L.; Wang, S.; Wen, X. Working characteristics of a fluidic oscillator with high frequency and high speed. J. Aerosp. Power 2022, 37, 877–885. [Google Scholar]
- Zhou, L.; Wang, S.; Son, J.; Li, Z.; Liu, X.; Peng, D.; Wen, X.; Liu, Y. Study of internal time-resolved flow dynamics of a subsonic fluidic oscillator using fast pressure sensitive paint. Exp. Fluids 2022, 63, 17. [Google Scholar] [CrossRef]
- Dong, X.; Sun, D.; Li, F.; Sun, X. Stall margin enhancement of a novel casing treatment subjected to circumferential pressure distortion. Aerosp. Sci. Technol. 2018, 73, 239–255. [Google Scholar] [CrossRef]
- Simões, E.W.; Furlan, R.; Bruzetti, R.E.; Gongora-Rubio, M.; Pereira, M.; Morimoto, N.; Jorge, J.; Avilés, S. Microfluidic oscillator for gas flow control and measurement. Flow Meas. Instrum. 2005, 16, 7–12. [Google Scholar] [CrossRef]
- Cerretelli, C.; Gharaibah, E. An experimental and numerical investigation on fluidic oscillators for flow control. In Proceedings of the 37th AIAA Fluid Dynamics Conference and Exhibit, Miami, FL, USA, 25–28 June 2007. [Google Scholar]
- Wang, W.; Chu, W.; Zhang, H.; Wu, Y. Numerical Investigation on the Effects of Circumferential Coverage of Injection in a Transonic Compressor With Discrete Tip Injection. In Proceedings of the ASME Turbo Expo 2014: Turbine Technical Conference and Exposition, Düsseldorf, Germany, 16–20 June 2014; Volume 2A: Turbomachinery. [Google Scholar]
- Alone, D.B.; Kumar, S.S.; Thimmaiah, S.; Mudipalli, J.R.R.; Pradeep, A.M.; Ramamurthy, S.; Iyengar, V.S. Experimental Investigation on the Effect of Porosity of Bend Skewed Casing Treatment on a Single Stage Transonic Axial Flow Compressor. In Proceedings of the ASME Turbo Expo 2014: Turbine Technical Conference and Exposition, Düsseldorf, Germany, 16–20 June 2014; Volume 2A: Turbomachinery. [Google Scholar]














| Aerodynamic Parameter | Value |
|---|---|
| Design speed (rpm) | 2930 |
| Design mass flow (kg/s) | 6.5 |
| Design efficiency | 92% |
| Pressure ratio | 1.0267 |
| Geometrical Parameter | Rotor | Stator |
|---|---|---|
| Number of blades | 20 | 27 |
| Aspect ratio | 1.18 | 1.40 |
| Tip clearance (mm) | 0.6 | 0.5 |
| Tip diameter (mm) | 600 | 600 |
| Hub clearance (mm) | 346 | 401 |
| Stagger angle at hub (°) | 45 | 0 |
| Symbol | Value | Parameter |
|---|---|---|
| t | 0.2 | Throat width and depth ratio |
| h | 0.35 | Control port height and depth ratio |
| w1 | 1 | Outlet width and depth ratio |
| w2 | 12 | Outlet distance and depth ratio |
| L1 | 40 | Oscillator height and depth ratio |
| L2 | 20 | Oscillator width and depth ratio |
Publisher’s Note: MDPI stays neutral with regard to jurisdictional claims in published maps and institutional affiliations. |
© 2022 by the authors. Licensee MDPI, Basel, Switzerland. This article is an open access article distributed under the terms and conditions of the Creative Commons Attribution (CC BY) license (https://creativecommons.org/licenses/by/4.0/).
Share and Cite
Liu, Z.; Pan, T.; Wang, S.; Yan, Z. Characteristics of a Fluidic Oscillator with Low Frequency and Low Speed and Its Application to Stall Margin Improvement. Actuators 2022, 11, 341. https://doi.org/10.3390/act11120341
Liu Z, Pan T, Wang S, Yan Z. Characteristics of a Fluidic Oscillator with Low Frequency and Low Speed and Its Application to Stall Margin Improvement. Actuators. 2022; 11(12):341. https://doi.org/10.3390/act11120341
Chicago/Turabian StyleLiu, Zhuoqi, Tianyu Pan, Shiqi Wang, and Zhaoqi Yan. 2022. "Characteristics of a Fluidic Oscillator with Low Frequency and Low Speed and Its Application to Stall Margin Improvement" Actuators 11, no. 12: 341. https://doi.org/10.3390/act11120341
APA StyleLiu, Z., Pan, T., Wang, S., & Yan, Z. (2022). Characteristics of a Fluidic Oscillator with Low Frequency and Low Speed and Its Application to Stall Margin Improvement. Actuators, 11(12), 341. https://doi.org/10.3390/act11120341
