Kinetics of Biomarkers for Therapeutic Assessment in Swiss Mice Infected with a Virulent Trypanosoma cruzi Strain
Abstract
1. Introduction
2. Materials and Methods
3. Results
3.1. Parasite Dynamics and Burden Evaluation
3.2. Physiology, Behavior, and Systematic Pathology
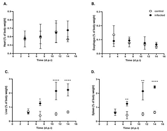
3.3. Tissue Damage
3.4. Hematological Profile
3.4.1. Peripheral White Cell Counts
3.4.2. Erythrocyte Parameters
3.4.3. Platelet Parameters
3.5. Immune Response (Cytokines)
3.6. Organ Macroscopy, Weight, and Parasite Presence
3.6.1. Tissue Weight
3.6.2. T. cruzi DNA Detection via cPCR
4. Discussion
5. Conclusions
Supplementary Materials
Author Contributions
Funding
Institutional Review Board Statement
Informed Consent Statement
Data Availability Statement
Acknowledgments
Conflicts of Interest
Abbreviations
| T. cruzi | Trypanosoma cruzi |
| d.p.i. | days post-infection |
References
- Lidani, K.C.F.; Andrade, F.A.; Bavia, L.; Damasceno, F.S.; Beltrame, M.H.; Messias-Reason, I.J.; Sandri, T.L. Chagas disease: From discovery to a worldwide health problem. Front. Public Health 2019, 7, 166. [Google Scholar] [CrossRef]
- de Araújo, C.A.; Mayer, C.; Waniek, P.J.; Azambuja, P.; Jansen, A.M. Differentiation of Trypanosoma cruzi I (TcI) and T. cruzi II (TcII) genotypes using genes encoding serine carboxypeptidases. Parasitol. Res. 2016, 115, 4211–4219. [Google Scholar] [CrossRef]
- Zingales, B.; Andrade, S.G.; Briones, M.R.; Campbell, D.A.; Chiari, E.; Fernandes, O.; Guhl, F.; Lages-Silva, E.; Macedo, A.M.; Machado, C.R.; et al. A new consensus for Trypanosoma cruzi intraspecific nomenclature: Second revision meeting recommends TcI to TcVI. Mem. Inst. Oswaldo Cruz. 2009, 104, 1051–1054. [Google Scholar] [CrossRef] [PubMed]
- Brenière, S.F.; Waleckx, E.; Barnabé, C. Over six thousand Trypanosoma cruzi strains classified into discrete typing units (DTUs): Attempt at an inventory. PLoS Negl. Trop. Dis. 2016, 10, e0004792. [Google Scholar] [CrossRef] [PubMed]
- Andrade, S.G.; Figueira, R.M.; Carvalho, M.L.; Gorini, D.F. Influência da cepa do Trypanosoma cruzi na resposta à terapêutica experimental pelo Bay 2502. Rev. Inst. Med. Trop. São Paulo 1975, 17, 330–339. [Google Scholar]
- De Castro, S.L.; De Meirelles, M.N. Effect of drugs on Trypanosoma cruzi and on its interaction with heart muscle cell “in vitro”. Mem. Inst. Oswaldo Cruz 1987, 82, 209–218. [Google Scholar] [CrossRef]
- Melo, R.C.; Brener, Z. Tissue tropism of different Trypanosoma cruzi strains. J. Parasitol. 1978, 64, 475–482. [Google Scholar] [CrossRef]
- Neal, R.A.; Van Bueren, J. Comparative studies of drug susceptibility of five strains of Trypanosoma cruzi in vivo and in vitro. Trans. R. Soc. Trop. Med. Hyg. 1988, 82, 709–714. [Google Scholar] [CrossRef]
- Roval, L.E.; Aoki, A.; Gerez de Burgos, N.M.; Blanco, A. Effect of Gossypol on trypomastigotes and amastigotes of Trypanosoma cruzi. J. Protozool. 1990, 37, 280–286. [Google Scholar] [CrossRef]
- Shelly, E.M.; Acuna-Soto, R.; Ernst, K.C.; Sterling, C.R.; Brown, H.E. A critical assessment of officially reported Chagas disease surveillance data in Mexico. Public Health Rep. 2016, 131, 59–66. [Google Scholar] [CrossRef]
- World Health Organization. Chagas Disease (Also Known as American Trypanosomiasis). Available online: https://www.who.int/news-room/fact-sheets/detail/chagas-disease-(american-trypanosomiasis) (accessed on 1 August 2025).
- Queiroga, T.B.D.; Pereira, N.S.; da Silva, D.D.; Andrade, C.M.; de Araújo Júnior, R.F.; Brito, C.R.D.N.; Galvão, L.M.D.C.; da Câmara, A.C.J.; Nascimento, M.S.L.; Guedes, P.M.M. Virulence of Trypanosoma cruzi Strains Is Related to the Differential Expression of Innate Immune Receptors in the Heart. Front. Cell Infect. Microbiol. 2021, 11, 696719. [Google Scholar] [CrossRef]
- Henriques-Pons, A.; Oliveira, G.M.; Paiva, M.M.; Correa, A.F.; Batista, M.M.; Bisaggio, R.C.; Liu, C.C.; Cotta-De-Almeida, V.; Coutinho, C.M.; Persechini, P.M.; et al. Evidence for a perforin-mediated mechanism controlling cardiac inflammation in Trypanosoma cruzi infection. Int. J. Exp. Pathol. 2002, 83, 67–79. [Google Scholar] [CrossRef] [PubMed]
- Osorio, L.; Ríos, I.; Gutiérrez, B.; González, J. Virulence factors of Trypanosoma cruzi: Who is who? Microbes Infect. 2012, 14, 1390–1402. [Google Scholar] [CrossRef] [PubMed]
- Amato Neto, V. Origin of the “Y strain” of Trypanosoma cruzi. Rev. Inst. Med. Trop. São Paulo 2010, 52, 171. [Google Scholar] [CrossRef]
- Tuttle, A.H.; Philip, V.M.; Chesler, E.J.; Mogil, J.S. Comparing phenotypic variation between inbred and outbred mice. Nat. Methods 2018, 15, 994–996. [Google Scholar] [CrossRef]
- McCormick, D.L. Chapter 12—Preclinical Evaluation of Carcinogenicity Using Standard-Bred and Genetically Engineered Rodent Models. In A Comprehensive Guide to Toxicology in Nonclinical Drug Development, 3rd ed.; Faqi, A.S., Ed.; Academic Press: Cambridge, MA, USA, 2024; pp. 285–305. ISBN 9780323857048. [Google Scholar] [CrossRef]
- Enriquez, J.; Mims, B.M.D.; Trasti, S.; Furr, K.L.; Grisham, M.B. Genomic, microbial and environmental standardization in animal experimentation limiting immunological discovery. BMC Immunol. 2020, 21, 50. [Google Scholar] [CrossRef]
- Sunagar, R.; Kumar, S.; Namjoshi, P.; Rosa, S.J.; Hazlett, K.R.O.; Gosselin, E.J. Evaluation of an outbred mouse model for Francisella tularensis vaccine development and testing. PLoS ONE 2018, 13, e0207587. [Google Scholar] [CrossRef]
- Martin, M.D.; Danahy, D.B.; Hartwig, S.M.; Harty, J.T.; Badovinac, V.P. Revealing the Complexity in CD8 T Cell Responses to Infection in Inbred C57B/6 versus Outbred Swiss Mice. Front. Immunol. 2017, 8, 1527. [Google Scholar] [CrossRef]
- Berton, R.R.; Jensen, I.J.; Harty, J.T.; Griffith, T.S.; Badovinac, V.P. Inflammation Controls Susceptibility of Immune-Experienced Mice to Sepsis. Immunohorizons 2022, 6, 528–542. [Google Scholar] [CrossRef]
- Andrade, L.O.; Machado, C.R.; Chiari, E.; Pena, S.D.; Macedo, A.M. Trypanosoma cruzi: Role of host genetic background in the differential tissue distribution of parasite clonal populations. Exp. Parasitol. 2002, 100, 269–275. [Google Scholar] [CrossRef]
- Rice, M.; O’Brien, S. Genetic variance of laboratory outbred Swiss mice. Nature 1980, 283, 157–161. [Google Scholar] [CrossRef]
- Chia, R.; Achilli, F.; Festing, M.; Fisher, E.M.C. The origins and uses of mouse outbred stocks. Nat. Genet. 2005, 37, 1181–1186. [Google Scholar] [CrossRef]
- Romanha, A.J.; Castro, S.L.; Soeiro Mde, N.; Lannes-Vieira, J.; Ribeiro, I.; Talvani, A.; Bourdin, B.; Blum, B.; Olivieri, B.; Zani, C.; et al. In vitro and in vivo experimental models for drug screening and development for Chagas disease. Mem. Inst. Oswaldo Cruz 2010, 105, 233–238. [Google Scholar] [CrossRef] [PubMed]
- Endelman, J.B. Genomic prediction of heterosis, inbreeding control, and mate allocation in outbred diploid and tetraploid populations. Genetics 2025, 229, iyae193. [Google Scholar] [CrossRef] [PubMed]
- Piron, M.; Fisa, R.; Casamitjana, N.; López-Chejade, P.; Puig, L.; Vergés, M.; Gascón, J.; Gómez i Prat, J.; Portús, M.; Sauleda, S. Development of a real-time PCR assay for Trypanosoma cruzi detection in blood samples. Acta Trop. 2007, 103, 195–200. [Google Scholar] [CrossRef] [PubMed]
- Mariano, F.S.; Gutierrez, F.R.; Pavanelli, W.R.; Milanezi, C.M.; Cavassani, K.A.; Moreira, A.P.; Ferreira, B.R.; Cunha, F.Q.; Cardoso, C.R.; Silva, J.S. The involvement of CD4+CD25+ T cells in the acute phase of Trypanosoma cruzi infection. Microbes Infect. 2008, 10, 825–833. [Google Scholar] [CrossRef]
- Mateus, J.; Guerrero, P.; Lasso, P.; Cuervo, C.; González, J.M.; Puerta, C.J.; Cuéllar, A. An animal model of acute and chronic Chagas disease with the reticulotropic Y strain of Trypanosoma cruzi that depicts the multifunctionality and dysfunctionality of T cells. Front. Immunol. 2019, 10, 918. [Google Scholar] [CrossRef]
- Martín-Escolano, J.; Marín, C.; Rosales, M.J.; Tsaousis, A.D.; Medina-Carmona, E.; Martín-Escolano, R. An updated view of the Trypanosoma cruzi life cycle: Intervention points for an effective treatment. ACS Infect. Dis. 2022, 8, 1107–1115. [Google Scholar] [CrossRef]
- Guerra-Slompo, E.P.; Picchi-Constante, G.F.A.; Marek, M.; Romier, C.; Sippl, W.; Zanchin, N.I.T. In cellulo and in vivo assays for compound testing against Trypanosoma cruzi. STAR Protoc. 2023, 4, 102058. [Google Scholar] [CrossRef]
- Sowunmi, A.; Gbotosho, G.O.; Happi, C.T.; Folarin, O.; Okuboyejo, T.; Michael, O.; Fatunmbi, B. Use of area under the curve to evaluate the effects of antimalarial drugs on malaria-associated anemia after treatment. Am. J. Ther. 2011, 18, 190–197. [Google Scholar] [CrossRef]
- Santi-Rocca, J.; Fernandez-Cortes, F.; Chillón-Marinas, C.; González-Rubio, M.L.; Martin, D.; Gironès, N.; Fresno, M. A multi-parametric analysis of Trypanosoma cruzi infection: Common pathophysiologic patterns beyond extreme heterogeneity of host responses. Sci. Rep. 2017, 7, 8893. [Google Scholar] [CrossRef]
- Barnabé, C.; Mobarec, H.I.; Jurado, M.R.; Cortez, J.A.; Brenière, S.F. Reconsideration of the seven discrete typing units within the species Trypanosoma cruzi: A new proposal of three reliable mitochondrial clades. Infect. Genet. Evol. 2016, 39, 176–186. [Google Scholar] [CrossRef]
- Aleixo, D.L.; Ferraz, F.N.; Ferreira, E.C.; de Lana, M.; Gomes, M.L.; de Abreu Filho, B.A.; de Araújo, S.M. Highly diluted medication reduces parasitemia and improves experimental infection evolution by Trypanosoma cruzi. BMC Res. Notes 2012, 5, 352. [Google Scholar] [CrossRef][Green Version]
- Telleria, J.; Costales, J.A. An overview of Trypanosoma cruzi biology through the lens of proteomics: A review. Pathogens 2025, 14, 337. [Google Scholar] [CrossRef] [PubMed]
- Barrera, Y.K.; Guevara, J.M.; Pavía, P.X.; Montilla, M.; Nicholls, R.S.; Parra, E.; Puerta, C.J. Evaluation of TcH2AF-R and S35-S36 primers in PCR tests for the detection of Trypanosoma cruzi in mouse cardiac tissue. Biomedica 2008, 28, 616–626. [Google Scholar] [PubMed]
- de Souza, W.; de Carvalho, T.M.U. Ultrastructure of Trypanosoma cruzi and its interaction with host cells. In American Trypanosomiasis, 1st ed.; Telleria, J., Tibayrenc, M., Eds.; Elsevier: Amsterdam, The Netherlands, 2010; pp. 393–432. [Google Scholar] [CrossRef]
- Kroll-Palhares, K.; Silvério, J.C.; Silva, A.A.; Michailowsky, V.; Marino, A.P.; Silva, N.M.; Carvalho, C.M.; Pinto, L.M.; Gazzinelli, R.T.; Lannes-Vieira, J. TNF/TNFR1 signaling up-regulates CCR5 expression by CD8+ T lymphocytes and promotes heart tissue damage during Trypanosoma cruzi infection: Beneficial effects of TNF-alpha blockade. Mem. Inst. Oswaldo Cruz 2008, 103, 375–385. [Google Scholar] [CrossRef]
- Carvalho, C.M.; Silverio, J.C.; da Silva, A.A.; Pereira, I.R.; Coelho, J.M.; Britto, C.C.; Moreira, O.C.; Marchevsky, R.S.; Xavier, S.S.; Gazzinelli, R.T.; et al. Inducible nitric oxide synthase in heart tissue and nitric oxide in serum of Trypanosoma cruzi-infected rhesus monkeys: Association with heart injury. PLoS Negl. Trop. Dis. 2012, 6, e1644. [Google Scholar] [CrossRef]
- Mercado, T.I.; Garbus, J. Creatine phosphokinase isoenzymes and Trypanosoma cruzi infections. Comp. Biochem. Physiol. B 1979, 64, 11–15. [Google Scholar] [CrossRef]
- Erdmann, H.; Behrends, J.; Hölscher, C. During acute experimental infection with the reticulotropic Trypanosoma cruzi strain Tulahuen IL-22 is induced IL-23-dependently but is dispensable for protection. Sci. Rep. 2016, 6, 32927. [Google Scholar] [CrossRef]
- de Diego, J.A.; Penin, P.; del Rey, J.; Mayer, R.; Gamallo, C. A comparative pathological study of three strains of Trypanosoma cruzi in an experimental model. Histol. Histopathol. 1991, 6, 199–206. [Google Scholar]
- da Cunha, G.M.R.; Azevedo, M.A.; Nogueira, D.S.; de Carvalho Clímaco, M.; Ayala, E.V.; Chunga, J.A.J.; La Valle, R.J.Y.; da Cunha Galvão, L.M.; Chiari, E.; Brito, C.R.N.; et al. α-Gal immunization positively impacts Trypanosoma cruzi colonization of heart tissue in a mouse model. PLoS Neglected Trop. Dis. 2021, 15, e0009613. [Google Scholar] [CrossRef]
- de Lima Pereira Dos Santos, C.; Vacani-Martins, N.; Cascabulho, C.M.; Pereira, M.C.S.; Crispe, I.N.; Henriques-Pons, A. In the acute phase of Trypanosoma cruzi infection, liver lymphoid and myeloid cells display an ambiguous phenotype combining pro- and anti-inflammatory markers. Front. Immunol. 2022, 13, 868574. [Google Scholar] [CrossRef] [PubMed]
- Duz, A.L.; Vieira, P.M.; Roatt, B.M.; Aguiar-Soares, R.D.; Cardoso, J.M.; Oliveira, F.C.; Reis, L.E.; Tafuri, W.L.; Veloso, V.M.; Reis, A.B.; et al. The TcI and TcII Trypanosoma cruzi experimental infections induce distinct immune responses and cardiac fibrosis in dogs. Mem. Inst. Oswaldo Cruz 2014, 109, 1005–1013. [Google Scholar] [CrossRef] [PubMed]
- Villalba-Alemán, E.; Justinico, D.L.; Sarandy, M.M.; Novaes, R.D.; Freitas, M.B.; Gonçalves, R.V. Haematological alterations in non-human hosts infected with Trypanosoma cruzi: A systematic review. Parasitology 2018, 146, 142–160. [Google Scholar] [CrossRef]
- Calabrese, K.S.; Lagrange, P.H.; Da Costa, S.C. Chagas’ disease: Enhancement of systemic inflammatory reaction in cyclophosphamide treated mice. Int. J. Immunopharmacol. 1996, 18, 505–514. [Google Scholar] [CrossRef]
- Domingues, C.S.; Hardoim, D.J.; Souza, C.S.; Cardoso, F.O.; Mendes, V.G.; Previtalli-Silva, H.; Abreu-Silva, A.L.; Pelajo-Machado, M.; da Costa, G.S.C.; Calabrese, K.S. Oral Outbreak of Chagas Disease in Santa Catarina, Brazil: Experimental Evaluation of a Patient’s Strain. PLoS ONE 2015, 10, e0122566. [Google Scholar] [CrossRef]
- Brener, Z.; Gazzinelli, R.T. Immunological control of Trypanosoma cruzi infection and pathogenesis of Chagas’ disease. Int. Arch. Allergy Immunol. 1997, 114, 103–110. [Google Scholar] [CrossRef]
- Umekita, L.F.; Mota, I. How are antibodies involved in the protective mechanism of susceptible mice infected with T. cruzi? Braz. J. Med. Biol. Res. 2000, 33, 253–258. [Google Scholar] [CrossRef]
- Camargo, I.J.B.; Araujo, P.M.F.; Sakurada, J.K.; Stach-machado, D.R.; Rancel, H.A.; Silva, P. Trypanosoma cruzi: Early resistance induced by culture derived trypomastigotes. Exp. Parasitol. 1991, 268, 260–268. [Google Scholar] [CrossRef]
- Bosurgi, L.; Cao, Y.G.; Cabeza-Cabrerizo, M.; Tucci, A.; Hughes, L.D.; Kong, Y.; Weinstein, J.S.; Licona-Limon, P.; Schmid, E.T.; Pelorosso, F.; et al. Macrophage function in tissue repair and remodeling requires IL-4 or IL-13 with apoptotic cells. Science 2017, 356, 1072–1076. [Google Scholar] [CrossRef]
- Choudhuri, S.; Garg, N.J. Trypanosoma cruzi induces the PARP1/AP-1 pathway for upregulation of metalloproteinases and transforming growth factor beta in macrophages: Role in cardiac fibroblast differentiation and fibrosis in Chagas disease. mBio 2020, 11, e01853-20. [Google Scholar] [CrossRef]
- Waghabi, M.C.; Ferreira, R.R.; Abreu, R.D.S.; Degrave, W.; de Souza, E.M.; Bailly, S.; Feige, J.J.; de Araújo-Jorge, T.C. Transforming growth factor-ß as a therapeutic target for the cardiac damage of Chagas disease. Mem. Inst. Oswaldo Cruz 2022, 117, e210395. [Google Scholar] [CrossRef]
- Cerbán, F.M.; Stempin, C.C.; Volpini, X.; Carrera Silva, E.A.; Gea, S.; Motran, C.C. Signaling pathways that regulate Trypanosoma cruzi infection and immune response. Biochim. Biophys. Acta Mol. Basis Dis. 2020, 1866, 165707. [Google Scholar] [CrossRef]
- Luna-Gomes, T.; Filardy, A.A.; Rocha, J.D.; Decote-Ricardo, D.; LaRocque-de-Freitas, I.F.; Morrot, A.; Bozza, P.T.; Castro-Faria-Neto, H.C.; DosReis, G.A.; Nunes, M.P.; et al. Neutrophils increase or reduce parasite burden in Trypanosoma cruzi-infected macrophages, depending on host strain: Role of neutrophil elastase. PLoS ONE 2014, 9, e90582. [Google Scholar] [CrossRef] [PubMed]
- Fu, L.M. The potential of human neutrophil peptides in tuberculosis therapy. Int. J. Tuberc. Lung Dis. 2003, 7, 1027–1031. [Google Scholar] [PubMed]
- Ribeiro-Gomes, F.L.; Otero, A.C.; Gomes, N.A.; Moniz-De-Souza, M.C.; Cysne-Finkelstein, L.; Arnholdt, A.C.; Calich, V.L.; Coutinho, S.G.; Lopes, M.F.; DosReis, G.A. Macrophage interactions with neutrophils regulate Leishmania major infection. J. Immunol. 2004, 172, 4454–4462. [Google Scholar] [CrossRef] [PubMed]
- Sousa-Rocha, D.; Thomaz-Tobias, M.; Diniz, L.F.; Souza, P.S.; Pinge-Filho, P.; Toledo, K.A. Trypanosoma cruzi and its soluble antigens induce NET release by stimulating Toll-Like Receptors. PLoS ONE 2015, 10, e0139569. [Google Scholar] [CrossRef]
- Sanoja, C.; Carbajosa, S.; Fresno, M.; Gironès, N. Analysis of the dynamics of infiltrating CD4(+) T cell subsets in the heart during experimental Trypanosoma cruzi infection. PLoS ONE 2013, 8, e65820. [Google Scholar] [CrossRef]
- Malvezi, A.D.; Cecchini, R.; de Souza, F.; Tadokoro, C.E.; Rizzo, L.V.; Pinge-Filho, P. Involvement of nitric oxide (NO) and TNF-alpha in the oxidative stress associated with anemia in experimental Trypanosoma cruzi infection. FEMS Immunol. Med. Microbiol. 2004, 41, 69–77. [Google Scholar] [CrossRef]
- Santos, C.D.; Levy, A.M.A.; Toldo, M.P.A.; Azevedo, A.P.; Júnior, J.C. Haematological and histopathological findings after ovariectomy in Trypanosoma cruzi infected mice. Vet. Parasitol. 2007, 143, 222–228. [Google Scholar] [CrossRef]
- Marcondes, M.C.; Borelli, P.; Yoshida, N.; Russo, M. Acute Trypanosoma cruzi infection is associated with anemia, thrombocytopenia, leukopenia, and bone marrow hypoplasia: Reversal by nifurtimox treatment. Microbes Infect. 2000, 2, 347–352. [Google Scholar] [CrossRef] [PubMed]
- Tribulatti, M.V.; Mucci, J.; Van Rooijen, N.; Leguizamon, M.S.; Campetella, O. The trans-sialidase from Trypanosoma cruzi induces thrombocytopenia during acute Chagas’ disease by reducing the platelet sialic acid contents. Infect. Immun. 2005, 73, 201–207. [Google Scholar] [CrossRef] [PubMed]
- de Bruin, A.M.; Voermans, C.; Nolte, M.A. Impact of interferon-γ on hematopoiesis. Blood 2014, 124, 2479–2486. [Google Scholar] [CrossRef] [PubMed]
- Pinazo, M.J.; Posada Ede, J.; Izquierdo, L.; Tassies, D.; Marques, A.F.; de Lazzari, E.; Aldasoro, E.; Muñoz, J.; Abras, A.; Tebar, S.; et al. Altered hypercoagulability factors in patients with chronic Chagas disease: Potential biomarkers of therapeutic response. PLoS Negl. Trop. Dis. 2016, 10, e0004269. [Google Scholar] [CrossRef]
- Laucella, S.A.; Segura, E.L.; Riarte, A.; Sosa, E.S. Soluble platelet selectin (sP-selectin) and soluble vascular cell adhesion molecule-1 (sVCAM-1) decrease during therapy with benznidazole in children with indeterminate form of Chagas’ disease. Clin. Exp. Immunol. 1999, 118, 423–427. [Google Scholar] [CrossRef]
- Choudhuri, S.; Garg, N.J. Platelets, macrophages, and thromboinflammation in Chagas disease. J. Inflamm. Res. 2022, 15, 5689–5706. [Google Scholar] [CrossRef]
- Tanowitz, H.B.; Burns, E.R.; Sinha, A.K.; Tanowitz, H.B. Enhanced platelet adherence and aggregation in Chagas’ disease: A potential pathogenic mechanism for cardiomyopathy. Am. J. Trop. Med. Hyg. 1990, 43, 274–281. [Google Scholar] [CrossRef]
- Herrera, R.N.; Diaz, E.; Perez, R.; Herrera, R.N. Estado protrombótico en estadios tempranos de la enfermedad de Chagas crónica. Rev. Esp. Cardiol. 2003, 56, 377–382. [Google Scholar] [CrossRef]
- Herrera, R.N.; Berman, S.G.; Luciardi, H.L. Evidence of a prothrombotic state in early stages of chronic Chagas’ disease. Arch. Cardiol. Mex. 2004, 74, 259–261. [Google Scholar]
- Zenewicz, L.A.; Yancopoulos, G.D.; Valenzuela, D.M.; Murphy, A.J.; Stevens, S.; Flavell, R.A. Innate and adaptive interleukin-22 protects mice from inflammatory bowel disease. Immunity 2008, 29, 947–957. [Google Scholar] [CrossRef]
- Ferreira, B.L.; Ferreira, É.R.; de Brito, M.V.; Salu, B.R.; Oliva, M.L.V.; Mortara, R.A.; Orikaza, C.M. BALB/c and C57BL/6 mice cytokine responses to Trypanosoma cruzi infection are independent of parasite strain infectivity. Front. Microbiol. 2018, 9, 553. [Google Scholar] [CrossRef] [PubMed]
- Gimblet, C.; Loesche, M.A.; Carvalho, L.; Carvalho, E.M.; Grice, E.A.; Artis, D.; Scott, P. IL-22 protects against tissue damage during cutaneous leishmaniasis. PLoS ONE 2015, 10, e0134698. [Google Scholar] [CrossRef] [PubMed]
- Dhiman, R.; Indramohan, M.; Barnes, P.F.; Nayak, R.C.; Paidipally, P.; Rao, L.V.; Vankayalapati, R. IL-22 produced by human NK cells inhibits growth of Mycobacterium tuberculosis by enhancing phagolysosomal fusion. J. Immunol. 2009, 183, 6639–6645. [Google Scholar] [CrossRef] [PubMed]
- Basu, R.; O’Quinn Darrell, B.; Silberger, D.J.; Schoeb, T.R.; Fouser, L.; Ouyang, W. Th22 cells are an important source of IL-22 for host protection against enteropathogenic bacteria. Immunity 2012, 37, 1061–1075. [Google Scholar] [CrossRef]
- Radaeva, S.; Sun, R.; Pan, H.N.; Hong, F.; Gao, B. Interleukin 22 (IL-22) plays a protective role in T cell-mediated murine hepatitis: IL-22 is a survival factor for hepatocytes via STAT3 activation. Hepatology 2004, 39, 1332–1342. [Google Scholar] [CrossRef]
- Cua, D.J.; Tato, C.M. Innate IL-17-producing cells: The sentinels of the immune system. Nat. Rev. Immunol. 2010, 10, 479–489. [Google Scholar] [CrossRef]
- Sutton, C.E.; Mielke, L.A.; Mills, K.H. IL-17-producing gammadelta T cells and innate lymphoid cells. Eur. J. Immunol. 2012, 42, 2221–2231. [Google Scholar] [CrossRef]
- Li, L.; Huang, L.; Vergis, A.L.; Ye, H.; Bajwa, A.; Narayan, V.; Strieter, R.M.; Rosin, D.L.; Okusa, M.D. IL-17 produced by neutrophils regulates IFN-gamma-mediated neutrophil migration in mouse kidney ischemia-reperfusion injury. J. Clin. Investig. 2010, 120, 331–342. [Google Scholar] [CrossRef]
- Boari, J.T.; Amezcua Vesely, M.C.; Bermejo, D.A.; Ramello, M.C.; Montes, C.L.; Cejas, H.; Gruppi, A.; Acosta Rodríguez, E.V. IL-17RA signaling reduces inflammation and mortality during Trypanosoma cruzi infection by recruiting suppressive IL-10-producing neutrophils. PLoS Pathog. 2012, 8, e1002658. [Google Scholar] [CrossRef]
- Vesely, A.M.C.; Rodríguez, C.; Gruppi, A.; Acosta Rodríguez, E.V. Interleukin-17 mediated immunity during infections with Trypanosoma cruzi and other protozoans. Biochim. Biophys. Acta Mol. Basis Dis. 2020, 1866, 165706. [Google Scholar] [CrossRef]
- Sanmarco, L.M.; Ponce, N.E.; Visconti, L.M.; Eberhardt, N.; Theumer, M.G.; Minguez, Á.R.; Aoki, M.P. IL-6 promotes M2 macrophage polarization by modulating purinergic signaling and regulates the lethal release of nitric oxide during Trypanosoma cruzi infection. Biochim. Biophys. Acta Mol. Basis Dis. 2017, 1863, 857–869. [Google Scholar] [CrossRef]
- Gazzinelli, R.T.; Oswald, I.P.; Hieny, S.; James, S.L.; Sher, A. The microbicidal activity of interferon-gamma-treated macrophages against Trypanosoma cruzi involves an L-arginine-dependent, nitrogen oxide-mediated mechanism inhibitable by interleukin-10 and transforming growth factor-beta. Eur. J. Immunol. 1992, 22, 2501–2506. [Google Scholar] [CrossRef]
- Vespa, G.N.; Cunha, F.Q.; Silva, J.S. Nitric oxide is involved in control of Trypanosoma cruzi-induced parasitemia and directly kills the parasite in vitro. Infect. Immun. 1994, 62, 5177–5182. [Google Scholar] [CrossRef]










| Primer Name | Sequence a (5’–3’) | Nucleotide Position b |
|---|---|---|
| Cruzi 1 (forward) | ASTCGGCTGATCGTTTTCGA | 27–46 |
| Cruzi 2 (reverse) | AATTCCTCCAAGCAGCGGATA | 172–192 |
| d.p.i | Water Consumption/Day/Mouse * mL | Food Intake/Day/Mouse * (g) | ||
|---|---|---|---|---|
| Control (n = 6) | Infected (n = 9) | Control (n = 6) | Infected (n = 9) | |
| 8 | 3.5 | 3.65 | 2.7 | 3.2 |
| 14 | 2.5 | 2.6 | 4.2 | 4.4 |
| Serum Cytokine Levels | |||||||||
|---|---|---|---|---|---|---|---|---|---|
| d.p.i | 4 | 7 | 11 | 14 | p Value | ||||
| Cytokine | Control (n = 3) | Infected (n = 3) | Control (n = 4) | Infected (n = 3) | Control (n = 4) | Infected (n = 3) | Control (n = 3) | Infected (n = 5) | Infected vs. Control at Each Time Point |
| IL-22 | 5.23 ± 0.69 | * 11.94 ± 3.68 | 5.77 ± 1.21 | ** 16.43 ± 2.71 | 13.7 ± 4.63 | 8.12 ± 2.212 | 3.22 ± 2.16 | 8.75 ± 6.45 | ** p < 0.001 * p < 0.05 |
| IL-17 | 5.85 ± 0.96 | 4.53 ± 0.81 | 5.38 ± 1.94 | 5.24 ± 0.91 | 7.94 ± 1.84 | 6.07 ± 0.81 | 6.04 ± 1.48 | 6.22 ± 1.47 | NS |
| TNF-α | <1170 | <1170 | <1170 | <1170 | <1170 | <1170 | <1170 | <1170 | NS |
| INF-γ | <255.4 | 819 ± 1127 | <255.4 | **** 36,077 ± 2845 | <255.4 | * 16,350 ± 7563 | <255.4 | 368.8 ± 284 | **** p < 0.0001 * p < 0.05 |
| IL-2 | 182.19 | 182.19 | 182.19 | 182.19 | 182.19 | 182.19 | 182.19 | 182.19 | NS |
| IL-4 | <387.65 | <387.65 | <387.65 | <387.65 | <387.65 | <387.65 | <387.65 | <387.65 | NS |
| IL-5 | <488.5 | <488.5 | <488.5 | <488.5 | <488.5 | <488.5 | <488.5 | <488.5 | NS |
| IL-6 | <442.6 | <442.6 | <442.6 | * 685.2 ± 265.7 | <442.6 | <442.6 | <442.6 | 523.5 ± 198 | * p < 0.05 |
| IL-10 | 248.75 | 248.75 | 248.75 | 248.75 | 248.75 | 248.75 | 248.75 | 248.75 | NS |
| IL-13 | <595.23 | <595.23 | <595.23 | <595.23 | <595.23 | <595.23 | <595.23 | <595.23 | NS |
| T. cruzi Positive Organs | ||||||
|---|---|---|---|---|---|---|
| d.p.i | 4 | 7 | 11 | 14 | Controls | |
| Tissue | n Positive/n Total (96) | Negative | Positive | |||
| Esophagus | 3/3 (100) | 3/3 (100) | 5/5 (100) | 7/7 (100) | 0/4 (0) | 2/2 (100) |
| Colon | 3/3 (100) | 4/4 (100) | 5/5 (100) | 7/7 (100) | 0/4 (0) | 2/2 (100) |
| Liver | 2/3 (66) | 3/4 (75) | 4/5 (80) | 6/7 (86) | 0/4 (0) | 2/2 (100) |
| spleen | 2/3(66) | 4/4 (100) | 5/5(100) | 7/7 (100) | 0/4 (0) | 2/2 (100) |
| Heart | 0/3 (0) | 3/4(75) | 4/5 (60) | 6/7 (85.7) | 0/4 (0) | 2/2 (100) |
| Days Post Infection | ||||||||||||
|---|---|---|---|---|---|---|---|---|---|---|---|---|
| 0 | 4 | 5 | 7 | 8 | 9 | 10 | 11 | 12 | 13 | 14 | 17 | |
| Parasitemia | + | + | + | + | + | + | ||||||
| Clinical Symptoms | + | + | ||||||||||
| Weight | − | |||||||||||
| Functional Markers | ||||||||||||
| ALT | + | |||||||||||
| CPK | + | + | + | + | ||||||||
| Hematological markers | ||||||||||||
| Absolute monocytes | + | + | + | |||||||||
| Percent Monocytes | + | + | ||||||||||
| Percent granulocytes | + | |||||||||||
| Percent lymphocytes | − | − | ||||||||||
| Platelets | − | − | ||||||||||
| Plateletcrit | − | − | − | |||||||||
| Th1/Th2 cytokines | ||||||||||||
| IL-6 | + | |||||||||||
| IFN-γ | + | + | ||||||||||
| Th17 cytokines | ||||||||||||
| IL-22 | + | + | + | |||||||||
| Organ Necropsis | ||||||||||||
| Liver size | + | |||||||||||
| Esophagus caliber | + | |||||||||||
| Spleen size | + | |||||||||||
| Organ weight | ||||||||||||
| Liver | + | + | + | + | ||||||||
| Spleen | + | + | + | |||||||||
| Organ PCR Positivity % | ||||||||||||
| Esophagus | 100 | 100 | 100 | 100 | ||||||||
| Colon | 100 | 100 | 100 | 100 | ||||||||
| Spleen | 66 | 100 | 100 | 100 | ||||||||
| Liver | 33 | 75 | 80 | 86 | ||||||||
| Heart | 75 | 60 | 86 | |||||||||
Disclaimer/Publisher’s Note: The statements, opinions and data contained in all publications are solely those of the individual author(s) and contributor(s) and not of MDPI and/or the editor(s). MDPI and/or the editor(s) disclaim responsibility for any injury to people or property resulting from any ideas, methods, instructions or products referred to in the content. |
© 2026 by the authors. Licensee MDPI, Basel, Switzerland. This article is an open access article distributed under the terms and conditions of the Creative Commons Attribution (CC BY) license.
Share and Cite
Alves-Rosa, M.F.; Dorta, D.; Prescilla-Ledezma, A.; Carrasco, J.; Bonner, L.; Tamayo, J.J.; Ng, M.G.; Vega, A.; Morales, M.; Beltran, D.; et al. Kinetics of Biomarkers for Therapeutic Assessment in Swiss Mice Infected with a Virulent Trypanosoma cruzi Strain. Pathogens 2026, 15, 107. https://doi.org/10.3390/pathogens15010107
Alves-Rosa MF, Dorta D, Prescilla-Ledezma A, Carrasco J, Bonner L, Tamayo JJ, Ng MG, Vega A, Morales M, Beltran D, et al. Kinetics of Biomarkers for Therapeutic Assessment in Swiss Mice Infected with a Virulent Trypanosoma cruzi Strain. Pathogens. 2026; 15(1):107. https://doi.org/10.3390/pathogens15010107
Chicago/Turabian StyleAlves-Rosa, María Fernanda, Doriana Dorta, Alexa Prescilla-Ledezma, Jafeth Carrasco, Leighanne Bonner, Jon J. Tamayo, Michelle G. Ng, Adelenis Vega, Melany Morales, Davis Beltran, and et al. 2026. "Kinetics of Biomarkers for Therapeutic Assessment in Swiss Mice Infected with a Virulent Trypanosoma cruzi Strain" Pathogens 15, no. 1: 107. https://doi.org/10.3390/pathogens15010107
APA StyleAlves-Rosa, M. F., Dorta, D., Prescilla-Ledezma, A., Carrasco, J., Bonner, L., Tamayo, J. J., Ng, M. G., Vega, A., Morales, M., Beltran, D., De Jesús, R., & Spadafora, C. (2026). Kinetics of Biomarkers for Therapeutic Assessment in Swiss Mice Infected with a Virulent Trypanosoma cruzi Strain. Pathogens, 15(1), 107. https://doi.org/10.3390/pathogens15010107

