Prevalence, Diversity, and Virulence of Campylobacter Carried by Migratory Birds at Four Major Habitats in China
Abstract
1. Introduction
2. Materials and Methods
2.1. Sample Collection
2.2. Total Nucleic Acid Extraction
2.3. Detection and Speciation of Campylobacter spp.
2.4. Detection of Anti-Microbial Resistance (AMR)
2.5. Detection of Virulence Genes
2.6. Identification of Migratory Bird Types
2.7. Statistical Analyses
3. Results
3.1. Migratory Bird Types Included in the Current Study
3.2. Prevalence of Campylobacter in Different Regions and Birds
3.3. Phylogenetic Analysis across Campylobacter Species in the Four Habitats
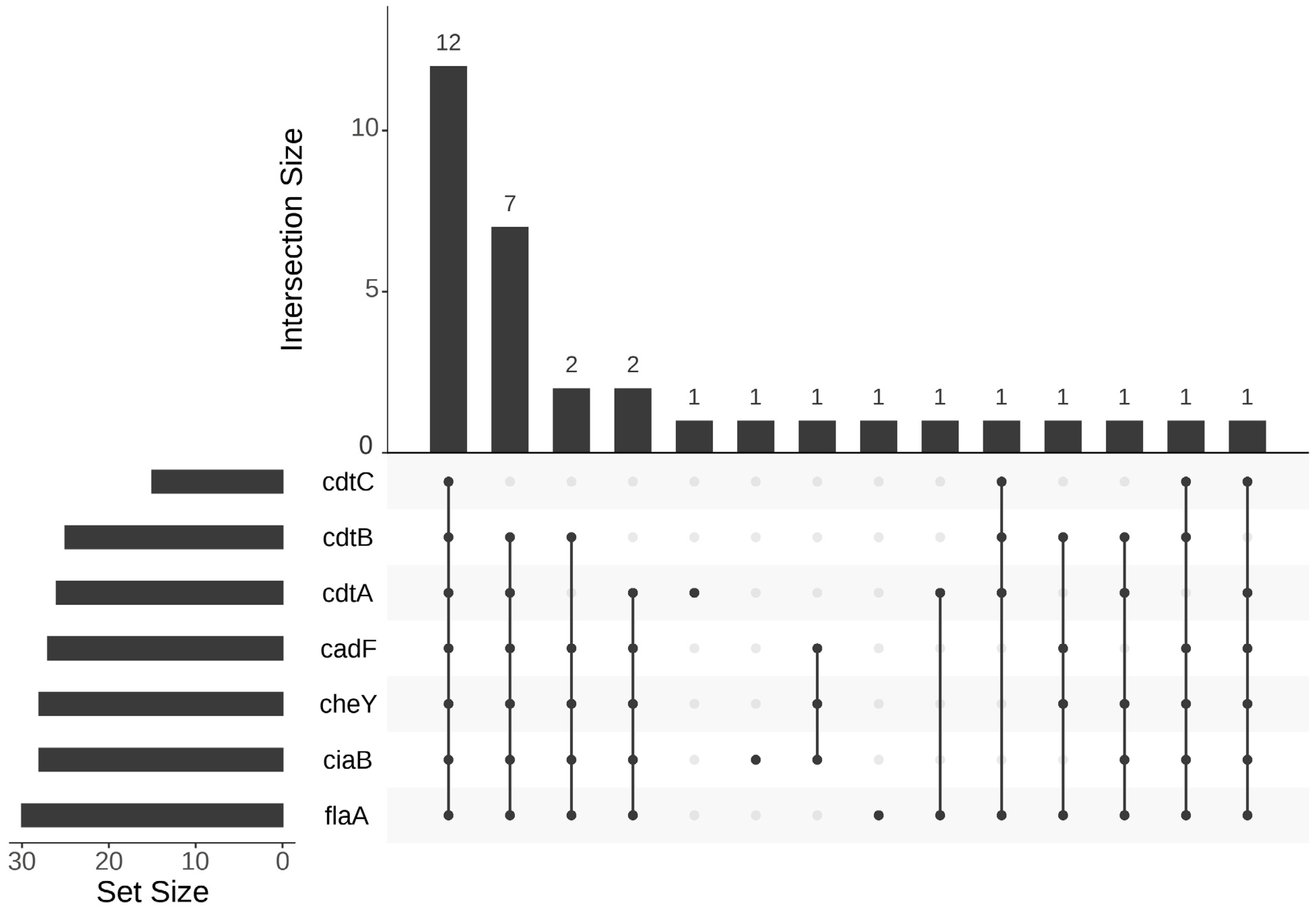
3.4. Detection of Virulence Genes in Known Campylobacter Species
3.5. Putative Virulence Determinants of Campylobacter sp. RM12651-like Samples
4. Discussion
Supplementary Materials
Author Contributions
Funding
Institutional Review Board Statement
Informed Consent Statement
Data Availability Statement
Acknowledgments
Conflicts of Interest
References
- Campylobacter. Available online: https://www.who.int/zh/news-room/fact-sheets/detail/campylobacter (accessed on 3 February 2024).
- Liu, J.; Platts-Mills, J.A.; Juma, J.; Kabir, F.; Nkeze, J.; Okoi, C.; Operario, D.J.; Uddin, J.; Ahmed, S.; Alonso, P.L.; et al. Use of quantitative molecular diagnostic methods to identify causes of diarrhoea in children: A reanalysis of the GEMS case-control study. Lancet 2016, 388, 1291–1301. [Google Scholar] [CrossRef]
- Kaakoush, N.O.; Castaño-Rodríguez, N.; Mitchell, H.M.; Man, S.I.M. Global Epidemiology of Campylobacter Infection. Clin. Microbiol. Rev. 2015, 28, 687–720. [Google Scholar] [CrossRef]
- Tack, D.M.; Marder, E.P.; Griffin, P.M.; Cieslak, P.R.; Dunn, J.; Hurd, S.; Scallan, E.; Lathrop, S.; Muse, A.; Ryan, P.; et al. Preliminary Incidence and Trends of Infections with Pathogens Transmitted Commonly Through Food—Foodborne Diseases Active Surveillance Network, 10 U.S. Sites, 2015–2018. Morb. Mortal. Wkly. Rep. 2019, 68, 369–373. [Google Scholar] [CrossRef] [PubMed]
- Joensen, K.G.; Schjørring, S.; Gantzhorn, M.R.; Vester, C.T.; Nielsen, H.L.; Engberg, J.H.; Holt, H.M.; Ethelberg, S.; Müller, L.; Sandø, G.; et al. Whole genome sequencing data used for surveillance of Campylobacter infections: Detection of a large continuous outbreak, Denmark, 2019. Euro Surveill. 2021, 26, 2001396. [Google Scholar] [CrossRef] [PubMed]
- Lakhan, C.; Badrie, N.; Ramsubhag, A.; Indar, L. Detection of Foodborne Pathogens in Acute Gastroenteritis Patient’s Stool Samples Using the BioFire® FilmArray® Gastrointestinal PCR Panel in the Republic of Trinidad and Tobago, West Indies. Microorganisms 2022, 10, 1601. [Google Scholar] [CrossRef] [PubMed]
- Zhou, K.; Hasegawa, A. Call for Experts on the Microbiological Risk Assessment of Non-Typhoidal Salmonella spp. and Campylobacter spp. in Poultry Meat. Available online: https://www.who.int/news-room/articles-detail/call-for-experts-on-the-microbiological-risk-assessment-of-non-typhoidal-salmonella-spp.-and-campylobacter-spp.-in-poultry-meat (accessed on 14 September 2023).
- WHO. WHO Estimates of the Global Burden of Foodborne Diseases Foodborne Diseases Burden Epidemiology Reference Group 2007–2015. Available online: https://www.who.int/publications/i/item/9789241565165 (accessed on 14 September 2023).
- Silva, W.C.; Targino, B.N.; Gonçalves, A.G.; Silva, M.R.; Hungaro, H.M. Chapter 13-Campylobacter: An Important Food Safety Issue. In Food Safety and Preservation: Modern Biological Approaches to Improving Consumer Health; Grumezescu, A.M., Holban, A.M., Eds.; Academic Press: Cambridge, MA, USA, 2018; pp. 391–430. [Google Scholar]
- Man, S.M. The clinical importance of emerging Campylobacter species. Nat. Rev. Gastroenterol. Hepatol. 2011, 8, 669–685. [Google Scholar] [CrossRef]
- Ngobese, B.; Zishiri, O.T.; El Zowalaty, M.E. Molecular detection of virulence genes in Campylobacter species isolated from livestock production systems in South Africa. J. Integr. Agric. 2020, 19, 1656–1670. [Google Scholar] [CrossRef]
- Costa, D.; Iraola, G. Pathogenomics of Emerging Campylobacter Species. Clin. Microbiol. Rev. 2019, 32, 100–128. [Google Scholar] [CrossRef] [PubMed]
- van den Berg, B.; Walgaard, C.; Drenthen, J.; Fokke, C.; Jacobs, B.C.; van Doorn, P.A. Guillain-Barre syndrome: Pathogenesis, diagnosis, treatment and prognosis. Nat. Rev. Neurol. 2014, 10, 469–482. [Google Scholar] [CrossRef] [PubMed]
- Tsiodras, S.; Kelesidis, T.; Kelesidis, I.; Bauchinger, U.; Falagas, M.E. Human infections associated with wild birds. J. Infect. 2008, 56, 83–98. [Google Scholar] [CrossRef]
- Wang, D.; Li, M.; Xiong, C.; Yan, Y.; Hu, J.; Hao, M.; Liang, B.; Chen, J.; Chen, G.; Yang, G.; et al. Ecology of avian influenza viruses in migratory birds wintering within the Yangtze River wetlands. Sci. Bull. 2021, 66, 2014–2024. [Google Scholar] [CrossRef]
- Mencattelli, G.; Ndione, M.H.D.; Silverj, A.; Diagne, M.M.; Curini, V.; Teodori, L.; Di Domenico, M.; Mbaye, R.; Leone, A.; Marcacci, M.; et al. Spatial and temporal dynamics of West Nile virus between Africa and Europe. Nat. Commun. 2023, 14, 6440. [Google Scholar] [CrossRef]
- Foti, M.; Daidone, A.; Aleo, A.; Pizzimenti, A.; Giacopello, C.; Mammina, C. Salmonella bongori48:z35:– in Migratory Birds, Italy. Emerg. Infect. Dis. 2009, 15, 502–503. [Google Scholar] [CrossRef] [PubMed]
- Graczyk, T.K.; Fayer, R.; Trout, J.M.; Lewis, E.J.; Farley, C.A.; Sulaiman, I.; Lal, A.A. Giardia sp. cysts and infectious Cryptosporidium parvum oocysts in the feces of migratory Canada geese (Branta canadensis). Appl. Environ. Microbiol. 1998, 64, 2736–2738. [Google Scholar] [CrossRef]
- Bosch, J.; Muñoz, M.J.; Martínez, M.; de la Torre, A.; Estrada-Peña, A. Vector-borne pathogen spread through ticks on migratory birds: A probabilistic spatial risk model for South-Western europe. Transbound. Emerg. Dis. 2013, 60, 403–415. [Google Scholar] [CrossRef] [PubMed]
- Li, X.; Tang, H.; Xu, Z.; Tang, H.; Fan, Z.; Jiao, X.; Huang, J. Prevalence and characteristics of Campylobacter from the genital tract of primates and ruminants in Eastern China. Transbound. Emerg. Dis. 2022, 69, e1892–e1898. [Google Scholar] [CrossRef]
- Li, X.; Xu, X.; Chen, X.; Li, Y.; Guo, J.; Gao, J.; Jiao, X.; Tang, Y.; Huang, J. Prevalence and genetic characterization of Campylobacter from clinical poultry cases in China. Microbiol. Spectr. 2023, 11, e0079723. [Google Scholar] [CrossRef]
- Bronzwaer, S. Harmonised monitoring of antimicrobial resistance in Salmonella and Campylobacter isolates from food animals in the European Union. Clin. Microbiol. Infect. 2008, 14, 522–533. [Google Scholar] [CrossRef] [PubMed]
- Schiaffino, F.; Platts-Mills, J.; Kosek, M.N. A One Health approach to prevention, treatment, and control of campylobacteriosis. Curr. Opin. Infect. Dis. 2019, 32, 453–460. [Google Scholar] [CrossRef]
- Lu, J.; Ryu, H.; Vogel, J.; Santo Domingo, J.; Ashbolt, N.J. Molecular detection of Campylobacter spp. and fecal indicator bacteria during the northern migration of sandhill cranes (Grus canadensis) at the central Platte River. Appl. Environ. Microbiol. 2013, 79, 3762–3769. [Google Scholar] [CrossRef]
- Indykiewicz, P.; Andrzejewska, M.; Minias, P.; Śpica, D.; Kowalski, J. Prevalence and Antibiotic Resistance of Campylobacter spp. in Urban and Rural Black-Headed Gulls Chroicocephalus ridibundus. EcoHealth 2021, 18, 147–156. [Google Scholar] [CrossRef]
- Du, J.; Luo, J.; Huang, J.; Wang, C.; Li, M.; Wang, B.; Wang, B.; Chang, H.; Ji, J.; Sen, K.; et al. Emergence of Genetic Diversity and Multi-Drug Resistant Campylobacter jejuni from Wild Birds in Beijing, China. Front. Microbiol. 2019, 10, 2433. [Google Scholar] [CrossRef]
- Zhang, J.; Jin, Z.; Sun, G.Q.; Sun, X.D.; Wang, Y.M.; Huang, B. Determination of original infection source of H7N9 avian influenza by dynamical model. Sci. Rep. 2014, 4, 4846. [Google Scholar] [CrossRef]
- Liu, J.; Gratz, J.; Amour, C.; Nshama, R.; Walongo, T.; Maro, A.; Mduma, E.; Platts-Mills, J.; Boisen, N.; Nataro, J.; et al. Optimization of Quantitative PCR Methods for Enteropathogen Detection. PLoS ONE 2016, 11, e0158199. [Google Scholar] [CrossRef]
- Pholwat, S.; Pongpan, T.; Chinli, R.; Rogawski McQuade, E.T.; Thaipisuttikul, I.; Ratanakorn, P.; Liu, J.; Taniuchi, M.; Houpt, E.R.; Foongladda, S. Antimicrobial Resistance in Swine Fecal Specimens Across Different Farm Management Systems. Front. Microbiol. 2020, 11, 1238. [Google Scholar] [CrossRef]
- Miller, W.G.; On, S.L.; Wang, G.; Fontanoz, S.; Lastovica, A.J.; Mandrell, R.E. Extended multilocus sequence typing system for Campylobacter coli, C. lari, C. upsaliensis, and C. helveticus. J. Clin. Microbiol. 2005, 43, 2315–2329. [Google Scholar] [CrossRef]
- Dingle, K.E.; Colles, F.M.; Wareing, D.R.; Ure, R.; Fox, A.J.; Bolton, F.E.; Bootsma, H.J.; Willems, R.J.; Urwin, R.; Maiden, M.C. Multilocus sequence typing system for Campylobacter jejuni. J. Clin. Microbiol. 2001, 39, 14–23. [Google Scholar] [CrossRef]
- Poudel, S.; Li, T.; Chen, S.; Zhang, X.; Cheng, W.H.; Sukumaran, A.T.; Kiess, A.S.; Zhang, L. Prevalence, Antimicrobial Resistance, and Molecular Characterization of Campylobacter Isolated from Broilers and Broiler Meat Raised without Antibiotics. Microbiol. Spectr. 2022, 10, e0025122. [Google Scholar] [CrossRef] [PubMed]
- de Melo, A.A.; Nunes, R.; Telles, M.P.d.C. Same information, new applications: Revisiting primers for the avian COI gene and improving DNA barcoding identification. Org. Divers. Evol. 2021, 21, 599–614. [Google Scholar] [CrossRef]
- Rossler, E.; Olivero, C.; Soto, L.P.; Frizzo, L.S.; Zimmermann, J.; Rosmini, M.R.; Sequeira, G.J.; Signorini, M.L.; Zbrun, M.V. Prevalence, genotypic diversity and detection of virulence genes in thermotolerant Campylobacter at different stages of the poultry meat supply chain. Int. J. Food Microbiol. 2020, 326, 108641. [Google Scholar] [CrossRef] [PubMed]
- Wei, B.; Kang, M.; Jang, H.K. Genetic characterization and epidemiological implications of Campylobacter isolates from wild birds in South Korea. Transbound. Emerg. Dis. 2019, 66, 56–65. [Google Scholar] [CrossRef]
- Miller, W.G.; Yee, E.; Jolley, K.A.; Chapman, M.H. Use of an improved atpA amplification and sequencing method to identify members of the Campylobacteraceae and Helicobacteraceae. Lett. Appl. Microbiol. 2014, 58, 582–590. [Google Scholar] [CrossRef] [PubMed]
- Konkel, M.E.; Talukdar, P.K.; Negretti, N.M.; Klappenbach, C.M. Taking Control: Campylobacter jejuni Binding to Fibronectin Sets the Stage for Cellular Adherence and Invasion. Front. Microbiol. 2020, 11, 564. [Google Scholar] [CrossRef]
- Bolton, D.J. Campylobacter virulence and survival factors. Food Microbiol. 2015, 48, 99–108. [Google Scholar] [CrossRef] [PubMed]
- Young, K.T.; Davis, L.M.; Dirita, V.J. Campylobacter jejuni: Molecular biology and pathogenesis. Nat. Rev. Microbiol. 2007, 5, 665–679. [Google Scholar] [CrossRef] [PubMed]
- Zhang, G.G.; Li, B.Y.; Raghwani, J.; Vrancken, B.; Jia, R.; Hill, S.C.; Fournie, G.; Cheng, Y.C.; Yang, Q.Q.; Wang, Y.X.; et al. Bidirectional Movement of Emerging H5N8 Avian Influenza Viruses Between Europe and Asia via Migratory Birds Since Early 2020. Mol. Biol. Evol. 2023, 40, msad019. [Google Scholar] [CrossRef] [PubMed]
- Liu, D.; Zhang, G.; Li, F.; Ma, T.; Lu, J.; Qian, F. A revised species population estimate for the Bar-headed Goose (Anser indicus). Avian Res. 2017, 8, 7. [Google Scholar] [CrossRef]
- Zhang, J.; Xie, Y.; Li, L.; Batbayar, N.; Deng, X.; Damba, I.; Meng, F.; Cao, L.; Fox, A.D. Assessing site-safeguard effectiveness and habitat preferences of Bar-headed Geese (Anser indicus) at their stopover sites within the Qinghai-Tibet Plateau using GPS/GSM telemetry. Avian Res. 2020, 11, 1–13. [Google Scholar] [CrossRef]
- Zhou, X.; Li, J.; Yang, H.; Zhang, X.; Wang, M.; Cao, S. Study on the Potential of World Natural Heritage in Xingkai Hu Nature Reserve, Heilongjiang Province. Nat. Herit. 2022, 7, 62–72. [Google Scholar] [CrossRef]
- Huajin, L.; Lu, W. Study on Waterbird Diversity by Season in Xingkai Lake National Nature Reserve, Heilongjiang Province, China. Chin. J. Wildl. 2016, 37, 221–227. [Google Scholar] [CrossRef]
- Fan, Y.; Zhou, L.; Cheng, L.; Song, Y.; Xu, W. Foraging behavior of the Greater White-fronted Goose (Anser albifrons) wintering at Shengjin Lake: Diet shifts and habitat use. Avian Res. 2020, 11, 1–9. [Google Scholar] [CrossRef]
- Jarma, D.; Sánchez, M.I.; Green, A.J.; Peralta-Sánchez, J.M.; Hortas, F.; Sánchez-Melsió, A.; Borrego, C.M. Faecal microbiota and antibiotic resistance genes in migratory waterbirds with contrasting habitat use. Sci. Total Environ. 2021, 783, 146872. [Google Scholar] [CrossRef] [PubMed]
- French, N.P.; Midwinter, A.; Holland, B.; Collins-Emerson, J.; Pattison, R.; Colles, F.; Carter, P. Molecular epidemiology of Campylobacter jejuni isolates from wild-bird fecal material in children’s playgrounds. Appl. Environ. Microbiol. 2009, 75, 779–783. [Google Scholar] [CrossRef] [PubMed]
- Wieczorek, K.; Osek, J. Antimicrobial resistance mechanisms among Campylobacter. Biomed. Res. Int. 2013, 2013, 340605. [Google Scholar] [CrossRef] [PubMed]
- Dai, L.; Sahin, O.; Grover, M.; Zhang, Q. New and alternative strategies for the prevention, control, and treatment of antibiotic-resistant Campylobacter. Transl. Res. 2020, 223, 76–88. [Google Scholar] [CrossRef]
- Liakopoulos, A.; Mevius, D.J.; Olsen, B.; Bonnedahl, J. The colistin resistance mcr-1 gene is going wild. J. Antimicrob. Chemother. 2016, 71, 2335–2336. [Google Scholar] [CrossRef][Green Version]
- Mohsin, M.; Raza, S.; Roschanski, N.; Schaufler, K.; Guenther, S. First description of plasmid-mediated colistin-resistant extended-spectrum beta-lactamase-producing Escherichia coli in a wild migratory bird from Asia. Int. J. Antimicrob. Agents 2016, 48, 463–464. [Google Scholar] [CrossRef]
- Lin, Y.; Dong, X.; Wu, J.; Rao, D.; Zhang, L.; Faraj, Y.; Yang, K. Metadata Analysis of mcr-1-Bearing Plasmids Inspired by the Sequencing Evidence for Horizontal Transfer of Antibiotic Resistance Genes between Polluted River and Wild Birds. Front. Microbiol. 2020, 11, 352. [Google Scholar] [CrossRef] [PubMed]
- Lin, Y.; Dong, X.; Sun, R.; Wu, J.; Tian, L.; Rao, D.; Zhang, L.; Yang, K. Migratory birds-one major source of environmental antibiotic resistance around Qinghai Lake, China. Sci. Total Environ. 2020, 739, 139758. [Google Scholar] [CrossRef]
- Singh, B.B.; Gajadhar, A.A. Role of India’s wildlife in the emergence and re-emergence of zoonotic pathogens, risk factors and public health implications. Acta Trop. 2014, 138, 67–77. [Google Scholar] [CrossRef]
- Galbraith, P.; Henry, R.; McCarthy, D.T. Plants release, pathogens decease: Plants with documented antimicrobial activity are associated with Campylobacter and faecal indicator attenuation in stormwater biofilters. Sci. Total Environ. 2024, 906, 167474. [Google Scholar] [CrossRef] [PubMed]
- Linton, D.; Owen, R.J.; Stanley, J. Rapid identification by PCR of the genus Campylobacter and of five Campylobacter species enteropathogenic for man and animals. Res. Microbiol. 1996, 147, 707–718. [Google Scholar] [CrossRef] [PubMed]
- Hill, J.E.; Paccagnella, A.; Law, K.; Melito, P.L.; Woodward, D.L.; Price, L.; Leung, A.H.; Ng, L.K.; Hemmingsen, S.M.; Goh, S.H. Identification of Campylobacter spp. and discrimination from Helicobacter and Arcobacter spp. by direct sequencing of PCR-amplified cpn60 sequences and comparison to cpnDB, a chaperonin reference sequence database. J. Med. Microbiol. 2006, 55, 393–399. [Google Scholar] [CrossRef] [PubMed]



| Campylobacter Species | Detection Rate | 16S Identity | Region | |||
|---|---|---|---|---|---|---|
| Xizang (n = 82) | Qinghai (n = 14) | Heilongjiang (n = 25) | Hebei (n = 47) | |||
| Campylobacter sp. (RM12651) | 94 (56.0%) | 100.0 (100.0, 100.0) | 51 | 14 | 21 | 8 |
| C. jejuni # | 22 (13.1%) | 100.0 (99.8–100.0) | 19 | - | 1 | 2 |
| C. coli # | 3 (1.8%) | 100.0 (NA) | 3 | - | - | - |
| C. lari | 13 (7.7%) | 100.0 (99.8–100.0) | 3 | - | - | 10 |
| C. volucris | 5 (3.0%) | 100.0 (99.8–100.0) | 1 | - | - | 4 |
| C. novaezeelandiae/armoricus/peloridis/volucris * | 8 (4.8%) | 100.0 (99.7–100.0) | - | - | - | 8 |
| Uncultured bacterium clone * | 17 (10.1%) | 99.6 (97.3–100.0) | 4 | 13 | ||
| Others | 10 (6.0%) | 97.5 (96.6–98.2) | 5 | 3 | 2 | |
Disclaimer/Publisher’s Note: The statements, opinions and data contained in all publications are solely those of the individual author(s) and contributor(s) and not of MDPI and/or the editor(s). MDPI and/or the editor(s) disclaim responsibility for any injury to people or property resulting from any ideas, methods, instructions or products referred to in the content. |
© 2024 by the authors. Licensee MDPI, Basel, Switzerland. This article is an open access article distributed under the terms and conditions of the Creative Commons Attribution (CC BY) license (https://creativecommons.org/licenses/by/4.0/).
Share and Cite
Wu, S.; Jia, R.; Wang, Y.; Li, J.; Li, Y.; Wang, L.; Wang, Y.; Liu, C.; Jia, E.M.; Wang, Y.; et al. Prevalence, Diversity, and Virulence of Campylobacter Carried by Migratory Birds at Four Major Habitats in China. Pathogens 2024, 13, 230. https://doi.org/10.3390/pathogens13030230
Wu S, Jia R, Wang Y, Li J, Li Y, Wang L, Wang Y, Liu C, Jia EM, Wang Y, et al. Prevalence, Diversity, and Virulence of Campylobacter Carried by Migratory Birds at Four Major Habitats in China. Pathogens. 2024; 13(3):230. https://doi.org/10.3390/pathogens13030230
Chicago/Turabian StyleWu, Shanrui, Ru Jia, Ying Wang, Jie Li, Yisong Li, Lan Wang, Yani Wang, Chao Liu, Elena M. Jia, Yihua Wang, and et al. 2024. "Prevalence, Diversity, and Virulence of Campylobacter Carried by Migratory Birds at Four Major Habitats in China" Pathogens 13, no. 3: 230. https://doi.org/10.3390/pathogens13030230
APA StyleWu, S., Jia, R., Wang, Y., Li, J., Li, Y., Wang, L., Wang, Y., Liu, C., Jia, E. M., Wang, Y., Zhang, G., & Liu, J. (2024). Prevalence, Diversity, and Virulence of Campylobacter Carried by Migratory Birds at Four Major Habitats in China. Pathogens, 13(3), 230. https://doi.org/10.3390/pathogens13030230

