Method to Generate Chlorine Dioxide Gas In Situ for Sterilization of Automated Incubators
Abstract
1. Introduction
2. Materials and Methods
2.1. Biological Proxies
2.2. Incubator
2.3. Gaseous ClO2 Generation and Detection
2.4. Sterilization Experiment
2.4.1. Sterilization Protocol
2.4.2. Biological Indicator Sterilization
3. Results
3.1. gClO2 Formation Result
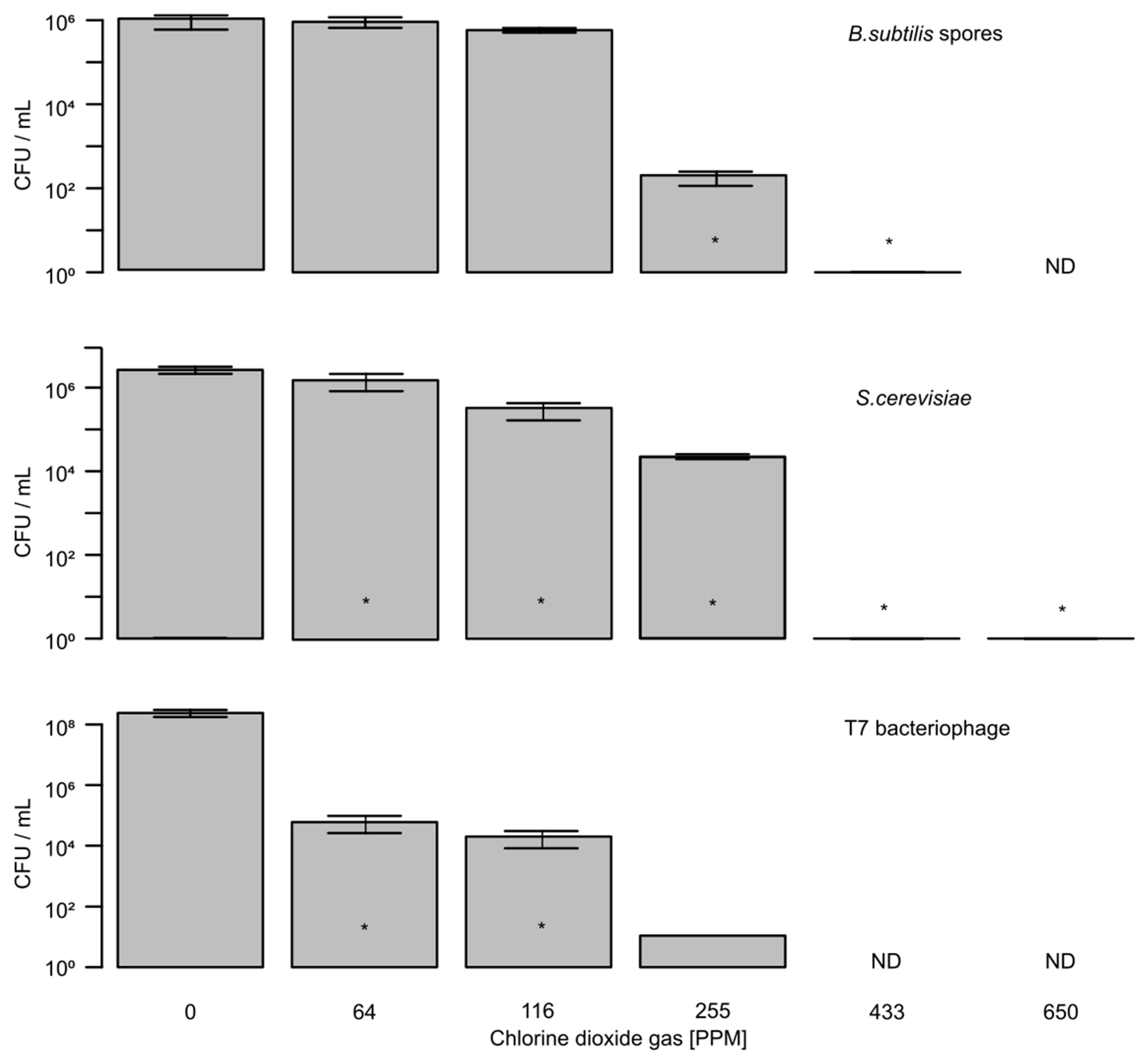
3.2. Sterilization Result
3.3. Residual Chlorine Dioxide and Residual Toxicity
4. Discussion
Supplementary Materials
Author Contributions
Funding
Institutional Review Board Statement
Informed Consent Statement
Data Availability Statement
Conflicts of Interest
References
- Probst, C.; Schneider, S.; Loskill, P. High-throughput organ-on-a-chip systems: Current status and remaining challenges. Curr. Opin. Biomed. Eng. 2018, 6, 33–41. [Google Scholar] [CrossRef]
- Malik, P.; Mukherjee, S.; Mukherjee, T.K. Microbial contamination of mammalian cell culture. Pract. Approach Mamm. Cell Organ Cult. 2023, 187–231. [Google Scholar] [CrossRef]
- Giandomenico, S.L.; Sutcliffe, M.; Lancaster, M.A. Generation and long-term culture of advanced cerebral organoids for studying later stages of neural development. Nat. Protoc. 2021, 16, 579–602. [Google Scholar] [CrossRef] [PubMed]
- Pham, M.T.; Pollock, K.M.; Rose, M.D.; Cary, W.A.; Stewart, H.R.; Zhou, P.; Nolta, J.A.; Waldau, B. Generation of human vascularized brain organoids. Neuroreport 2018, 29, 588–593. [Google Scholar] [CrossRef] [PubMed]
- Tang, Y.; Wu, Y.H.; Wang, H.B.; Chen, Z.; Wang, W.L.; Ni, X.Y.; Hu, H.Y. Disinfection-residual bacteria (DRB) after chlorine dioxide treatment: Microbial community structure, regrowth potential, and secretion characteristics. J. Hazard. Mater. 2024, 476, 135136. [Google Scholar] [CrossRef]
- Jefri, U.H.N.M.; Khan, A.; Lim, Y.C.; Lee, K.S.; Liew, K.B.; Kassab, Y.W.; Kalusalingam, A. A systematic review on chlorine dioxide as a disinfectant. J. Med. Life 2022, 15, 313. [Google Scholar] [CrossRef]
- Bridges, D.F.; Lacombe, A.; Wu, V.C. Integrity of the Escherichia coli O157: H7 cell wall and membranes after chlorine dioxide treatment. Front. Microbiol. 2020, 11, 888. [Google Scholar] [CrossRef]
- Benarde, M.A.; Israel, B.M.; Olivieri, V.P.; Granstrom, M.L. Efficiency of Chlorine dioxide as a bactericide. Appl. Microbiol. 1965, 13, 776–780. [Google Scholar] [CrossRef]
- Krüger, T.I.M.; Herzog, S.; Mellmann, A.; Kuczius, T. Impact of Chlorine Dioxide on Pathogenic Waterborne Microorganisms Occurring in Dental Chair Units. Microorganisms 2023, 11, 1123. [Google Scholar] [CrossRef]
- Wilson, S.C.; Wu, C.; Andriychuk, L.A.; Martin, J.M.; Brasel, T.L.; Jumper, C.A.; Straus, D.C. Effect of Chlorine dioxide gas on fungi and mycotoxins associated with sick building syndrome. Appl. Environ. Microbiol. 2005, 71, 5399–5403. [Google Scholar] [CrossRef]
- Rutala, W.A.; Weber, D.J. Uses of inorganic hypochlorite (bleach) in healthcare facilities. Clin. Microbiol. Rev. 1997, 10, 597–610. [Google Scholar] [CrossRef] [PubMed]
- Saguti, F.; Kjellberg, I.; Churqui, M.P.; Wang, H.; Tunovic, T.; Ottoson, J.; Bergstedt, O.; Norder, H.; Nyström, K. The Virucidal Effect of the Chlorination of Water at the Initial Phase of Disinfection May Be Underestimated If Contact Time Calculations Are Used. Pathogens 2023, 12, 1216. [Google Scholar] [CrossRef]
- Totaro, M.; Badalucco, F.; Costa, A.L.; Tuvo, B.; Casini, B.; Privitera, G.; Menchini Fabris, G.B.; Baggiani, A. Effectiveness of disinfection with chlorine dioxide on respiratory transmitted, enteric, and bloodborne viruses: A narrative synthesis. Pathogens 2021, 10, 1017. [Google Scholar] [CrossRef]
- Rutala, W.A.; Weber, D.J. Guideline for Disinfection and Sterilization in Healthcare Facilities. 2008. Available online: https://www.cdc.gov/infection-control/hcp/disinfection-sterilization/steam-sterilization.html (accessed on 12 November 2024).
- Chen, T.-L.; Chen, Y.-H.; Zhao, Y.-L.; Chiang, P.-C. Application of gaseous ClO2 on disinfection and air pollution control: A mini review. Aerosol Air Qual. Res. 2020, 20, 2289–2298. [Google Scholar] [CrossRef]
- Cai, C.; Floyd, E.L. Effects of sterilization with hydrogen peroxide and chlorine dioxide solution on the filtration efficiency of N95, KN95, and surgical face masks. JAMA Netw. Open 2020, 3, e2012099. [Google Scholar] [CrossRef]
- Ayub, A.; Cheong, Y.K.; Castro, J.C.; Cumberlege, O.; Chrysanthou, A. Use of Hydrogen Peroxide Vapour for Microbiological Disinfection in Hospital Environments: A Review. Bioengineering 2024, 11, 205. [Google Scholar] [CrossRef] [PubMed]
- Shirasaki, Y.; Matsuura, A.; Uekusa, M.; Ito, Y.; Hayashi, T. A study of the properties of Chlorine dioxide gas as a fumigant. Exp. Anim. 2024, 65, 303–310. [Google Scholar] [CrossRef] [PubMed]
- Wilson, S.C.; Brasel, T.L.; Martin, J.M.; Wu, C.; Andriychuk, L.; Douglas, D.R.; Cobos, L.; Straus, D.C. Efficacy of Chlorine dioxide as a gas and in solution in the inactivation of two trichothecene mycotoxins. Int. J. Toxicol. 2005, 24, 181–186. [Google Scholar] [CrossRef] [PubMed]
- Mahdi, O.S.; Greenlee, K.J.; Rose, E.; Rinehart, J.P.; Smith, D.J. The sporicidal activity of Chlorine dioxide gas on Paenibacillus larvae spores. J. Apic. Res. 2021, 61, 52–62. [Google Scholar] [CrossRef]
- Malka, S.K.; Park, M.H. Fresh produce safety and quality: Chlorine dioxide’s role. Front. Plant Sci. 2022, 12, 775629. [Google Scholar] [CrossRef]
- Ning, P.; Shan, D.; Hong, E.; Liu, L.; Zhu, Y.; Cui, R.; Zhou, Y.; Wang, B. Disinfection performance of chlorine dioxide gas at ultra-low concentrations and the decay rules under different environmental factors. Air Waste Manag. Assoc. 2020, 70, 721–728. [Google Scholar] [CrossRef] [PubMed]
- Rotman, H.H.; Fliegelman, M.J.; Moore, T.; Smith, R.G.; Anglen, D.M.; Kowalski, C.J.; Weg, J.G. Effects of low concen-trations of chlorine on pulmonary function in humans. J. Appl. Physiol. 1983, 54, 1120–1124. [Google Scholar] [CrossRef] [PubMed]
- Shusterman, D.J.; Murphy, M.A.; Balmes, J.R. Subjects with seasonal allergic rhinitis and nonrhinitic subjects react dif-ferentially to nasal provocation with chlorine gas. J. Allergy Clin. Immunol. 1998, 101, 732–740. [Google Scholar] [CrossRef] [PubMed]
- 21 CFR 173.300; Chlorine Dioxide. Code of Federal Regulations. Office of the Federal Register: Washington, DC, USA, 2024.
- Lowe, J.J.; Gibbs, S.G.; Iwen, P.C.; Smith, P.W.; Hewlett, A.L. Impact of chlorine dioxide gas sterilization on nosocomial organism viability in a hospital room. Int. J. Environ. Res. Public Health 2013, 10, 2596–2605. [Google Scholar] [CrossRef]
- Akamatsu, A.; Lee, C.; Morino, H.; Miura, T.; Ogata, N.; Shibata, T. Six-month low level Chlorine dioxide gas inhalation toxicity study with two-week recovery period in rats. J. Occup. Med. Toxicol. 2012, 7, 2. [Google Scholar] [CrossRef]





Disclaimer/Publisher’s Note: The statements, opinions and data contained in all publications are solely those of the individual author(s) and contributor(s) and not of MDPI and/or the editor(s). MDPI and/or the editor(s) disclaim responsibility for any injury to people or property resulting from any ideas, methods, instructions or products referred to in the content. |
© 2024 by the authors. Licensee MDPI, Basel, Switzerland. This article is an open access article distributed under the terms and conditions of the Creative Commons Attribution (CC BY) license (https://creativecommons.org/licenses/by/4.0/).
Share and Cite
Schicklin, C.; Rauter, G.; Cattin, P.C.; Eugster, M.; Braissant, O. Method to Generate Chlorine Dioxide Gas In Situ for Sterilization of Automated Incubators. Pathogens 2024, 13, 1024. https://doi.org/10.3390/pathogens13111024
Schicklin C, Rauter G, Cattin PC, Eugster M, Braissant O. Method to Generate Chlorine Dioxide Gas In Situ for Sterilization of Automated Incubators. Pathogens. 2024; 13(11):1024. https://doi.org/10.3390/pathogens13111024
Chicago/Turabian StyleSchicklin, Cédric, Georg Rauter, Philippe Claude Cattin, Manuela Eugster, and Olivier Braissant. 2024. "Method to Generate Chlorine Dioxide Gas In Situ for Sterilization of Automated Incubators" Pathogens 13, no. 11: 1024. https://doi.org/10.3390/pathogens13111024
APA StyleSchicklin, C., Rauter, G., Cattin, P. C., Eugster, M., & Braissant, O. (2024). Method to Generate Chlorine Dioxide Gas In Situ for Sterilization of Automated Incubators. Pathogens, 13(11), 1024. https://doi.org/10.3390/pathogens13111024

