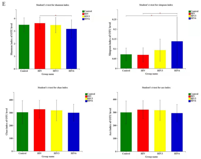
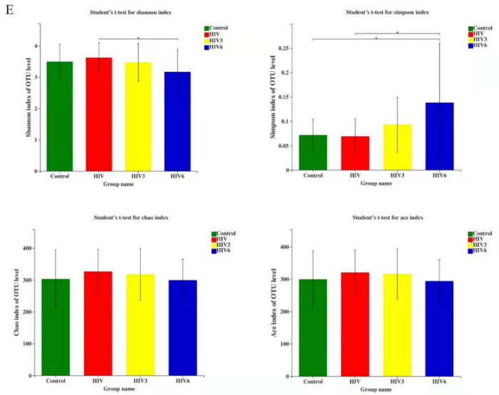
Correction: Li et al. Altered Salivary Microbiome in the Early Stage of HIV Infections among Young Chinese Men Who Have Sex with Men (MSM). Pathogens 2020, 9, 960

Reference
- Li, J.; Chang, S.; Guo, H.; Ji, Y.; Jiang, H.; Ruan, L.; Du, M. Altered Salivary Microbiome in the Early Stage of HIV Infections among Young Chinese Men Who Have Sex with Men (MSM). Pathogens 2020, 9, 960. [Google Scholar] [CrossRef] [PubMed]
Publisher’s Note: MDPI stays neutral with regard to jurisdictional claims in published maps and institutional affiliations. |
© 2022 by the authors. Licensee MDPI, Basel, Switzerland. This article is an open access article distributed under the terms and conditions of the Creative Commons Attribution (CC BY) license (https://creativecommons.org/licenses/by/4.0/).
Share and Cite
Li, J.; Chang, S.; Guo, H.; Ji, Y.; Jiang, H.; Ruan, L.; Du, M. Correction: Li et al. Altered Salivary Microbiome in the Early Stage of HIV Infections among Young Chinese Men Who Have Sex with Men (MSM). Pathogens 2020, 9, 960. Pathogens 2022, 11, 785. https://doi.org/10.3390/pathogens11070785
Li J, Chang S, Guo H, Ji Y, Jiang H, Ruan L, Du M. Correction: Li et al. Altered Salivary Microbiome in the Early Stage of HIV Infections among Young Chinese Men Who Have Sex with Men (MSM). Pathogens 2020, 9, 960. Pathogens. 2022; 11(7):785. https://doi.org/10.3390/pathogens11070785
Chicago/Turabian StyleLi, Jin, Shenghua Chang, Haiying Guo, Yaoting Ji, Han Jiang, Lianguo Ruan, and Minquan Du. 2022. "Correction: Li et al. Altered Salivary Microbiome in the Early Stage of HIV Infections among Young Chinese Men Who Have Sex with Men (MSM). Pathogens 2020, 9, 960" Pathogens 11, no. 7: 785. https://doi.org/10.3390/pathogens11070785
APA StyleLi, J., Chang, S., Guo, H., Ji, Y., Jiang, H., Ruan, L., & Du, M. (2022). Correction: Li et al. Altered Salivary Microbiome in the Early Stage of HIV Infections among Young Chinese Men Who Have Sex with Men (MSM). Pathogens 2020, 9, 960. Pathogens, 11(7), 785. https://doi.org/10.3390/pathogens11070785

