Evaluating Alternate Methods of Determining the Antimicrobial Efficacy of Contact Lens Care Products against Acanthamoeba Trophozoites
Abstract
1. Introduction
2. Results
2.1. Acanthamoeba Quantification Using Published Growth-Based Methods
2.2. Experimental Method Development
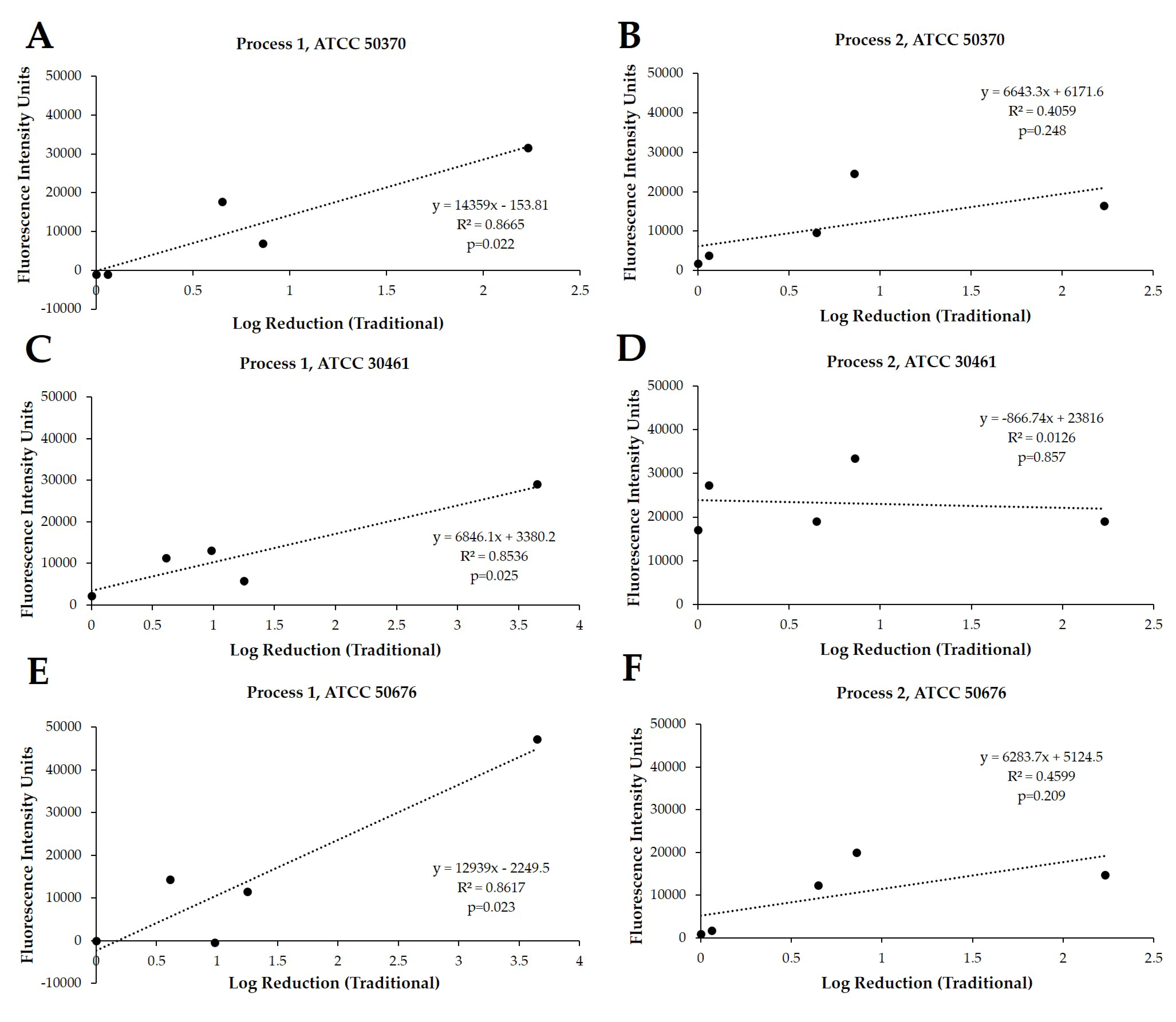
2.3. Testing Representative Solutions Available from United States Manufacturers, Using Process 1
2.4. Testing Solutions in the European Market, Using Process 1
3. Discussion
4. Materials and Methods
4.1. Acanthamoeba Trophozoite Culturing for All Methods
4.2. Growth-Based Method for Quantification of Acanthamoeba Following Incubation in CLC Solutions
4.3. Experimental Quantitative Method Development
4.4. Use of Process 1 Method for Broad Testing of CLC Solutions
4.5. Statistical Analysis
5. Patents
Author Contributions
Funding
Institutional Review Board Statement
Informed Consent Statement
Data Availability Statement
Acknowledgments
Conflicts of Interest
References
- Szentmary, N.; Daas, L.; Shi, L.; Laurik, K.L.; Lepper, S.; Milioti, G.; Seitz, B. Acanthamoeba keratitis‑clinical signs, differential diagnosis and treatment. J. Curr. Ophthalmol. 2019, 31, 16–23. [Google Scholar] [CrossRef]
- Verani, J.R.; Lorick, S.A.; Yoder, J.S.; Beach, M.J.; Braden, C.R.; Roberts, J.M.; Conover, C.S.; Chen, S.; McConnell, K.A.; Chang, D.C.; et al. National outbreak of acanthamoeba keratitis associated with use of a contact lens solution, united states. Emerg. Infect. Dis. 2009, 15, 1236–1242. [Google Scholar] [CrossRef] [PubMed]
- Carnt, N.; Hoffman, J.J.; Verma, S.; Hau, S.; Radford, C.F.; Minassian, D.C.; Dart, J.K.G. Acanthamoeba keratitis: Confirmation of the uk outbreak and a prospective case-control study identifying contributing risk factors. Br. J. Ophthalmol. 2018, 102, 1621. [Google Scholar] [CrossRef] [PubMed]
- Datta, A.; Willcox, M.D.P.; Stapleton, F. In vivo efficacy of silver-impregnated barrel contact lens storage cases. Contact Lens Anterior Eye 2020, in press. [Google Scholar] [CrossRef] [PubMed]
- Tu, E.Y.; Joslin, C.E. Recent outbreaks of atypical contact lens-related keratitis: What have we learned? Am. J. Ophthalmol. 2010, 150, 602–608.e602. [Google Scholar] [CrossRef] [PubMed]
- Scruggs, B.A.; Quist, T.S.; Salinas, J.L.; Greiner, M.A. Notes from the field: Acanthamoeba keratitis cases-iowa, 2002–2017. MMWR Morb. Mortal. Wkly. Rep. 2019, 68, 448–449. [Google Scholar] [CrossRef]
- International Standards Organization ISO 14729. Available online: https://www.iso.org/standard/25382.html (accessed on 19 January 2021).
- Brocious, J.; Tarver, M.E.; Hampton, D.; Eydelman, M. Acanthamoeba: An overview of the challenges to the development of a consensus methodology of disinfection efficacy testing for contact lens care products. Eye Contact Lens 2018, 44, 351–354. [Google Scholar] [CrossRef]
- Niszl, I.A.; Markus, M.B. Anti-acanthamoeba activity of contact lens solutions. Br. J. Ophthalmol. 1998, 82, 1033–1038. [Google Scholar] [CrossRef]
- Hughes, R.; Kilvington, S. Comparison of hydrogen peroxide contact lens disinfection systems and solutions against acanthamoeba polyphaga. Antimicrob. Agents Chemother. 2001, 45, 2038–2043. [Google Scholar] [CrossRef]
- Hiti, K.; Walochnik, J.; Haller-Schober, E.M.; Faschinger, C.; Aspock, H. Viability of acanthamoeba after exposure to a multipurpose disinfecting contact lens solution and two hydrogen peroxide systems. Br. J. Ophthalmol. 2002, 86, 144–146. [Google Scholar] [CrossRef]
- Kilvington, S.; Lam, A. Development of standardized methods for assessing biocidal efficacy of contact lens care solutions against acanthamoeba trophozoites and cysts. Investig. Ophthalmol. Vis. Sci. 2013, 54, 4527–4537. [Google Scholar] [CrossRef] [PubMed]
- Johnston, S.P.; Sriram, R.; Qvarnstrom, Y.; Roy, S.; Verani, J.; Yoder, J.; Lorick, S.; Roberts, J.; Beach, M.J.; Visvesvara, G. Resistance of acanthamoeba cysts to disinfection in multiple contact lens solutions. J. Clin. Microbiol. 2009, 47, 2040–2045. [Google Scholar] [CrossRef] [PubMed]
- Kolar, S.S.; Manarang, J.C.; Burns, A.R.; Miller, W.L.; McDermott, A.M.; Bergmanson, J.P. Contact lens care solution killing efficacy against acanthamoeba castellanii by in vitro testing and live-imaging. Contact Lens Anterior Eye 2015, 38, 442–450. [Google Scholar] [CrossRef] [PubMed]
- McBride, J.; Ingram, P.R.; Henriquez, F.L.; Roberts, C.W. Development of colorimetric microtiter plate assay for assessment of antimicrobials against acanthamoeba. J. Clin. Microbiol. 2005, 43, 629–634. [Google Scholar] [CrossRef]
- Marciano-Cabral, F.; Cabral, G. Acanthamoeba spp. As agents of disease in humans. Clin. Microbiol. Rev. 2003, 16, 273–307. [Google Scholar] [CrossRef]
- Larkin, D.F.; Kilvington, S.; Easty, D.L. Contamination of contact lens storage cases by acanthamoeba and bacteria. Br. J. Ophthalmol. 1990, 74, 133–135. [Google Scholar] [CrossRef] [PubMed]
- Radford, C.F.; Minassian, D.C.; Dart, J.K. Acanthamoeba keratitis in england and wales: Incidence, outcome, and risk factors. Br. J. Ophthalmol. 2002, 86, 536–542. [Google Scholar] [CrossRef]
- Carnt, N.; Stapleton, F. Strategies for the prevention of contact lens-related acanthamoeba keratitis: A review. Ophthalmic Physiol. Opt. 2016, 36, 77–92. [Google Scholar] [CrossRef]
- Thomson, S.; Rice, C.A.; Zhang, T.; Edrada-Ebel, R.; Henriquez, F.L.; Roberts, C.W. Characterisation of sterol biosynthesis and validation of 14alpha-demethylase as a drug target in acanthamoeba. Sci. Rep. 2017, 7, 8247. [Google Scholar] [CrossRef]
- Dobrowsky, P.H.; Khan, S.; Khan, W. Resistance of legionella and acanthamoeba mauritaniensis to heat treatment as determined by relative and quantitative polymerase chain reactions. Environ. Res. 2017, 158, 82–93. [Google Scholar] [CrossRef]
- Alves Dde, S.; Moraes, A.S.; Alves, L.M.; Gurgel-Goncalves, R.; Lino Junior Rde, S.; Cuba-Cuba, C.A.; Vinaud, M.C. Experimental infection of t4 acanthamoeba genotype determines the pathogenic potential. Parasitol. Res. 2016, 115, 3435–3440. [Google Scholar] [CrossRef]
- Imayasu, M.; Tchedre, K.T.; Cavanagh, H.D. Effects of multipurpose solutions on the viability and encystment of acanthamoeba determined by flow cytometry. Eye Contact Lens 2013, 39, 228–233. [Google Scholar] [CrossRef]
- Khunkitti, W.; Avery, S.V.; Lloyd, D.; Furr, J.R.; Russell, A.D. Effects of biocides on acanthamoeba castellanii as measured by flow cytometry and plaque assay. J. Antimicrob. Chemother. 1997, 40, 227–233. [Google Scholar] [CrossRef] [PubMed]
- Schober, P.; Boer, C.; Schwarte, L.A. Correlation coefficients: Appropriate use and interpretation. Anesth. Analg. 2018, 126, 1763–1768. [Google Scholar] [CrossRef]
- Xu, M.; Sivak, J.G.; McCanna, D.J. Comparison of the effects of ophthalmic solutions on human corneal epithelial cells using fluorescent dyes. J. Ocul. Pharmacol. Ther. 2013, 29, 794–802. [Google Scholar] [CrossRef] [PubMed]
- Lonnen, J.; Heaselgrave, W.; Nomachi, M.; Mori, O.; Santodomingo-Rubido, J. Disinfection efficacy and encystment rate of soft contact lens multipurpose solutions against acanthamoeba. Eye Contact Lens 2010, 36, 26–32. [Google Scholar] [CrossRef] [PubMed]
- Padzik, M.; Chomicz, L.; Szaflik, J.P.; Chruscikowska, A.; Perkowski, K.; Szaflik, J. In vitro effects of selected contact lens care solutions on acanthamoeba castellanii strains in poland. Exp. Parasitol. 2014, 145, S98–S101. [Google Scholar] [CrossRef]
- Martin-Navarro, C.M.; Lopez-Arencibia, A.; Sifaoui, I.; Reyes-Batlle, M.; Cabello-Vilchez, A.M.; Maciver, S.; Valladares, B.; Pinero, J.E.; Lorenzo-Morales, J. Prestoblue(r) and alamarblue(r) are equally useful as agents to determine the viability of acanthamoeba trophozoites. Exp. Parasitol. 2014, 145, S69–S72. [Google Scholar] [CrossRef] [PubMed]
- Baig, A.M.; Iqbal, J.; Khan, N.A. In vitro efficacies of clinically available drugs against growth and viability of an acanthamoeba castellanii keratitis isolate belonging to the t4 genotype. Antimicrob. Agents Chemother. 2013, 57, 3561–3567. [Google Scholar] [CrossRef]
- Dive, C.; Watson, J.V.; Workman, P. Multiparametric analysis of cell membrane permeability by two colour flow cytometry with complementary fluorescent probes. Cytometry 1990, 11, 244–252. [Google Scholar] [CrossRef]
- Hillmann, F.; Novohradská, S.; Mattern, D.J.; Forberger, T.; Heinekamp, T.; Westermann, M.; Winckler, T.; Brakhage, A.A. Virulence determinants of the human pathogenic fungus aspergillus fumigatus protect against soil amoeba predation. Environ. Microbiol. 2015, 17, 2858–2869. [Google Scholar] [CrossRef] [PubMed]
- Radosa, S.; Ferling, I.; Sprague, J.L.; Westermann, M.; Hillmann, F. The different morphologies of yeast and filamentous fungi trigger distinct killing and feeding mechanisms in a fungivorous amoeba. Environ. Microbiol. 2019, 21, 1809–1820. [Google Scholar] [CrossRef] [PubMed]
- Krämer, C.E.M.; Wiechert, W.; Kohlheyer, D. Time-resolved, single-cell analysis of induced and programmed cell death via non-invasive propidium iodide and counterstain perfusion. Sci. Rep. 2016, 6, 32104. [Google Scholar] [CrossRef] [PubMed]
- Hellmold, H.; Teuteberg, D.; Tetens, J.; Blaschka, C. 83 validation of propidium iodide dye for live-dead staining of bovine blastocysts: Preliminary results. Reprod. Fertil. Dev. 2020, 32, 168. [Google Scholar] [CrossRef]
- Arnalich-Montiel, F.; Lumbreras-Fernández, B.; Martín-Navarro, C.M.; Valladares, B.; Lopez-Velez, R.; Morcillo-Laiz, R.; Lorenzo-Morales, J. Influence of acanthamoeba genotype on clinical course and outcomes for patients with acanthamoeba keratitis in spain. J. Clin. Microbiol. 2014, 52, 1213–1216. [Google Scholar] [CrossRef] [PubMed]
- Ledee, D.R.; Iovieno, A.; Miller, D.; Mandal, N.; Diaz, M.; Fell, J.; Fini, M.E.; Alfonso, E.C. Molecular identification of t4 and t5 genotypes in isolates from acanthamoeba keratitis patients. J. Clin. Microbiol. 2009, 47, 1458–1462. [Google Scholar] [CrossRef]
- Maghsood, A.H.; Sissons, J.; Rezaian, M.; Nolder, D.; Warhurst, D.; Khan, N.A. Acanthamoeba genotype t4 from the uk and iran and isolation of the t2 genotype from clinical isolates. J. Med. Microbiol. 2005, 54, 755–759. [Google Scholar] [CrossRef] [PubMed]
- Reed, L.J.; Muench, H. A simple method of estimating fifty per cent endpoints. Am. J. Epidemiol. 1938, 27, 493–497. [Google Scholar] [CrossRef]
- Vogt, R.F., Jr.; Marti, G.E.; Zenger, V. Quantitative fluorescence calibration: A tool for assessing the qualityof data obtained by fluorescence measurements. In Standardization and Quality Assurance in Fluorescence Measurements Techniques; Resch-Genger, U., Ed.; Springer: Berlin/Heidelberg, Germany, 2008; pp. 3–31. [Google Scholar]








| Test Microorganism | Species | Group | Isolation Source |
|---|---|---|---|
| Acanthamoeba castellanii trophozoites | ATCC 50370 | T4 | Human eye infection, New York, NY 1978 |
| Acanthamoeba polyphaga trophozoites | ATCC 30461 | T4 | Human corneal scrapings, Houston, TX, 1973 |
| Acanthamoeba mauritaniensis trophozoites | ATCC 50676 | T4 | Human eye infection, Namibia or South Africa, 1990 |
| Contact Lens Care Product | Manufacturer | Biocides | Disinfection Time |
|---|---|---|---|
| OPTI-FREE® Puremoist® | Alcon® | polyquaternium-1 (0.001%), myristamidopropyl dimethylamine (0.0006%) | 6 h |
| OPTI-FREE® Express® | Alcon® | polyquaternium-1 (0.001%), myristamidopropyl dimethylamine (0.0005%) | 6 h |
| OPTI-FREE® Replenish® | Alcon® | polyquaternium-1 (0.001%), myristamidopropyl dimethylamine (0.0005%) | 6 h |
| Acuvue™ Revitalens® | Johnson & Johnson | polyquaternium-1 (0.0003%), alexidine dihydrochloride (0.00016%) | 6 h |
| renu® Advanced Formula | Bausch + Lomb | polyquaternium (0.00015%), alexidine dihydrochloride (0.0002%), polyaminopropyl biguanide (0.00005%) | 4 h |
| Biotrue® | Bausch + Lomb | polyaminopropyl biguanide (0.00013%), polyquaternium (0.0001%) | 4 h |
| Lite™ | CooperVision | polyhexanide (0.0001%) | 6 h |
| Kombi-Clean & Moist | Acumed® | polyhexamethylene biguanide (0.0002%), polyquaternium (0.004%) | 6 h |
| All Clean® Soft | Avizor | polyhexanide (0.0002%) | 4 h |
| Kombilösung Super | Visiomax® | polyhexamethylene biguanide (0.0002%) | 4 h |
| renu® Multiplus® | Bausch + Lomb | polyhexamethylene biguanide (0.0001%) | 4 h |
Publisher’s Note: MDPI stays neutral with regard to jurisdictional claims in published maps and institutional affiliations. |
© 2021 by the authors. Licensee MDPI, Basel, Switzerland. This article is an open access article distributed under the terms and conditions of the Creative Commons Attribution (CC BY) license (http://creativecommons.org/licenses/by/4.0/).
Share and Cite
Campolo, A.; Shannon, P.; Crary, M. Evaluating Alternate Methods of Determining the Antimicrobial Efficacy of Contact Lens Care Products against Acanthamoeba Trophozoites. Pathogens 2021, 10, 126. https://doi.org/10.3390/pathogens10020126
Campolo A, Shannon P, Crary M. Evaluating Alternate Methods of Determining the Antimicrobial Efficacy of Contact Lens Care Products against Acanthamoeba Trophozoites. Pathogens. 2021; 10(2):126. https://doi.org/10.3390/pathogens10020126
Chicago/Turabian StyleCampolo, Allison, Paul Shannon, and Monica Crary. 2021. "Evaluating Alternate Methods of Determining the Antimicrobial Efficacy of Contact Lens Care Products against Acanthamoeba Trophozoites" Pathogens 10, no. 2: 126. https://doi.org/10.3390/pathogens10020126
APA StyleCampolo, A., Shannon, P., & Crary, M. (2021). Evaluating Alternate Methods of Determining the Antimicrobial Efficacy of Contact Lens Care Products against Acanthamoeba Trophozoites. Pathogens, 10(2), 126. https://doi.org/10.3390/pathogens10020126

