A Survey-Based Education Needs Analysis of Employment Support Programs for Hospitality Undergraduate Students
Abstract
1. Introduction
1.1. Theoretical Background
1.1.1. Hospitality Education and Employment
1.1.2. Employment Support Programs
1.1.3. Education Needs Analysis
2. Materials and Methods
2.1. Variables and Instruments
2.2. Research Subjects
2.2.1. Participants
2.2.2. Procedure
2.3. Analysis Method
3. Results
3.1. Borich Needs Analysis of 2-year University Students
3.2 Borich Needs Analysis of 4-year University Students
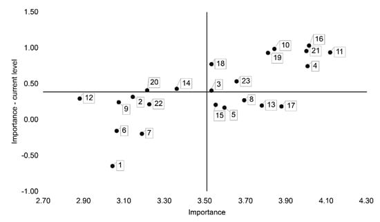
3.3. Analysis of the Highest Priority in Employment Support Programs by School System
4. Discussion
5. Conclusions
Author Contributions
Funding
Data Availability Statement
Conflicts of Interest
References
- Ahn, So-Youn, and Eun-Soon Yim. 2018. A Study on the Factors Affecting the Employment of Bachelor’s in Tourism. Journal of Hospitality and Tourism Studies 20: 15–27. [Google Scholar] [CrossRef]
- Ahn, Jung-Suk, Jae-Hee Im, and Sung-Sik Ahn. 2018. A Study on the Influencing Contextual Factors of College Graduates on the Initial Employment Outcomes in Food Service Management Program in South Korea. Journal of Employment and Career 8: 45–67. [Google Scholar] [CrossRef]
- An, Sim-Yeon. 2018. The Usage of University Employment Support Program and the Effect on the First Job Satisfaction of Graduates Students: Based on Salespersons. Journal of Distribution and Logistics 5: 143–61. [Google Scholar] [CrossRef]
- Aquino, Richard S., Gertrude P. Tuazon, Tyron W. Yap, and Ian Bencio M. David. 2017. In Search of Greener Pastures? Investigating Filipino Tourism and Hospitality Management Students’ Willingness to Work Overseas. Asia-Pacific Journal of Innovation in Hospitality and Tourism 6: 81–90. [Google Scholar]
- Bae, Gwang-Min, and Kwang-Sik Yoon. 2015. Training Needs Analysis for The Development of Basic Job Skill Curriculum in Specialized High School. Journal of the Korean Institute of Industrial Educators 40: 44–71. [Google Scholar] [CrossRef]
- Borich, Gary D. 1980. A Needs Assessment Model for Conducting Follow-Up Studies. Journal of Teacher Education 31: 39–42. [Google Scholar] [CrossRef]
- Busby, Graham D., and Philip Gibson. 2010. Tourism and Hospitality Internship Experiences Overseas: A British Perspective. Journal of Hospitality, Leisure, Sports and Tourism Education 9: 4–12. [Google Scholar] [CrossRef][Green Version]
- Chao, Yun, and Wan-Soo Kim. 2016. The Effect of Previous Work Experiences on Hospitality Undergraduate Students Future Career Intention. Journal of Tourism Studies 28: 107–30. [Google Scholar] [CrossRef]
- Cho, Dae-Yeon. 2009. Exploring How to Set Priority in Need Analysis with Survey. The Journal of Research in Education 35: 165–87. [Google Scholar]
- Choi, Young-Keun. 2020. A Study on Satisfaction Analysis of Employment Assistance Program in Korean University. Journal of the Korea Management Engineers Society 25: 137–51. [Google Scholar] [CrossRef]
- Choi, Gyeong-Eun, and Hyoung-Jong Kim. 2020. Tourism Market Views According to COVID-19. Korea Tourism Policy 80: 30–38. [Google Scholar]
- Chun, Young-Min, Sung-Cheol Jung, and Ki-Seong Nam. 2019. The Effect of Participation in University Job Support Program on Employment. Journal of the Korean Data Analysis Society 21: 141–51. [Google Scholar] [CrossRef]
- Deale, Cynthia S., and Donald Schoffstall. 2015. Hospitality and Tourism Education and Industry Certifications. Journal of Hospitality & Tourism Education 27: 112–19. [Google Scholar] [CrossRef]
- Han, Eu-Jin, and Bom-Yung Hwang. 2019. A Study on the Relationship between Major Satisfaction and Employment Stress of University Students: Focusing on Tourism-Related and Health-Related Majors. International Journal of Tourism Management and Science 34: 203–22. [Google Scholar] [CrossRef]
- Jun, Hee-Won. 2013. A Study on Plans for Global Human Resource Development in Hotel and Tourism Sector. Northeast Asia Tourism Research 9: 179–201. [Google Scholar]
- Jung, Hyun-Kyoung, Yun-Hee Jung, Hye-Sun Lee, and Chang-Gook Youn. 2018. A Study on Types and Effectiveness of Employment Support Programs in Colleges Based on Career Decision-Making Self-Efficacy, Job Seeking Stress, and Employ Ability. The Journal of Learner-centered Curriculum and Instruction 18: 465–87. [Google Scholar] [CrossRef]
- Kaushik, Meenakshi, and Neha Guleria. 2020. The Impact of Pandemic COVID-19 in Workplace. European Journal of Business and Management 12: 9–18. [Google Scholar]
- KEDI (Korean Educational Development Institute). 2020. “OECD Education index 2020.” Press release. Available online: https://www.kedi.re.kr/khome/main/announce/selectAnnounceForm.do?currentPage=1&editor_use_yn=Y&selectTp=0&article_sq_no=33706&board_sq_no=3 (accessed on 9 September 2020).
- KERI (Korea Economic Research Institute). 2020. “Youth Unemployment Rate, OECD 4.4%p Decrease Over 10 Years, Korea 0.9%p Increase.” Press Release. Available online: http://www.keri.org/web/www/news_02?p_p_id=EXT_BBS&p_p_lifecycle=0&p_p_state=normal&p_p_mode=view&_EXT_BBS_struts_action=%2Fext%2Fbbs%2Fview_message&_EXT_BBS_messageId=356040 (accessed on 9 September 2020).
- KESS (Korean Educational Statistics Service). 2020. “The Latest Educational Statistics.” Educational Statistics. Available online: https://kess.kedi.re.kr/index (accessed on 11 December 2020).
- Kil, In-Suk. 2013. Study on Overseas Employment Motivation of Two-Year Tourism Majors after English Intensive Training. Journal of Tourism Management Research 17: 23–38. [Google Scholar]
- Kim, Nan-Young. 2018. An Exploratory Study on the Employment of University Students in Majoring Tourism. Journal of Tourism Enhancement 6: 203–17. [Google Scholar] [CrossRef]
- Kim, Gun. 2019. The Study of the Effect for Job Preparation Behavior of Hotel Major Student on the Job Decision Factor. Tourism Research 44: 25–41. [Google Scholar]
- Kim, Se-Um. 2020. Policy Direction for Employment Support in Tourism Industry in the Post COVID-19 Era. Korea Tourism Policy 80: 52–58. [Google Scholar]
- Kim, Young Joong, and Young-Guk Chung. 2018. The Effects of Motivation to Participate in Culinary Competition on the Sense of Psychological Well-Being and Employment Preparation Behavior of Culinary Majoring Students: Focused on Differences Between College and Vocation Training Institute. Culinary Science & Hospitality Research 24: 40–51. [Google Scholar] [CrossRef]
- Kim, Hee-Yeon, Nam-Su Kim, and Heon-Su Ha. 2017. The Effect of Mentoring Function on Learning Commitment and Career Decision: Focusing on Cooking Practice. Journal of Tourism and Leisure Research 29: 351–62. [Google Scholar]
- Kim, Bo-Kyun, Hyo-Sung Lee, and Hong-Beom Kim. 2019. A Study on Determinants of Employment in College Graduates Majoring in Hospitality & Tourism. Journal of Hospitality and Tourism Studies 21: 61–74. [Google Scholar] [CrossRef]
- Kim, Bo-Gyun, Hyu-Seong Lee, and Hong-Beom Kim. 2020. A Difference Analysis on Job Satisfaction According to English Capabilities of Hotel Employees. Journal of Tourism & Leisure Research 32: 217–36. [Google Scholar] [CrossRef]
- KOSTAT (Statistics Korea). 2020. “Employment Trend in August 2020.” Press release. Available online: http://kostat.go.kr/portal/korea/kor_nw/1/1/index.board?bmode=read&bSeq=&aSeq=385035&pageNo=1&rowNum=10&navCount=10&currPg=&searchInfo=srch&sTarget=title&sTxt=%EA%B3%A0%EC%9A%A9%EB%8F%99%ED%96%A5 (accessed on 9 September 2020).
- Lee, Ching-Sung, and Chen-Wei Chao. 2013. Intention to “Leave” or “Stay”—The Role of Internship Organization in the Improvement of Hospitality Students’ Industry Employment Intentions. Asia Pacific Journal of Tourism Research 18: 749–65. [Google Scholar] [CrossRef]
- Lee, Hee-Soo, and Sung-Hawe Hwang. 2019. A Study on the Relationship Among the Participant’s Motivation, Learning Commitment, Learning Achievement, and Participation Satisfaction of NCS Bartender Job Cocktail Contest Participants. Korean Journal of Tourism Research 34: 205–24. [Google Scholar] [CrossRef]
- Lee, Ji-Won, and Kyung-Hee Kang. 2014. Study about the Relationship between Self-Esteem, Depression and Stress of Students According to School System. Journal of the Korea Convergence Society 5: 69–74. [Google Scholar] [CrossRef]
- Lee, Mi-Na, and Ji-Won You. 2019. Comparison of Career Identity, Job Competencies, Major Satisfaction, and Academic Achievement According to Participation of Undergraduate Research Program in Science Majors. The Journal of Vocational Education Research 38: 99–117. [Google Scholar] [CrossRef]
- Lee, Ji-Eun, Yun-Kyeong Jeong, Hyeon-Mi Rha, and Hae-Kyoung Lim. 2019. A Study on Awareness and Demand Analysis of Undergraduate Student`s Career Education for Improvement of University Career Education. The Journal of Employment and Career 9: 55–75. [Google Scholar]
- Lee, Joo-Hyeon, Mi-Kyung Kim, Ye-Jee Cho, and Hye-Kyung Kim. 2020. 2018 Basic Analysis Report of the Graduates Occupational Mobility Survey. Seoul: Korea Employment Information Service, pp. 1–275. [Google Scholar]
- Lim, Jung-Yon, Ji-Young Yoon, and Mi-Sun Kim. 2020. Analysis of the Educational Needs Related to, and Perceptions of the Importance of, Essential Job Competencies among Science and Engineering Graduates. Education Sciences 10: 85. [Google Scholar] [CrossRef]
- Min, Chang-Kee. 2008. A Study on the Foreign Language Learning Competency of Tourism Majors. International Journal of Tourism and Hospitality Research 22: 185–99. [Google Scholar]
- Mink, Oscar G., James M. Shultz, and Barbara P. Mink. 1991. Developing and Managing Open Organizations: A Model and Method for Maximizing Organizational Potential. Austin, TX: Somerset Consulting Group, Inc., pp. 1–284. [Google Scholar]
- Moreo, Andrew, Alison J. Green, and Robert O’Halloran. 2018. What Certifications are Important in the Hospitality Industry? Journal of Human Resources in Hospitality & Tourism 17: 121–35. [Google Scholar] [CrossRef]
- Oh, Seung-KuK, Jun-Ju Sung, and Yong-Ho Park. 2014. Complementing a Typical Educational Needs Analysis Using a Survey in Setting the Priority of the Needs. The Journal of Research in Education 27: 77–98. [Google Scholar]
- Park, Mi-Jeong, Young-Lim Ham, and Doo-Nam Oh. 2012. Levels and their Correlations of Decision-Making-Competency, Adjustment to College Life, Satisfaction to College Life in Freshmen. The Journal of the Korea Contents Association 12: 327–37. [Google Scholar] [CrossRef]
- Park, Kwi-Hwa, Young-Hee Lee, Eui-Ryoung Han, Sang-Hee Yeo, Min-Jeong Kim, and Hye-Rin Roh. 2020. An Analysis of Medical Students’ Perceived Competencies and Educational Needs for the Coming Age of the Fourth Industrial Revolution. Journal of Education & Culture 26: 979–97. [Google Scholar]
- Scerri, Madalyn, Rajka Presbury, and Edmund Goh. 2020. An Application of the Mentoring Framework to Investigate the Effectiveness of Mentoring Programs between Industry Mentors and Student Mentees in Hospitality. Journal of Hospitality and Tourism Management 45: 143–51. [Google Scholar] [CrossRef]
- Seo, Hwa-Joung, and Byoung-Joo Kim. 2016. Analysis on Structural Relation among Employment Supporting Program, University Educational Satisfaction, Job Satisfaction and Job Match. Korean Journal of Educational Administration 34: 51–75. [Google Scholar]
- Shin, Hye Sook, Byeong-Cheol Min, and Soo-Kyung Nam. 2014. Evaluating the Effect of the Government-Funded Employment Support Program on the Graduates` Employment Outcome. Asian Journal of Education 15: 201–23. [Google Scholar] [CrossRef]
- Song, Yeon Ok. 2020. Analysis of University Freshmen’s Perception of Computational Thinking Using Borich Needs and the Locus for Focus Model. Journal of Learner-centered Curriculum and Instruction 20: 437–57. [Google Scholar] [CrossRef]
- Tsai, Chen-Tsang Simon, Hsuan Hsu, and Chun-Chin Yang. 2017. Career Decision Self-Efficacy Plays a Crucial Role in Hospitality Undergraduates` Internship Efficacy and Career Preparation. Journal of Hospitality, Leisure, Sport & Tourism Education 21: 61–68. [Google Scholar] [CrossRef]
- Wang, Yao-Fen, Min-Huei Chiang, and Yi-Ju Lee. 2014. The Relationships amongst the Intern Anxiety, Internship Outcomes, and Career Commitment of Hospitality College Students. Journal of Hospitality, Leisure, Sport & Tourism Education 15: 86–93. [Google Scholar] [CrossRef]
- Youn, Jung-Hye, and Yong-Lim You. 2015. The Study of College Employment Support Programs for College Student’s Competence. Korean Journal of Youth Studies 22: 479–504. [Google Scholar]
- Zampoukos, Kristina, and Dimitri Ioannides. 2011. The Tourism Labour Conundrum: Agenda for New Research in the Geography of Hospitality Workers. Hospitality & Society 1: 25–45. [Google Scholar] [CrossRef]
- Zopiatis, Anastasios, and Antonis L. Theocharous. 2013. Revisiting Hospitality Internship Practices: A Holistic Investigation. Journal of Hospitality, Leisure, Sport & Tourism Education 13: 33–46. [Google Scholar] [CrossRef]



| Program | Characteristic | |
|---|---|---|
| 1 | Career-related courses | Courses to improve ability to decide and design one’s own career path |
| 2 | Employment-related courses | Courses aimed at strengthening job competency through planned employment preparation |
| 3 | Industry–academic cooperation courses | Courses to improve problem-solving skills, such as capstone design, or courses operated through agreements with industries |
| 4 | Field practice programs | A program that supports job performance in industry for a certain period of time |
| 5 | Industrial site tour programs | One-time support program to visit industries in the major field |
| 6 | Occupational psychology tests | A screening program that helps choose career fields and professions that are more suitable for individual characteristics |
| 7 | Career path special lecture programs | One-time lectures for lower grades that provide information related to career paths in major fields |
| 8 | Employment special lecture programs | One-time lectures for higher grades that provide information related to employment in major fields |
| 9 | Career fairs | A program in which various companies outside the school provide job seekers with recruitment information, on-site support, and interviews |
| 10 | Career seminars | A program that introduces recruitment procedures and jobs to students within the university by companies that wish to hire talent |
| 11 | Individual career counseling | Counseling program conducted by counselors and clients on a one-to-one basis in relation to individual career |
| 12 | Group career counseling | Counseling program conducted by one or two counselors and multiple clients in relation to individual careers |
| 13 | Résumé writing support | 1:1 customized résumé and self-introduction writing coaching by experts |
| 14 | Mock interviews | A program that supports experiencing an interview in advance in a situation similar to an actual job interview |
| 15 | Employment camps | A program that is run outside the university to improve employment mind and job search skills through a two-day or three-day course |
| 16 | Employment information support | Providing various information related to employment online or offline |
| 17 | Competition support | Support program for participation in competitions in major fields |
| 18 | Overseas employment support | Pre-education and employment information support for overseas employment |
| 19 | Overseas training support | Programs to support a stay abroad for a set period of time for education purposes |
| 20 | Language programs | Support for language training at home and abroad to improve language skills |
| 21 | Certificate programs | Program to support the acquisition of certificates in major fields |
| 22 | Job club support | Support program for groups voluntarily formed by students with similar employment goals to prepare for employment |
| 23 | Mentoring | A program that helps mentees’ (students’) careers and employment through mentors such as industry workers or seniors in their major fields |
| No. | Program | Importance | Current Level | Gap | t | p | Borich Needs Score | Rank |
|---|---|---|---|---|---|---|---|---|
| Mean | Mean | |||||||
| 1 | Career-related courses | 3.04 ± 0.59 | 3.69 ± 0.59 | −0.65 | −10.59 | 0.000 | −1.99 | 23 |
| 2 | Employment-related courses | 3.14 ± 0.65 | 2.83 ± 0.58 | 0.31 | 4.96 | 0.000 | 0.98 | 12 |
| 3 | Industry–academic cooperation courses | 3.53 ± 0.63 | 3.13 ± 0.60 | 0.40 | 6.51 | 0.000 | 1.41 | 10 |
| 4 | Field practice programs | 4.01 ± 0.77 | 3.26 ± 0.70 | 0.74 | 9.72 | 0.000 | 2.97 | 6 |
| 5 | Industrial site tour programs | 3.59 ± 0.67 | 3.43 ± 0.65 | 0.16 | 2.98 | 0.003 | 0.582 | 20 |
| 6 | Occupational psychology tests | 3.06 ± 0.68 | 3.23 ± 0.61 | −0.17 | −2.69 | 0.008 | −0.51 | 21 |
| 7 | Career path special lecture programs | 3.18 ± 0.59 | 3.38 ± 0.64 | −0.20 | −3.43 | 0.001 | −0.64 | 22 |
| 8 | Employment special lecture programs | 3.69 ± 0.74 | 3.43 ± 0.66 | 0.26 | 3.73 | 0.000 | 0.98 | 13 |
| 9 | Career fairs | 3.07 ± 0.62 | 2.83 ± 0.61 | 0.24 | 3.88 | 0.000 | 0.75 | 15 |
| 10 | Career seminars | 3.84 ± 0.72 | 2.85 ± 0.67 | 0.99 | 14.52 | 0.000 | 3.80 | 4 |
| 11 | Individual career counseling | 4.12 ± 0.66 | 3.18 ± 0.66 | 0.94 | 14.65 | 0.000 | 3.87 | 2 |
| 12 | Group career counseling | 2.88 ± 0.60 | 2.58 ± 0.70 | 0.29 | 4.68 | 0.000 | 0.84 | 14 |
| 13 | Résumé writing support | 3.78 ± 0.83 | 3.58 ± 0.60 | 0.19 | 2.56 | 0.011 | 0.74 | 16 |
| 14 | Mock interviews | 3.36 ± 0.75 | 2.93 ± 0.61 | 0.43 | 6.20 | 0.000 | 1.43 | 9 |
| 15 | Employment camps | 3.55 ± 0.74 | 3.35 ± 0.73 | 0.20 | 2.57 | 0.011 | 0.71 | 18 |
| 16 | Employment information support | 4.02 ± 0.72 | 2.98 ± 0.71 | 1.04 | 13.87 | 0.000 | 4.17 | 1 |
| 17 | Competition support | 3.88 ± 0.82 | 3.69 ± 0.74 | 0.19 | 2.925 | 0.004 | 0.71 | 17 |
| 18 | Overseas employment support | 3.53 ± 0.74 | 2.75 ± 0.69 | 0.78 | 10.42 | 0.000 | 2.75 | 7 |
| 19 | Overseas training support | 3.81 ± 0.64 | 2.88 ± 0.63 | 0.94 | 15.18 | 0.000 | 3.56 | 5 |
| 20 | Language programs | 3.21 ± 0.59 | 2.81 ± 0.56 | 0.40 | 6.46 | 0.000 | 1.28 | 11 |
| 21 | Certificate programs | 4.00 ± 0.67 | 3.04 ± 0.66 | 0.96 | 13.63 | 0.000 | 3.83 | 3 |
| 22 | Job club support | 3.22 ± 0.67 | 3.02 ± 0.58 | 0.21 | 3.35 | 0.001 | 0.66 | 19 |
| 23 | Mentoring | 3.65 ± 0.65 | 3.12 ± 0.66 | 0.54 | 9.246 | 0.000 | 1.96 | 8 |
| Mean | 3.53 | 3.13 | 0.40 |
| No. | Program | Importance | Current Level | Gap | t | p | Borich Needs Score | Rank |
|---|---|---|---|---|---|---|---|---|
| Mean | Mean | |||||||
| 1 | Career-related courses | 3.39 ± 0.61 | 3.54 ± 0.69 | −0.2 | −2.4 | 0.017 | −0.51 | 22 |
| 2 | Employment-related courses | 3.77 ± 0.67 | 2.96 ± 0.63 | 0.81 | 12.59 | 0 | 3.05 | 5 |
| 3 | Industry–academic cooperation courses | 3.68 ± 0.62 | 3.34 ± 0.76 | 0.34 | 5.19 | 0 | 1.26 | 12 |
| 4 | Field practice programs | 3.99 ± 0.64 | 3.10 ± 0.64 | 0.89 | 14.74 | 0 | 3.55 | 1 |
| 5 | Industrial site tour programs | 3.48 ± 0.68 | 3.33 ± 0.52 | 0.15 | 2.72 | 0.007 | 0.52 | 20 |
| 6 | Occupational psychology tests | 3.08 ± 0.67 | 3.47 ± 0.58 | −0.4 | −6.09 | 0 | −1.22 | 23 |
| 7 | Career path special lecture programs | 3.53 ± 0.66 | 3.65 ± 0.59 | −0.1 | −2.23 | 0.027 | −0.41 | 21 |
| 8 | Employment special lecture programs | 3.62 ± 0.64 | 3.38 ± 0.61 | 0.25 | 3.95 | 0 | 0.89 | 15 |
| 9 | Career fairs | 3.50 ± 0.70 | 3.09 ± 0.58 | 0.41 | 6.42 | 0 | 1.44 | 11 |
| 10 | Career seminars | 3.99 ± 0.61 | 3.48 ± 0.59 | 0.51 | 9.22 | 0 | 2.05 | 9 |
| 11 | Individual career counseling | 3.78 ± 0.68 | 3.46 ± 0.66 | 0.33 | 5.61 | 0 | 1.24 | 13 |
| 12 | Group career counseling | 3.14 ± 0.61 | 2.90 ± 0.59 | 0.24 | 3.99 | 0 | 0.74 | 18 |
| 13 | Résumé writing support | 3.47 ± 0.76 | 3.26 ± 0.71 | 0.22 | 3.2 | 0.002 | 0.75 | 17 |
| 14 | Mock interviews | 3.92 ± 0.67 | 3.30 ± 0.60 | 0.62 | 9.47 | 0 | 2.45 | 7 |
| 15 | Employment camps | 3.63 ± 0.63 | 3.21 ± 0.77 | 0.42 | 6.04 | 0 | 1.53 | 10 |
| 16 | Employment information support | 3.96 ± 0.70 | 3.17 ± 0.67 | 0.79 | 11.64 | 0 | 3.12 | 4 |
| 17 | Competition support | 3.60 ± 0.73 | 3.38 ± 0.76 | 0.23 | 3.66 | 0 | 0.81 | 16 |
| 18 | Overseas employment support | 3.89 ± 0.68 | 3.16 ± 0.72 | 0.73 | 9.95 | 0 | 2.83 | 6 |
| 19 | Overseas training support | 3.94 ± 0.62 | 3.07 ± 0.66 | 0.87 | 13.06 | 0 | 3.42 | 2 |
| 20 | Language programs | 3.85 ± 0.71 | 3.25 ± 0.64 | 0.6 | 9.6 | 0 | 2.32 | 8 |
| 21 | Certificate programs | 4.01 ± 0.63 | 3.23 ± 0.65 | 0.78 | 12.31 | 0 | 3.14 | 3 |
| 22 | Job club support | 3.47 ± 0.69 | 3.31 ± 0.58 | 0.16 | 2.69 | 0.008 | 0.56 | 19 |
| 23 | Mentoring | 3.68 ± 0.71 | 3.39 ± 0.69 | 0.3 | 4.913 | 0 | 1.09 | 14 |
| 3.67 | 3.28 | 0.39 |
| No. | Program | 2-Year | 4-Year | ||||
|---|---|---|---|---|---|---|---|
| Rank | LF | High-Priority | Rank | LF | High-Priority | ||
| 16 | Employment information support | 1 | Ⅰ | O | 4 | Ⅰ | O |
| 11 | Individual career counseling | 2 | Ⅰ | O | 13 | Ⅳ | |
| 21 | Certificate programs | 3 | Ⅰ | O | 3 | Ⅰ | O |
| 10 | Career seminars | 4 | Ⅰ | O | 9 | Ⅰ | O |
| 19 | Overseas training support | 5 | Ⅰ | O | 2 | Ⅰ | O |
| 4 | Field practice programs | 6 | Ⅰ | O | 1 | Ⅰ | O |
| 18 | Overseas employment support | 7 | Ⅰ | O | 6 | Ⅰ | O |
| 23 | Mentoring | 8 | Ⅰ | O | 14 | Ⅳ | |
| 14 | Mock interviews | 9 | Ⅱ | 7 | Ⅰ | O | |
| 3 | Industry–academic cooperation courses | 10 | Ⅰ | O | 12 | Ⅳ | |
| 20 | Language programs | 11 | Ⅱ | 8 | Ⅰ | O | |
| 2 | Employment-related courses | 12 | Ⅲ | 5 | Ⅰ | O | |
| 8 | Employment special lecture programs | 13 | Ⅳ | 15 | Ⅲ | ||
| 12 | Group career counseling | 14 | Ⅲ | 18 | Ⅲ | ||
| 9 | Career fairs | 15 | Ⅲ | 11 | Ⅱ | ||
| 13 | Résumé writing support | 16 | Ⅳ | 17 | Ⅲ | ||
| 17 | Competition support | 17 | Ⅳ | 16 | Ⅲ | ||
| 15 | Employment camps | 18 | Ⅳ | 10 | Ⅱ | ||
| 22 | Job club support | 19 | Ⅲ | 19 | Ⅲ | ||
| 5 | Industrial site tour programs | 20 | Ⅳ | 20 | Ⅲ | ||
| 6 | Occupational psychology tests | 21 | Ⅲ | 23 | Ⅲ | ||
| 7 | Career path special lecture programs | 22 | Ⅲ | 21 | Ⅲ | ||
| 1 | Career-related courses | 23 | Ⅲ | 22 | Ⅲ | ||
Publisher’s Note: MDPI stays neutral with regard to jurisdictional claims in published maps and institutional affiliations. |
© 2021 by the authors. Licensee MDPI, Basel, Switzerland. This article is an open access article distributed under the terms and conditions of the Creative Commons Attribution (CC BY) license (http://creativecommons.org/licenses/by/4.0/).
Share and Cite
Na, T.-K.; Lee, S.-H. A Survey-Based Education Needs Analysis of Employment Support Programs for Hospitality Undergraduate Students. Soc. Sci. 2021, 10, 103. https://doi.org/10.3390/socsci10030103
Na T-K, Lee S-H. A Survey-Based Education Needs Analysis of Employment Support Programs for Hospitality Undergraduate Students. Social Sciences. 2021; 10(3):103. https://doi.org/10.3390/socsci10030103
Chicago/Turabian StyleNa, Tae-Kyun, and Sun-Ho Lee. 2021. "A Survey-Based Education Needs Analysis of Employment Support Programs for Hospitality Undergraduate Students" Social Sciences 10, no. 3: 103. https://doi.org/10.3390/socsci10030103
APA StyleNa, T.-K., & Lee, S.-H. (2021). A Survey-Based Education Needs Analysis of Employment Support Programs for Hospitality Undergraduate Students. Social Sciences, 10(3), 103. https://doi.org/10.3390/socsci10030103

