An Intervention Study of Employee Safety Behavior in Nuclear Power Plants Under Construction Based on the SEM-SD Model
Abstract
1. Introduction
1.1. Research Background
1.2. Research Methodology
2. The Index System of Behavior from the Perspective of Job Burnout
2.1. Model Construction
2.1.1. Job Burnout and Unsafe Behaviors
2.1.2. Theoretical Assumptions
2.2. Scale Design and Data Sources
2.2.1. Scale Design
2.2.2. Data Sources
3. Construction of the SEM Model
3.1. Analysis and Hypothesis Test of the Effect of Safety Climate and Job Burnout on Unsafe Behavior
3.2. Moderating Role of Safety Climate
4. Analysis of Intervention Strategies for Job Burnout Among Employees in Nuclear Power Plants Under Construction Based on the System Dynamics (SD) Model
4.1. Construction of the SD (System Dynamics) Model
4.2. Construction of the Model Equation
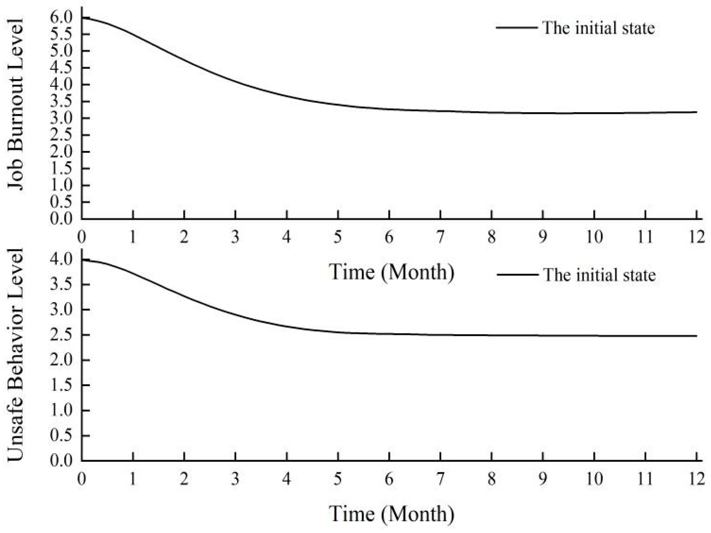
4.3. Simulate Intervention Strategies
4.4. Discussion of the Joint Intervention Strategy
4.5. Development and Application of the Job Burnout and Unsafe Behavior Intervention System
- (I)
- Development of Burnout and Unsafe Behavior Intervention System
- (II)
- Application of Burnout and Unsafe Behavior Intervention System
- (III)
- SEM-SD model
- Comparison with other modeling techniques
- 2.
- Potential applications of similar models in other high-risk industries
5. Conclusions
5.1. Results and Contributions
5.2. Limitations
Author Contributions
Funding
Data Availability Statement
Conflicts of Interest
References
- Meng, Q.; Zhu, J.; Li, Z.; Chong, H.Y. Clarifying Unsafe Behaviors of Construction Workers through a Complex Network of Unsafe Behavior Chains. J. Constr. Eng. Manag. 2024, 150, 04024164. [Google Scholar] [CrossRef]
- Alsafi, O.; Alhamdi, A.; Alsanea, A.; Alsultan, M.; Alzahrani, S.; Shams, A.; Al-Athel, K.; Siddiqui, O. Safety, Security, and Design Consideration of Nuclear Power Plants in the Kingdom of Saudi Arabia. Arab. J. Sci. Eng. 2024, 50, 3505–3518. [Google Scholar] [CrossRef]
- Chen, Y.; Ma, C.; Long, Y. Simulation Study of the Propagation of Underground-Construction Worker Unsafe Behavior. SAGE Open 2023, 13, 1–12. [Google Scholar] [CrossRef]
- Kariuki, S.G.; Lwe, K. Integrating human factors into process hazard analysis. Reliab. Eng. Syst. Saf. 2007, 92, 1764–1773. [Google Scholar] [CrossRef]
- Newaz, M.T.; Ershadi, M.; Jefferies, M.; Davis, P. A critical review of the feasibility of emerging technologies for improving safety behavior on construction sites. J. Saf. Res. 2024, 89, 269–287. [Google Scholar] [CrossRef]
- Jia, Q.; Fu, G.; Xie, X.; Hu, S.; Wang, Y.; Lyu, Q. Study on the reliability of accident analysis results: Taking two groups of four accident analysis references with the 24Model as samples. Proc. Inst. Mech. Eng. Part O J. Risk Reliab. 2024, 238, 172–192. [Google Scholar] [CrossRef]
- Lan, H.; Ma, X. Risk Evolution Analysis of Seafarers’ Unsafe Acts in Maritime Accidents Based on Directed Weighted CN. Appl. Sci. 2024, 14, 2595. [Google Scholar] [CrossRef]
- Haslam, R.A. Contributing factors in construction accidents. Appl. Ergon. 2005, 36, 401–415. [Google Scholar] [CrossRef]
- Heinrich, H.W. Industrial Accident Prevention; McGraw-Hill: New York, NY, USA, 1979. [Google Scholar]
- Reason, J. Human Error; Cambridge University Press: Cambridge, UK, 1990. [Google Scholar]
- Diaz, R.I.; Cabrera, D.D. Safety climate and attitude as evaluation measures of organization safety. Accid. Anal. Prev. 1997, 29, 643–650. [Google Scholar] [CrossRef]
- Fogarty, G.J.; Shaw, A. Safety climate and theory of planned behavior; Towards the prediction of unsafe behavior. Accid. Anal. Prev. 2010, 42, 1455–1459. [Google Scholar] [CrossRef]
- Geller, S. The fitting solution to respiratory hazards. Psychol. Saf. 2004, 6, 12–14. [Google Scholar]
- Verschuur, W.L.; Hurts, K. Modeling safe and unsafe driving behaviour. Accid. Anal. Prev. 2008, 40, 644–656. [Google Scholar] [CrossRef] [PubMed]
- Choudhry, R.M.; Fang, D. Why operatives engage in unsafe work behavior: Investigating factors on construction sites. Saf. Sci. 2008, 46, 566–584. [Google Scholar] [CrossRef]
- Aksorn, T.; Hadikusumo, B.H.W. The unsafe acts and the decision-to-err factors of Thai construction workers. J. Constr. Dev. Ctries. 2007, 12, 1–25. [Google Scholar]
- Fu, G.; Yang, C.; Yin, W. The expanded version of the “2–4” model of behavior-based safety. J. China Coal Soc. 2014, 39, 94–99. [Google Scholar]
- Ye, G.; Chen, M.; Wang, H. Research on the revised TPB model of construction workers’ unsafe behavior intention. China Saf. Sci. J. 2015, 25, 145–151. [Google Scholar]
- Cai, Q. Research on User Electricity Consumption Behavior Analysis Method Based on Load Data Pre-Processing. Master’s Thesis, Nanjing University of Posts and Telecommunications, Nanjing, China, 2022. [Google Scholar] [CrossRef]
- Huang, L.; Li, D.; Zhuo, J. Research on Behavior Analysis and Recognition during the Substation Infrastructure Construction Period Based on the YOLOv5 Model. Electr. Power Surv. Des. 2024, 64–68+92. [Google Scholar] [CrossRef]
- Zhang, L.; Sun, J.; Dong, J. Theoretical Discussion on Group Behavior of Tunnel Workers’ Safety Management. Ind. Saf. Environ. Prot. 2019, 45, 75–79. [Google Scholar]
- Zare, R.; Kazemi, R.; Choobineh, A.; Cousins, R.; Smith, A.; Mokarami, H. Development of a work systems stress questionnaire to predict job burnout: A mixed methods study based on a macroergonomics approach. Heliyon 2024, 10, e40226. [Google Scholar] [CrossRef]
- Sarah, O. The burnout companion to study and practice: A critical analysis. Ergonomics 2021, 64, 1507. [Google Scholar]
- Chang, X.; Yang, L.; Shi, W. Research on Job Burnout in Work Safety from the Perspective of Positive Psychology. J. Jilin Jianzhu Univ. 2016, 33, 108–111. [Google Scholar]
- Wang, Z.; Yang, H. Research on the Job Burnout of Communist Youth League Cadres in Hainan Higher Vocational Colleges from the Perspective of Public Management. Mod. Bus. Trade Ind. 2024, 45, 126–128. [Google Scholar] [CrossRef]
- Zhang, S.; Zuo, W.; Li, J. Analysis of the Impact of Work Stress on Job Burnout among Medical Staff in Township Health Centers in Shuozhou City in 2022. J. Prev. Med. Inf. 2024, 40, 1523–1529. [Google Scholar] [CrossRef]
- Xu, T.; Li, J. Influence Mechanism Model of Miners’ Job Burnout and Safety Performance. Min. Saf. Environ. Prot. 2018, 45, 112–116. [Google Scholar]
- Zhou, J.; Hu, F.; Xing, Y.; Gao, R. Influence of Work Stress and Job Burnout on Unsafe Behaviors of Construction Workers. China Saf. Sci. J. 2022, 32, 14–22. [Google Scholar] [CrossRef]
- Varlamova, J.; Kadochnikova, E. Modeling the Spatial Effects of Digital Data Economy on Regional Economic Growth: SAR, SEM and SAC Models. Mathematics 2023, 11, 3516. [Google Scholar] [CrossRef]
- Ibrahim, A.N.H.; Borhan, M.N.; Mat Yazid, M.R.; Hassan, S.A.; Arham, A.F.; Hashim, S. Modelling of Passenger Satisfaction and Reuse Intention with Monorail Services in Kuala Lumpur, Malaysia: A Hybrid SEM-ANN Approach. Mathematics 2023, 11, 3361. [Google Scholar] [CrossRef]
- Chen, T.G.; Yin, X.H.; Peng, L.J.; Rong, J.T.; Yang, J.J.; Cong, G.D. Monitoring and Recognizing Enterprise Public Opinion from High-Risk Users Based on User Portrait and Random Forest Algorithm. Axioms 2021, 10, 106. [Google Scholar] [CrossRef]
- Omwenga, V.O.; Madhumati, V.; Vinay, K.; Srikanta, S.; Bhat, N. Mathematical Modelling of Combined Intervention Strategies for the Management and Control of Plasma Glucose of a Diabetes Mellitus Patient: A System Dynamic Modelling Approach. Mathematics 2023, 11, 306. [Google Scholar] [CrossRef]
- Li, P.L.; Che, L.N.; Wan, L.H.; Fei, L.G. A Multimoora-Based Risk Evaluation Approach for CCUS Projects by Utilizing D Numbers Theory. Axioms 2022, 11, 204. [Google Scholar] [CrossRef]
- Liu, Y.; Zhang, L.; Hu, Y.; Wang, Z. Evolutionary Game Analysis of China–Laos Electric Power Cooperation. Sustainability 2024, 16, 10560. [Google Scholar] [CrossRef]
- Karaz, M.; Teixeira, J.M.C.; Amaral, T.G.d. Mitigating Making-Do Practices Using the Last Planner System and BIM: A System Dynamic Analysis. Buildings 2024, 14, 2314. [Google Scholar] [CrossRef]
- Wang, Y.; Zhao, J.; Gao, N.; Shen, F. A Dynamic Evaluation Method for the Development of Intelligent Construction Technology in the Construction Field Based on Structural Equation Model–System Dynamics Model. Buildings 2024, 14, 417. [Google Scholar] [CrossRef]












| Variable Type | Variable Name | Variable Content |
|---|---|---|
| SC | Safety consciousness (SC1) | It is an employee’s mental state of alertness or attention to factors that may cause harm to themselves or pose potential dangers to the surrounding environment during work activities. |
| Safety training (SC2) | For enterprises, personnel without safety education and training are not allowed to engage in production work for their posts. | |
| Risk preparation (SC3) | Enterprises create a safe workplace for smooth production. | |
| System and norms (SC4) | Enterprises have formulated a series of rules, regulations, and operating procedures to protect the safe production and the legitimate rights and interests of employees. | |
| Safety communication (SC5) | Enterprises share their work experience and opinions through safety seminars or team meetings, thereby improving work collaboration between employees. | |
| Safety incentive (SC6) | It means that employees provide material rewards, praise, and honors for achieving the safety goals or tasks set by the company. | |
| Stress | Working environment stress (S1) | A common problem faced by workers is that the working environment is rather harsh compared to other industries. |
| Job responsibility stress (S2) | The work pressure of the staff in each position is mainly composed of the production and safety responsibilities of their jobs. | |
| Interpersonal relationship stress (S3) | Enterprises work in a special nature, with three shifts all year round, hard work, long working hours, and lack of daily communication. | |
| Career development stress (S4) | Workers do not have enough time to continue their advanced studies in terms of career development. There are often missed good opportunities for promotion due to insufficient academic qualifications. | |
| Family environment stress (S5) | The daily working hours of workers are more than ten hours, and the time to rest and take care of their families is not guaranteed. | |
| Organization system stress (S6) | Pressure from the rationality of related institutions and incentives. | |
| Burnout | Resist work (CY1) | Doubt the significance of work. |
| Individual negative evaluation (CY2) | I do not care if I contribute to my work. | |
| Negative attitude (CY3) | Since I started this job, I have become less and less concerned about the job. | |
| Sleep disturbance (EX1) | When I get up in the morning and have to face the work of the day, I feel very tired. | |
| Physical fatigue (EX2) | I feel exhausted when I get off work. | |
| Indifference (EX3) | My current job prevents me from dealing with emotional problems well. | |
| Work efficiency (RPA1) | In my opinion, I am not good at my job. | |
| Unfinished work (RPA2) | My workload is too large, which causes me to work overtime often. | |
| Unrealized value (RPA3) | I do not think I can contribute much to the development of enterprises. | |
| Unsafe behavior | Risky behavior (UB1) | I will risk entering dangerous places. |
| Distracted (UB2) | I will be distracted at work. | |
| No pre-employment inspection (UB3) | I will not inspect the facility before work. | |
| Conflict protection tool (UB4) | I will not wear safety protection equipment. | |
| Illegal operation (UB5) | I will not perform safety production work in accordance with formal operating procedures. | |
| Lack of safety knowledge (UB6) | I do not recognize the safety signs and warnings. |
| Kaiser–Meyer–Olkin measure of sampling adequacy | 0.716 | |
| Bartlett’s sphericity test | Approximate chi-square | 2341.814 |
| df | 946 | |
| Sig. | 0.000 | |
| Dimension | Number of Items | Cronbach Number |
|---|---|---|
| SC | 6 | 0.931 |
| Stress | 5 | 0.822 |
| UB | 5 | 0.728 |
| CY | 3 | 0.819 |
| RPA | 3 | 0.789 |
| EX | 3 | 0.819 |
| Demographic Variable | Frequency | Percentage (%) | Cumulative Percentage (%) | |
|---|---|---|---|---|
| Gender | Male | 513 | 80.9 | 80.9 |
| Female | 121 | 19.1 | 100 | |
| Age | 25 and under | 114 | 18 | 18 |
| 26–35 | 198 | 31.2 | 49.2 | |
| 36–45 | 252 | 39.8 | 89 | |
| 45 and above | 70 | 11 | 100 | |
| Education background | Junior high school and below | 88 | 13.9 | 13.9 |
| Secondary school or high school | 321 | 50.6 | 64.5 | |
| Undergraduate | 198 | 31.2 | 95.7 | |
| Master degree or above | 27 | 4.3 | 100 | |
| Length of service | 5 years and below | 189 | 29.8 | 29.8 |
| 6–10 years | 268 | 42.3 | 72.1 | |
| 11–15 years | 107 | 16.9 | 89 | |
| 15 years and above | 70 | 11 | 100 | |
| Type of work | Technical personnel | 213 | 33.6 | 33.6 |
| Management personnel | 243 | 38.3 | 71.9 | |
| Operating personnel | 178 | 28.1 | 100 | |
| Fitting Index | CMIN/DF | GFI | AGFI | NFI | RFI | CFI | RMSEA |
|---|---|---|---|---|---|---|---|
| SEM model | 1.219 | 0.868 | 0.844 | 0.92 | 0.91 | 0.877 | 0.029 |
| standard value | <3 | >0.8 | >0.8 | >0.8 | >0.8 | >0.8 | <0.05 |
| Path | Path Coefficient | p-Value | ||
|---|---|---|---|---|
| Safety climate | → | Work pressure | −0.222 | *** |
| Safety climate | → | Job burnout | −0.355 | *** |
| Safety climate | → | Unsafe behavior | −0.567 | *** |
| Work pressure | → | Job burnout | 0.455 | *** |
| Work pressure | → | Unsafe behavior | 0.248 | *** |
| Job burnout | → | Unsafe behavior | 0.480 | *** |
| Hypothesis Number | Hypothesis Description | Test Result |
|---|---|---|
| H1 | Work pressure has a positive impact on job burnout. | support |
| H2 | There is a negative correlation between work pressure and safety climate. | support |
| H3 | There is a negative correlation between job burnout and safety climate. | support |
| H4 | Job burnout has a positive impact on unsafe behaviors. | support |
| H5 | There is a negative correlation between safety climate and unsafe behaviors. | support |
| H6 | There is a negative correlation between work pressure and unsafe behaviors. | support |
| Variable Type | Variable Name |
|---|---|
| State variables | Unsafe behavior level, job burnout level, safety climate level, stress level |
| Rate variables | The increment of unsafe behavior, the increment of job burnout, the increment of stress, the increment of safety climate, the reduction in unsafe behavior, the reduction in job burnout, the reduction in stress |
| Auxiliary variables | Working environment stress, job responsibility stress, interpersonal relationship stress, career development stress, family environment stress, organization system stress, resist work, individual negative evaluation, negative attitude, sleep disturbance, physical fatigue, indifference, work efficiency, unfinished work Unrealized value, risky behavior, distracted, no pre-employment inspection, conflict protection tool, illegal operation, lack of safety knowledge |
| Parameter | Safety consciousness, safety training, risk preparation, system and norms, safe communication, safety incentive |
| Variable Name | Coefficient | Constant |
|---|---|---|
| Working environment stress (S1) | 0.876 | 2.34 |
| Job responsibility stress (S2) | 0.674 | 2.32 |
| Interpersonal relationship stress (S3) | 0.743 | 2.55 |
| Career development stress (S4) | 0.857 | 2.27 |
| Family environment stress (S5) | 0.821 | 2.13 |
| Organization system stress (S6) | 0.784 | 2.82 |
| Resist work (CY1) | 0.823 | 3.35 |
| Individual negative evaluation (CY2) | 0.865 | 3.76 |
| Negative attitude (CY3) | 0.763 | 3.43 |
| Sleep disturbance (EX1) | 0.771 | 3.84 |
| Physical fatigue (EX2) | 0.694 | 3.88 |
| Indifference (EX3) | 0.757 | 3.58 |
| Work efficiency (RPA1) | 0.845 | 3.23 |
| Unfinished work (RPA2) | 0.885 | 3.11 |
| Unrealized value (RPA3) | 0.783 | 3.01 |
| Risky behavior (UB1) | 0.886 | 2.35 |
| Distracted (UB2) | 0.842 | 2.31 |
| No pre-employment inspection (UB3) | 0.793 | 2.63 |
| Conflict protection tool (UB4) | 0.773 | 2.61 |
| Illegal operation (UB5) | 0.755 | 2.53 |
| Lack of safety knowledge (UB6) | 0.812 | 2.58 |
| Strategies | Detailed Contents |
|---|---|
| Safe communication | 1. Leaders should pay sufficient attention to every employee and strengthen safety communication with employees. |
| 2. Employees should also participate in safety communication regularly. Let multiple people gather together to share their accident experiences, work experiences, and safety-related suggestions. | |
| 3. Video conferences, chat groups, and regular team meetings can all increase the frequency of communication. | |
| 4. Regarding the physiological manifestations of employees’ job burnout, encourage miners to care about each other. Once physiological manifestations occur, other employees should help with adjustments in a timely manner or directly arrange for rest days to avoid safety problems caused by job burnout. | |
| Safety training | 1. Safety training should not only popularize safety awareness and safe operations in work, but also add content on effectively regulating their mental health so as to curb unsafe behaviors that may lead to safety accidents. |
| 2. Help employees understand the rights they possess and the obligations they need to fulfill. | |
| 3. Help employees become familiar with the safety rules and regulations and safe operating procedures formulated by the enterprise. | |
| 4. Let employees master the safe operating procedures of their own positions, the protective measures against occupational diseases, and some emergency response measures in case of emergency accidents. | |
| Safety incentive | 1. Establish a fair and reasonable reward and punishment system. |
| 2. Set up a sound safety performance appraisal system. | |
| 3. Conduct regular safety assessments and give rewards according to the reward system. | |
| 4. Provide opportunities for job promotion and skill improvement. |
| Characteristics | SEM-SD | Convolutional Neural Network (CNN) | Ensemble Learning Model |
|---|---|---|---|
| Model Type | A dynamic system model based on equations and feedback loops | A deep learning model focusing on spatial feature extraction | A combination of multiple base models (such as Random Forest, Gradient Boosting Tree) |
| Core Idea | Describes the causal relationships and dynamic feedback among variables | Extracts local features through convolutional layers, suitable for processing grid data (such as images) | Improves prediction performance by combining multiple weak learners |
| Data Requirements | Requires clear variable relationships and theoretical assumptions | Requires a large amount of labeled data | Requires a moderate amount of data, suitable for structured data |
| Interpretability | High, with clear causal relationships | Low, a black-box model | Moderate, depending on the base model (e.g., decision trees have relatively high interpretability) |
| Computational Complexity | Moderate, suitable for small-to-medium-sized systems | High, requiring a large amount of computational resources | Moderate, depending on the base model and the ensemble method |
| Scenarios | SEM-SD | Convolutional Neural Network (CNN) | Ensemble Learning Model |
|---|---|---|---|
| Causal Relationship Analysis | Very suitable, capable of clarifying the causal relationships and dynamic feedback among variables | Not suitable, lacking causal reasoning ability | Partially suitable, can indirectly infer causal relationships through feature importance analysis |
| Time Series Forecasting | Suitable, capable of modeling the long-term behavior of dynamic systems | Suitable, especially when combined with RNN or LSTM | Suitable, especially for tree-based models (such as XGBoost, LightGBM) |
| Image/Video Processing | Not suitable | Very suitable, proficient in processing grid data such as images and videos | Not suitable |
| High-Dimensional Data Processing | Not suitable | Suitable, capable of automatically extracting features | Suitable, especially for tree-based models |
| Small Sample Data | Suitable, relying on theoretical assumptions rather than a large amount of data | Not suitable, requiring a large amount of data | Partially suitable, depending on the base model |
| Dimensions | SEM-SD | Convolutional Neural Network (CNN) | Ensemble Learning Model |
|---|---|---|---|
| Advantages | - Clear causal relationships - Suitable for dynamic system modeling - Low requirements for the amount of data | - Automatic feature extraction - Suitable for high-dimensional data (such as images) - Excellent performance | - Strong prediction performance - Good ability to resist overfitting - Suitable for structured data |
| Limitations | - Strong dependence on theoretical assumptions - Not suitable for high-dimensional data - Computational complexity increases with the scale of the system | - Requires a large amount of data - Poor interpretability - High consumption of computational resources | - Limited interpretability (except for decision trees) - Limited ability to model non-linear relationships |
Disclaimer/Publisher’s Note: The statements, opinions and data contained in all publications are solely those of the individual author(s) and contributor(s) and not of MDPI and/or the editor(s). MDPI and/or the editor(s) disclaim responsibility for any injury to people or property resulting from any ideas, methods, instructions or products referred to in the content. |
© 2025 by the authors. Licensee MDPI, Basel, Switzerland. This article is an open access article distributed under the terms and conditions of the Creative Commons Attribution (CC BY) license (https://creativecommons.org/licenses/by/4.0/).
Share and Cite
Gao, J.; Yang, W.; Shan, X.; Yu, K.; Zhang, Y. An Intervention Study of Employee Safety Behavior in Nuclear Power Plants Under Construction Based on the SEM-SD Model. Buildings 2025, 15, 954. https://doi.org/10.3390/buildings15060954
Gao J, Yang W, Shan X, Yu K, Zhang Y. An Intervention Study of Employee Safety Behavior in Nuclear Power Plants Under Construction Based on the SEM-SD Model. Buildings. 2025; 15(6):954. https://doi.org/10.3390/buildings15060954
Chicago/Turabian StyleGao, Jianzhan, Weibo Yang, Xueqiang Shan, Kai Yu, and Ying Zhang. 2025. "An Intervention Study of Employee Safety Behavior in Nuclear Power Plants Under Construction Based on the SEM-SD Model" Buildings 15, no. 6: 954. https://doi.org/10.3390/buildings15060954
APA StyleGao, J., Yang, W., Shan, X., Yu, K., & Zhang, Y. (2025). An Intervention Study of Employee Safety Behavior in Nuclear Power Plants Under Construction Based on the SEM-SD Model. Buildings, 15(6), 954. https://doi.org/10.3390/buildings15060954
