An Interpretable Modeling Method for Occupancy in Public Buildings Based on Typical Occupancy Data
Abstract
1. Introduction
2. Methods
2.1. Data Collection
2.2. Data Preprocessing
- Zero value correction. Sometimes zero values in occupancy data may reflect that a building is unoccupied. Thus, these data cannot be treated as anomalies directly. Furthermore, occupant behaviors are influenced by social factors such as weekdays, weekends, and holidays. Occupancy data would follow different patterns across different day types. So, we propose a process to deal with zero value in collected occupancy data (shown in Figure 3).
- 2.
- Nighttime data correction. Occupants would sleep and stop using social networks during nights. Nighttime data correction is necessary for buildings with residential functions, such as hotels and hospital inpatient departments. To address this issue, the peak value observed between 9 p.m. and 6 a.m. the following morning is selected to replace the value for the entire nighttime period.
- 3.
- Utilization rate correction. Not all the occupants would use the social networks we choose. So, the occupancy data need to be modified by the utilization rate. In this paper, the utilization rate is 0.7, which is provided by our cooperative internet company.
2.3. Interpretable Occupancy Modeling Method
2.3.1. TOD Extraction
- Detrending
- A logarithmic transformation is applied to the occupancy data and the data are grouped by the hour of day;
- Calculating average occupancy data by Equation (2):where h represents the hour of day, taking integer values from 0 to 23; d represents the day of week, ranging from 1 to 7; represents the average occupancy at hour h for weekday d, obtained from the i-th calculation.
- Calculating the residual value by Equation (3):
- Removing outliers by the k-nearest neighbors (kNN) algorithm;
- If the residuals are steady, the process moves forward; otherwise, the loop continues to calculate and repeat the subsequent steps;
- The trend terms at each hour are extracted by an ensemble empirical mode decomposition (EEMD) algorithm and aggregated into the overall trend term;
- The detrending occupancy data is calculated by Equation (4):where R represents the detrending occupancy data and T represents the trend terms.
- 2.
- Building clustering
- 3.
- TOD extraction
- 4.
- TOD generator training
2.3.2. Key Factors Selection
2.3.3. Model Fitting
2.3.4. Transfer Learning
3. Results and Discussion
3.1. Building Clustering Results
3.2. Key Factor Selection Results
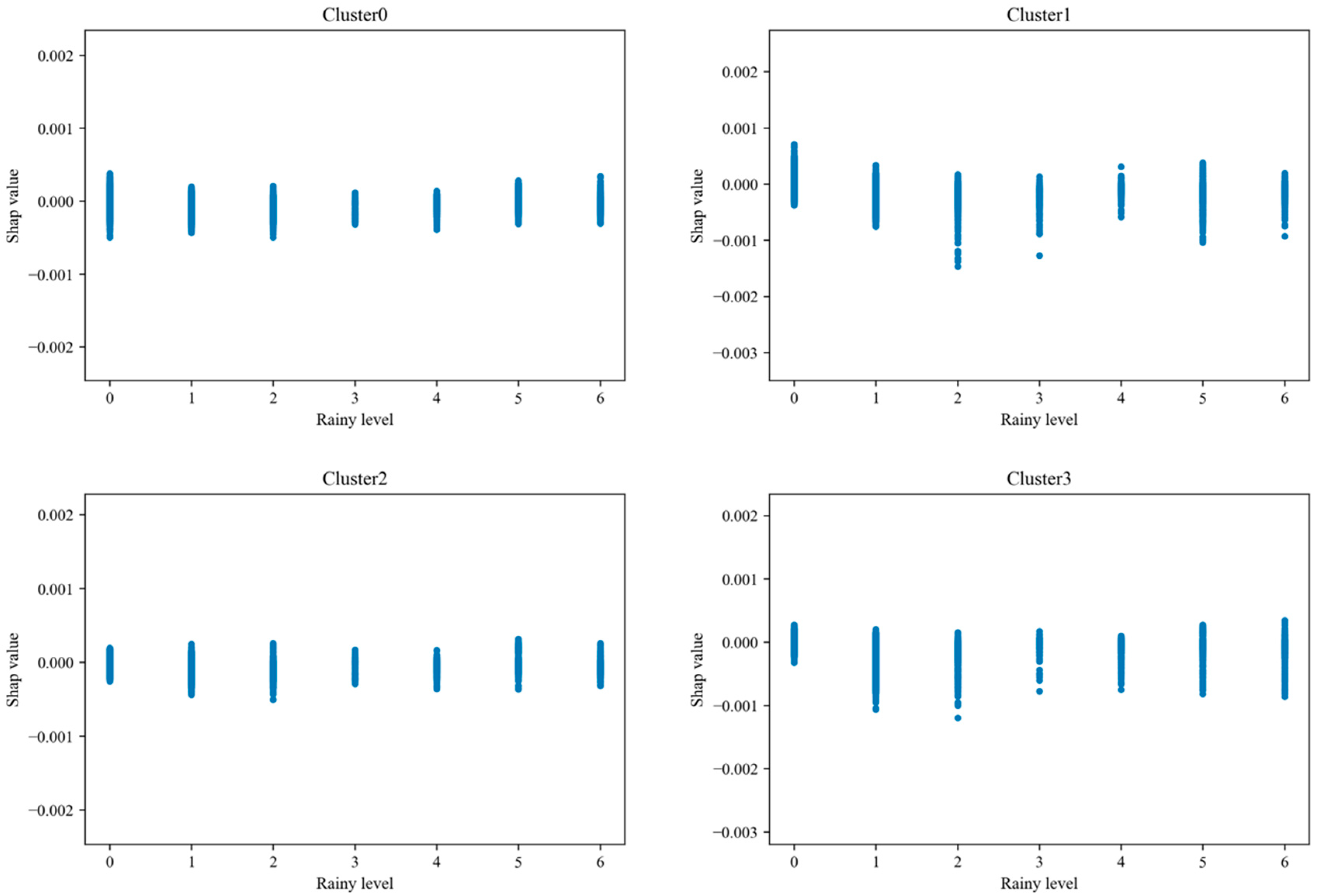
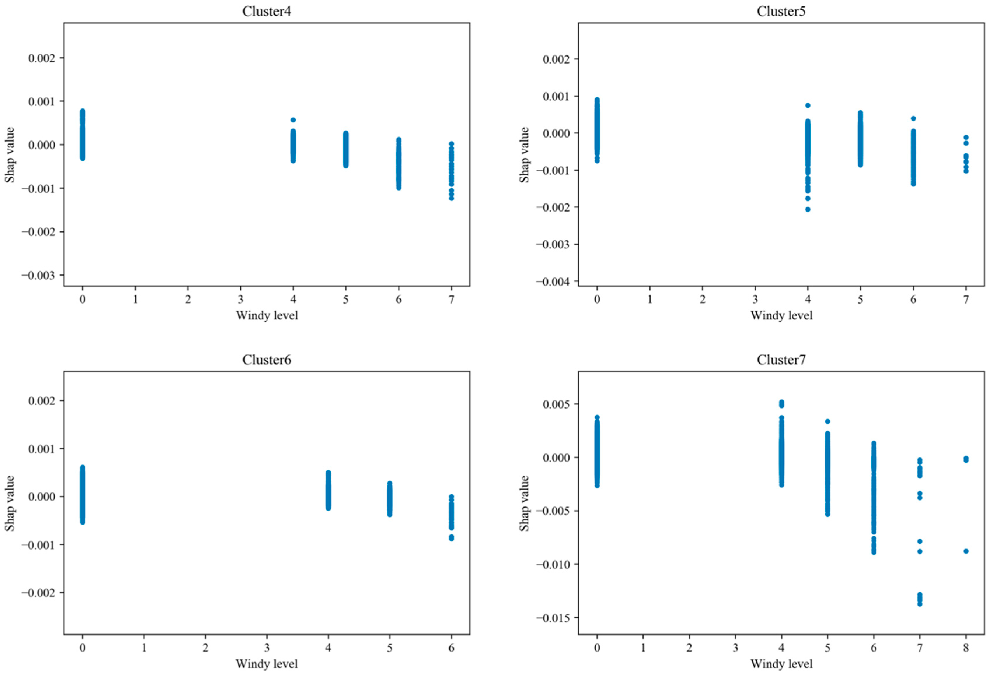
- Wind level significantly affects Cluster1(shopping malls), Cluster3 (airports and nearby shopping buildings), and Cluster7 buildings (train stations and shopping buildings). A wind level exceeding level 6 is observed to substantially influence building occupancy. For other building types, the impact of wind level is negligible;
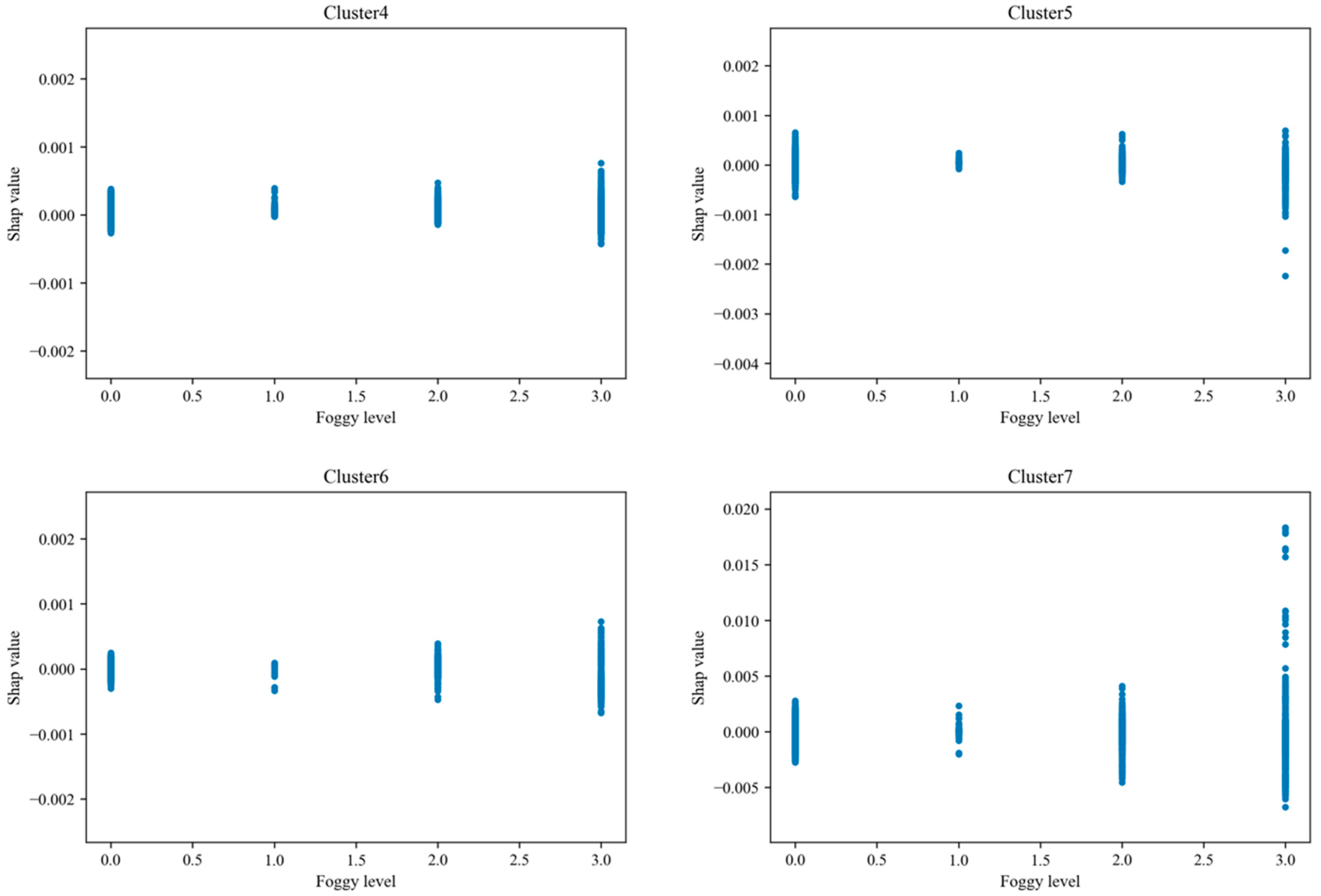
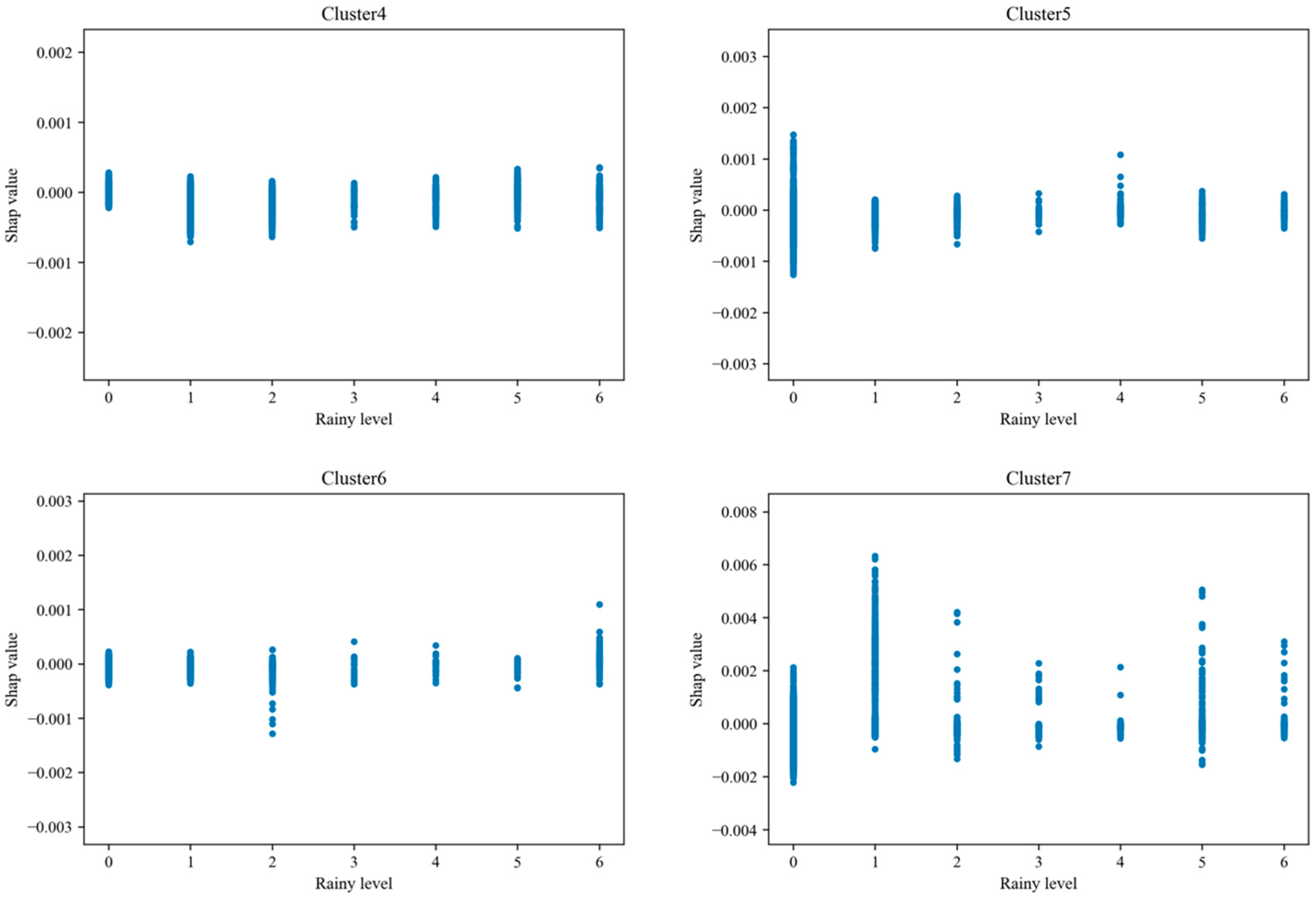
- Precipitation notably affects Cluster1, Cluster3, Cluster5 (universities), Cluster6 (museums), and Cluster7 buildings. For all buildings except Cluster7, precipitation levels greater than 0 are associated with negative SHAP values, indicating that precipitation reduces occupancy. The impact of precipitation is minimal for other building types.
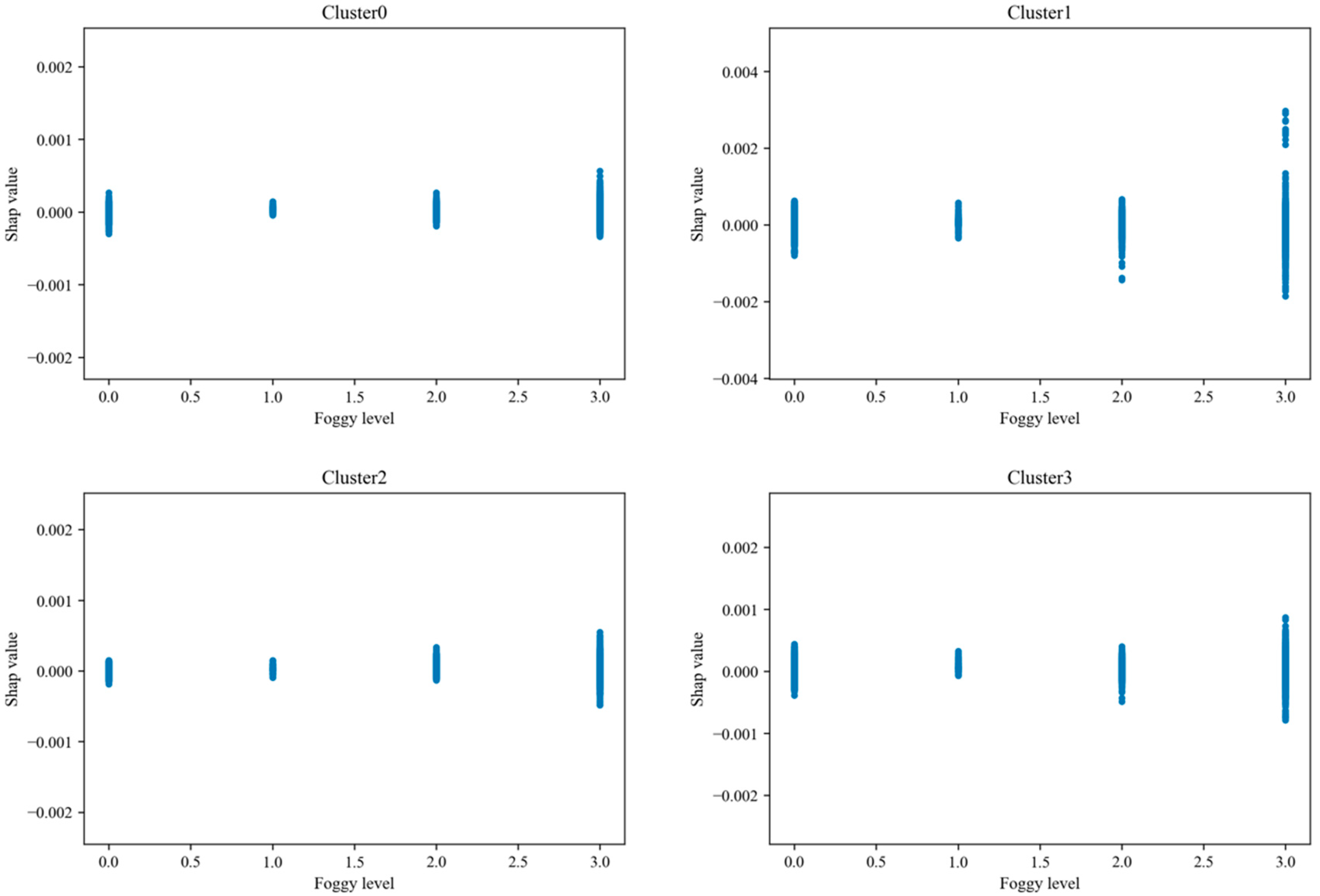
- Fog level mainly influences buildings of Cluster1, Cluster3, Cluster5, and Cluster7. Only fog with a level of 3 (visibility below 10 km) needs to be considered for these buildings.
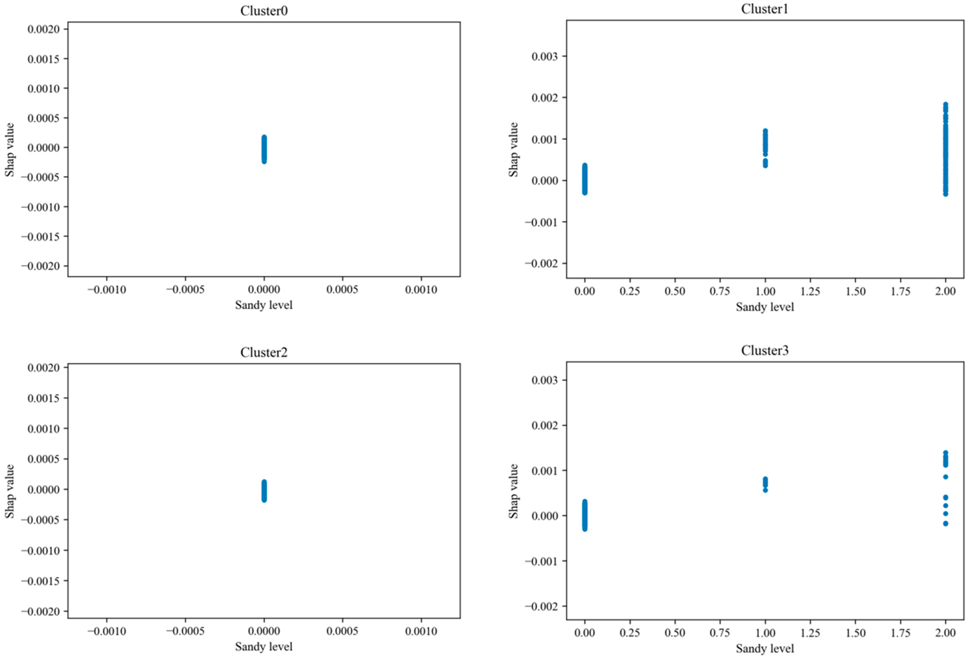
- Sandstorms were observed only in samples from Cluster1, Cluster3, and Cluster7 buildings. Thus, the effects of sand level on other building types remain undetermined. For these three building types, only sand density with a level of 2 should be considered.
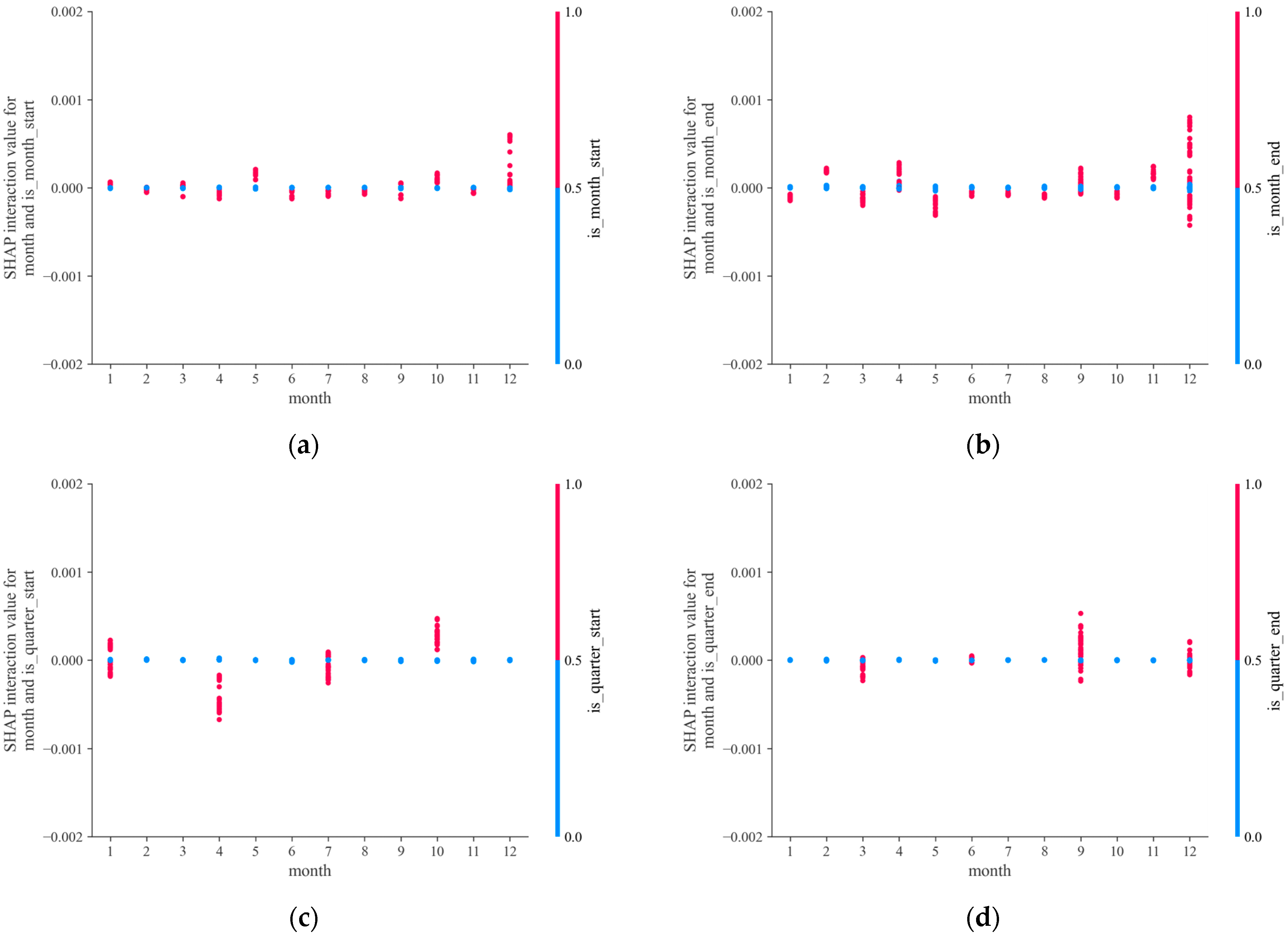
- The effect of effective temperature is rather more complex, as it correlates with seasonal variations. Therefore, a bivariate importance analysis between effective temperature and month should be conducted.
3.3. Model Fitting Results
3.4. Transfer Learning Results
- Scenario A: Only the building information of the target building is known, and the measured occupancy data of other buildings are used for transfer learning;
- Scenario B: Only the building information of the target building is known, and the simulated occupancy data from proposed occupancy models of other buildings are used for transfer learning.
4. Conclusions
- This study proposes data preprocessing methods for occupancy data from social networks, and establishes a comprehensive database for both occupancy data and building information.
- An interpretable public building occupancy modeling method is proposed. The typical occupancy data reflects fundamental occupancy patterns, while the incorporation of trend, day type, weather, and special event factors enables dynamic simulation of public building occupancy. While this modeling method is applicable to other types of public buildings not considered in this study, the key factors and their corresponding influence need to be re-calibrated for new types of buildings.
- A detailed analysis is conducted on the influence of time and weather factors on occupancy across different building types.
- A weighted-instance transfer learning method for occupancy data is proposed. This method calculates the similarity between a target building and database samples based on building information, assigns higher weights to more similar samples, and enables occupancy simulation for buildings without measured data.
- Collecting occupancy data from social networks requires occupants to use mobile devices and connect to the internet. Therefore, this data collection method is unsuitable for buildings like kindergartens, primary schools, and middle schools, where most occupants cannot use mobile devices. For these buildings, traditional methods (e.g., access cards, sensors) are recommended.
- The proposed modeling method is suitable for public buildings like offices, shopping malls, hospitals, airports, universities, and so on, but not for buildings with highly stochastic occupancy (e.g., community shops, fast-food restaurants). The model considers time and environmental factors but omits subjective factors like personal psychology and individual occupant differences.
- It is difficult to distinguish the actual growth trend in building occupancy from the increase caused by the expanding use of social networks. The true long-term occupancy trend needs further observation with more data accumulated.
- Due to limitations of the current sample size and diversity, the transfer performance of the proposed method is limited for some buildings. Furthermore, the influence of some weather factors (such as sand level) is not pronounced in some building types, due to a lack of observed data. However, the proposed modeling process is general. The model performance will improve significantly with a larger and more diverse sample collection in the future.
Author Contributions
Funding
Data Availability Statement
Conflicts of Interest
Abbreviations
| TOD | Typical occupancy data |
| HVAC | Heating, ventilation and air-conditioning |
| PIR | Passive Infra-Red |
| SHAP | SHapley additive exPlanations |
| BA | Building automation |
| PIR | Linear dichroism |
| GP | Gaussian Process |
| HMM | Hidden Markov model |
| GAN | Generative adversarial network |
| RNN | Recurrent neural network |
| SARIMA | Seasonal autoregressive integrated moving average |
| ANN | Artificial neural network |
| LSTM | Long short-term memory |
| LM | Levenberg–Marquardt |
| L-BFGS | Limited-memory Broyden–Fletcher–Goldfarb–Shanno |
| ET | Effective Temperature |
Appendix A










References
- Dong, B.; Yan, D.; Li, Z.; Jin, Y.; Feng, X.; Fontenot, H. Modeling Occupancy and Behavior for Better Building Design and Operation—A Critical Review. Build. Simul. 2018, 11, 899–921. [Google Scholar] [CrossRef]
- Chong, A.; Augenbroe, G.; Yan, D. Occupancy Data at Different Spatial Resolutions: Building Energy Performance and Model Calibration. Appl. Energy 2021, 286, 116492. [Google Scholar] [CrossRef]
- Jin, Y.; Yan, D.; Chong, A.; Dong, B.; An, J. Building Occupancy Forecasting: A Systematical and Critical Review. Energy Build. 2021, 251, 111345. [Google Scholar] [CrossRef]
- Sangogboye, F.C.; Arendt, K.; Jradi, M.; Veje, C.; Kjærgaard, M.B.; Jørgensen, B.N. The Impact of Occupancy Resolution on the Accuracy of Building Energy Performance Simulation. In Proceedings of the 5th Conference on Systems for Built Environments, Shenzhen, China, 7–8 November 2018; ACM: New York, NY, USA, 2018; pp. 103–106. [Google Scholar]
- ASHRAE. 90.1-2013 User’s Manual; ASHRAE Inc.: Atlanta, GA, USA, 2013. [Google Scholar]
- Goel, S.; Athalye, R.A.; Wang, W.; Zhang, J.; Rosenberg, M.I.; Xie, Y.; Hart, P.R.; Mendon, V.V. Enhancements to ASHRAE Standard 90.1 Prototype Building Models; Pacific Northwest National Laboratory (PNNL): Richland, WA, USA, 2014. [Google Scholar]
- Duarte, C.; Van Den Wymelenberg, K.; Rieger, C. Revealing Occupancy Patterns in an Office Building through the Use of Occupancy Sensor Data. Energy Build. 2013, 67, 587–595. [Google Scholar] [CrossRef]
- Niu, M.; Ji, Y.; Zhao, M.; Gu, J.; Li, A. A Study on Carbon Emission Calculation in Operation Stage of Residential Buildings Based on Micro Electricity Usage Behavior: Three Case Studies in China. Build. Simul. 2024, 17, 147–164. [Google Scholar] [CrossRef]
- Sangogboye, F.C.; Arendt, K.; Singh, A.; Veje, C.T.; Kjærgaard, M.B.; Jørgensen, B.N. Performance Comparison of Occupancy Count Estimation and Prediction with Common versus Dedicated Sensors for Building Model Predictive Control. Build. Simul. 2017, 10, 829–843. [Google Scholar] [CrossRef]
- Ohsugi, S.; Koshizuka, N. Delivery Route Optimization Through Occupancy Prediction from Electricity Usage. In Proceedings of the International Computer Software and Applications Conference, Tokyo, Japan, 23–27 July 2018; Volume 1. [Google Scholar]
- Labeodan, T.; Zeiler, W.; Boxem, G.; Zhao, Y. Occupancy Measurement in Commercial Office Buildings for Demand-Driven Control Applications—A Survey and Detection System Evaluation. Energy Build. 2015, 93, 303–314. [Google Scholar] [CrossRef]
- Dong, B.; Lam, K.P. Building Energy and Comfort Management through Occupant Behaviour Pattern Detection Based on a Large-Scale Environmental Sensor Network. J. Build. Perform. Simul. 2011, 4, 359–369. [Google Scholar] [CrossRef]
- Ryu, S.H.; Moon, H.J. Development of an Occupancy Prediction Model Using Indoor Environmental Data Based on Machine Learning Techniques. Build. Environ. 2016, 107, 1–9. [Google Scholar] [CrossRef]
- Yang, Y.; Yuan, Y.; Pan, T.; Zang, X.; Liu, G. A Framework for Occupancy Prediction Based on Image Information Fusion and Machine Learning. Build. Environ. 2022, 207, 108524. [Google Scholar] [CrossRef]
- Lian, H.; Wei, H.; Wang, X.; Chen, F.; Ji, Y.; Xie, J. Research on Real-Time Energy Consumption Prediction Method and Characteristics of Office Buildings Integrating Occupancy and Meteorological Data. Buildings 2025, 15, 404. [Google Scholar] [CrossRef]
- Ahas, R.; Silm, S.; Järv, O.; Saluveer, E.; Tiru, M. Using Mobile Positioning Data to Model Locations Meaningful to Users of Mobile Phones. J. Urban Technol. 2010, 17, 3–27. [Google Scholar] [CrossRef]
- Zhang, S.; Xiao, W.; Gong, J.; Yin, Y. Mobile Sensing and Simultaneously Node Localization in Wireless Sensor Networks for Human Motion Tracking. Appl. Bionics Biomech. 2012, 9, 367–374. [Google Scholar] [CrossRef][Green Version]
- Wang, W.; Chen, J.; Song, X. Modeling and Predicting Occupancy Profile in Office Space with a Wi-Fi Probe-Based Dynamic Markov Time-Window Inference Approach. Build. Environ. 2017, 124, 130–142. [Google Scholar] [CrossRef]
- Kang, X.; Yan, D.; An, J.; Jin, Y.; Sun, H. Typical Weekly Occupancy Profiles in Non-Residential Buildings Based on Mobile Positioning Data. Energy Build. 2021, 250, 111264. [Google Scholar] [CrossRef]
- Mohammadi, N.; Taylor, J.E. Urban Energy Flux: Spatiotemporal Fluctuations of Building Energy Consumption and Human Mobility-Driven Prediction. Appl. Energy 2017, 195, 810–818. [Google Scholar] [CrossRef]
- Lu, X.; Feng, F.; Pang, Z.; Yang, T.; O’Neill, Z. Extracting Typical Occupancy Schedules from Social Media (TOSSM) and Its Integration with Building Energy Modeling. Build. Simul. 2021, 14, 25–41. [Google Scholar] [CrossRef]
- D’Oca, S.; Hong, T. Occupancy Schedules Learning Process through a Data Mining Framework. Energy Build. 2015, 88, 395–408. [Google Scholar] [CrossRef]
- Sha, H.; Xu, P.; Yan, C.; Ji, Y.; Zhou, K.; Chen, F. Development of a Key-Variable-Based Parallel HVAC Energy Predictive Model. Build. Simul. 2022, 15, 1193–1208. [Google Scholar] [CrossRef]
- Gang, W.; Wang, S.; Shan, K.; Gao, D. Impacts of Cooling Load Calculation Uncertainties on the Design Optimization of Building Cooling Systems. Energy Build. 2015, 94, 1–9. [Google Scholar] [CrossRef]
- Page, J.; Robinson, D.; Morel, N.; Scartezzini, J.L. A Generalised Stochastic Model for the Simulation of Occupant Presence. Energy Build. 2008, 40, 83–98. [Google Scholar] [CrossRef]
- Manna, C.; Fay, D.; Brown, K.N.; Wilson, N. Learning Occupancy in Single Person Offices with Mixtures of Multi-Lag Markov Chains. In Proceedings of the 2013 IEEE 25th International Conference on Tools with Artificial Intelligence, Herndon, VA, USA, 4–6 November 2013; IEEE: New York, NY, USA, 2013; pp. 151–158. [Google Scholar]
- Dong, B.; Lam, K.P. A Real-Time Model Predictive Control for Building Heating and Cooling Systems Based on the Occupancy Behavior Pattern Detection and Local Weather Forecasting. Build. Simul. 2014, 7, 89–106. [Google Scholar] [CrossRef]
- Liao, C.; Lin, Y.; Barooah, P. Agent-Based and Graphical Modelling of Building Occupancy. J. Build. Perform. Simul. 2012, 5, 5–25. [Google Scholar] [CrossRef]
- Chen, Y.; Hong, T.; Luo, X. An Agent-Based Stochastic Occupancy Simulator. Build. Simul. 2018, 11, 37–49. [Google Scholar] [CrossRef]
- Chen, Z.; Jiang, C. Building Occupancy Modeling Using Generative Adversarial Network. Energy Build. 2018, 174, 372–379. [Google Scholar] [CrossRef]
- Das, A.; Kjærgaard, M.B. Precept: Occupancy Presence Prediction inside a Commercial Building. In Proceedings of the UbiComp/ISWC 2019—Adjunct Proceedings of the 2019 ACM International Joint Conference on Pervasive and Ubiquitous Computing and Proceedings of the 2019 ACM International Symposium on Wearable Computers, London, UK, 9–13 September 2019. [Google Scholar]
- Huang, W.; Lin, Y.; Lin, B.; Zhao, L. Modeling and Predicting the Occupancy in a China Hub Airport Terminal Using Wi-Fi Data. Energy Build. 2019, 203, 109439. [Google Scholar] [CrossRef]
- Jin, Y.; Yan, D.; Kang, X.; Chong, A.; Sun, H.; Zhan, S. Forecasting Building Occupancy: A Temporal-Sequential Analysis and Machine Learning Integrated Approach. Energy Build. 2021, 252, 111362. [Google Scholar] [CrossRef]
- Wang, Z.; Hong, T.; Piette, M.A. Data Fusion in Predicting Internal Heat Gains for Office Buildings through a Deep Learning Approach. Appl. Energy 2019, 240, 386–398. [Google Scholar] [CrossRef]
- Bishop, C.M. Pattern Recognition and Machine Learning; Springer: New York, NY, USA, 2006. [Google Scholar]
- Triebe, O.; Hewamalage, H.; Pilyugina, P.; Laptev, N.; Bergmeir, C.; Rajagopal, R. NeuralProphet: Explainable Forecasting at Scale. arXiv 2021, arXiv:2111.15397. [Google Scholar] [CrossRef]
- Jiang, X.; Srivastava, S.; Chatterjee, S.; Yu, Y.; Handler, J.; Zhang, P.; Bopardikar, R.; Li, D.; Lin, Y.; Thakore, U.; et al. Kats 2022. Available online: https://github.com/facebookresearch/Kats (accessed on 13 November 2025).
- Prokhorenkova, L.; Gusev, G.; Vorobev, A.; Dorogush, A.V.; Gulin, A. CatBoost: Gradient Boosting with Categorical Features Support. In Proceedings of the Workshop on ML Systems at NIPS 2017, Long Beach, CA, USA, 8 December 2017. [Google Scholar]
- Lundberg, S.; Lee, S.-I. A Unified Approach to Interpreting Model Predictions. In Proceedings of the 31st International Conference on Neural Information Processing Systems, Long Beach, CA, USA, 4–9 December 2017; Curran Associates Inc.: Red Hook, NY, USA, 2017; pp. 4768–4777. [Google Scholar]
- Akiba, T.; Sano, S.; Yanase, T.; Ohta, T.; Koyama, M. Optuna: A Next-Generation Hyperparameter Optimization Framework. In Proceedings of the 25th ACM SIGKDD International Conference on Knowledge Discovery & Data Mining, Anchorage, AK, USA, 4–8 August 2019. [Google Scholar]
- Virtanen, P.; Gommers, R.; Oliphant, T.E.; Haberland, M.; Reddy, T.; Cournapeau, D.; Burovski, E.; Peterson, P.; Weckesser, W.; Bright, J.; et al. SciPy 1.0: Fundamental Algorithms for Scientific Computing in Python. Nat. Methods 2020, 17, 261–272. [Google Scholar] [CrossRef]
- Carpenter, B.; Gelman, A.; Hoffman, M.D.; Lee, D.; Goodrich, B.; Betancourt, M.; Brubaker, M.; Guo, J.; Li, P.; Riddell, A. Stan: A Probabilistic Programming Language. J. Stat. Softw. 2017, 76, 1–32. [Google Scholar] [CrossRef] [PubMed]
- Pan, S.J.; Yang, Q. A Survey on Transfer Learning. IEEE Trans. Knowl. Data Eng. 2010, 22, 1345–1359. [Google Scholar] [CrossRef]
- Han, J.; Kamber, M. Data Mining: Concepts and Techniques, 3rd ed.; Elsevier: Burlington, MA, USA, 2012; ISBN 978-0-12-381479-1. [Google Scholar]















| Stage | Application Scenario | Building Type | Spatial Resolution | Temporal Resolution |
|---|---|---|---|---|
| design | HVAC source equipment sizing | all | building | hour |
| design | HVAC terminal equipment sizing | all | room | hour |
| design | building layout optimization | all | room | hour |
| design | urban planning | all | building | day/hour |
| operation | demand response | all | building | minute/hour |
| operation | building energy assessment | all | building | hour |
| operation | HVAC control | Type A 1 | room | minute/hour |
| Type B 2 | zone/building | minute/hour | ||
| operation | lighting control | Type A 1 | room | minute/hour |
| Type B 2 | zone/building | minute/hour | ||
| operation | elevator control | all | floor | minute |
| Method | Building Type | Resolution | Data Collection Method | Inputs | References | |
|---|---|---|---|---|---|---|
| Spatial | Temporal | |||||
| k-means | railway station, hospital, commercial complex | building | 1 h | mobile device | historical data | [19] |
| k-means +decision tree | office | room | 10 min | lighting on/off | historical data, time of the day, day of the week, window change | [22] |
| sampling | hotel | building | 1 h | / | statistical parameter | [23] |
| sampling | office | zone | 1 h | / | statistical parameter | [24] |
| regression | school | room | min | PIR, camera | historical data, CO2 concentration, temperature, day type, season, holiday | [9] |
| Markov chains | office | room | 1 h | position sensor | occupant leaving times, occupant leaving interval, transition matrix | [25] |
| Markov chains | office | room | 10 min–1 h | PIR | historical data | [26] |
| GP+HMM | office | room | min | sensor fusion | historical data | [27] |
| Agent-based | school | room | 15 min | camera | occupant arriving time, occupant leaving time, occupied interval | [28] |
| Agent-based | office | room | min | survey | occupant type, occupant density, parameters of events | [29] |
| GAN | school | room | 15 min | camera | historical data | [30] |
| RNN | commercial building | room | / | camera | historical data | [31] |
| Bayesian model based | airport | zone | 1 h | Wi-Fi | historical data | [32] |
| SARIMA-ANN | airport, train station | building | 1 h | mobile device | historical data | [33] |
| LSTM | office | building | min | camera | historical data | [34] |
| Category | Subcategory | Sample Size | Category | Subcategory | Sample Size |
|---|---|---|---|---|---|
| office | government building | 4 | restaurant | quick service restaurant | 2 |
| commercial office building | 3 | hospital | outpatient department | 2 | |
| shopping area | shopping mall | 19 | inpatient department | 2 | |
| supermarket | 2 | clinic | 2 | ||
| shop | 1 | education | university | 2 | |
| hotel | luxury hotel | 2 | transportation | airport | 5 |
| business hotel | 2 | train station | 5 | ||
| budget inn | 1 | art | museum | 2 |
| Type | Information | Nomenclature |
|---|---|---|
| basic information | building ID | Id |
| name | bName | |
| area | A | |
| function | bFunc | |
| construction time | initial construction year | iTime |
| most recent renovation year | reTime | |
| location | city | C |
| number of bus stops within a radius of 500 m | bn5 | |
| number of bus stops within a radius of 1000 m | bn10 | |
| number of metro lines within a radius of 500 m | mn5 | |
| number of metro lines within a radius of 1000 m | mn10 | |
| number of shopping malls within a radius of 500 m | sn5 | |
| number of shopping malls within a radius of 1000 m | sn10 | |
| number of residential quarters within a radius of 500 m | rn5 | |
| number of residential quarters within a radius of 1000 m | rn10 | |
| distance to nearest airport | na | |
| distances to nearest train station | nt |
| Type | Count | Feature Name | Equation or Extraction Method |
|---|---|---|---|
| Holiday effects | 7 | ChineseNewYear, DragonBoat, LaborDay, Mid-Autumn, NationalDay, NewYearsDay, TombSweepingDay | prophet model [36] |
| Month effects | 12 | m = 1, m = 2, m = 3, m = 4, m = 5, m = 6, m = 7, m = 8, m = 9, m = 10, m = 11, m = 12 | |
| Hour effects | 24 | h = 0, h = 1, h = 2, h = 3, h = 4, h = 5, h = 6, h = 7, h = 8, h = 9, h = 10, h = 11, h = 12, h = 13, h = 14, h = 15, h = 16, h = 17, h = 18, h = 19, h = 20, h = 21, h = 22, h = 23 | |
| Statistics | 14 | mean, var, entropy, lumpiness, stability, flat_spots, heterogeneity, crossing_points, binarize_mean, histogram_mode, level_shift_idx, firstmin_ac, firstzero_ac, linearity | Kats [37] |
| Others | 15 | trend_strength, seasonality_strength, y_acf1, y_acf5, diff1y_acf1, diff1y_acf5, diff2y_acf1, diff2y_acf5, y_pacf5, diff1y_pacf5, diff2y_pacf5, seas_acf1, seas_pacf1, holt_alpha, holt_beta | Kats [37] |
| Type | Name | Nomenclature | Data Type |
|---|---|---|---|
| building information | new building type obtained from Section 2.3.1 | newBType | multinomial categorical |
| floor area per person | area_per_occ | continuous numeric | |
| most recent renovation year | reTime | discrete numeric | |
| time factor | year | year | discrete numeric |
| month of year | month | discrete numeric | |
| day of month | day | discrete numeric | |
| day of week | dayofweek | discrete numeric | |
| hour of day | hour | discrete numeric | |
| special factor | holiday | holidays | multinomial categorical |
| shift day | is_Shifts | binary categorical | |
| days to nearest holiday | days2holidays | discrete numeric | |
| month start | is_month_start | binary categorical | |
| month end | is_month_end | binary categorical | |
| quarter start | is_ quarter_start | binary categorical | |
| quarter end | is_ quarter_end | binary categorical | |
| Valentine’s Day 1 | is_Valentine_day | binary categorical | |
| “Double Eleven” shopping festival | is_1111_day | binary categorical | |
| Christmas Day 1 | is_Christmas_day | binary categorical | |
| weather factor | effective temperature | ET | continuous numeric |
| wind level | Windy | discrete numeric | |
| precipitation level | Rainy | discrete numeric | |
| cloud cover level | Cloud | discrete numeric | |
| fog level | Foggy | discrete numeric | |
| sand level | Sandy | discrete numeric |
| Type | Equation | Parameter | Model Fitting Method |
|---|---|---|---|
| trend effect | t—time; t0, A1, A2, p, a, b—parameters to be estimated | LM | |
| day type effect | , , , —effect coefficients of day type, month, weather, special events, respectively; , , , —signal functions of day type, month, weather, special events, respectively. | L-BFGS | |
| month effect | |||
| weather effect | |||
| special event effect |
| Clustering Results | Count | Areas (m2) |
|---|---|---|
| Cluster0 | 11 | 5000–70,000 |
| Cluster1 | 16 | 27,500–205,000 |
| Cluster2 | 3 | 600–900 |
| Cluster3 | 7 | 8000–1,410,000 |
| Cluster4 | 7 | 20,000–90,000 |
| Cluster5 | 2 | 12,728–26,000 |
| Cluster6 | 2 | 18,695–100,600 |
| Cluster7 | 8 | 44,000–700,000 |
| Clustering Results | Labels |
|---|---|
| Cluster0 | offices, hospital outpatient departments, and clinics |
| Cluster1 | shopping malls |
| Cluster2 | small-scale buildings near residential quarters |
| Cluster3 | airports and nearby shopping buildings |
| Cluster4 | hotels and hospital inpatient departments |
| Cluster5 | universities |
| Cluster6 | museums |
| Cluster7 | train stations and nearby shopping buildings |
| Factor | Cluster0 | Cluster1 | Cluster2 | Cluster3 | Cluster4 | Cluster5 | Cluster6 | Cluster7 |
|---|---|---|---|---|---|---|---|---|
| hour | ✓ | ✓ | ✓ | ✓ | ✓ | ✓ | ✓ | ✓ |
| month | ✓ | ✓ | ✓ | ✓ | ✓ | ✓ | ✓ | ✓ |
| year | ✓ | ✓ | ✓ | ✓ | ✓ | ✓ | ✓ | ✓ |
| day type | ✓ | ✓ | ✓ | ✓ | ✓ | ✓ | ✓ | ✓ |
| ET (≥27 °C) | ✓ | ✓ | ✓ | |||||
| windy (≥6) | ✓ | ✓ | ✓ | |||||
| rainy | ✓ | ✓ | ✓ | ✓ | ✓ | |||
| foggy (=3) | ✓ | ✓ | ✓ | ✓ | ||||
| sandy (=2) | ✓ | ✓ | ✓ | |||||
| Christmas Day | ✓ | |||||||
| Double Eleven Day | ✓ | |||||||
| Valentine’s Day | ✓ | |||||||
| COVID-19 | ✓ | ✓ | ✓ | ✓ | ✓ | ✓ | ✓ |
Disclaimer/Publisher’s Note: The statements, opinions and data contained in all publications are solely those of the individual author(s) and contributor(s) and not of MDPI and/or the editor(s). MDPI and/or the editor(s) disclaim responsibility for any injury to people or property resulting from any ideas, methods, instructions or products referred to in the content. |
© 2025 by the authors. Licensee MDPI, Basel, Switzerland. This article is an open access article distributed under the terms and conditions of the Creative Commons Attribution (CC BY) license (https://creativecommons.org/licenses/by/4.0/).
Share and Cite
Gu, J.; Zhu, Y.; Ji, Y.; Xu, P.; Li, L. An Interpretable Modeling Method for Occupancy in Public Buildings Based on Typical Occupancy Data. Buildings 2025, 15, 4318. https://doi.org/10.3390/buildings15234318
Gu J, Zhu Y, Ji Y, Xu P, Li L. An Interpretable Modeling Method for Occupancy in Public Buildings Based on Typical Occupancy Data. Buildings. 2025; 15(23):4318. https://doi.org/10.3390/buildings15234318
Chicago/Turabian StyleGu, Jiefan, Yi Zhu, Ying Ji, Peng Xu, and Linxue Li. 2025. "An Interpretable Modeling Method for Occupancy in Public Buildings Based on Typical Occupancy Data" Buildings 15, no. 23: 4318. https://doi.org/10.3390/buildings15234318
APA StyleGu, J., Zhu, Y., Ji, Y., Xu, P., & Li, L. (2025). An Interpretable Modeling Method for Occupancy in Public Buildings Based on Typical Occupancy Data. Buildings, 15(23), 4318. https://doi.org/10.3390/buildings15234318
