Effect of High-Tenacity Polypropylene Fibers on the Carbonation Resistance of Expanded Polystyrene Concrete
Abstract
1. Introduction
2. Experimental Program
2.1. Raw Materials
2.2. HTPP Fibers
2.3. Specimen Preparation
2.4. Testing Methods
2.4.1. Carbonation Testing
2.4.2. Microstructure Analysis
3. Results and Discussion
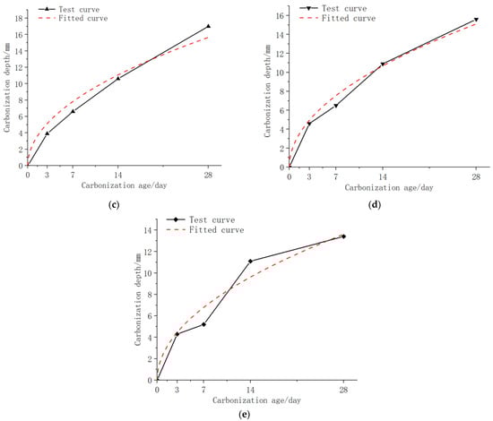
3.1. Analysis of CD
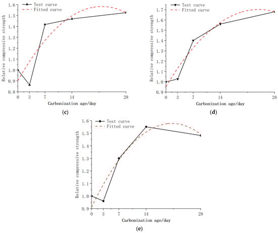
3.2. Analysis of UCS after Carbonation
3.3. Prediction of CD of EPSC
3.4. Micromechanism Analysis
3.5. Prediction of Carbonation Service Life
4. Conclusions
- HTPP fibers effectively improved the CR of EPSC and reduced the 28-day CD by up to 29.5%.
- The UCS of EPSC after carbonation increased by 30−60%. The established relative strength model and CD model for EPSC matched well with the experimental curves, which offers a valuable reference for the performance evaluation of EPSC after carbonization.
- From a microstructural perspective, the enhancement mechanism of the CR of EPSC by HTPP fibers was mainly attributed to three factors: increased concrete density, reduced formation and propagation of cracks, and improved overall structural integrity.
- The carbonation service life of EPSC after introducing HTPP fibers was dramatically increased by up to 101.1%. This demonstrated that incorporating HTPP fibers can substantially improve the carbonation service life and enhance the durability of EPSC.
Author Contributions
Funding
Data Availability Statement
Conflicts of Interest
References
- Zhang, W.; Lü, Y.; Liu, P. Review on the Research Progress of EPS Concrete. Mater. Rev. 2019, 33, 2214–2228. [Google Scholar]
- Scioti, A.; Fatiguso, F. Performance Characterization and Evaluation of Innovative Cement Mortars and Concretes Made with Recycled EPS. Appl. Sci. 2024, 14, 1583. [Google Scholar] [CrossRef]
- Wu, Z.; Wang, X.; Chen, Z. Experimental Study on Corn Straw Fiber (CSF) Toughening EPS Concrete. Constr. Build. Mater. 2024, 429, 136325. [Google Scholar] [CrossRef]
- Fernando, P.L.N.; Jayasinghe, M.T.R.; Jayasinghe, C. Structural Feasibility of Expanded Polystyrene (EPS) Based Lightweight Concrete Sandwich Wall Panels. Constr. Build. Mater. 2017, 139, 45–51. [Google Scholar] [CrossRef]
- Babu, K.G.; Babu, D.S. Behavior of Lightweight Expanded Polystyrene Concrete Containing Silica Fume. Cem. Concr. Res. 2003, 33, 755–762. [Google Scholar] [CrossRef]
- Ferrándiz-Mas, V.; García-Alcocel, E. Physical and Mechanical Characterization of Portland Cement Mortars Made with Expanded Polystyrene Particles Addition (EPS). Mater. Constr. 2012, 62, 547–566. [Google Scholar]
- JGJ 383-2016; Technical Specification of Lightweight Steel and Lightweight Concrete Structures. Ministry of Construction of the People’s Republic of China: Beijing, China, 2016.
- Li, D.; Huang, Q.; Li, H.; Quan, C. Experimental study for effect of lightweight concrete strength on seismic capacity of lightweight steel and expanded polystyrene concrete wall. Build. Sci. 2019, 35, 60–65. [Google Scholar]
- Chen, Y.; Quan, C.; Li, D.; Xie, L. Experimental study on lightweight steel and lightweight concrete wall under local compression. Build. Sci. 2019, 35, 59–64. [Google Scholar]
- Cui, C. Seismic Behavior of Lightweight Steel and EPS Concrete Shear Walls. Ph.D. Thesis, Tsinghua University, Beijing, China, 2016. [Google Scholar]
- Huang, Q.; Li, D.; Wang, J.; Chen, C.; Zhang, M. Study on lightweight steel and lightweight concrete structures system. J. Build. Struct. 2016, 37, 1–9. [Google Scholar]
- Huang, Q.; Li, D.; Shao, H.; Cui, C.; Quan, C. Seismic capacity evaluation of lightweight steel and lightweight concrete structure based on quasi-static cyclic test of a multi-story full scale model. J. Build. Struct. 2016, 37, 10–17. [Google Scholar]
- Duan, W. The Rural Housing Structure Finite Element Analysis of the Lower Layers Cast-in-Place Reinforced Concrete Bearing Wall of EPS Module. Master’s Thesis, Xi’an University of Architecture and Technology, Xi’an, China, 2014. [Google Scholar]
- Zhang, L.; Huang, M.; Yang, F.; Zhang, W. A novel hydrophilic modification method of EPS particles: Conception design and performances in concrete. Cem. Concr. Compos. 2023, 142, 105199. [Google Scholar] [CrossRef]
- Li, B.; Wang, Z.; Su, L.; Leng, F. Experimental Study on Matching Process to Reduce the Shrinkage Properties of EPS Concrete. Mater. Rep. 2021, 35, 16021–16027. [Google Scholar]
- Babavalian, A.; Ranjbaran, A.H.; Shahbeyk, S. Uniaxial and triaxial failure strength of fiber reinforced EPS concrete. Constr. Build. Mater. 2020, 247, 118617. [Google Scholar] [CrossRef]
- Liu, F.; Wei, K.; Yang, F. Experimental Investigation on Performance of Polyvinyl Alcohol Fiber Modified EPS Concrete. J. Funct. Mater. 2021, 52, 12055–12060. [Google Scholar]
- Feng, Y.; Qin, D.; Li, L.; Li, Y.; Wang, C.; Wang, P. EVA enhances the interfacial strength of EPS concrete: A molecular dynamics study. J. Exp. Nanosci. 2021, 16, 382–396. [Google Scholar] [CrossRef]
- Liang, N.; Geng, S.; Mao, J.; Liu, X.; Zhou, X. Investigation on cracking resistance mechanism of basalt-polypropylene fiber reinforced concrete based on SEM test. Constr. Build. Mater. 2024, 411, 134102. [Google Scholar] [CrossRef]
- Li, S.; Zhou, Z.; Lu, Y.; Wang, Z.; An, J. Effects of Polyvinyl Alcohol Fiber Content on Early Crack Resistance and Shrinkage Properties of High Ductility Geopolymer Concrete. J. Dalian Univ. Technol. 2024, 64, 74–81. [Google Scholar]
- Zhao, Y.; Shi, X.; He, X.; Wang, H. Research on Flexural Crack Resistance of Polypropylene Fiber Concrete Beams. Highway 2024, 3, 364–371. [Google Scholar]
- Liang, N.; Hu, G.; Zhou, K.; Liu, X.; Zhou, X. Study on early-age cracking resistance of multi-scale polypropylene fiber reinforced concrete in restrained ring tests. J. Sustain. Cem. Based Mater. 2024, 13, 1050–1062. [Google Scholar] [CrossRef]
- Li, H.; Wei, Y.; Meng, K.; Zhao, L.; Zhu, B.; Wei, B. Mechanical properties and stress-strain relationship of surface-treated bamboo fiber reinforced lightweight aggregate concrete. Constr. Build. Mater. 2024, 424, 135914. [Google Scholar] [CrossRef]
- Meng, Y.; Chen, L.; Xu, X.; Cai, Z.; Tian, B. Crack resistance and self-healing experiments of fiber reinforced microbial concrete. J. Hydroelectr. Eng. 2024, 4, 1–10. [Google Scholar]
- Lin, H.; Zhu, B.; Yuan, J.; He, H.; Li, R.; Yu, J.; Shen, X.; He, C.; Liu, J.; Xu, W. Study on the Impact of HTPP Fibers on the Mechanical Properties of Ceramsite Concrete. Case Stud. Constr. Mater. 2023, 19, e02471. [Google Scholar] [CrossRef]
- Feng, S.; Shi, Y.; Pham, T.M. Pullout and Flexural Performance of Silane Groups and Hydrophilic Groups Grafted Polypropylene Fibre Reinforced UHPC. Constr. Build. Mater. 2021, 277, 122335. [Google Scholar]
- Cheng, M. Experimental research on carbonization of steel-polypropylene fiber reinforced reactive powder concrete. Sichuan Build. Sci. 2018, 44, 97–101. [Google Scholar]
- GB/T50081-2019; Standard for Test Method of Mechanical Properties on Ordinary Concrete. China Architecture and Building Press: Beijing, China, 2009.
- GB/T50082-2009; Standard for Test Methods of Long-Term Performance and Durability of Ordinary Concrete. China Architecture and Building Press: Beijing, China, 2009.
- Singh, S.P.; Singh, N. Reviewing the Carbonation Resistance of Concrete. J. Mater. Eng. Struct. 2016, 3, 35–57. [Google Scholar]
- He, H.; Wang, Y.; Yuan, J.; Xu, K.; Wang, S.; Qiao, H.; Wu, T.; Yang, J.; Liu, J.; Yu, J.; et al. A New Type of Mineral Admixture and Its Impact on the Carbonation Resistance of EPS Concrete. Sustainability 2023, 15, 7233. [Google Scholar] [CrossRef]
- Ran, J. Durability and Service Life Prediction of Concrete Under Complex Environmental Conditions. Ph.D. Thesis, Beijing University of Technology, Beijing, China, 2017. [Google Scholar]
- Cui, D. Microstructure, Carbonation of Cement-Based Materials and Models Predicting Carbonation Depths in the Context of Global Climate Change. Ph.D. Thesis, Southeast University, Nanjing, China, 2018. [Google Scholar]
- Geng, O.; Zhang, X.; Zhang, C. Prediction models of the carbonization depth of recycled concrete. J. China Univ. Min. Technol. 2015, 44, 54–58. [Google Scholar]
- Yu, B.; Cheng, D.; Yang, L. Quantification of environmental effect for carbonation and durability analysis of concrete structures. China Civ. Eng. J. 2015, 48, 51–59. [Google Scholar]
- Yang, H.F.; Deng, Z.H.; Li, X.L. Microscopic Mechanism Study on Carbonation Resistance of Recycled Aggregate Concrete. Adv. Mater. Res. 2011, 194, 1001–1006. [Google Scholar] [CrossRef]
- Huang, K. Reinforcement Corrosion and Protection in Reinforced Concrete Structures; China Architecture and Building Press: Beijing, China, 1983. [Google Scholar]
- Chen, L. Research on Concrete Carbonation Model and its Parameters. Master’s Thesis, Xi’an University of Architecture and Technology, Xi’an, China, 2007. [Google Scholar]
- Luo, Z.; Yang, X.; Ji, H.; Zhang, C. Carbonation Model and Prediction of Polyvinyl Alcohol Fiber Concrete with Fiber Length and Content Effects. Int. J. Concr. Struct. Mater. 2022, 16, 9. [Google Scholar] [CrossRef]



















| Specimen ID | Cement (kg/m3) | Fly Ash (kg/m3) | EPS Particles (L) | Water (kg/m3) | Water Reducer (kg/m3) | HTPP Fiber Volume Content |
|---|---|---|---|---|---|---|
| EP00 | 370 | 370 | 580 | 272 | 2 | 0% |
| EP06 | 370 | 370 | 580 | 272 | 2 | 0.60% |
| EP09 | 370 | 370 | 580 | 272 | 2 | 0.90% |
| EP12 | 370 | 370 | 580 | 272 | 2 | 1.20% |
| EP15 | 370 | 370 | 580 | 272 | 2 | 1.50% |
| Specimen ID | CD at Various Carbonation Ages (mm) | |||
|---|---|---|---|---|
| 3 Days | 7 Days | 14 Days | 28 Days | |
| EP00 | 6.5 | 7.6 | 11.3 | 19.0 |
| EP06 | 6.8 | 9.3 | 10.5 | 18.5 |
| EP09 | 3.9 | 6.6 | 10.6 | 17.0 |
| EP12 | 4.6 | 6.5 | 10.9 | 15.6 |
| EP15 | 4.3 | 5.2 | 11.1 | 13.4 |
| Specimen ID | UCS (MPa) | Relative Strength | ||||||||
|---|---|---|---|---|---|---|---|---|---|---|
| 0 Days | 3 Days | 7 Days | 14 Days | 28 Days | 0 Days | 3 Days | 7 Days | 14 Days | 28 Days | |
| EP00 | 8.80 | 7.27 | 6.40 | 11.50 | 13.60 | 1.00 | 0.83 | 0.73 | 1.31 | 1.55 |
| EP06 | 9.37 | 8.30 | 10.50 | 13.33 | 12.57 | 1.00 | 0.89 | 1.12 | 1.42 | 1.34 |
| EP09 | 11.07 | 9.57 | 15.70 | 16.27 | 16.90 | 1.00 | 0.86 | 1.42 | 1.47 | 1.53 |
| EP12 | 8.73 | 8.97 | 12.23 | 13.63 | 14.67 | 1.00 | 1.03 | 1.40 | 1.56 | 1.68 |
| EP15 | 10.17 | 9.77 | 13.23 | 15.77 | 15.07 | 1.00 | 0.96 | 1.30 | 1.55 | 1.48 |
| Specimen ID | α | β | γ | R2 |
|---|---|---|---|---|
| EP00 | 5.84308 × 10−4 | 0.0092 | 0.86401 | 0.49272 |
| EP06 | −0.00109 | 0.04724 | 0.88969 | 0.61092 |
| EP09 | −0.00144 | 0.06255 | 0.9042 | 0.5745 |
| EP12 | −0.00132 | 0.0628 | 0.95417 | 0.90454 |
| EP15 | −0.00157 | 0.0647 | 0.91251 | 0.81647 |
| Fitting Parameter | EP00 | EP06 | EP09 | EP12 | EP15 |
|---|---|---|---|---|---|
| K | 3.34973 | 3.33777 | 2.95835 | 2.8557 | 2.57008 |
| R2 | 0.97311 | 0.96684 | 0.97035 | 0.98936 | 0.95881 |
| ID | 3 Days | 7 Days | 14 Days | 28 Days | ||||||||
|---|---|---|---|---|---|---|---|---|---|---|---|---|
| Measured Depth (mm) | Calculated Depth (mm) | Error (%) | Measured Depth (mm) | Calculated Depth (mm) | Error (%) | Measured Depth (mm) | Calculated Depth (mm) | Error (%) | Measured Depth (mm) | Calculated Depth (mm) | Error (%) | |
| EP00 | 6.5 | 5.8 | 10.77% | 7.6 | 8.8 | −15.79% | 11.3 | 12.5 | −10.62% | 19.0 | 17.7 | 6.84% |
| EP06 | 6.8 | 5.7 | 16.18% | 9.3 | 8.9 | 4.30% | 10.5 | 12.4 | −18.10% | 18.5 | 17.7 | 4.32% |
| EP09 | 3.9 | 5.1 | −30.77% | 6.6 | 7.8 | −18.18% | 10.6 | 11.1 | −4.72% | 17.0 | 15.6 | 8.24% |
| EP12 | 4.6 | 4.9 | −6.52% | 6.5 | 7.6 | −16.92% | 10.9 | 10.7 | 1.83% | 15.6 | 15.1 | 3.21% |
| EP15 | 4.3 | 4.5 | −4.65% | 5.2 | 6.8 | −30.77% | 11.1 | 9.7 | 12.61% | 13.4 | 13.6 | −1.49% |
Disclaimer/Publisher’s Note: The statements, opinions and data contained in all publications are solely those of the individual author(s) and contributor(s) and not of MDPI and/or the editor(s). MDPI and/or the editor(s) disclaim responsibility for any injury to people or property resulting from any ideas, methods, instructions or products referred to in the content. |
© 2024 by the authors. Licensee MDPI, Basel, Switzerland. This article is an open access article distributed under the terms and conditions of the Creative Commons Attribution (CC BY) license (https://creativecommons.org/licenses/by/4.0/).
Share and Cite
Wang, S.; Xu, S.; Han, Y.; Dong, W.; Zhang, Z.; Yu, K.; Lin, W.; Yuan, J.; He, H.; Lin, H.; et al. Effect of High-Tenacity Polypropylene Fibers on the Carbonation Resistance of Expanded Polystyrene Concrete. Buildings 2024, 14, 2480. https://doi.org/10.3390/buildings14082480
Wang S, Xu S, Han Y, Dong W, Zhang Z, Yu K, Lin W, Yuan J, He H, Lin H, et al. Effect of High-Tenacity Polypropylene Fibers on the Carbonation Resistance of Expanded Polystyrene Concrete. Buildings. 2024; 14(8):2480. https://doi.org/10.3390/buildings14082480
Chicago/Turabian StyleWang, Shifang, Shangquan Xu, Yong Han, Weiqi Dong, Zhicheng Zhang, Kaisheng Yu, Wei Lin, Ji Yuan, Haijie He, Hongjian Lin, and et al. 2024. "Effect of High-Tenacity Polypropylene Fibers on the Carbonation Resistance of Expanded Polystyrene Concrete" Buildings 14, no. 8: 2480. https://doi.org/10.3390/buildings14082480
APA StyleWang, S., Xu, S., Han, Y., Dong, W., Zhang, Z., Yu, K., Lin, W., Yuan, J., He, H., Lin, H., Xu, W., & Ren, Z. (2024). Effect of High-Tenacity Polypropylene Fibers on the Carbonation Resistance of Expanded Polystyrene Concrete. Buildings, 14(8), 2480. https://doi.org/10.3390/buildings14082480
