Assessing Treatments to Mitigate End-Face Cracking in Air-Dried Acacia dealbata Logs
Abstract
1. Introduction
2. Materials and Methods
2.1. Collection of sjw Logs
2.2. Sample Preparation
2.3. Air Drying of the Samples
2.4. Measurement of Cracking on Log End Faces
2.5. Experimental Design and Statistical Analysis
3. Results
3.1. Physical Features of Samples
3.2. Cracking Formation During Air-Drying
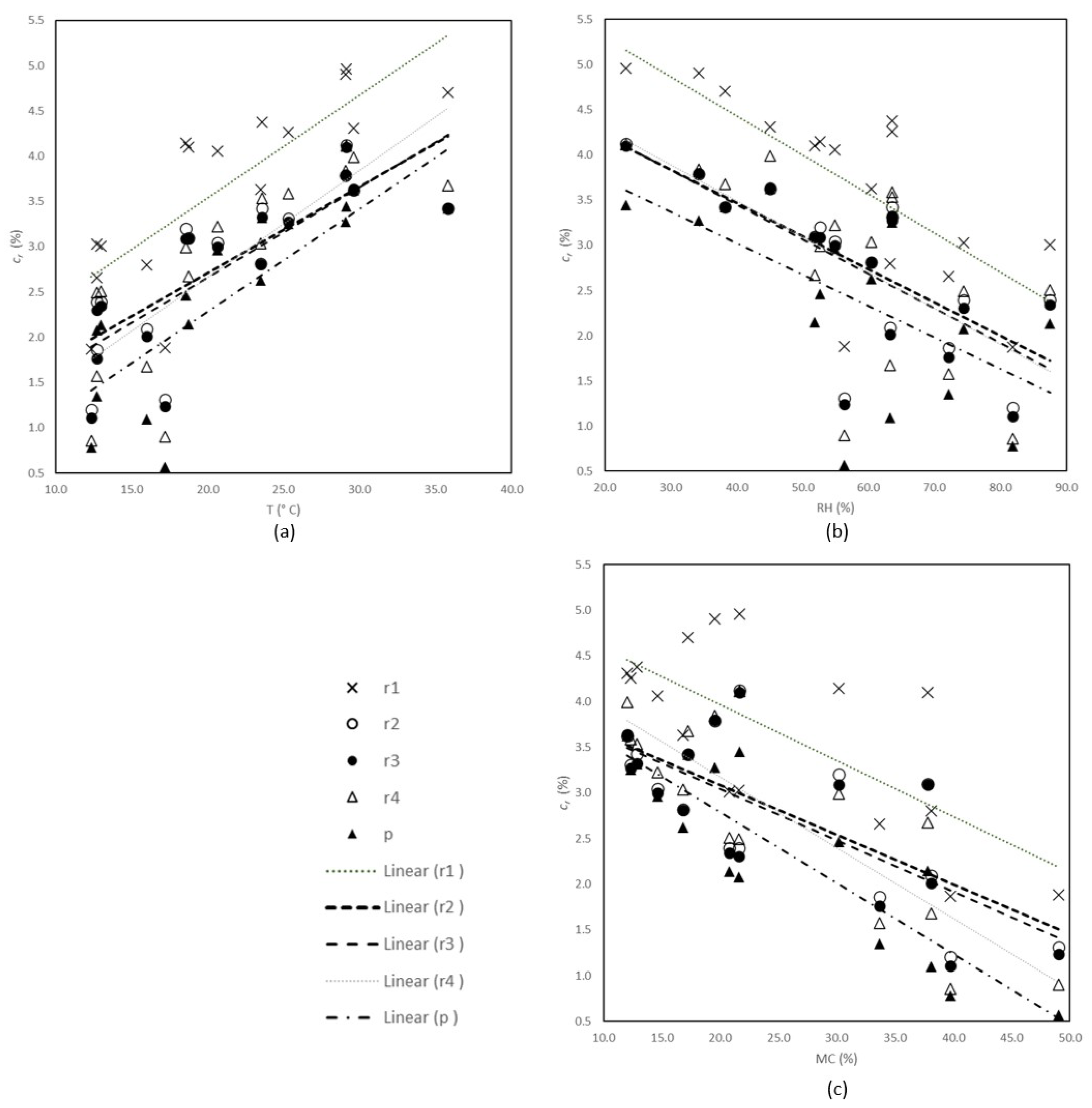
3.2.1. Evolution of Environmental Conditions and Moisture Content (MC)
3.2.2. Evolution of Cracking over End Faces
3.2.3. Cracking Formation Pattern
3.2.4. Treatment Performance
3.3. Log End-Face Final Cracks
3.3.1. Characteristics of Cracking
3.3.2. Effectiveness of Treatments
Relative Cracking,
Relative Number of Cracks,
3.3.3. Kerfing for Crack Control
4. Discussion
5. Conclusions
Author Contributions
Funding
Data Availability Statement
Conflicts of Interest
References
- Raposo, M.A.; Pinto Gomes, C.J.; Nunes, L.J. Evaluation of Species Invasiveness: A Case Study with Acacia dealbata Link. on the Slopes of Cabeça (Seia-Portugal). Sustainability 2021, 13, 11233. [Google Scholar] [CrossRef]
- Guerrero, F.; Hernández, C.; Toledo, M.; Espinoza, L.; Carrasco, Y.; Arriagada, A.; Muñoz, A.; Taborga, L.; Bergmann, J.; Carmona, C. Leaf thermal and chemical properties as natural drivers of plant flammability of native and exotic tree species of the Valparaíso region, Chile. Int. J. Environ. Res. Public Health 2021, 18, 7191. [Google Scholar] [CrossRef]
- Hirsch, H.; Richardson, D.M.; Pauchard, A.; Le Roux, J.J. Genetic analyses reveal complex introduction histories for the invasive tree Acacia dealbata Link around the world. Divers. Distrib. 2021, 27, 360–376. [Google Scholar]
- Inventário Florestal Nacional. 60° Inventário Florestal Nacional; ICNF-Instituto da Conservação da Natureza e das Florestas: Algés, Portugal, 2015. [Google Scholar]
- Da Costa, R.M.; Bosch, M.; Simister, R.; Gomez, L.D.; Canhoto, J.M.; Batista de Carvalho, L.A. Valorisation Potential of Invasive Acacia dealbata, A. longifolia and A. melanoxylon from Land Clearings. Molecules 2022, 27, 7006. [Google Scholar] [PubMed]
- Lorenzo, P.; Morais, M.C. Strategies for the management of aggressive invasive plant species. Plants 2023, 12, 2482. [Google Scholar] [CrossRef]
- Nunes, L.J.; Rodrigues, A.M.; Loureiro, L.M.; Sá, L.C.; Matias, J.C. Energy recovery from invasive species: Creation of value chains to promote control and eradication. Recycling 2021, 6, 21. [Google Scholar] [CrossRef]
- Nunes, L.J.; Raposo, M.A.; Meireles, C.I.; Pinto Gomes, C.J.; Ribeiro, N.M.A. Control of invasive forest species through the creation of a value chain: Acacia dealbata biomass recovery. Environments 2020, 7, 39. [Google Scholar] [CrossRef]
- Santos, A.J.; Anjos, O.M.; Simoes, R.M. Papermaking potential of Acacia dealbata and Acacia melanoxylon. Appita Technol. Innov. Manuf. Environ. 2006, 59, 58–64. [Google Scholar]
- Linhares, T.; de Amorim, M.T.P. LCA of textile dyeing with Acacia dealbata tree bark: A case study research. Procedia Eng. 2017, 200, 365–369. [Google Scholar] [CrossRef]
- Bukauskas, A.; Mayencourt, P.; Shepherd, P.; Sharma, B.; Mueller, C.; Walker, P.; Bregulla, J. Whole timber construction: A state of the art review. Constr. Build. Mater. 2019, 213, 748–769. [Google Scholar] [CrossRef]
- Burton, R.; Dickson, M.; Harris, R. The use of roundwood thinnings in buildings—A case study. Build. Res. Inf. 1998, 26, 76–93. [Google Scholar] [CrossRef]
- Wolfe, R. Research challenges for structural use of small-diameter round timbers. For. Prod. J. 2000, 50, 21–29. [Google Scholar]
- Ramage, M.H.; Burridge, H.; Busse-Wicher, M.; Fereday, G.; Reynolds, T.; Shah, D.U.; Wu, G.; Yu, L.; Fleming, P.; Densley-Tingley, D.; et al. The wood from the trees: The use of timber in construction. Renew. Sustain. Energy Rev. 2017, 68, 333–359. [Google Scholar] [CrossRef]
- Green, D.W. Mechanical Grading of 6-Inch-Diameter Lodgepole Pine Logs for the Traveler’s Rest and Rattlesnake Creek Bridges; US Department of Agriculture, Forest Service, Forest Products Laboratory: Madison, WI, USA, 2005; Volume 297.
- Larson, D.; Mirth, R.; Wolfe, R. Evaluation of small-diameter ponderosa pine logs in bending. For. Prod. J. Index 2004, 54, 52–58. [Google Scholar]
- Mergny, E.; Mateo, R.; Esteban, M.; Descamps, T.; Latteur, P. Influence of cracks on the stiffness of timber structural elements. In Proceedings of the World Conference on Timber Engineering, Vienna, Austria, 22–25 August 2016. [Google Scholar]
- Eckelman, C. Exploratory study of high-strength, low-cost through-bolt with cross-pipe and nut connections for square and roundwood timber frame construction. For. Prod. J. 2004, 54, 29. [Google Scholar]
- Moore, J.R.; Cown, D.J. Corewood (juvenile wood) and its impact on wood utilisation. Curr. For. Rep. 2017, 3, 107–118. [Google Scholar] [CrossRef]
- Evans, P. The effects of incising on the checking of wood: A review. Int. Wood Prod. J. 2016, 7, 12–25. [Google Scholar] [CrossRef]
- Forest Products Laboratory (US). Air Drying of Lumber; US Department of Agriculture, Forest Service, Forest Products Laboratory: Madison, WI, USA, 1999; Volume 117.
- Dickson, A.; Dawson, B. Using cell cross-section dimensions and digital image correlation to evaluate drying shrinkage and collapse in Eucalyptus nitens wood. BioResources 2020, 15, 6149–6164. [Google Scholar] [CrossRef]
- Gonya, N.; Naghizadeh, Z.; Wessels, C. An investigation into collapse and shrinkage behaviour of Eucalyptus grandis and Eucalyptus grandis-urophylla wood. Eur. J. Wood Wood Prod. 2022, 80, 139–157. [Google Scholar] [CrossRef]
- Fu, Z.; Chen, J.; Zhang, Y.; Xie, F.; Lu, Y. Review on wood deformation and cracking during moisture loss. Polymers 2023, 15, 3295. [Google Scholar] [CrossRef]
- Gril, J.; Jullien, D.; Bardet, S.; Yamamoto, H. Tree growth stress and related problems. J. Wood Sci. 2017, 63, 411–432. [Google Scholar] [CrossRef]
- Mugabi, P.; Rypstra, T.; Vermaas, H.; Nel, D. Zusammenhänge zwischen Trocknungsfehlerparametern und ausgewählten Wachstumseigenschaften von technisch getrockneten, südafrikanischen Eucalyptus grandis Masten. Eur. J. Wood Wood Prod. 2010, 68, 329–340. [Google Scholar] [CrossRef]
- Yin, Q.; Liu, H.H. Drying stress and strain of wood: A Review. Appl. Sci. 2021, 11, 5023. [Google Scholar] [CrossRef]
- Tomczak, K.; Tomczak, A.; Jelonek, T. Effect of Natural Drying Methods on Moisture Content and Mass Change of Scots Pine Roundwood. Forests 2020, 11, 668. [Google Scholar] [CrossRef]
- Nakano, K.; Koide, M.; Yamada, Y.; Ogawa, T.; Hattori, N. Environmental impacts of structural lumber production in Japan. J. Wood Sci. 2024, 70, 4. [Google Scholar] [CrossRef]
- Xu, K.; Wang, T.; Yang, C.; Zhao, Y.; Kang, J.; Huo, G.; Wang, Z.; He, Z.; Yi, S. Simulation optimization and energy consumption evaluation on the wood solar drying kiln with heat storage and dehumidification system. Appl. Therm. Eng. 2024, 240, 122262. [Google Scholar] [CrossRef]
- Evans, P.D.; Wingate-Hill, R.; Barry, S.C. The Effects of Different Kerfing and Center-Boring Treatments on the Checking of ACQ treated pine posts exposed to the weather. For. Prod. J. 2000, 50, 59. [Google Scholar]
- Simpson, W.T.; Wang, X. Estimating air-drying times of small-diameter ponderosa pine and Douglas-fir logs. For. Prod. J. Index 2004, 54, 24–28. [Google Scholar]
- Lee, C.J.; Oh, S.W.; Lee, N.H.; Kang, C.W. Effect of the knife-incising pretreatment on the surface checks occurrence of red pine heavy timber after drying. Eur. J. Wood Wood Prod. 2017, 75, 143–145. [Google Scholar] [CrossRef][Green Version]
- Yeo, H.; Eom, C.D.; Smith, W.B.; Shim, K.B.; Han, Y.; Park, J.H.; Lee, D.S.; Lee, H.W.; Park, M.J.; Park, J.S.; et al. Effects of center boring and kerf treatment on kiln-drying of larch square and round timbers. For. Prod. J. 2007, 57, 85. [Google Scholar]
- Lee, N.H.; Zhao, X.F.; Shin, I.H.; Lee, C.J. Air Circulating Oven-drying Characteristics of Hollowed Round-post for Korean Main Conifer Species-Part 2: For Korean red pine hollowed round-post. J. Korean Wood Sci. Technol. 2012, 40, 61–70. [Google Scholar] [CrossRef]
- Park, J.; Park, Y.; Han, Y.; Choi, J.; Choi, I.; Lee, J.; Yeo, H. Effect of outer surface sealing treatment on the reduction of surface check occurrence during the drying of center-bored round timber. Dry. Technol. 2014, 32, 236–243. [Google Scholar] [CrossRef]
- Lim, J.; Oh, J.K.; Yeo, H.; Lee, J.J. Behavior of center-bored round timber beams in center-point bending test. J. Wood Sci. 2013, 59, 389–395. [Google Scholar] [CrossRef]
- Martins, C.; Dias, A.M.; Cruz, H. Bonding performance of Portuguese Maritime pine glued laminated timber. Constr. Build. Mater. 2019, 223, 520–529. [Google Scholar] [CrossRef]
- Pinilla Suárez, J.C.; Vásquez, V.; Hernández, C.; Luengo Vergara, K.; Campos, P.; Elgueta, M.; Catalán, L.; Navarrete, T. Tensiones Admisibles de la Madera Aserrada de Aromo (Acacia dealbata D. Link.) Clasificada Visualmente; INFOR: Santiago, Chile, 2019. [Google Scholar]
- Ananías, R.A.; Salvo, L.; Estrada, R.; Briones, R. Estudio experimental del secado a temperaturas convencionales de acacias. Maderas. Cienc. Tecnol. 2008, 10, 151–162. [Google Scholar] [CrossRef]
- Crossing, V. Historical Weather Data & Weather Forecast Data. 2021. Available online: https://www.visualcrossing.com/weather-data (accessed on 10 September 2022).
- EN 335-2: 2013; Durability of Wood and Wood-based Products Use Classes: Definitions, Application to Solid Wood and Wood Based Products. European Committee for Standardization: Brussels, Belgium, 2013.
- BS EN 13183-1:2002; 13183–1-Moisture Content of a Piece of Sawn Timber-Part 1: Determination by Oven Dry Method. European Committee for Standardization: Brussels, Belgium, 2002.
- ISO 3131:1975; Wood–Determination of Density for Physical and Mechanical Tests. European Committee for Standardization: Brussels, Belgium, 1975.
- Rocha-Sepúlveda, M.F.; Vega, M.; Gendvilas, V.; Williams, D.; Harrison, P.A.; Vaillancourt, R.E.; Potts, B.M. R-based image analysis to quantify checking and shrinkage from wood wedges. Eur. J. Wood Wood Prod. 2021, 79, 1269–1281. [Google Scholar] [CrossRef]
- Schneider, C.A.; Rasband, W.S.; Eliceiri, K.W. NIH Image to ImageJ: 25 years of image analysis. Nat. Methods 2012, 9, 671–675. [Google Scholar] [CrossRef] [PubMed]
- RStudio Team. RStudio: Integrated Development for R; PBC: Boston, MA, USA, 2020. [Google Scholar]
- Machado, J.S.; Louzada, J.L.; Santos, A.J.; Nunes, L.; Anjos, O.; Rodrigues, J.; Simões, R.M.; Pereira, H. Variation of wood density and mechanical properties of blackwood (Acacia melanoxylon R. Br.). Mater. Des. (1980–2015) 2014, 56, 975–980. [Google Scholar] [CrossRef]
- Filbakk, T.; Høibø, O.; Nurmi, J. Modelling natural drying efficiency in covered and uncovered piles of whole broadleaf trees for energy use. Biomass Bioenergy 2011, 35, 454–463. [Google Scholar] [CrossRef]
- Hu, X.; Liu, Z.; Zhuang, Z. XFEM study of crack propagation in logs after growth stress relaxation and drying stress accumulation. Wood Sci. Technol. 2017, 51, 1447–1468. [Google Scholar] [CrossRef]
- Lazarescu, C.; Avramidis, S.; Oliveira, L. Modeling shrinkage response to tensile stresses in wood drying: I. Shrinkage-moisture interaction in stress-free specimens. Dry. Technol. 2009, 27, 1183–1191. [Google Scholar] [CrossRef]
- Schimleck, L.; Dahlen, J.; Apiolaza, L.; Downes, G.; Emms, G.; Evans, R.; Moore, J.; Paques, L.; Bulcke, J.; Wang, X. Non-destructive evaluation techniques and what they tell us about wood property variation. Forests 2019, 10, 728. [Google Scholar] [CrossRef]
- Papandrea, S.F.; Cataldo, M.F.; Bernardi, B.; Zimbalatti, G.; Proto, A.R. The predictive accuracy of modulus of elasticity (MOE) in the wood of standing trees and logs. Forests 2022, 13, 1273. [Google Scholar] [CrossRef]
- Dias, A.; Morgado, T.; Negrão, J.; Saporiti Machado, J. Connection for round wood timber members using multiple glued-in rods. In Proceedings of the World Conference on Timber Engineering 2014, Quebec City, QC, Canada, 10–14 August 2014. [Google Scholar]
- Chahade, T.; Schober, K.U. Experimental investigations on the pull-out strength of steel rods bonded in Douglas fir roundwood specimens with polymer concrete. Eur. J. Wood Wood Prod. 2023, 81, 439–450. [Google Scholar] [CrossRef]
- Botter-Kuisch, H.; Van den Bulcke, J.; Baetens, J.; Van Acker, J. Cracking the code: Real-time monitoring of wood drying and the occurrence of cracks. Wood Sci. Technol. 2020, 54, 1029–1049. [Google Scholar] [CrossRef]
- Lee, C.J.; Eom, C.D. Effects of knife-incising and longitudinal kerfing pretreatments on high-temperature drying of red pine and pitch pine timbers. BioResources 2021, 16, 8184. [Google Scholar] [CrossRef]
- Huybers, P. Timber pole space frames. Int. J. Space Struct. 1987, 2, 77–86. [Google Scholar] [CrossRef]














| Reference (R) | Kerfing (K) | Hollowing (H) | |||
|---|---|---|---|---|---|
| Samples | 16 | 16 | 16 | ||
| End-face pairs | - | 16 | 16 | ||
| Variations | - | 8 (K-2k) | 8 (K-3k) | 8 (H-16 mm) | 8 (H-30 mm) |
| Dia. | At | ecc. | hw. | |||
|---|---|---|---|---|---|---|
| (mm) | (103 mm2) | (%radio) | (%) | mm/year | kg/m3 | |
| Mean | 88.91 | 6.35 | 10.77 | 31.05 | 2.94 | 573.33 |
| SD | 12.03 | 1.68 | 6.72 | 8.63 | 0.75 | 31.76 |
| Median | 85.90 | 5.71 | 8.92 | 29.35 | 2.77 | 571.84 |
| Maximum | 117.09 | 10.05 | 26.86 | 49.51 | 4.87 | 640.12 |
| Minimum | 85.84 | 3.70 | 2.48 | 11.39 | 2.20 | 532.70 |
| (%) | |||||
|---|---|---|---|---|---|
| r1 | r2 | r3 | r4 | rp | |
| Temperature | 0.82 | 0.79 | 0.81 | 0.81 | 0.81 |
| Relative humidity | −0.74 | −0.73 | −0.74 | −0.65 | −0.59 |
| Moisture content | −0.71 | −0.73 | −0.73 | −0.85 | −0.89 |
| (%) | ( dm) | |||||||||
|---|---|---|---|---|---|---|---|---|---|---|
| r1 | r2 | r3 | r4 | rp | r1 | r2 | r3 | r4 | rp | |
| Reference | ||||||||||
| Mean | 5.36 | 3.75 | 3.68 | 3.79 | 3.36 | 6.86 | 4.18 | 3.68 | 2.93 | 2.37 |
| S.Error | 0.47 | 0.27 | 0.24 | 0.20 | 0.18 | 0.32 | 0.26 | 0.21 | 0.19 | 0.14 |
| SD | 2.55 | 1.48 | 1.34 | 0.75 | 0.96 | 1.83 | 1.49 | 1.21 | 0.73 | 0.79 |
| Max | 10.76 | 6.82 | 6.94 | 4.82 | 5.73 | 11.14 | 7.16 | 6.90 | 3.98 | 3.81 |
| Min | 1.03 | 0.84 | 1.13 | 2.63 | 1.01 | 4.77 | 1.59 | 1.59 | 1.99 | 0.77 |
| Count (uts.) | 30 | 30 | 30 | 14 | 30 | 32 | 32 | 32 | 14 | 32 |
| K-2k | ||||||||||
| Mean | 4.61 | 3.31 | 1.99 | 1.24 | 0.74 | 6.57 | 5.17 | 4.05 | 2.29 | 1.39 |
| S.Error | 1.50 | 0.75 | 0.64 | 0.33 | 0.18 | 0.87 | 0.54 | 0.55 | 0.59 | 0.20 |
| SD | 3.97 | 1.98 | 1.70 | 0.67 | 0.49 | 2.47 | 1.53 | 1.55 | 1.19 | 0.57 |
| Max | 11.55 | 6.54 | 5.48 | 1.84 | 1.52 | 9.55 | 7.16 | 6.90 | 3.98 | 2.44 |
| Min | 0.64 | 1.25 | 0.45 | 0.28 | 0.28 | 1.59 | 3.18 | 2.65 | 1.19 | 0.52 |
| Count (uts.) | 7 | 7 | 7 | 4 | 7 | 8 | 8 | 8 | 4 | 8 |
| K-3k | ||||||||||
| Mean | 4.28 | 3.54 | 2.15 | 1.08 | 0.70 | 6.17 | 5.17 | 3.65 | 2.92 | 1.16 |
| S.Error | 1.00 | 0.60 | 0.62 | 0.22 | 0.38 | 0.47 | 0.50 | 0.80 | 0.13 | 0.40 |
| SD | 2.82 | 1.70 | 1.76 | 0.38 | 1.07 | 1.33 | 1.41 | 2.28 | 0.23 | 1.14 |
| Max | 9.23 | 6.25 | 5.13 | 1.37 | 3.20 | 7.96 | 7.16 | 6.90 | 3.18 | 3.06 |
| Min | 0.89 | 1.45 | 0.33 | 0.66 | 0.00 | 4.77 | 3.18 | 0.53 | 2.79 | 0.00 |
| Count (uts.) | 8 | 8 | 8 | 3 | 8 | 8 | 8 | 8 | 3 | 8 |
| H-16 mm | ||||||||||
| Mean | 3.78 | 3.31 | 3.22 | 3.33 | 3.03 | 6.68 | 5.25 | 4.24 | 4.24 | 2.36 |
| S.Error | 0.89 | 0.63 | 0.49 | 0.56 | 0.42 | 0.62 | 0.38 | 0.36 | 0.87 | 0.13 |
| SD | 2.68 | 1.88 | 1.48 | 0.97 | 1.26 | 1.96 | 1.20 | 1.15 | 1.51 | 0.41 |
| Max | 8.57 | 6.37 | 6.10 | 4.43 | 5.53 | 9.55 | 7.16 | 5.84 | 5.97 | 3.12 |
| Min | 0.65 | 1.08 | 1.71 | 2.62 | 1.75 | 4.77 | 3.98 | 2.65 | 3.18 | 1.66 |
| Count (uts.) | 9 | 9 | 9 | 3 | 9 | 10 | 10 | 10 | 3 | 10 |
| H-30 mm | ||||||||||
| Mean | - | 2.55 | 2.94 | 3.11 | 3.11 | - | 4.51 | 4.16 | 3.28 | 2.61 |
| S.Error | - | 0.52 | 0.36 | 0.43 | 0.25 | - | 0.34 | 0.59 | 0.25 | 0.38 |
| SD | - | 1.28 | 0.87 | 0.85 | 0.61 | - | 0.82 | 1.44 | 0.50 | 0.93 |
| Max | - | 4.47 | 4.15 | 4.21 | 4.02 | - | 5.57 | 6.90 | 3.98 | 4.21 |
| Min | - | 0.92 | 2.03 | 2.20 | 2.38 | - | 3.18 | 2.65 | 2.79 | 1.79 |
| Count (uts.) | - | 6 | 6 | 4 | 6 | - | 6 | 6 | 4 | 6 |
| r1 | r2 | r3 | r4 | rp | r1 | r2 | r3 | r4 | rp | |
|---|---|---|---|---|---|---|---|---|---|---|
| r1 | - | - | - | - | - | - | - | - | - | - |
| r2 | 0.002 * | - | - | - | - | <0.001 * | - | - | - | - |
| r3 | <0.001 * | 0.999 ns | - | - | - | <0.001 * | 0.569 ns | - | - | - |
| r4 | 0.026 * | 0.999 ns | 0.999 ns | - | - | <0.001 * | 0.032 * | 0.039 * | - | - |
| rp | <0.001 * | 0.884 ns | 0.941 ns | 0.927 ns | - | <0.001 * | <0.001 * | <0.001 * | 0.694 ns | - |
| Value-F | 6.96 | 51.29 | ||||||||
| Value-p | <0.001 ** | <0.001 ** | ||||||||
Disclaimer/Publisher’s Note: The statements, opinions and data contained in all publications are solely those of the individual author(s) and contributor(s) and not of MDPI and/or the editor(s). MDPI and/or the editor(s) disclaim responsibility for any injury to people or property resulting from any ideas, methods, instructions or products referred to in the content. |
© 2024 by the authors. Licensee MDPI, Basel, Switzerland. This article is an open access article distributed under the terms and conditions of the Creative Commons Attribution (CC BY) license (https://creativecommons.org/licenses/by/4.0/).
Share and Cite
Suazo-Uribe, M.; Salvo-Sepúlveda, L.; Rosales, V.; Montero, C.; Louzada, J.L.; Branco, J.M. Assessing Treatments to Mitigate End-Face Cracking in Air-Dried Acacia dealbata Logs. Buildings 2024, 14, 2090. https://doi.org/10.3390/buildings14072090
Suazo-Uribe M, Salvo-Sepúlveda L, Rosales V, Montero C, Louzada JL, Branco JM. Assessing Treatments to Mitigate End-Face Cracking in Air-Dried Acacia dealbata Logs. Buildings. 2024; 14(7):2090. https://doi.org/10.3390/buildings14072090
Chicago/Turabian StyleSuazo-Uribe, Manuel, Linette Salvo-Sepúlveda, Víctor Rosales, Claudio Montero, José L. Louzada, and Jorge M. Branco. 2024. "Assessing Treatments to Mitigate End-Face Cracking in Air-Dried Acacia dealbata Logs" Buildings 14, no. 7: 2090. https://doi.org/10.3390/buildings14072090
APA StyleSuazo-Uribe, M., Salvo-Sepúlveda, L., Rosales, V., Montero, C., Louzada, J. L., & Branco, J. M. (2024). Assessing Treatments to Mitigate End-Face Cracking in Air-Dried Acacia dealbata Logs. Buildings, 14(7), 2090. https://doi.org/10.3390/buildings14072090

