Improving Tunnel Boring Machine Tunneling Performance by Investigating the Particle Size Distribution of Rock Chips and Cutter Consumption
Abstract
1. Introduction
2. Project Background
3. Rock Chip Sieving and Laboratory Tests
3.1. On-Site Rock Chip Sieving Test
3.2. Preparation of Rock Samples
3.3. Cerchar Abrasivity Test
4. Correlations among CI, SE, and Tunneling Parameters
4.1. Specific Energy (SE)
4.2. Coarseness Index (CI)
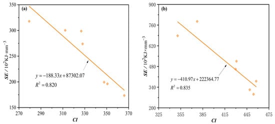
4.3. Correlation between CI and SE
4.4. Correlation between Rock-Breaking Efficiency and Tunneling Parameters
5. Influence of Dry and Saturated Conditions on TBM Tunneling Efficiency and Optimization of Tunneling Parameters
5.1. Optimization of Tunneling Parameters Based on CI
5.2. Optimization of Tunneling Parameters Based on Cutter Consumption
5.3. Optimal Tunneling Parameters Considering CI and Cutter Consumption
6. Conclusions
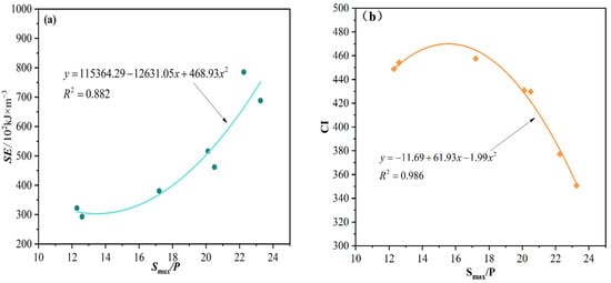
- Both SE and the CI exhibit strong quadratic relationships with the Smax/P ratio. The fitting coefficients for the CI under both soft and hard rock conditions are 4.2% and 10.4% higher than those of the SE, respectively.
- Regardless of if conditions are dry or saturated, TBM cutter consumption increases exponentially with the CAI. In different lithologies under saturated conditions, cutter consumption is 15.07% to 57.06% lower compared to dry conditions.
- In both dry and saturated conditions, the CI initially increases and then decreases with an increase in the Smax/P ratio, while TBM cutter consumption decreases initially and then increases with a rise in the Smax/P ratio. There exists an optimal Smax/P value that maximizes TBM rock-breaking efficiency and minimizes TBM cutter consumption.
- Considering both TBM rock-breaking efficiency and cutter consumption, the optimal Smax/P ranges for dry conditions are 10.972–12.169, 8.495–9.457, and 16.5–17.5 for medium-hard, soft, and hard rocks, respectively. In saturated conditions, the optimal Smax/P ranges are 8.606–8.931, 7.055–8.319, and 13.50–14.00 for the same rock types. To enhance TBM construction guidance, optimal tunneling parameter ranges are suggested for various dry and saturated surrounding rock tunneling conditions.
Author Contributions
Funding
Data Availability Statement
Conflicts of Interest
References
- Liu, Q.S.; Huang, X.; Gong, Q.M.; Du, L.J.; Pan, Y.C.; Liu, J.P. Application and Development of Hard Rock TBM and Its Prospect in China. Tunn. Undergr. Space Technol. 2016, 57, 33–46. [Google Scholar] [CrossRef]
- Huang, X.; Liu, Q.S.; Shi, K.; Pan, Y.C.; Liu, J.P. Application and Prospect of Hard Rock TBM for Deep Roadway Construction in Coal Mines. Tunn. Undergr. Space Technol. 2018, 73, 105–126. [Google Scholar] [CrossRef]
- Armetti, G.; Migliazza, M.R.; Ferrari, F.; Berti, A.; Padovese, P. Geological and Mechanical Rock Mass Conditions for TBM Performance Prediction. The Case of “La Maddalena” Exploratory Tunnel, Chiomonte (Italy). Tunn. Undergr. Space Technol. 2018, 77, 115–126. [Google Scholar] [CrossRef]
- Feng, S.X.; Chen, Z.Y.; Luo, H.; Wang, S.Y.; Zhao, Y.F.; Liu, L.P.; Ling, D.S.; Jing, L.J. Tunnel Boring Machines (TBM) Performance Prediction: A Case Study Using Big Data and Deep Learning. Tunn. Undergr. Space Technol. 2021, 110, 103636. [Google Scholar] [CrossRef]
- Mao, H.M.; Chen, K.; Feng, H.H. Rock-breaking mechanism of TBM with different types of cutter tools and estimation of thrust force. Chin. J. Geotech. Eng. 2013, 35, 1627–1633. (In Chinese) [Google Scholar]
- Cho, J.W.; Jeon, S.; Jeong, H.Y.; Chang, S.H. Evaluation of Cutting Efficiency during TBM Disc Cutter Excavation within a Korean Granitic Rock Using Linear-Cutting-Machine Testing and Photogrammetric Measurement. Tunn. Undergr. Space Technol. 2013, 35, 37–54. [Google Scholar] [CrossRef]
- Pan, Y.C.; Liu, Q.S.; Liu, J.P.; Liu, Q.; Kong, X.X. Full-Scale Linear Cutting Tests in Chongqing Sandstone to Study the Influence of Confining Stress on Rock Cutting Efficiency by TBM Disc Cutter. Tunn. Undergr. Space Technol. 2018, 80, 197–210. [Google Scholar] [CrossRef]
- Gertsch, R.; Gertsch, L.; Rostami, J. Disc Cutting Tests in Colorado Red Granite: Implications for TBM Performance Prediction. Int. J. Rock Mech. Min. Sci. 2007, 44, 238–246. [Google Scholar] [CrossRef]
- Farrokh, E.; Rostami, J. Correlation of Tunnel Convergence with TBM Operational Parameters and Chip Size in the Ghomroud Tunnel, Iran. Tunn. Undergr. Space Technol. 2008, 23, 700–710. [Google Scholar] [CrossRef]
- Han, D.Y.; Cao, P.; Liu, J.; Zhu, J.B. An Experimental Study of Dependence of Optimum TBM Cutter Spacing on Pre-Set Penetration Depth in Sandstone Fragmentation. Rock Mech. Rock Eng. 2017, 50, 3209–3221. [Google Scholar] [CrossRef]
- Moon, T.; Oh, J. A Study of Optimal Rock-Cutting Conditions for Hard Rock TBM Using the Discrete Element Method. Rock Mech. Rock Eng. 2012, 45, 837–849. [Google Scholar] [CrossRef]
- Gong, Q.M.; Zhou, X.X.; Yin, L.J.; He, G.W.; Miao, C.T. Study of Rock Breaking Efficiency of TBM Disc Cutter Basedon Chips Analysis of Linear Cutting Test. Tunn. Constr. 2017, 37, 363–368. (In Chinese) [Google Scholar]
- Rostami, J.; Özdemir, L. A new model for performance prediction of hard rock TBMs. In Proceedings of the Rapid Excavation and Tunneling Conference, Boston, MA, USA, 13–17 June 1993; pp. 793–809. [Google Scholar]
- Hamzaban, M.T.; Memarian, H.; Rostami, J.; Ghasemi-Monfared, H. Study of Rock–Pin Interaction in Cerchar Abrasivity Test. Int. J. Rock Mech. Min. Sci. 2014, 72, 100–108. [Google Scholar] [CrossRef]
- Man, K.; Liu, X.L.; Song, Z.F.; Liu, Z.X.; Liu, R.L.; Wu, L.W.; Cao, Z.X. Dynamic Compression Characteristics and Failure Mechanism of Water-Saturated Granite. Water 2022, 14, 216. [Google Scholar] [CrossRef]
- Mammen, J.; Saydam, S.; Hagan, P. A Study on the Effect of Moisture Content on Rock Cutting Performance. In Proceedings of the 2009 Coal Operators’ Conference, University of Wollongong & the Australasian Institute of Mining and Metallurgy, Wollongong, Australia, 12–13 February 2009; pp. 340–347. [Google Scholar]
- Bakar, M.Z.A.; Gertsch, L.S. Evaluation of Saturation Effects on Drag Pick Cutting of a Brittle Sandstone from Full Scale Linear Cutting Tests. Tunn. Undergr. Space Technol. 2013, 34, 124–134. [Google Scholar] [CrossRef]
- Mosleh, M.; Gharahbagh, E.A.; Rostami, J. Effects of Relative Hardness and Moisture on Tool Wear in Soil Excavation Operations. Wear 2013, 302, 1555–1559. [Google Scholar] [CrossRef]
- Bakar, M.Z.A.; Gertsch, L.S.; Rostami, J. Evaluation of Fragments from Disc Cutting of Dry and Saturated Sandstone. Rock Mech. Rock Eng. 2014, 47, 1891–1903. [Google Scholar] [CrossRef]
- Zhu, G.X.; He, L.K.; Tan, Q.; Yao, Z.W.; Zhang, Y.C. Experimental study on the rock breaking characteristics of TBM disc cutter under saturated condition. J. Railw. Sci. Eng. 2019, 16, 3126–3133. (In Chinese) [Google Scholar] [CrossRef]
- Yan, C.B.; Gao, Z.A.; Yao, X.T.; Wang, H.J.; Yang, F.W.; Yang, J.H.; Lu, G.M. Weighted random forest prediction model for TBM advance rate considering uncertainty. Chin. J. Geotech. Eng. 2023, 45, 2575–2583. (In Chinese) [Google Scholar] [CrossRef]
- Shen, Y.M.; Zhang, D.M.; Wang, R.L.; Li, J.P.; Huang, Z.K. SBD-K-medoids-based long-term settlement anlysis of shield tunnel. Transp. Geotech. 2023, 42, 101053. [Google Scholar] [CrossRef]
- Rispoli, A.; Ferrero, A.M.; Cardu, M.; Farinetti, A. Determining the Particle Size of Debris from a Tunnel Boring Machine Through Photographic Analysis and Comparison Between Excavation Performance and Rock Mass Properties. Rock Mech. Rock Eng. 2017, 50, 2805–2816. [Google Scholar] [CrossRef]
- Tuncdemir, H.; Bilgin, N.; Copur, H.; Balci, C. Control of Rock Cutting Efficiency by Muck Size. Int. J. Rock Mech. Min. Sci. 2008, 45, 278–288. [Google Scholar] [CrossRef]
- BS EN 933-1-2012; Tests for Geometrical Properties of Aggregates. Determination of Particle Size Distribution. Sieving Method. BSI Standards Limited: London, UK, 2012. [CrossRef]
- ASTM D7625; Standard Test Method for Laboratory Determination of Abrasiveness of Rock Using the CERCHAR Method. ASTM International: West Conshohocken, PA, USA, 2010. [CrossRef]
- Jing, L.J.; Zhang, N.; Yang, C.; Ju, X.Y. A Design Method Research on TBM Face Cutter Spacing Layout Based on Mnimum Specific Energy. J. China Railw. Soc. 2018, 40, 123–129. (In Chinese) [Google Scholar] [CrossRef]
- Roxborough, F.F.; Rispin, A. The mechanical cutting characteristics of the lower chalk. Tunn. Tunn. 1973, 5, 45–67. [Google Scholar]
- Yan, C.B.; Jiang, X.D.; Liu, Z.H.; Yang, J.H.; Miao, D. Rock-breaking efficiency of TBM based on particle-size distribution of rock detritus. Chin. J. Geotech. Eng. 2019, 41, 466–474. (In Chinese) [Google Scholar] [CrossRef]
- Gong, Q.M.; Zhao, J.; Jiang, Y.S. In Situ TBM Penetration Tests and Rock Mass Boreability Analysis in Hard Rock Tunnels. Tunn. Undergr. Space Technol. 2007, 22, 303–316. [Google Scholar] [CrossRef]
- Yan, C.B.; Li, G.L.; Chen, J.; Li, Y.; Yang, Y.D.; Yang, F.W.; Yang, J.H. A novel evaluation index of TBM rock-breaking efficiency based on newly added surfaces theory. Rock Soil Mech. 2023, 44, 1153–1164. (In Chinese) [Google Scholar] [CrossRef]
- Yao, Q.L.; Zhu, L.; Huang, Q.X.; Yang, P.; Xu, Z. Experimental study on the effect of moisture content on creep characteristics of fine-grained feldspar lithic sandstone. J. Min. Saf. Eng. 2019, 36, 10347–1042+1051. (In Chinese) [Google Scholar] [CrossRef]
- Li, T.B.; Chen, Z.Q.; Chen, G.Q.; Ma, C.C.; Tang, O.L.; Wang, M.J. An experimental study of energy mechanism of sandstone with different moisture contents. Rock Soil Mech. 2015, 36, 229–236. (In Chinese) [Google Scholar] [CrossRef]
- Bakar, M.Z.A.; Majeed, Y.; Rostami, J. Effects of Rock Water Content on CERCHAR Abrasivity Index. Wear 2016, 368–369, 132–145. [Google Scholar] [CrossRef]












| TBM Design Parameters | Water Conveyance Tunnel | |
|---|---|---|
| TBM1 | TBM2 | |
| TBM type | double shield | |
| Tunneling diameter | 5460 mm | 5460 mm |
| Number of disc cutters | 37 | 30 |
| Center disc cutter/diameter | 6/432 mm | 4/432 mm |
| Inner cutter/diameter | 21/483 mm | 17/483 mm |
| Gauge cuter/diameter | 10/483 mm | 9/483 mm |
| Maximum cutter spacing | 86 mm | 83 mm |
| Cutter head speed | 0~10.3 r·min−1 | 0~8.7 r·min−1 |
| Cutter head power | 1800 kW | 2100 kW |
| Maximum cutter head thrust | 22,160 kN | 11,900 kN |
| Rating torque | 3458 kN·m | 4210 kN·m |
| Breakaway torque | 5878 kN·m | 6940 kN·m |
| Maximum tunneling speed | 120 mm·min−1 | 120 mm·min−1 |
| Rock Lithology | Code Name | Sample Number | CAIdry | Average CAIdry | Code Name | CAIsat | Average CAIsat |
|---|---|---|---|---|---|---|---|
| Metamorphic andesite | A | A1 | 2.435 | 2.530 | A5 | 1.846 | 2.006 |
| A2 | 2.358 | A6 | 1.553 | ||||
| A3 | 2.746 | A7 | 2.439 | ||||
| A4 | 2.581 | A8 | 2.184 | ||||
| Sandstone | S | S1 | 0.751 | 0.846 | SH5 | 0.564 | 0.747 |
| S2 | 0.978 | SH6 | 0.939 | ||||
| S3 | 0.835 | SH7 | 0.741 | ||||
| S4 | 0.821 | SH8 | 0.743 | ||||
| Granite | H | H1 | 2.933 | 3.523 | H5 | 2.581 | 2.905 |
| H2 | 3.751 | H6 | 2.943 | ||||
| H3 | 3.323 | H7 | 3.261 | ||||
| H4 | 4.085 | H8 | 2.834 | ||||
| Quartz schist | Y | Y1 | 4.169 | 3.488 | SP5 | 3.041 | 3.024 |
| Y2 | 3.323 | SP6 | 2.822 | ||||
| Y3 | 3.647 | SP7 | 3.254 | ||||
| Y4 | 2.813 | SP8 | 2.978 | ||||
| Quartz diorite | SY | SY1 | 3.539 | 3.167 | SY5 | 3.219 | 3.102 |
| SY2 | 2.959 | SY6 | 3.411 | ||||
| SY3 | 2.953 | SY7 | 3.042 | ||||
| SY4 | 3.215 | SY8 | 2.734 |
| Group Number | Surrounding Rock Grade | Sieve Quality (kg) | Smax/P | SE (kJ/m3) | CI |
|---|---|---|---|---|---|
| 1 | IV | 178.81 | 6.38 | 30,024.92 | 312.13 |
| 2 | IV | 108.20 | 5.2 | 31,784.36 | 279.29 |
| 3 | III | 215.17 | 9.8 | 19,939.43 | 347.60 |
| 4 | III | 164.30 | 5.4 | 29,866.75 | 326.74 |
| 5 | III | 119.80 | 9.5 | 17,356.68 | 366.00 |
| 6 | III | 104.61 | 7.22 | 27,396.53 | 328.00 |
| 7 | III | 194.37 | 9 | 19,616.44 | 350.66 |
| Group Number | Surrounding Rock Grade | Sieve Quality (kg) | Smax/P | SE (kJ/m3) | CI |
|---|---|---|---|---|---|
| 1 | II | 180.50 | 22.25 | 78,505.88 | 377.28 |
| 2 | II | 171.15 | 23.25 | 68,820.04 | 350.74 |
| 3 | II | 263.17 | 20.11 | 51,575.24 | 430.81 |
| 4 | II | 212.74 | 12.29 | 32,221.89 | 448.88 |
| 5 | II | 175.07 | 12.6 | 29,259.62 | 454.06 |
| 6 | II | 239.25 | 17.2 | 38,060.04 | 457.58 |
| 7 | II | 214.14 | 20.5 | 46,150.56 | 429.67 |
| Rock Lithology | Dry | Saturated | ||
|---|---|---|---|---|
| CAIdry | Cutter Consumption 10−3 Piece m−3 | CAIsat | Cutter Consumption (10−3 Piece∙m−3) | |
| Metamorphic andesite | 2.530 | 2.568 | 2.006 | 1.204 |
| Sandy stone | 0.846 | 0.669 | 0.747 | 0.642 |
| Granite | 3.523 | 5.640 | 2.905 | 2.422 |
| Quartz schist | 3.488 | 6.070 | 3.024 | 2.741 |
| Quartz diorite | 3.167 | 5.066 | 3.102 | 2.942 |
| Rock Lithology | Soft Rock | Medium-Hard Rock | Hard Rock | |
|---|---|---|---|---|
| The optimal Smax/P range determined based on CI | Dry | 7.976~9.457 | 10.414~12.169 | 17.465~19.369 |
| Sat | 6.502~8.769 | 8.606~11.656 | 14.514~16.193 | |
| The optimal Smax/P range determined based on cutter consumption | Dry | 8.495–9.749 | 10.972–12.246 | 14.511–16.640 |
| Sat | 7.055~8.319 | 7.187~8.641 | 10.945~13.163 | |
| The optimal Smax/P range recommendation | Dry | 8.495~9.457 | 10.972~12.169 | 16.5~17.5 |
| Sat | 7.055~8.319 | 8.606~8.931 | 13.50~14.00 | |
Disclaimer/Publisher’s Note: The statements, opinions and data contained in all publications are solely those of the individual author(s) and contributor(s) and not of MDPI and/or the editor(s). MDPI and/or the editor(s) disclaim responsibility for any injury to people or property resulting from any ideas, methods, instructions or products referred to in the content. |
© 2024 by the authors. Licensee MDPI, Basel, Switzerland. This article is an open access article distributed under the terms and conditions of the Creative Commons Attribution (CC BY) license (https://creativecommons.org/licenses/by/4.0/).
Share and Cite
Wang, W.; Yan, C.; Guo, J.; Zhao, H.; Li, G.; Yao, W.; Ren, T. Improving Tunnel Boring Machine Tunneling Performance by Investigating the Particle Size Distribution of Rock Chips and Cutter Consumption. Buildings 2024, 14, 1124. https://doi.org/10.3390/buildings14041124
Wang W, Yan C, Guo J, Zhao H, Li G, Yao W, Ren T. Improving Tunnel Boring Machine Tunneling Performance by Investigating the Particle Size Distribution of Rock Chips and Cutter Consumption. Buildings. 2024; 14(4):1124. https://doi.org/10.3390/buildings14041124
Chicago/Turabian StyleWang, Wei, Changbin Yan, Jing Guo, Hailei Zhao, Gaoliu Li, Wenmin Yao, and Taozhe Ren. 2024. "Improving Tunnel Boring Machine Tunneling Performance by Investigating the Particle Size Distribution of Rock Chips and Cutter Consumption" Buildings 14, no. 4: 1124. https://doi.org/10.3390/buildings14041124
APA StyleWang, W., Yan, C., Guo, J., Zhao, H., Li, G., Yao, W., & Ren, T. (2024). Improving Tunnel Boring Machine Tunneling Performance by Investigating the Particle Size Distribution of Rock Chips and Cutter Consumption. Buildings, 14(4), 1124. https://doi.org/10.3390/buildings14041124

