Abstract
A damage identification methodology considering shear deformation was presented in this paper to identify damage to semi-rigid frames with slender beams. On the basis of the successful identification of structural joint damage, the combined joint and member damage of the structure was identified. The objective function was formulated to minimize the discrepancies between the analytical and measured nodal displacements. Damage identification was performed on semi-rigid frame structures with different cross-sectional shapes, and the results were compared with those of ignoring shear deformation. Several frame structures were employed to verify the advantages and efficiency of the proposed method. The results demonstrate that the present method could significantly improve the accuracy of damage identification for semi-rigid frames compared with the method ignoring shear deformation.
1. Introduction
In general, the analysis and design of frame structures should fully grasp the mechanical behavior of their connections since the joint stiffness have a significant influence on the static behavior and dynamic behavior of the entire structure [1,2,3]. The conventional approaches to the analysis and design of frame structures assume that beam-to-column connections as either totally rigid or pinned. However, most pinned connections provide a small amount of rotational restraint, while rigid connections experience a certain amount of rotation. Therefore, it is a semi-rigid behavior between rigid and pinned conditions [4], and the concept of semi-rigid connections has been introduced in several codes [5,6].
Following inspections after the Northridge earthquake [7], brittle fractures in some joints resulted in a significant reduction in the stiffness and ductility of the structure. The researchers, therefore, proposed a number of alternatives for beam-to-column connections. The steel frame with a semi-rigid connection allows for an optimized distribution of the bending moments in the structure and with relatively large energy dissipation capability. The semi-rigid frame is widely used in different countries because it is a facile erection and is more economical than frames with rigid connections [8,9,10]. However, structures are extremely vulnerable to damage due to fatigue, corrosion, environmental variability, etc., throughout their service life. The connections in the semi-rigid frame can be damaged due to factors such as loose bolts, welding defects, and accidental loads [11]. Notably, several methods have been proposed for damage identification of structures with semi-rigid connections. Machavaram and Shankar [12] proposed a novel two-stage Improved Radial Basis Function (IRBF) neural network technique for predicting joint damage in semi-rigidly connected frame structures. Seyedpoor and Nopour [13] identified joint damage in semi-rigid frames using support vector machines and differential evolution algorithms. Pal et al. [14] presented a finite element model update technology based on particle swarm optimization to identify the looseness of bolted joints in semi-rigid frame structures. Katkhuda et al. [15] used the response of the structure to identify damage to members in semi-rigid frames through a linear time-domain system identification technique. Hou et al. [16] developed a two-step damage-detection method for frame structures with semi-rigid connections and successfully identified damage in structural members and joints. He et al. [17] proposed a robust vibration-based damage detection method that exploits changes in natural frequencies to detect member damage and joint damage in semi-rigid frame structures. However, most previous work using data has been done with dynamic, not static, excitation. In addition, most of these studies have been devoted to identifying structural damage, and the method to improve the accuracy of damage identification for the semi-rigid frames requires to be studied.
Damage to members or joints of a structure can lead to a variety of physical properties, especially at the damaged location, which can result in the “as-is” condition being different from the “as-built” condition [18,19,20]. Structural health monitoring of damaged structures can be performed by parameter estimation, which can relate changes in test data to changes in the properties of structural elements. It is a mathematical method that exploits the error between estimated and experimental values [21,22,23,24,25]. Obtaining accurate measured data and analyzed data can effectively identify structural damage. Several studies often used the classical Euler-Bernoulli beam theory to analyze the structures since it can properly simulate the behavior of slender beams [26,27,28]. On the other hand, some studies have suggested that the Timoshenko beam theory is also applicable to the analysis of slender beams [29,30,31]. Silva et al. [29] performed an inelastic second-order analysis of a Vogel portal frame with slender beams. The results show that the frame applying the Timoshenko beam theory provides a better structural response. Su and Ma [30] used the Timoshenko beam theory to evaluate the resonance frequencies of slender simply supported beams. The results are consistent with the values obtained by the finite model. Dixit [31] used the natural frequencies and mode shapes generated by the analytical frame to compare the effects of different beam theories on structural parameters. The results show that both the Euler–Bernoulli beam theory and the Timoshenko beam theory are accurate in estimating the frequency of slender beams. However, slight errors in the analytical model may affect the results of damage identification or even cause the estimation to fail [32,33].
To improve the accuracy of damage identification for semi-rigid frames, a novel method considering shear deformation was proposed in this paper. The objective function was established by the discrepancy between the analytical value and the measured value of the static nodal displacement, and the damage identification problem can be regarded as an optimization problem. The numerical examples considered in this research are semi-rigid frames with slender beams. Two frame structures demonstrated the effectiveness of this method for joint damage identification. Then, the design variables include both joint and member damage simultaneously for another two frame structures to investigate combined joint and member damage identification. The results indicate the actual damage of joints and members at different levels. Compared with the method based on the Euler–Bernoulli beam theory, the results obtained by the proposed method are more accurate, and the accuracy of damage identification is significantly improved.
The proposed method provides a basis for the damage identification of the multi-story semi-rigid frame structures. Furthermore, the simultaneous identification of the member and joint damage in semi-rigid steel frame structures results in more effective evaluation and monitoring of the structure, leading to improved safety, reliability, and a reduction in accident risks. It is particularly crucial in the work of engineers involved in actual design, evaluation, and maintenance.
2. Theoretical Background
2.1. Modeling of Semi-Rigid Connections
The connection type plays a key role in structural analysis. In fact, joint stiffness directly influences instability of the joined structures [34,35]. In this study, the beam-to-column connections are modeled with a zero-length rotational spring at the end of the beam element [13,36]. Figure 1 shows a 2D beam element with semi-rigid connections.
Figure 1.
Modeling of a 2D beam element with semi-rigid connections.
Where K1 and K2 are the rotational stiffness of the springs at different ends of the element; E, I, and A are the modulus of elasticity, the inertia moment, and the cross-sectional area, respectively; L is the length of the member. The ended fixity factor (γj) is related to the E, I, L, and K, which can be expressed by Equation (1).
The value of the fixity factor is in the range of 0.0–1.0. When γj is equal to 0, it is a totally pinned connection, and when γj is equal to 1, it is a totally rigid connection. In Eurocode 3 [5], the classification of connection types according to the fixity factors is listed in Table 1. In this study, the severity of joint damage was simulated by reducing the fixity factors of the joints [37,38].
Table 1.
Type of connections.
2.2. Member Stiffness Matrix of Semi-Rigid Frame
The Euler–Bernoulli beam theory is used to applies for flexure-dominated (or “long”) beams. The Timoshenko beam theory models the behavior of shear-dominated (or “short”) beams. In fact, for “long” beams, the Timoshenko beam theory can also be used for analysis, and the results are very accurate [39]. In this section, 2D stiffness matrix of semi-rigid frame member based on the Euler–Bernoulli beam theory and the Timoshenko beam theory are given.
The Timoshenko beam theory was proposed by Timoshenko in 1921 [40,41]. Timoshenko beam theory provides shear deformation and rotatory inertia corrections to the classical Euler–Bernoulli beam theory, so the member stiffness matrix is more complex [42,43,44], as shown in Equation (2).
The parameters n1, n2 and n3 are defined using the joint fixity factors γ1, γ2 and the bending to shear coefficient [45] as follows:
is the bending to shear coefficient given by Equation (4):
G is the shear modulus of the material; and As is the shear area related to the shear coefficient Ks, which can be referred to the value of the Specification for Structural Steel Buildings [5]. Equation (2) becomes the member stiffness matrix based on Euler–Bernoulli beam theory when is set equal to zero.
2.3. Objective Function
When a damage event occurs, certain parameters in the stiffness matrix change, affecting the nodal displacements response. It implies that changes in physical properties caused by structural damage are detectable, which can be obtained by minimizing the differences between analytical and measured nodal displacements. The objective function is given as follows:
where n is the total number of measured nodal displacements. Dmi is the ith measured nodal displacement obtained according to the “as-is” condition. Dai is the ith analytical nodal displacement, which can be obtained by calculation using the stiffness method [46,47]. Unknown parameters related to damaged members and joints are included in the analytical nodal displacement Dai after the calculation. Therefore, damage identification problem is transformed into the optimization problem, which the optimal values of unknown parameters are obtained by minimizing the objective function. In this study, the optimization process was performed with the interior-point method [48,49], which has strong search ability and stable performance when optimizing large-scale optimization problems.
3. Effect of Shear Deformation on Joint Damage Identification of Semi-Rigid Frames with Slender Beams
The connections are the critical locations where damage commonly occurs. Bolt looseness or corrosion, as well as accidental loads such as seismic loads, will damage the joints of semi-rigid frame structures [50,51]. For this purpose, this section focuses on joint damage identification for semi-rigid steel frames with slender beams.
3.1. One-Story-One-Bay Semi-Rigid Frame
A one-story-one-bay semi-rigid steel frame with a slender beam was analyzed. Figure 2 demonstrates the structural details of the semi-rigid frame, its member and node numbers inside boxes and circles, respectively. In the plane frame analysis, each node provides three degrees of freedom (DOFs), indicated by the numbers next to the arrows. The frame members are wide flange cross-sections, and all members have the same cross-section. For comparison, three wide flange cross-sections with different dimensions are considered. The cross-sectional dimensions are given in Table 2, and the depth-to-span ratios of member 2 are also included in Table 2.
Figure 2.
Structural details of one-story-one-bay semi-rigid frame.
Table 2.
The wide flange cross-sectional dimensions.
In this study, the modulus of elasticity (E) is 206 Gpa; The shear modulus of the material (G) is 79,230.77 Gpa. The shear area for wide flange cross-section is equal to the web thickness (tw) times the depth (h). It is assumed that all end-fixity factors are equal to 0.75 in the “as-built” condition. The end-fixity factor for the beam (i.e., member 2) at node 2 and node 3 is reduced from the “as-built” condition to 0.40 and 0.60, respectively. That can be defined as γ2 = 0.40, γ3 = 0.60. To excite the frame structure, forces of 50 kN and 50 kN are applied along the DOFs 1 and 5, respectively. In this study, the measured nodal displacement Dmi is determined by the direct stiffness method according to the Timoshenko beam theory. For this semi-rigid frame, the Dmi are obtained along the DOFs 1, 4, 5, and 7, where the static nodal displacements are larger.
To demonstrate the merit of the proposed method, a comparison was carried out between the damage identification based on the Euler–Bernoulli beam theory and the Timoshenko beam theory. First, a method based on the Euler–Bernoulli beam theory was used to identify joint damage. The member stiffness matrix k’ based on the Euler–Bernoulli theory can be obtained by making equal to 0 in Equation (2), and then the analytical nodal displacement Dai was obtained. Establish the objective function related to analytical and measured nodal displacements to identify fixity factors. Next, the parameters were identified by the method based on Timoshenko beam theory. The member stiffness matrix k’ based on the Timoshenko beam theory was obtained by Equation (2). Establish the objective function and optimize it. In this analysis, the starting point of the fixity factor γj was equal to 0.375 at the midpoint of the boundary condition. According to the “as-built” condition, the constraint on γj was set between 0 and 0.75.
Figure 3 shows the joint identification results of the semi-rigid frame with Shape A. The iterative process for the fixity factors identification based on Euler–Bernoulli beam theory and Timoshenko beam theory are shown in Figure 3a,b, respectively. Figure 3c presents the convergence process of objective functions based on different beam theories.
Figure 3.
Identification results for one-story-one-bay semi-rigid frame with Shape A. (a) Identification results based on the Euler–Bernoulli beam theory; (b) Identification results based on the Timoshenko beam theory; (c) Objective function values.
It can be seen from Figure 3 that there is a slight error between the results obtained based on the Euler–Bernoulli beam theory and the “as-is” conditions, while the final results obtained based on the Timoshenko beam theory method are almost consistent with the “as-built” conditions, and the objective function has higher convergence precision.
The joint identification results of the semi-rigid frame with Shape B are shown in Figure 4.
Figure 4.
Identification results for one-story-one-bay semi-rigid frame with Shape B. (a) Identification results based on the Euler–Bernoulli beam theory; (b) Identification results based on the Timoshenko beam theory; (c) Objective function values.
It can be concluded from Figure 4 that the method based on Timoshenko beam theory provides better results for joint damage identification, and the convergence precision of the objective function is higher.
Figure 5 shows the joint identification results of semi-rigid frames with Shape C.
Figure 5.
Identification results for one-story-one-bay semi-rigid frame with Shape C. (a) Identification results based on the Euler–Bernoulli beam theory; (b) Identification results based on the Timoshenko beam theory; (c) Objective function values.
Similar conclusions can be drawn from Figure 5 as before. As can be seen from Figure 3a, Figure 4a and Figure 5a, the results of γ2 identified based on the Euler–Bernoulli beam theory method appear to be consistent with “as-is” conditions, and the results of γ3 are 0.55, 0.53, and 0.51 for Shapes A, B, and C, respectively. For Figure 3b, Figure 4b and Figure 5b, the method based on the Timoshenko beam theory provide more accurate damage identification results for all semi-rigid frames. In addition, it is observed that all the objective functions established based on the Timoshenko beam theory method have higher convergence precision.
In this section, the identification results of semi-rigid frames with Shapes A, B, and C obtained based on different beam theories were further analyzed by the mean relative error (MRE). The relative errors in the identified results can be calculated from the discrepancy between the identified value and “as-is” value for each damaged joint or member. The MRE can then be calculated based on the relative error of the damaged members or joints. The related expression is as following.
where N is the number of damaged joints or members. In this study, is the ith “as-is” condition of the parameter and is the ith optimal value.
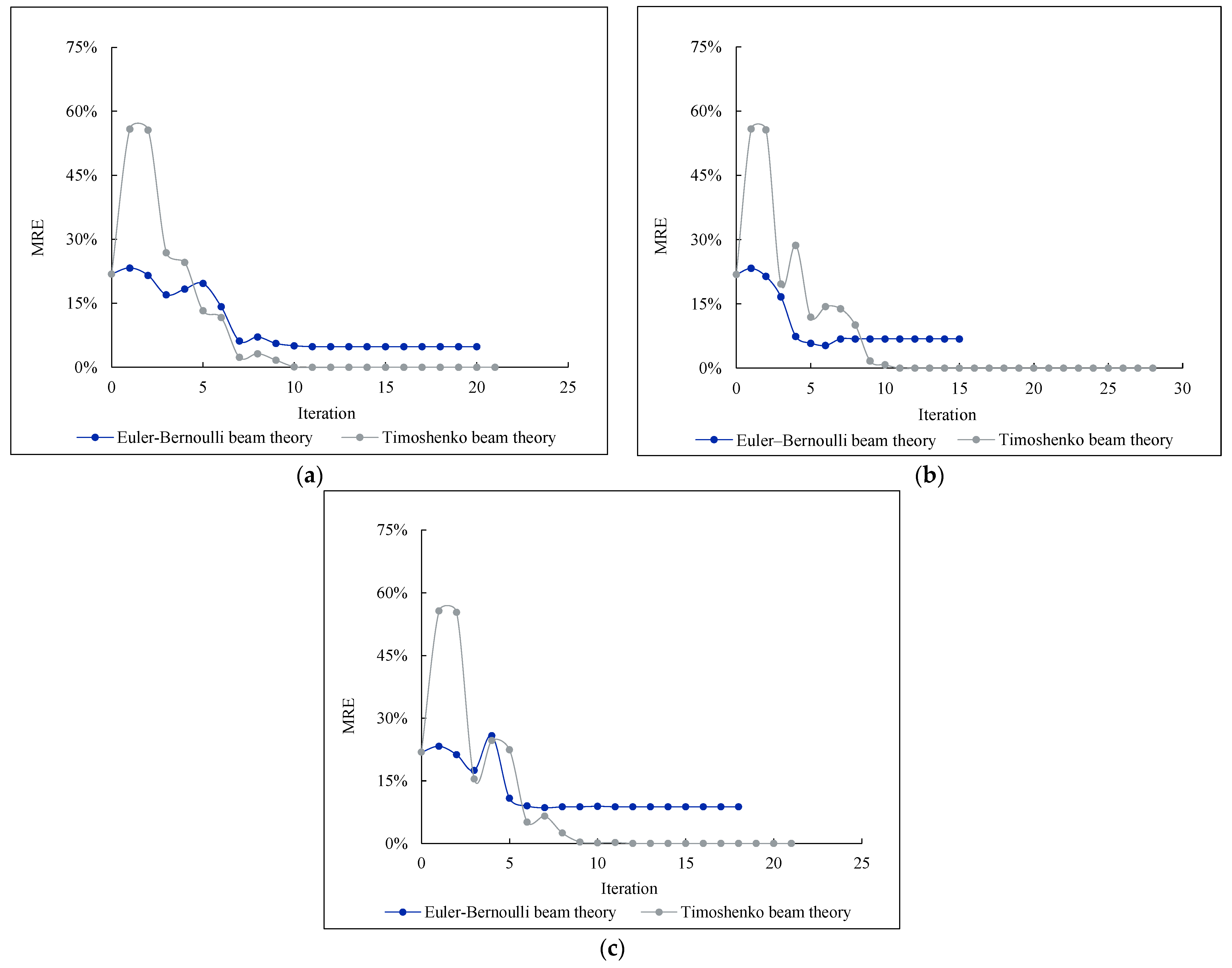
Figure 6a–c present the variation trend of MRE during optimization of semi-rigid frames with Shapes A, B and C, respectively.
Figure 6.
MRE during the parameter identification. (a) Variation trend of MRE for joint damage identification of semi-rigid frame with Shape A; (b) Variation trend of MRE for joint damage identification of semi-rigid frame with Shape B; (c) Variation trend of MRE for joint damage identification of semi-rigid frame with Shape C.
From observing Figure 6a–c, firstly, both methods based on two different beam theories can identify joint damage for semi-rigid frames with a slender beam; Secondly, joint damage is identified by the method based on the Timoshenko beam theory with final MRE values of almost 0%. Compared with the method based on the Euler–Bernoulli beam theory, the damage identification method based on the Timoshenko beam theory improves the identification accuracy of semi-rigid frames with Shapes A, B, and C by 4.88%, 6.83%, and 8.79%, respectively.
Figure 7 shows the variation trend between the depth-to-span ratios and the improvement in accuracy.
Figure 7.
Accuracy improvement of joint damage identification.
It can be seen from Figure 7 that the depth-to-span ratio and the accuracy improvement are positively correlated. This means that the accuracy of joint damage identification is improved as the depth-to-span ratio increases.
3.2. Two-Story-One-Bay Semi-Rigid Frame
A single-bay, two-story semi-rigid steel frame with slender beams, shown in Figure 8, is used to investigate the effectiveness of the proposed approach. Assuming that the “as-built” condition of all end-fixity factors is equal to 0.75; The “as-is” condition of the end-fixity factors at node 3 and node 4 of member 4 are 0.40 and 0.60, respectively; The end-fixity factors at node 2 and node 5 of member 3 are 0.53 and 0.72, respectively. That can be defined as γ2 = 0.53, γ3 = 0.40, γ4 = 0.60, γ5 = 0.72. The cross-sections of all the members are assumed to be Shape C (see Table 2). Exciting the frame structure with forces of 50 kN and 50 kN is applied along DOFs 4 and 11. The measured nodal displacements Dmi are obtained along the DOFs 1, 4, 7, 10, 11, 13, and 16.
Figure 8.
Structural details of two-story-one-bay semi-rigid frame.
Figure 9a,b show the identification results obtained by the method based on the Euler–Bernoulli beam theory and the Timoshenko beam theory, respectively. Figure 9c displays the convergence process of different objective functions.
Figure 9.
Identification results for two-story-one-bay semi-rigid frame. (a) Identification results based on the Euler–Bernoulli beam theory; (b) Identification results based on the Timoshenko beam theory; (c) Objective function values.
It can be seen from Figure 9a,b that for γ2, γ3, γ4, and γ5, the final identification results of the method based on the Euler–Bernoulli beam theory are 0.49, 0.45, 0.56, and 0.66, respectively, which are quite different from the “as-is” condition. The final identification results of the method based on Timoshenko beam theory are 0.53, 0.40, 0.60, and 0.72, which are obviously more accurate. Figure 9c explicitly shows that compared with the objective function established based on the Euler–Bernoulli beam theory, the objective function obtained based on the Timoshenko beam theory with higher convergence accuracy.
The MRE curves for joint damage identification using methods based on two different beam theories are shown in Figure 10.
Figure 10.
MRE during the parameter identification.
It can be observed from Figure 10 that the damage identification results based on the Timoshenko beam theory are more accurate than those based on Euler–Bernoulli beam theory, with the final MRE values are 0.20% and 8.51%, respectively. It means that the method based on the Timoshenko beam theory improves the accuracy of damage identification by 8.31%.
4. Effect of Shear Deformation on Combined Joint and Member Damage Identification of Semi-Rigid Frames with Slender Beams
In fact, in addition to the joint damage, structural members are also damaged due to material aging, fatigue, corrosion, etc. For this purpose, corrosion damage of members in semi-rigid structures was introduced. The main effect of corrosion is the loss of the material from the steel member’s surface and resulting in a thinner cross-sectional area of the structure. The depth of corrosion is related to corrosion rate and exposure years [52]. Assuming that the corrosion depth of the member j is dj, which is another parameter to be identified. For the damage identification method based on the Timoshenko beam theory, the corrosion depth will affect the calculation of cross-sectional area, shear area, and moment of inertia. This section mainly investigated combined joint and member damage joint damage identification for semi-rigid steel frames with slender beams.
4.1. One-Story-Two-Bay Semi-Rigid Frame
A one-story-two-bay semi-rigid steel frame with slender beams is investigated. Figure 11 shows the structural details of the damaged semi-rigid frame structure. Assuming that the maximum corrosion depth of all members is less than 4 mm, the “as-built” condition of all end-fixity factors is 0.75. The “as-is” condition of the end-fixity factor at the right joint of member 1 is reduced from 0.75 to 0.66. The fixity factor at the left joint of member 2 is reduced to 0.47. That can be defined as γ2 = 0.66, γ3 = 0.47. In addition, members 2 and 3 are damaged by corrosion. Assuming that the cross-sections of members 2 and 3 are uniformly corroded, the corrosion depths are 1.5 mm and 2.8 mm, respectively. That can be defined as d2 = 1.5 mm, d3 = 2.8 mm. The frame members are rectangular cross-sections, and all members have the same cross-section for the “as-built” condition. For comparison, three different shapes of rectangular cross-sections were considered. The cross-sectional dimensions are given in Table 3, and the depth-to-span ratios of beams 1 and 2 are also included in Table 3.
Figure 11.
Structural details of one-story-two-bay semi-rigid frame.
Table 3.
The rectangular cross-sectional dimensions.
In this study, the shear area of a rectangular cross-section is equal to 5/6 times the cross-sectional area, i.e., 5hb/6, where h and b are the depth and width of the rectangular cross-section, respectively. A force of 50 kN is applied along DOF 1 to excite the semi-rigid frame, and the measured nodal displacements are determined along DOFs 1–9. According to the “as-built” condition, the constraint on γj was set between 0 and 0.75; and the constraint on dj was set between 0 and 4. The starting point of the fixity factor γj and the corrosion depth dj in the objective function was equal to 0.375 and 2, respectively. Based on the Euler–Bernoulli beam theory and Timoshenko beam theory methods, the combined joint and member damage identification of three semi-rigid frames with rectangular cross-sections were compared.
For the semi-rigid frame with Shape D, the combined joint and member damage identification results based on Euler–Bernoulli beam theory and Timoshenko beam theory are plotted in Figure 12a–e. Among them, Figure 12a,b present the damage identification results based on Euler–Bernoulli beam theory; Figure 12c,d present the damage identification results based on the Timoshenko beam theory; Figure 12e provides the convergence curves of objective functions established based on different beam theories.
Figure 12.
Identification results for one-story-two-bay semi-rigid frame with Shape D. (a) Identification results of the fixity factors based on the Euler–Bernoulli beam theory; (b) Identification results of the corrosion depths based on the Euler–Bernoulli beam theory; (c) Identification results of the fixity factors based on the Timoshenko beam theory; (d) Identification results of the corrosion depths based on the Timoshenko beam theory; (e) Objective function values.
From the identification results shown in Figure 12a–d, it can be seen that the method based on the Euler–Bernoulli beam theory can well identify the damaged semi-rigid frame with slender beams. However, there are some subtle errors in the identification results of corrosion depth dj and joint fixity factor γj, especially the identification results of corrosion depth dj. All the results identified by the Timoshenko beam theory method coincide well with the “as-is” condition. Figure 12e clearly shows that the objective function based on the Timoshenko beam theory method has a higher convergence precision.
Figure 13 illustrates the results of combined joint and member damage identification for the semi-rigid frame with Shape E.
Figure 13.
Identification results for one-story-two-bay semi-rigid frame with Shape E. (a) Identification results of the fixity factors based on the Euler–Bernoulli beam theory; (b) Identification results of the corrosion depths based on the Euler–Bernoulli beam theory; (c) Identification results of the fixity factors based on the Timoshenko beam theory; (d) Identification results of the corrosion depths based on the Timoshenko beam theory; (e) Objective function values.
From the identification results presented in Figure 13, the method based on the Timoshenko beam theory is more accurate than the method based on the Euler–Bernoulli beam theory, especially for the damage identification of members. By contrast, the objective function obtained by the method based on Timoshenko beam theory has higher convergence precision.
Figure 14 presents the identification results of the semi-rigid frame with Shape F.
Figure 14.
Identification results for one-story-two-bay semi-rigid frame with Shape F. (a) Identification results of the fixity factors based on the Euler–Bernoulli beam theory; (b) Identification results of the corrosion depths based on the Euler–Bernoulli beam theory; (c) Identification results of the fixity factors based on the Timoshenko beam theory; (d) Identification results of the corrosion depths based on the Timoshenko beam theory; (e) Objective function values.
The results presented in Figure 14 further confirmed the previous conclusion that the proposed method could accurately identify the combined joint and member damage for semi-rigid frames with slender beams.
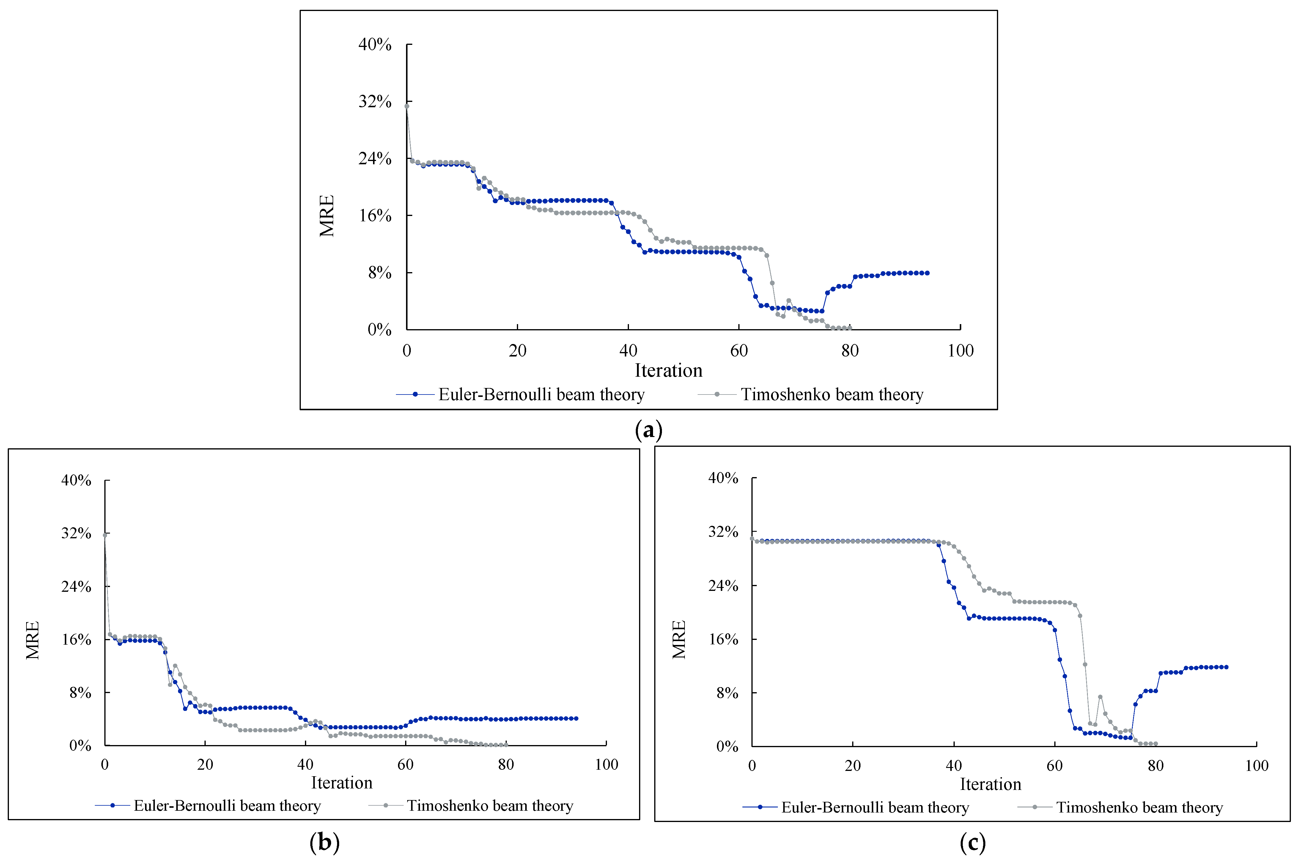
The identification results were further analyzed in this section to verify the accuracy and validity of the method based on the Timoshenko beam theory. Since the combined joint and member damage identification of the semi-rigid frame was carried out at the same time, separately calculating the MRE could more clearly show the identification accuracy. Figure 15 shows the MRE during the damage identification for the semi-rigid frame with Shape D, clearly demonstrating the identification effect of two different beam theories. Among them, Figure 15a shows the MRE during the process of simultaneously identifying the fixity factors and corrosion depths; Figure 15b,c show the MRE for identifying the fixity factors and corrosion depths, respectively.
Figure 15.
MRE during the parameter identification for semi-rigid frame with Shape D. (a) MRE during the identification of all parameters; (b) MRE during the identification of the fixity factors; (c) MRE during the identification of the corrosion depths.
It can be found that while the method based on the Euler–Bernoulli beam theory can successfully detect the joint and member damage of the structure, the method based on the Timoshenko beam theory performs better in all cases.
The MRE during the damage identification for the semi-rigid frame with Shape E is displayed in Figure 16.
Figure 16.
MRE during the parameter identification for semi-rigid frame with Shape E. (a) MRE during the identification of all parameters; (b) MRE during the identification of the fixity factors; (c) MRE during the identification of the corrosion depths.
From Figure 16, it is possible to find that the method based on Timoshenko beam theory still provides higher accuracy than the method based on the Euler–Bernoulli beam theory.
Figure 17 presents the MRE of the semi-rigid frame with Shape F.
Figure 17.
MRE during the parameter identification for semi-rigid frame with Shape F. (a) MRE during the identification of all parameters; (b) MRE during the identification of the fixity factors; (c) MRE during the identification of the corrosion depths.
Some conclusions can be drawn from Figure 15a, Figure 16a, and Figure 17a. Firstly, the final MRE values based on the Timoshenko beam theory are 0.84%, 0.63%, and 0.25%, all of which are less than 1%. Secondly, the final MRE values based on the Euler–Bernoulli beam theory are 2.84%, 4.85%, and 7.96%. For Shapes D, E, and F, the method based on the Timoshenko beam theory improves the accuracy by 2%, 4.25%, and 7.71%, respectively. Likewise, from Figure 15b, Figure 16b, and Figure 17b, it can be analyzed that the accuracy of joint damage identification is improved by 1.51%, 2.54%, and 3.98%, respectively. The MRE shown in Figure 15c, Figure 16c, and Figure 17c illustrate that the accuracy of member damage identification is improved by 2.49%, 5.97%, and 11.45%, respectively.
Figure 18 illustrates the variation trend between the depth-to-span ratio and accuracy improvement. The accuracy improvement trend of combined joint and member damage identification is shown in Figure 18a. To demonstrate the effectiveness and accuracy of the method based on Timoshenko beam theory for different types of damage identification, Figure 18b,c show the accuracy improvement trend of joint and member identification, respectively.
Figure 18.
Accuracy improvement. (a) Accuracy improvement of combined joint and member damage identification; (b) Accuracy improvement of joint damage identification; (c) Accuracy improvement of member damage identification.
It can be observed that all results presented in Figure 18 show an upward trend. The improvement in accuracy is positively correlated with the depth-to-span ratio; that is, the accuracy improvement boost as the depth-to-span ratio increases. These results further confirmed that considering the effect of shear deformation can significantly improve the accuracy of damage identification.
4.2. Two-Story-Two-Bay Irregular Semi-Rigid Frame
A two-story, two-bay irregular semi-rigid steel frame with slender beams was investigated for combined joint and member damage identification, as shown in Figure 19. It is assumed that the “as-built” condition for all end-fixity factors is 0.75, and the maximum corrosion depth of all members is less than 4 mm. The “as-is” condition of the end-fixity factor at node 2 of member 1 is 0.59; The end-fixity factor at node 5 of member 3 is 0.71. The corrosion depth of members 1 and 8 is 1.7 mm and 0.8 mm, respectively. That can be defined as γ2 = 0.59, γ5 = 0.71, d1 = 1.7 mm, d8 = 0.8 mm. The cross-sections of all the members are assumed to be Shape F (see Table 3). A force of 50 kN is applied along DOF 1 to excite the structure, and measured nodal displacements are determined along DOFs 1, 4, 7, 10, and 13. According to the “as-built” condition, the starting point of the fixity factor γj and the corrosion depth dj in the objective function was equal to 0.375 and 2, respectively.
Figure 19.
Structural details of two-story-two-bay irregular semi-rigid frame.
Figure 20 shows the results of damage identification based on different beam theories. Among them, Figure 20a,b show the identification results based on Euler–Bernoulli beam theory; Figure 20c,d show the identification results based on Timoshenko beam theory; Figure 20e shows the convergence process of different objective functions during the optimization.

Figure 20.
Identification results for two-story-two-bay irregular semi-rigid frame. (a) Identification results of the fixity factors based on the Euler–Bernoulli beam theory; (b) Identification results of the corrosion depths based on the Euler–Bernoulli beam theory; (c) Identification results of the fixity factors based on the Timoshenko beam theory; (d) Identification results of the corrosion depths based on the Timoshenko beam theory; (e) Objective function values.
It can be found from Figure 20a–d that for the identification results based on the Euler–Bernoulli beam theory method, the accuracy of the fixity factor γ5 and the corrosion depth d8 is lower. For the method based on the Timoshenko beam theory, the identification results for both the joint damage and the member damage are accurate. Figure 20e shows the objective function established by the Timoshenko beam theory has a better convergence precision.
Figure 21 shows the MRE changes in the process of identifying the fixity factors and the corrosion depths.

Figure 21.
MRE during the parameter identification. (a) MRE during the identification of all parameters; (b) MRE during the identification of the fixity factors; (c) MRE during the identification of the corrosion depths.
It can be calculated, according to Figure 21a, that the method based on the Timoshenko beam theory improves the accuracy of damage identification by 6.34%. Figure 21b,c, respectively, illustrate that the joint damage identification accuracy is improved by 1.68%, and the member damage identification accuracy is improved by 11.01%.
5. Conclusions
In this study, a method for identifying combined joint and member damage of semi-rigid frames with slender beams has been proposed. The method takes into account the effect of shear deformation in the damage identification of semi-rigid frames with slender beams. Structural damage identification was formulated as an optimization problem by defining an appropriate objective function relevant to structural parameters. The objective function was expressed in terms of the discrepancy between the measured and the analytical nodal displacements. The results indicate that both methods, based on the Euler–Bernoulli beam theory and the Timoshenko beam theory, can identify the damages. However, the Timoshenko beam theory accounts for shear deformation, which is neglected in the Euler–Bernoulli beam theory, and provides higher identification accuracy. Some conclusions can be drawn as follows:
- (1)
- The method accounts for shear deformation and could successfully identify joint damage in semi-rigid frames with slender beams. The results show an improved accuracy of identification and a higher convergence precision of the objective function compared with the method based on the Euler–Bernoulli beam theory.
- (2)
- In addition to the fixity factor, this study introduced corrosion depth as a design variable for member damage. Results in examples demonstrated that the method based on the Timoshenko beam theory provides more reliable and accurate identification for combined joint and member damage.
- (3)
- The damage identification results in this study show that both the accuracy improvement of the member damage and joint damage has a positive correlation with the depth-to-span ratio, namely, the accuracy improvement boost as the depth-to-span ratio increases.
Author Contributions
Conceptualization, F.X. and W.Z.; Methodology, F.X., X.M. and W.Z.; Investigation, F.X., X.M., W.Z. and G.S.C.; Writing—original draft, F.X. and X.M.; Writing—review & editing, F.X., X.M., G.S.C. and Y.Y.; Funding acquisition, F.X. All authors have read and agreed to the published version of the manuscript.
Funding
This research was funded by the Natural Science Foundation of Jiangsu Province, China (Grant No. BK20200492).
Data Availability Statement
Data is contained within the article.
Conflicts of Interest
The authors declare no conflict of interest.
References
- Mam, K.; Douthe, C.; Roy, R.L.; Consigny, F. Shape optimization of braced frames for tall timber buildings: Influence of semi-rigid connections on design and optimization process. Eng. Struct. 2020, 216, 110692. [Google Scholar] [CrossRef]
- Abd-Elhady, A.; Abu-Sinna, A.; Atta, M.; Sallam, E.D.M. Identification of damage stages in bolted metallic joints for different joint geometries and tightening torques using statistical analysis. Adv. Struct. Eng. 2020, 23, 911–923. [Google Scholar] [CrossRef]
- Xiao, F.; Zhu, W.; Meng, X.; Chen, G.S. Parameter Identification of Structures with Different Connections Using Static Responses. Appl. Sci. 2022, 12, 5896. [Google Scholar] [CrossRef]
- Cunha, J.; Foltete, E.; Bouhaddi, N. Evaluation of stiffness of semi-rigid joints in pultruded profiles from dynamic and static data by using model updating technique. Eng. Struct. 2008, 30, 1024–1036. [Google Scholar] [CrossRef]
- UNE-EN. Eurocode 3: Design of Steel Structures (Part 1–8: Design of Joints); CEN: Brussels, Belgium, 2005. [Google Scholar]
- ANSI/AISC 360-10; Specification for Structural Steel Buildings. AISC: Chicago, IL, USA, 2010.
- Nakashima, M.; Inoue, K.; Tada, M. Classification of damage to steel buildings observed in the 1995 Hyogoken-Nanbu earthquake. Eng. Struct. 1998, 20, 271–281. [Google Scholar] [CrossRef]
- Teruna, D.R. Evaluation of behavior and performance of the braced/unbraced four story of steel frame with semi rigid connection. MATEC Web Conf. 2019, 270, 01002. [Google Scholar] [CrossRef]
- Faridmehr, I.; Tahir, M.M.; Lahmer, T.; Hanim, O.M. Seismic performance of steel frames with semirigid connections. J. Eng. 2017, 2017, 5284247. [Google Scholar] [CrossRef]
- Daryan, A.S.; Sadri, M.; Saberi, H.; Saberi, V.; Moghadas, A.B. Behavior of semi-rigid connections and semi-rigid frames. Struct. Des. Tall Spec. Build. 2014, 23, 210–238. [Google Scholar] [CrossRef]
- Paral, A.; Roy, D.; Samanta, A.K. A deep learning-based approach for condition assessment of semi-rigid joint of steel frame. J. Build. Eng. 2020, 34, 101946. [Google Scholar] [CrossRef]
- Machavaram, R.; Shankar, K. Joint damage identification using Improved Radial Basis Function (IRBF) networks in frequency and time domain. Appl. Soft Comput. 2013, 13, 3366–3379. [Google Scholar] [CrossRef]
- Seyedpoor, S.M.; Nopour, M.H. A two-step method for damage identification in moment frame connections using support vector machine and differential evolution algorithm. Appl. Soft Comput. 2020, 88, 106008. [Google Scholar] [CrossRef]
- Pal, J.; Banerjee, S. Identification of Semi-rigid Joints in Steel Frame Structures Using Vibration-Based Technique. Recent Adv. Struct. Eng. 2019, 1, 363–374. [Google Scholar]
- Katkhuda, H.N.; Dwairi, H.M.; Shatarat, N. System identification of steel framed structures with semi-rigid connections. Struct. Eng. Mech. 2010, 34, 351–366. [Google Scholar] [CrossRef]
- Hou, R.; Beck, J.L.; Zhou, X.; Xia, Y. Structural damage detection of space frame structures with semi-rigid connections. Eng. Struct. 2021, 235, 112029. [Google Scholar] [CrossRef]
- He, K.; Zhu, W.D. Detection of damage in space frame structures with L-shaped beams and bolted joints using changes in natural frequencies. J. Vib. Acoust. 2013, 135, 051001. [Google Scholar]
- Nick, H.; Aziminejad, A.; Hosseini, M.H.; Laknejadi, K. Damage identification in steel girder bridges using modal strain energy-based damage index method and artificial neural network. Eng. Fail. Anal. 2021, 119, 105010. [Google Scholar] [CrossRef]
- Valle, J.L.Z.; Diéguez, M.G.; Camblor, R.A. Nonlinear modal identification of a steel frame. Eng. Struct. 2013, 56, 246–259. [Google Scholar] [CrossRef]
- Sherif, B.; Leon, D.W.; Bruce, F.S. New methodology for the application of vibration-based damage detection techniques. Struct. Control Health Monit. 2012, 19, 632–649. [Google Scholar]
- Sanayei, M.; Saletnik, M.J. Parameter estimation of structures from static strain measurements. I: Formulation. J. Struct. Eng. 1996, 122, 555–562. [Google Scholar] [CrossRef]
- Xiao, F.; Hulsey, J.L.; Chen, G.S.; Xiang, Y. Optimal static strain sensor placement for truss bridges. Int. J. Distrib. Sens. Netw. 2017, 13, 1550147717707929. [Google Scholar] [CrossRef]
- Bu, H.; Wang, D.; Zhou, P.; Zhu, H. An improved wavelet-galerkin method for dynamic response reconstruction and parameter identification of shear-type frames. J. Sound Vib. 2018, 419, 140–157. [Google Scholar] [CrossRef]
- Xiao, F.; Fan, J.; Chen, G.S.; Hulsey, J.L. Bridge health monitoring and damage identification of truss bridge using strain measurements. Adv. Mech. Eng. 2019, 11, 1687814019832216. [Google Scholar] [CrossRef]
- Xiao, F.; Sun, H.; Mao, Y.; Chen, G.S. Damage identification of large-scale space truss structures based on stiffness separation method. Structures 2023, 53, 109–118. [Google Scholar] [CrossRef]
- Ma, Z.; Chung, J.; Liu, P.; Sohn, H. Bridge displacement estimation by fusing accelerometer and strain gauge measurements. Struct. Control Health Monit. 2021, 28, e2733. [Google Scholar] [CrossRef]
- Greco, A.; Pau, A. Damage identification in Euler frames. Comput. Struct. 2012, 92, 328–336. [Google Scholar] [CrossRef]
- Yasha, Z.; Brett, A.S. Framework for flexural rigidity estimation in Euler-Bernoulli beams using deformation influence lines. Infrastructures 2017, 2, 23. [Google Scholar]
- Silva, R.G.L.; Lavall, A.C.C.; Costa, R.S.; Viana, H.F. Formulation for second-order inelastic analysis of steel frames including shear deformation effect. J. Constr. Steel Res. 2018, 151, 216–227. [Google Scholar] [CrossRef]
- Su, Y.C.; Ma, C.C. Theoretical analysis of transient waves in a simply-supported Timoshenko beam by ray and normal mode methods. Int. J. Solids Struct. 2011, 48, 535–552. [Google Scholar] [CrossRef]
- Dixit, A. Single-beam analysis of damaged beams: Comparison using Euler-Bernoulli and Timoshenko beam theory. J. Sound Vib. 2014, 333, 4341–4353. [Google Scholar] [CrossRef]
- Han, Z.; Zhang, S.; Li, B.; Ma, C.; Liu, J.; Ma, X.; Ju, X. Study on the influence of the identification model on the accuracy of the thermal response test. Geothermics 2018, 72, 316–322. [Google Scholar] [CrossRef]
- Wu, Z.; Huang, B.; Kong, F.T.; Zhang, W. A Novel Stochastic Approach for Static Damage Identification of Beam Structures Using Homotopy Analysis Algorithm. Sensors 2021, 21, 2366. [Google Scholar] [CrossRef] [PubMed]
- Jaspart, J.P. General report: Session on connections. J. Constr. Steel Res. 2000, 55, 69–89. [Google Scholar] [CrossRef]
- Nethercot, D.A. Frame structures: Global performance, static and stability behaviour General Report. J. Constr. Steel Res. 2000, 55, 109–124. [Google Scholar] [CrossRef]
- Xu, L.; Grierson, D.E. Computer-automated design of semirigid steel frameworks. J. Struct. Eng. 1993, 119, 1740–1760. [Google Scholar] [CrossRef]
- Yun, C.B.; Yi, J.H.; Bahng, E.Y. Joint damage assessment of framed structures using a neural networks technique. Eng. Struct. 2001, 23, 425–435. [Google Scholar] [CrossRef]
- Nanda, B.; Maity, D.; Maiti, D.K. Modal parameter based inverse approach for structural joint damage assessment using unified particle swarm optimization. Appl. Math. Comput. 2014, 242, 407–422. [Google Scholar] [CrossRef]
- Beck, A.T.; da Silva, C.R., Jr. Timoshenko versus Euler beam theory: Pitfalls of a deterministic approach. Struct. Saf. 2011, 33, 19–25. [Google Scholar] [CrossRef]
- Timoshenko, S.P. On the correction for shear of the differential equation for transverse vibrations of prismatic bars. Lond. Edinb. Dublin Philos. Mag. J. Sci. 1921, 41, 744–746. [Google Scholar] [CrossRef]
- Timoshenko, S.P. On the transverse vibrations of bars of uniform cross-section. Lond. Edinb. Dublin Philos. Mag. J. Sci. 1922, 43, 125–131. [Google Scholar] [CrossRef]
- Cowper, G.R. The shear coefficient in Timoshenko’s beam theory. J. Appl. Mech. 1966, 33, 335–340. [Google Scholar] [CrossRef]
- Aristizabal-Ochoa, J.D. First- and second-order stiffness matrices and load vector of beam-columns with semirigid connections. J. Struct. Eng. 1997, 123, 669–678. [Google Scholar] [CrossRef]
- Liu, Y. Hybrid-member stiffness matrix accounting for geometrical nonlinearity and member inelasticity in semi-rigid frameworks. Eng. Struct. 2009, 31, 2880–2895. [Google Scholar] [CrossRef]
- Aristizabal-Ochoa, J.D. Matrix method for stability and second-order analysis of Timoshenko beam-column structures with semi-rigid connections. Eng. Struct. 2012, 34, 289–302. [Google Scholar] [CrossRef]
- Turner, M.J.; Clough, R.W.; Martin, H.C.; Topp, L.J. Stiffness and deflection analysis of complex structures. J. Aeronaut. Sci. 1956, 23, 805–823. [Google Scholar] [CrossRef]
- Turner, M.J. The direct stiffness method of structural analysis. In Proceedings of the AGARD Structural and Materials Panel Meeting, Aachen, Germany, September 1959. [Google Scholar]
- Word, D.P.; Young, J.K.; Cummings, D.A.T.; Iamsirithaworn, S.; Laird, C.D. Interior-point methods for estimating seasonal parameters in discrete-time infectious disease models. PLoS ONE 2013, 8, e74208. [Google Scholar] [CrossRef]
- Nemirovski, A.S.; Todd, M.J. Interior-point methods for optimization. Acta Numer. 2008, 17, 191–234. [Google Scholar] [CrossRef]
- González, M.P.; Zapico, J.L. Seismic damage identification in buildings using neural networks and modal data. Comput. Struct. 2008, 86, 416–426. [Google Scholar] [CrossRef]
- Stamatopoulos, G.N. Seismic response of steel frames considering the hysteretic behaviour of the semi-rigid supports. Int. J. Steel Struct. 2014, 14, 609–618. [Google Scholar] [CrossRef]
- Secer, M.; Uzun, E.T. Corrosion damage analysis of steel frames considering lateral torsional buckling. Procedia Eng. 2017, 171, 1234–1241. [Google Scholar] [CrossRef]
Disclaimer/Publisher’s Note: The statements, opinions and data contained in all publications are solely those of the individual author(s) and contributor(s) and not of MDPI and/or the editor(s). MDPI and/or the editor(s) disclaim responsibility for any injury to people or property resulting from any ideas, methods, instructions or products referred to in the content. |
© 2023 by the authors. Licensee MDPI, Basel, Switzerland. This article is an open access article distributed under the terms and conditions of the Creative Commons Attribution (CC BY) license (https://creativecommons.org/licenses/by/4.0/).






















