Combined Joint and Member Damage Identification of Semi-Rigid Frames with Slender Beams Considering Shear Deformation
Abstract
1. Introduction
2. Theoretical Background
2.1. Modeling of Semi-Rigid Connections
2.2. Member Stiffness Matrix of Semi-Rigid Frame
2.3. Objective Function
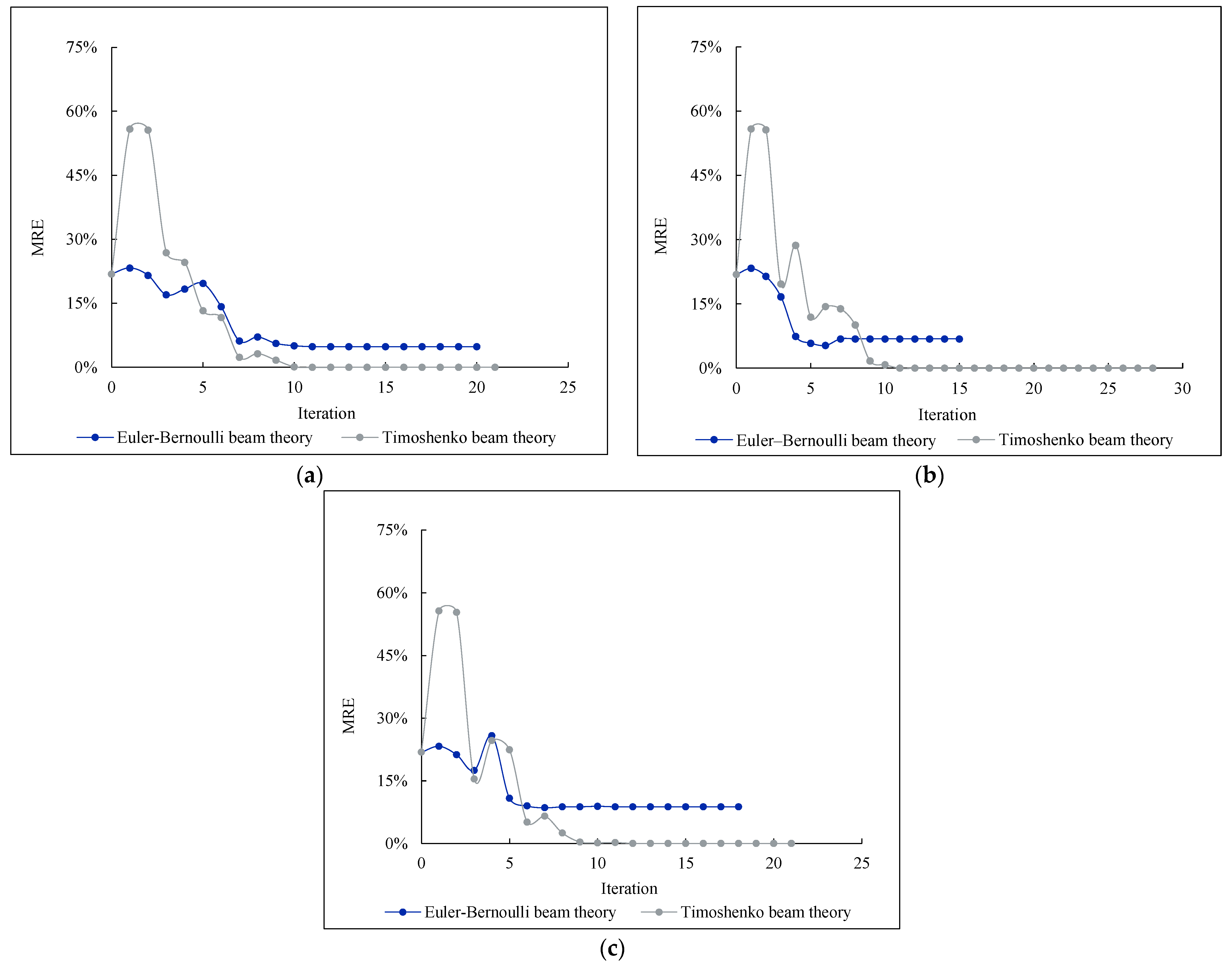
3. Effect of Shear Deformation on Joint Damage Identification of Semi-Rigid Frames with Slender Beams
3.1. One-Story-One-Bay Semi-Rigid Frame
3.2. Two-Story-One-Bay Semi-Rigid Frame
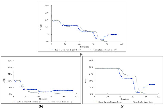
4. Effect of Shear Deformation on Combined Joint and Member Damage Identification of Semi-Rigid Frames with Slender Beams
4.1. One-Story-Two-Bay Semi-Rigid Frame
4.2. Two-Story-Two-Bay Irregular Semi-Rigid Frame
5. Conclusions
- (1)
- The method accounts for shear deformation and could successfully identify joint damage in semi-rigid frames with slender beams. The results show an improved accuracy of identification and a higher convergence precision of the objective function compared with the method based on the Euler–Bernoulli beam theory.
- (2)
- In addition to the fixity factor, this study introduced corrosion depth as a design variable for member damage. Results in examples demonstrated that the method based on the Timoshenko beam theory provides more reliable and accurate identification for combined joint and member damage.
- (3)
- The damage identification results in this study show that both the accuracy improvement of the member damage and joint damage has a positive correlation with the depth-to-span ratio, namely, the accuracy improvement boost as the depth-to-span ratio increases.
Author Contributions
Funding
Data Availability Statement
Conflicts of Interest
References
- Mam, K.; Douthe, C.; Roy, R.L.; Consigny, F. Shape optimization of braced frames for tall timber buildings: Influence of semi-rigid connections on design and optimization process. Eng. Struct. 2020, 216, 110692. [Google Scholar] [CrossRef]
- Abd-Elhady, A.; Abu-Sinna, A.; Atta, M.; Sallam, E.D.M. Identification of damage stages in bolted metallic joints for different joint geometries and tightening torques using statistical analysis. Adv. Struct. Eng. 2020, 23, 911–923. [Google Scholar] [CrossRef]
- Xiao, F.; Zhu, W.; Meng, X.; Chen, G.S. Parameter Identification of Structures with Different Connections Using Static Responses. Appl. Sci. 2022, 12, 5896. [Google Scholar] [CrossRef]
- Cunha, J.; Foltete, E.; Bouhaddi, N. Evaluation of stiffness of semi-rigid joints in pultruded profiles from dynamic and static data by using model updating technique. Eng. Struct. 2008, 30, 1024–1036. [Google Scholar] [CrossRef]
- UNE-EN. Eurocode 3: Design of Steel Structures (Part 1–8: Design of Joints); CEN: Brussels, Belgium, 2005. [Google Scholar]
- ANSI/AISC 360-10; Specification for Structural Steel Buildings. AISC: Chicago, IL, USA, 2010.
- Nakashima, M.; Inoue, K.; Tada, M. Classification of damage to steel buildings observed in the 1995 Hyogoken-Nanbu earthquake. Eng. Struct. 1998, 20, 271–281. [Google Scholar] [CrossRef]
- Teruna, D.R. Evaluation of behavior and performance of the braced/unbraced four story of steel frame with semi rigid connection. MATEC Web Conf. 2019, 270, 01002. [Google Scholar] [CrossRef]
- Faridmehr, I.; Tahir, M.M.; Lahmer, T.; Hanim, O.M. Seismic performance of steel frames with semirigid connections. J. Eng. 2017, 2017, 5284247. [Google Scholar] [CrossRef]
- Daryan, A.S.; Sadri, M.; Saberi, H.; Saberi, V.; Moghadas, A.B. Behavior of semi-rigid connections and semi-rigid frames. Struct. Des. Tall Spec. Build. 2014, 23, 210–238. [Google Scholar] [CrossRef]
- Paral, A.; Roy, D.; Samanta, A.K. A deep learning-based approach for condition assessment of semi-rigid joint of steel frame. J. Build. Eng. 2020, 34, 101946. [Google Scholar] [CrossRef]
- Machavaram, R.; Shankar, K. Joint damage identification using Improved Radial Basis Function (IRBF) networks in frequency and time domain. Appl. Soft Comput. 2013, 13, 3366–3379. [Google Scholar] [CrossRef]
- Seyedpoor, S.M.; Nopour, M.H. A two-step method for damage identification in moment frame connections using support vector machine and differential evolution algorithm. Appl. Soft Comput. 2020, 88, 106008. [Google Scholar] [CrossRef]
- Pal, J.; Banerjee, S. Identification of Semi-rigid Joints in Steel Frame Structures Using Vibration-Based Technique. Recent Adv. Struct. Eng. 2019, 1, 363–374. [Google Scholar]
- Katkhuda, H.N.; Dwairi, H.M.; Shatarat, N. System identification of steel framed structures with semi-rigid connections. Struct. Eng. Mech. 2010, 34, 351–366. [Google Scholar] [CrossRef]
- Hou, R.; Beck, J.L.; Zhou, X.; Xia, Y. Structural damage detection of space frame structures with semi-rigid connections. Eng. Struct. 2021, 235, 112029. [Google Scholar] [CrossRef]
- He, K.; Zhu, W.D. Detection of damage in space frame structures with L-shaped beams and bolted joints using changes in natural frequencies. J. Vib. Acoust. 2013, 135, 051001. [Google Scholar]
- Nick, H.; Aziminejad, A.; Hosseini, M.H.; Laknejadi, K. Damage identification in steel girder bridges using modal strain energy-based damage index method and artificial neural network. Eng. Fail. Anal. 2021, 119, 105010. [Google Scholar] [CrossRef]
- Valle, J.L.Z.; Diéguez, M.G.; Camblor, R.A. Nonlinear modal identification of a steel frame. Eng. Struct. 2013, 56, 246–259. [Google Scholar] [CrossRef]
- Sherif, B.; Leon, D.W.; Bruce, F.S. New methodology for the application of vibration-based damage detection techniques. Struct. Control Health Monit. 2012, 19, 632–649. [Google Scholar]
- Sanayei, M.; Saletnik, M.J. Parameter estimation of structures from static strain measurements. I: Formulation. J. Struct. Eng. 1996, 122, 555–562. [Google Scholar] [CrossRef]
- Xiao, F.; Hulsey, J.L.; Chen, G.S.; Xiang, Y. Optimal static strain sensor placement for truss bridges. Int. J. Distrib. Sens. Netw. 2017, 13, 1550147717707929. [Google Scholar] [CrossRef]
- Bu, H.; Wang, D.; Zhou, P.; Zhu, H. An improved wavelet-galerkin method for dynamic response reconstruction and parameter identification of shear-type frames. J. Sound Vib. 2018, 419, 140–157. [Google Scholar] [CrossRef]
- Xiao, F.; Fan, J.; Chen, G.S.; Hulsey, J.L. Bridge health monitoring and damage identification of truss bridge using strain measurements. Adv. Mech. Eng. 2019, 11, 1687814019832216. [Google Scholar] [CrossRef]
- Xiao, F.; Sun, H.; Mao, Y.; Chen, G.S. Damage identification of large-scale space truss structures based on stiffness separation method. Structures 2023, 53, 109–118. [Google Scholar] [CrossRef]
- Ma, Z.; Chung, J.; Liu, P.; Sohn, H. Bridge displacement estimation by fusing accelerometer and strain gauge measurements. Struct. Control Health Monit. 2021, 28, e2733. [Google Scholar] [CrossRef]
- Greco, A.; Pau, A. Damage identification in Euler frames. Comput. Struct. 2012, 92, 328–336. [Google Scholar] [CrossRef]
- Yasha, Z.; Brett, A.S. Framework for flexural rigidity estimation in Euler-Bernoulli beams using deformation influence lines. Infrastructures 2017, 2, 23. [Google Scholar]
- Silva, R.G.L.; Lavall, A.C.C.; Costa, R.S.; Viana, H.F. Formulation for second-order inelastic analysis of steel frames including shear deformation effect. J. Constr. Steel Res. 2018, 151, 216–227. [Google Scholar] [CrossRef]
- Su, Y.C.; Ma, C.C. Theoretical analysis of transient waves in a simply-supported Timoshenko beam by ray and normal mode methods. Int. J. Solids Struct. 2011, 48, 535–552. [Google Scholar] [CrossRef]
- Dixit, A. Single-beam analysis of damaged beams: Comparison using Euler-Bernoulli and Timoshenko beam theory. J. Sound Vib. 2014, 333, 4341–4353. [Google Scholar] [CrossRef]
- Han, Z.; Zhang, S.; Li, B.; Ma, C.; Liu, J.; Ma, X.; Ju, X. Study on the influence of the identification model on the accuracy of the thermal response test. Geothermics 2018, 72, 316–322. [Google Scholar] [CrossRef]
- Wu, Z.; Huang, B.; Kong, F.T.; Zhang, W. A Novel Stochastic Approach for Static Damage Identification of Beam Structures Using Homotopy Analysis Algorithm. Sensors 2021, 21, 2366. [Google Scholar] [CrossRef] [PubMed]
- Jaspart, J.P. General report: Session on connections. J. Constr. Steel Res. 2000, 55, 69–89. [Google Scholar] [CrossRef]
- Nethercot, D.A. Frame structures: Global performance, static and stability behaviour General Report. J. Constr. Steel Res. 2000, 55, 109–124. [Google Scholar] [CrossRef]
- Xu, L.; Grierson, D.E. Computer-automated design of semirigid steel frameworks. J. Struct. Eng. 1993, 119, 1740–1760. [Google Scholar] [CrossRef]
- Yun, C.B.; Yi, J.H.; Bahng, E.Y. Joint damage assessment of framed structures using a neural networks technique. Eng. Struct. 2001, 23, 425–435. [Google Scholar] [CrossRef]
- Nanda, B.; Maity, D.; Maiti, D.K. Modal parameter based inverse approach for structural joint damage assessment using unified particle swarm optimization. Appl. Math. Comput. 2014, 242, 407–422. [Google Scholar] [CrossRef]
- Beck, A.T.; da Silva, C.R., Jr. Timoshenko versus Euler beam theory: Pitfalls of a deterministic approach. Struct. Saf. 2011, 33, 19–25. [Google Scholar] [CrossRef]
- Timoshenko, S.P. On the correction for shear of the differential equation for transverse vibrations of prismatic bars. Lond. Edinb. Dublin Philos. Mag. J. Sci. 1921, 41, 744–746. [Google Scholar] [CrossRef]
- Timoshenko, S.P. On the transverse vibrations of bars of uniform cross-section. Lond. Edinb. Dublin Philos. Mag. J. Sci. 1922, 43, 125–131. [Google Scholar] [CrossRef]
- Cowper, G.R. The shear coefficient in Timoshenko’s beam theory. J. Appl. Mech. 1966, 33, 335–340. [Google Scholar] [CrossRef]
- Aristizabal-Ochoa, J.D. First- and second-order stiffness matrices and load vector of beam-columns with semirigid connections. J. Struct. Eng. 1997, 123, 669–678. [Google Scholar] [CrossRef]
- Liu, Y. Hybrid-member stiffness matrix accounting for geometrical nonlinearity and member inelasticity in semi-rigid frameworks. Eng. Struct. 2009, 31, 2880–2895. [Google Scholar] [CrossRef]
- Aristizabal-Ochoa, J.D. Matrix method for stability and second-order analysis of Timoshenko beam-column structures with semi-rigid connections. Eng. Struct. 2012, 34, 289–302. [Google Scholar] [CrossRef]
- Turner, M.J.; Clough, R.W.; Martin, H.C.; Topp, L.J. Stiffness and deflection analysis of complex structures. J. Aeronaut. Sci. 1956, 23, 805–823. [Google Scholar] [CrossRef]
- Turner, M.J. The direct stiffness method of structural analysis. In Proceedings of the AGARD Structural and Materials Panel Meeting, Aachen, Germany, September 1959. [Google Scholar]
- Word, D.P.; Young, J.K.; Cummings, D.A.T.; Iamsirithaworn, S.; Laird, C.D. Interior-point methods for estimating seasonal parameters in discrete-time infectious disease models. PLoS ONE 2013, 8, e74208. [Google Scholar] [CrossRef]
- Nemirovski, A.S.; Todd, M.J. Interior-point methods for optimization. Acta Numer. 2008, 17, 191–234. [Google Scholar] [CrossRef]
- González, M.P.; Zapico, J.L. Seismic damage identification in buildings using neural networks and modal data. Comput. Struct. 2008, 86, 416–426. [Google Scholar] [CrossRef]
- Stamatopoulos, G.N. Seismic response of steel frames considering the hysteretic behaviour of the semi-rigid supports. Int. J. Steel Struct. 2014, 14, 609–618. [Google Scholar] [CrossRef]
- Secer, M.; Uzun, E.T. Corrosion damage analysis of steel frames considering lateral torsional buckling. Procedia Eng. 2017, 171, 1234–1241. [Google Scholar] [CrossRef]























| Quantity | Pin Connection | Semi-Rigid Connection | Rigid Connection |
|---|---|---|---|
| Fixity factor | 0–0.143 | 0.143–0.891 | 0.891–1 |
| Shape | Depth h | Width bf | Thickness tf | Thickness tw | h/L |
|---|---|---|---|---|---|
| mm | mm | mm | mm | ||
| A | 90 | 100 | 5 | 4 | 0.03 |
| B | 120 | 100 | 5 | 4 | 0.04 |
| C | 150 | 100 | 5 | 4 | 0.05 |
| Shape | Depth h | Width b | h/L |
|---|---|---|---|
| mm | mm | ||
| D | 150 | 100 | 0.025 |
| E | 200 | 100 | 0.033 |
| F | 250 | 100 | 0.042 |
Disclaimer/Publisher’s Note: The statements, opinions and data contained in all publications are solely those of the individual author(s) and contributor(s) and not of MDPI and/or the editor(s). MDPI and/or the editor(s) disclaim responsibility for any injury to people or property resulting from any ideas, methods, instructions or products referred to in the content. |
© 2023 by the authors. Licensee MDPI, Basel, Switzerland. This article is an open access article distributed under the terms and conditions of the Creative Commons Attribution (CC BY) license (https://creativecommons.org/licenses/by/4.0/).
Share and Cite
Xiao, F.; Meng, X.; Zhu, W.; Chen, G.S.; Yan, Y. Combined Joint and Member Damage Identification of Semi-Rigid Frames with Slender Beams Considering Shear Deformation. Buildings 2023, 13, 1631. https://doi.org/10.3390/buildings13071631
Xiao F, Meng X, Zhu W, Chen GS, Yan Y. Combined Joint and Member Damage Identification of Semi-Rigid Frames with Slender Beams Considering Shear Deformation. Buildings. 2023; 13(7):1631. https://doi.org/10.3390/buildings13071631
Chicago/Turabian StyleXiao, Feng, Xiangwei Meng, Weiwei Zhu, Gang S. Chen, and Yu Yan. 2023. "Combined Joint and Member Damage Identification of Semi-Rigid Frames with Slender Beams Considering Shear Deformation" Buildings 13, no. 7: 1631. https://doi.org/10.3390/buildings13071631
APA StyleXiao, F., Meng, X., Zhu, W., Chen, G. S., & Yan, Y. (2023). Combined Joint and Member Damage Identification of Semi-Rigid Frames with Slender Beams Considering Shear Deformation. Buildings, 13(7), 1631. https://doi.org/10.3390/buildings13071631

