Numerical Analysis on Effects of Soil Improvement on Pile Forces on Existing High-Rise Building
Abstract
1. Introduction
2. Materials and Methods
2.1. Approach for Soil–Pile–Structure Interaction in Numerical Analysis
2.2. Numerical Investigation of SPSI with Ground Improvement
2.2.1. Boundary Conditions
2.2.2. Analysis Procedure
2.2.3. Input Motion
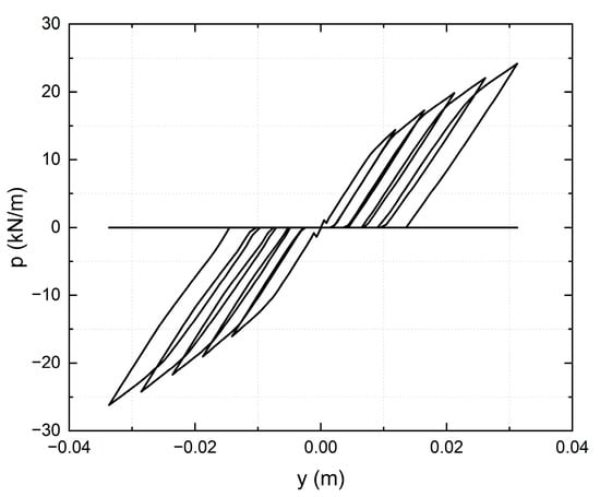
3. Results
4. Conclusions
Author Contributions
Funding
Institutional Review Board Statement
Informed Consent Statement
Data Availability Statement
Conflicts of Interest
References
- Yanik, A.; Ulus, Y. Soil–Structure Interaction Consideration for Base Isolated Structures under Earthquake Excitation. Buildings 2023, 13, 915. [Google Scholar] [CrossRef]
- Abdulaziz, M.A.; Hamood, M.J.; Fattah, M.Y. A Review Study on Seismic Behavior of Individual and Adjacent Structures Considering the Soil—Structure Interaction. Structures 2023, 52, 348–369. [Google Scholar] [CrossRef]
- Mylonakis, G.; Gazetas, G. Seismic Soil-Structure Interaction: Beneficial or Detrimental? J. Earthq. Eng. 2000, 4, 277–301. [Google Scholar] [CrossRef]
- Han, Y. Seismic Response of Tall Building Considering Soil-Pile-Structure Interaction. Earthq. Eng. Eng. Vib. 2002, 1, 57–64. [Google Scholar] [CrossRef]
- Jeremić, B.; Kunnath, S.; Xiong, F. Influence of Soil–Foundation–Structure Interaction on Seismic Response of the I-880 Viaduct. Eng. Struct. 2004, 26, 391–402. [Google Scholar] [CrossRef]
- Saha, R.; Dutta, S.C.; Haldar, S. Seismic Response of Soil-Pile Raft-Structure System. J. Civ. Eng. Manag. 2015, 21, 144–164. [Google Scholar] [CrossRef]
- Shaaban, M.; Abouelsaad, M.N.; El Bagalaty, S.; El Madawy, M.E. Seismic Analysis of RC High-Rise Buildings Rested on Cellular Raft. Buildings 2022, 12, 1924. [Google Scholar] [CrossRef]
- Tokimatsu, K.; Mizuno, H.; Kakurai, M. Building Damage Associated with Geotechnical Problems. Soils Found. 1996, 36, 219–234. [Google Scholar] [CrossRef]
- Mendoza, M.J.; Auvinet, G. The Mexico Earthquake of September 19, 1985—Behavior of Building Foundations in Mexico City. Earthq. Spectra 1988, 4, 835–853. [Google Scholar] [CrossRef]
- Phanikanth, V.S.; Choudhury, D.; Reddy, G.R. Behavior of Single Pile in Liquefied Deposits during Earthquakes. Int. J. Geomech. 2013, 13, 454–462. [Google Scholar] [CrossRef]
- Mayoral, J.M.; Asimaki, D.; Tepalcapa, S.; Wood, C.; Roman-de la Sancha, A.; Hutchinson, T.; Franke, K.; Montalva, G. Site Effects in Mexico City Basin: Past and Present. Soil Dyn. Earthq. Eng. 2019, 121, 369–382. [Google Scholar] [CrossRef]
- Mehraj, F.; Vemuri, J.; Rajaram, C.; Babu R, D.V. Effect of Soil Structure Interaction on the Dynamic Response of Reinforced Concrete Structures. Nat. Hazards Res. 2022, 2, 304–315. [Google Scholar] [CrossRef]
- Stewart, J.P.; Fenves, G.L.; Seed, R.B. Seismic Soil-Structure Interaction in Buildings. I: Analytical Methods. J. Geotech. Geoenviron. Eng. 1999, 125, 26–37. [Google Scholar] [CrossRef]
- Bilotta, E.; De Sanctis, L.; Di Laora, R.; D’Onofrio, A.; Silvestri, F. Importance of Seismic Site Response and Soil–Structure Interaction in Dynamic Behaviour of a Tall Building. Geotechnique 2015, 65, 391–400. [Google Scholar] [CrossRef]
- Mohasseb, S.; Ghazanfari, N.; Rostami, M.; Rostami, S. Effect of Soil–Pile–Structure Interaction on Seismic Design of Tall and Massive Buildings Through Case Studies. Transp. Infrastruct. Geotechnol. 2020, 7, 13–45. [Google Scholar] [CrossRef]
- Forcellini, D. Seismic Fragility of Tall Buildings Considering Soil Structure Interaction (SSI) Effects. Structures 2022, 45, 999–1011. [Google Scholar] [CrossRef]
- Vratsikidis, A.; Pitilakis, D.; Anastasiadis, A.; Kapouniaris, A. Evidence of Soil-Structure Interaction from Modular Full-Scale Field Experimental Tests. Bull. Earthq. Eng. 2022, 20, 3167–3194. [Google Scholar] [CrossRef]
- Castelli, F.; Grasso, S.; Lentini, V.; Sammito, M.S.V. Effects of Soil-Foundation-Interaction on the Seismic Response of a Cooling Tower by 3d-Fem Analysis. Geosciences 2021, 11, 200. [Google Scholar] [CrossRef]
- Torabi, H.; Rayhani, M.T. Three Dimensional Finite Element Modeling of Seismic Soil–Structure Interaction in Soft Soil. Comput. Geotech. 2014, 60, 9–19. [Google Scholar] [CrossRef]
- El Hoseny, M.; Ma, J.; Dawoud, W.; Forcellini, D. The Role of Soil Structure Interaction (SSI) on Seismic Response of Tall Buildings with Variable Embedded Depths by Experimental and Numerical Approaches. Soil Dyn. Earthq. Eng. 2023, 164, 107583. [Google Scholar] [CrossRef]
- Fiamingo, A.; Bosco, M.; Massimino, M.R. The Role of Soil in Structure Response of a Building Damaged by the 26 December 2018 Earthquake in Italy. J. Rock Mech. Geotech. Eng. 2022, 15, 937–953. [Google Scholar] [CrossRef]
- Rollins, K.M.; Adsero, M.E.; Brown, D.A. Jet Grouting to Increase Lateral Resistance of Pile Group in Soft Clay. In Contemporary Topics in Ground Modification, Problem Soils, and Geo-Support; American Society of Civil Engineers: Reston, VA, USA, 2009; pp. 265–272. [Google Scholar]
- Brown, D.; Rollins, K. Design Guidelines for Increasing the Lateral Resistance of Highway-Bridge Pile Foundations by Improving Weak Soils; Transportation Research Board: Washington, DC, USA, 2011; ISBN 9780309213417. [Google Scholar]
- Yamashita, K.; Hamada, J.; Onimaru, S.; Higashino, M. Seismic Behavior of Piled Raft with Ground Improvement Supporting a Base-Isolated Building on Soft Ground in Tokyo. Soils Found. 2012, 52, 1000–1015. [Google Scholar] [CrossRef]
- Liu, S.; Li, P.; Zhang, W.; Lu, Z. Experimental Study and Numerical Simulation on Dynamic Soil-Structure Interaction under Earthquake Excitations. Soil Dyn. Earthq. Eng. 2020, 138, 106333. [Google Scholar] [CrossRef]
- Brandis, A.; Kraus, I.; Petrovčič, S. Nonlinear Static Seismic Analysis and Its Application to Shallow Founded Buildings with Soil-Structure Interaction. Buildings 2022, 12, 2014. [Google Scholar] [CrossRef]
- Lu, X.; Li, P.; Chen, B.; Chen, Y. Computer Simulation of the Dynamic Layered Soil-Pile-Structure Interaction System. Can. Geotech. J. 2005, 42, 742–751. [Google Scholar] [CrossRef]
- Andreotti, G.; Calvi, G.M. Design of Laterally Loaded Pile-Columns Considering SSI Effects: Strengths and Weaknesses of 3D, 2D, and 1D Nonlinear Analysis. Earthq. Eng. Struct. Dyn. 2021, 50, 863–888. [Google Scholar] [CrossRef]
- Lv, Y.; Liu, H.; Ng, C.W.W.; Ding, X.; Gunawan, A. Three-Dimensional Numerical Analysis of the Stress Transfer Mechanism of XCC Piled Raft Foundation. Comput. Geotech. 2014, 55, 365–377. [Google Scholar] [CrossRef]
- Van Langen, H.; Vermeer, P.A. Interface Elements for Singular Plasticity Points. Int. J. Numer. Anal. Methods Geomech. 1991, 15, 301–315. [Google Scholar] [CrossRef]
- Herrmann, L.R. Finite Element Analysis of Contact Problems. ASCE J. Eng. Mech. Div. 1978, 104, 1043–1057. [Google Scholar] [CrossRef]
- DIANA. Diana User’s Manual, Release 10.1; DIANA FEA BV: Delft, The Netherlands, 2017. [Google Scholar]
- Cortez, C.; Jünemann, R.; Fernández, C.; Urrutia, A.; Crempien, J.G.F.; Cienfuegos, R. Performance of an RC Building under Seismic and Tsunami Actions in Sequence via Nonlinear Dynamic Analysis Including Soil-Structure Interaction. Eng. Struct. 2022, 272, 114942. [Google Scholar] [CrossRef]
- Hu, H.; Gan, G.; Bao, Y.; Guo, X.; Xiong, M.; Han, X.; Chen, K.; Cui, L.; Wang, L. Nonlinear Stochastic Seismic Response Analysis of Three-Dimensional Reinforced Concrete Piles. Buildings 2023, 13, 89. [Google Scholar] [CrossRef]
- Malhotra, S. Soil-Pile Structure Interaction during Earthquakes. In Geotechnical Engineering for Transportation Projects; American Society of Civil Engineers: Reston, VA, USA, 2004; pp. 428–440. [Google Scholar]
- Jamsawang, P.; Jamnam, S.; Jongpradist, P.; Tanseng, P.; Horpibulsuk, S. Numerical Analysis of Lateral Movements and Strut Forces in Deep Cement Mixing Walls with Top-down Construction in Soft Clay. Comput. Geotech. 2017, 88, 174–181. [Google Scholar] [CrossRef]
- Bergado, D.T.; Lorenzo, G.A. Chapter 11 A Full-Scale Study on Cement Deep Mixing in Soft Bangkok Clay. In Ground Improvement—Case Histories; Indraratna, B., Chu, J., Hudson, J.A., Eds.; Elsevier: Amsterdam, The Netherlands, 2005; Volume 3, pp. 305–325. ISBN 1571-9960. [Google Scholar]
- Tipsunavee, T.; Arangjelovski, G. Three-Dimensional Analysis of Soil-Pile-Structure Interaction Problem on High Rise Building on Improved Soft Soil. Int. J. GEOMATE 2021, 21, 54–60. [Google Scholar] [CrossRef]
- Taghavi, A.; Muraleetharan, K.K. Analysis of Laterally Loaded Pile Groups in Improved Soft Clay. Int. J. Geomech. 2017, 17, 04016098. [Google Scholar] [CrossRef]
- Rollins, K.M.; Adsero, M.E.; Herbst, M.A. Ground Improvement for Increasing Lateral Pile Group Resistance. In Proceedings of the 5th International Conference on Recent Advances in Geotechnical Earthquake Engineering and Soil Dynamics, San Diego, CA, USA, 23–29 May 2010; pp. 1–10. [Google Scholar]
- Surarak, C.; Likitlersuang, S.; Wanatowski, D.; Balasubramaniam, A.; Oh, E.; Guan, H. Stiffness and Strength Parameters for Hardening Soil Model of Soft and Stiff Bangkok Clays. Soils Found. 2012, 52, 682–697. [Google Scholar] [CrossRef]
- Likitlersuang, S.; Surarak, C.; Wanatowski, D.; Oh, E.; Balasubramaniam, A. Finite Element Analysis of a Deep Excavation: A Case Study from the Bangkok MRT. Soils Found. 2013, 53, 756–773. [Google Scholar] [CrossRef]
- Arai, H.; Yamazaki, F. Exploration of S-Wave Velocity Structure Using Microtremor Arrays in the Greater Bangkok, Thailand; Earthquake Disaster Mitigation, Research Center, RIKEN: Miki, Japan, 2002. [Google Scholar]
- Lysmer, J.; Kuhlemeyer, R.L. Finite Dynamic Model for Infinite Media. J. Eng. Mech. Div. 1969, 95, 859–877. [Google Scholar] [CrossRef]













| Pile Groups | Number of Piles | Pile Number |
|---|---|---|
| Group 1, corner | 4 | 1, 5, 34, 38 |
| Group 2, 3 × 1, center | 2 | 3, 36 |
| Group 3, 3 × 1, side | 4 | 2, 4, 35, 37 |
| Group 4, 2 × 1, X direction | 8 | 6, 7, 12, 13, 26, 27, 32, 33 |
| Group 5, 2 × 1, Y direction | 8 | 8, 9, 10, 11, 28, 29, 30, 31 |
| Group 6, 3 piles group | 12 | 14 through 25 |
| Group 7, pile raft | 20 | 39 through 58 |
| Material | Depth (m) | Model | γ | Su | Friction Angle | Eu, E′ | v | Rayleigh Damping |
|---|---|---|---|---|---|---|---|---|
| (kN/m3) | (kPa) | (ϕ) | (mPa) | |||||
| Soil | ||||||||
| Soft Clay1 | 0–7.5 | MCM * | 16.5 | 20 | - | 10 | 0.5 | 5% |
| Soft Clay2 | 7.5–12 | MCM * | 16.5 | 39 | - | 20.5 | 0.5 | 5% |
| Medium Clay | 12–14 | MCM * | 17.5 | 55 | - | 27.5 | 0.5 | 5% |
| Stiff Clay1 | 14–20 | MCM * | 19.5 | 80 | - | 40 | 0.5 | 5% |
| Sand | 20–21.5 | MCM * | 19 | - | 27 | 53 | 0.5 | 5% |
| Stiff Clay2 | 21.5–26 | MCM * | 20 | 120 | - | 72 | 0.5 | 5% |
| Hard Clay1 | 26–60 | MCM * | 20 | 240 | - | 240 | 0.5 | 5% |
| Hard Clay2 | 60–235 | MCM * | 20 | 400 | - | 1350 | 0.5 | 5% |
| Cement Mixing | - | MCM * | 16 | 300 | - | 221.9 | 0.5 | 5% |
| Concrete | LEM ** | 23 | 35,000 | 0.2 | 5% |
| Strong Motion Parameter | Earthquake | |||
|---|---|---|---|---|
| Tottori | Chuetsu-Oki | Niigata | Tottori | |
| Record Sequence Number | 3893 | 5013 | 6526 | 3920 |
| Year | 2000 | 2007 | 2004 | 2000 |
| Station Name | HYG004 | FKSH15 | FKSH15 | OKYH02 |
| Magnitude | 6.61 | 6.8 | 6.63 | 6.61 |
| Scale Factor | 1.7194 | 3.5902 | 5.8522 | 1.071 |
| 5–95% Duration (s) | 29.1 | 18 | 20.4 | 19.5 |
| Rjb (km) | 108.34 | 125.46 | 110.08 | 70.52 |
| Rrup (km) | 108.34 | 126.64 | 110.16 | 70.52 |
| Vs30 (m/s) | 834.56 | 803.57 | 803.57 | 1047.01 |
| Case | Total Bending Moment (Nm) | |||||||
|---|---|---|---|---|---|---|---|---|
| Group 1 | Group 2 | Group 3 | Group 4 | Group 5 | Group 6 | Group 7 | ||
| Normal | Mean | 111,522 | 113,862 | 121,256 | 55,446 | 52,029 | 51,476 | 182,163 |
| SD | 34,863 | 14,012 | 19,150 | 11,475 | 7451 | 9558 | 36,921 | |
| High | 177,149 | 135,269 | 152,339 | 75,598 | 63,902 | 70,874 | 247,784 | |
| Low | 73,886 | 93,137 | 94,644 | 33,578 | 41,348 | 36,209 | 113,873 | |
| Cement wall | Mean | 96,987 | 95,504 | 102,927 | 49,276 | 46,738 | 43,228 | 166,106 |
| SD | 21,413 | 20,261 | 19,268 | 11,169 | 7072 | 9317 | 35,769 | |
| High | 134,562 | 124,757 | 137,465 | 72,010 | 60,130 | 63,977 | 238,189 | |
| Low | 69,474 | 74,728 | 79,768 | 30,853 | 35,123 | 27,536 | 104,294 | |
| Cement mixing | Mean | 62,367 | 63,401 | 65,949 | 32,183 | 27,360 | 37,555 | 108,460 |
| SD | 14,526 | 12,482 | 10,997 | 8911 | 5881 | 6920 | 29,250 | |
| High | 92,734 | 84,431 | 86,087 | 45,868 | 38,618 | 51,877 | 161,207 | |
| Low | 44,443 | 46,446 | 52,408 | 19,657 | 17,482 | 27,684 | 64,644 | |
| Case | Total Shear Force (N) | |||||||
|---|---|---|---|---|---|---|---|---|
| Group 1 | Group 2 | Group 3 | Group 4 | Group 5 | Group 6 | Group 7 | ||
| Normal | Mean | 805,554 | 944,009 | 1,028,693 | 729,069 | 680,295 | 677,659 | 1,525,612 |
| SD | 244,687 | 113,713 | 149,743 | 157,680 | 111,755 | 137,286 | 317,270 | |
| High | 1,285,038 | 1,140,997 | 1,285,279 | 972,544 | 896,355 | 941,972 | 2,111,692 | |
| Low | 517,881 | 811,316 | 789,664 | 454,486 | 491,230 | 472,291 | 935,039 | |
| Cement wall | Mean | 739,773 | 748,211 | 805,757 | 619,633 | 601,831 | 548,193 | 1,378,372 |
| SD | 158,678 | 139,052 | 156,113 | 148,659 | 93,705 | 122,286 | 305,049 | |
| High | 1,009,736 | 951,149 | 1,066,179 | 946,867 | 761,228 | 829,351 | 1,953,279 | |
| Low | 530,827 | 603,251 | 627,590 | 366,518 | 470,467 | 350,769 | 837,257 | |
| Cement mixing | Mean | 422,221 | 426,601 | 431,321 | 347,745 | 304,286 | 423,874 | 860,034 |
| SD | 111,327 | 72,321 | 68,152 | 104,679 | 67,417 | 82,773 | 243,605 | |
| High | 651,981 | 542,812 | 551,320 | 505,495 | 415,028 | 596,759 | 1,268,231 | |
| Low | 239,930 | 340,844 | 350,343 | 211,291 | 192,943 | 301,101 | 511,695 | |
Disclaimer/Publisher’s Note: The statements, opinions and data contained in all publications are solely those of the individual author(s) and contributor(s) and not of MDPI and/or the editor(s). MDPI and/or the editor(s) disclaim responsibility for any injury to people or property resulting from any ideas, methods, instructions or products referred to in the content. |
© 2023 by the authors. Licensee MDPI, Basel, Switzerland. This article is an open access article distributed under the terms and conditions of the Creative Commons Attribution (CC BY) license (https://creativecommons.org/licenses/by/4.0/).
Share and Cite
Tipsunavee, T.; Arangjelovski, G.; Jongpradist, P. Numerical Analysis on Effects of Soil Improvement on Pile Forces on Existing High-Rise Building. Buildings 2023, 13, 1523. https://doi.org/10.3390/buildings13061523
Tipsunavee T, Arangjelovski G, Jongpradist P. Numerical Analysis on Effects of Soil Improvement on Pile Forces on Existing High-Rise Building. Buildings. 2023; 13(6):1523. https://doi.org/10.3390/buildings13061523
Chicago/Turabian StyleTipsunavee, Thanapon, Goran Arangjelovski, and Pornkasem Jongpradist. 2023. "Numerical Analysis on Effects of Soil Improvement on Pile Forces on Existing High-Rise Building" Buildings 13, no. 6: 1523. https://doi.org/10.3390/buildings13061523
APA StyleTipsunavee, T., Arangjelovski, G., & Jongpradist, P. (2023). Numerical Analysis on Effects of Soil Improvement on Pile Forces on Existing High-Rise Building. Buildings, 13(6), 1523. https://doi.org/10.3390/buildings13061523

