Energy Consumption Analysis Using Weighted Energy Index and Energy Modeling for a Hotel Building
Abstract
1. Introduction
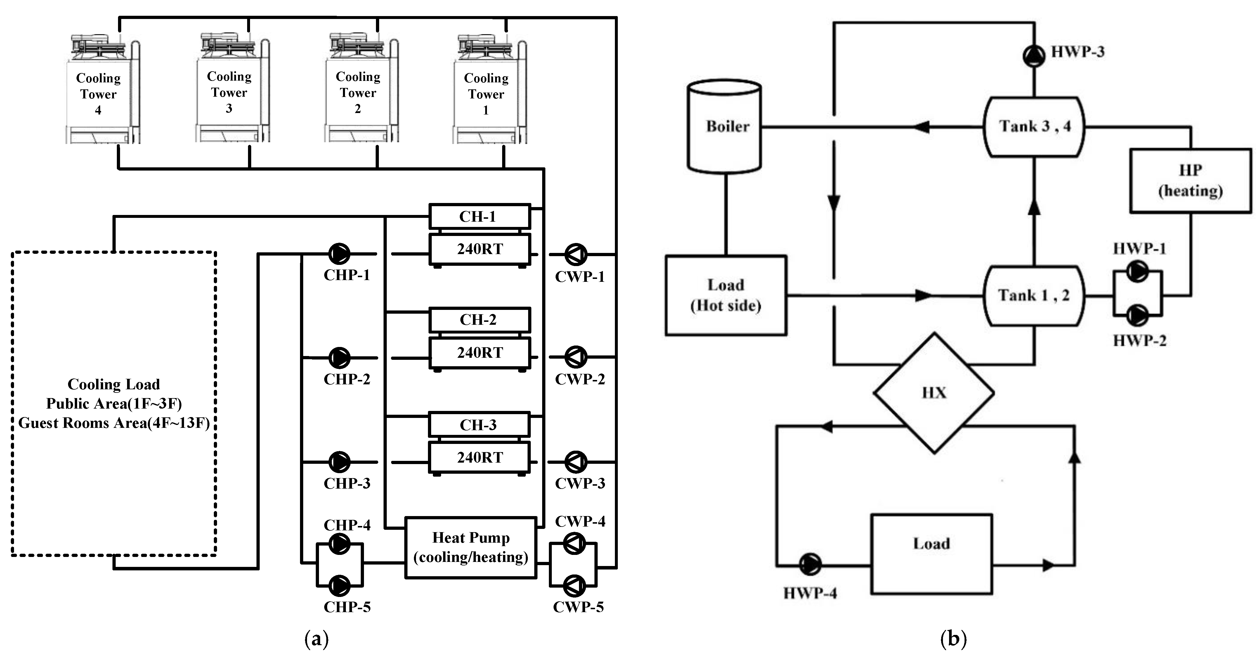
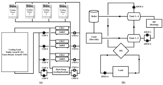
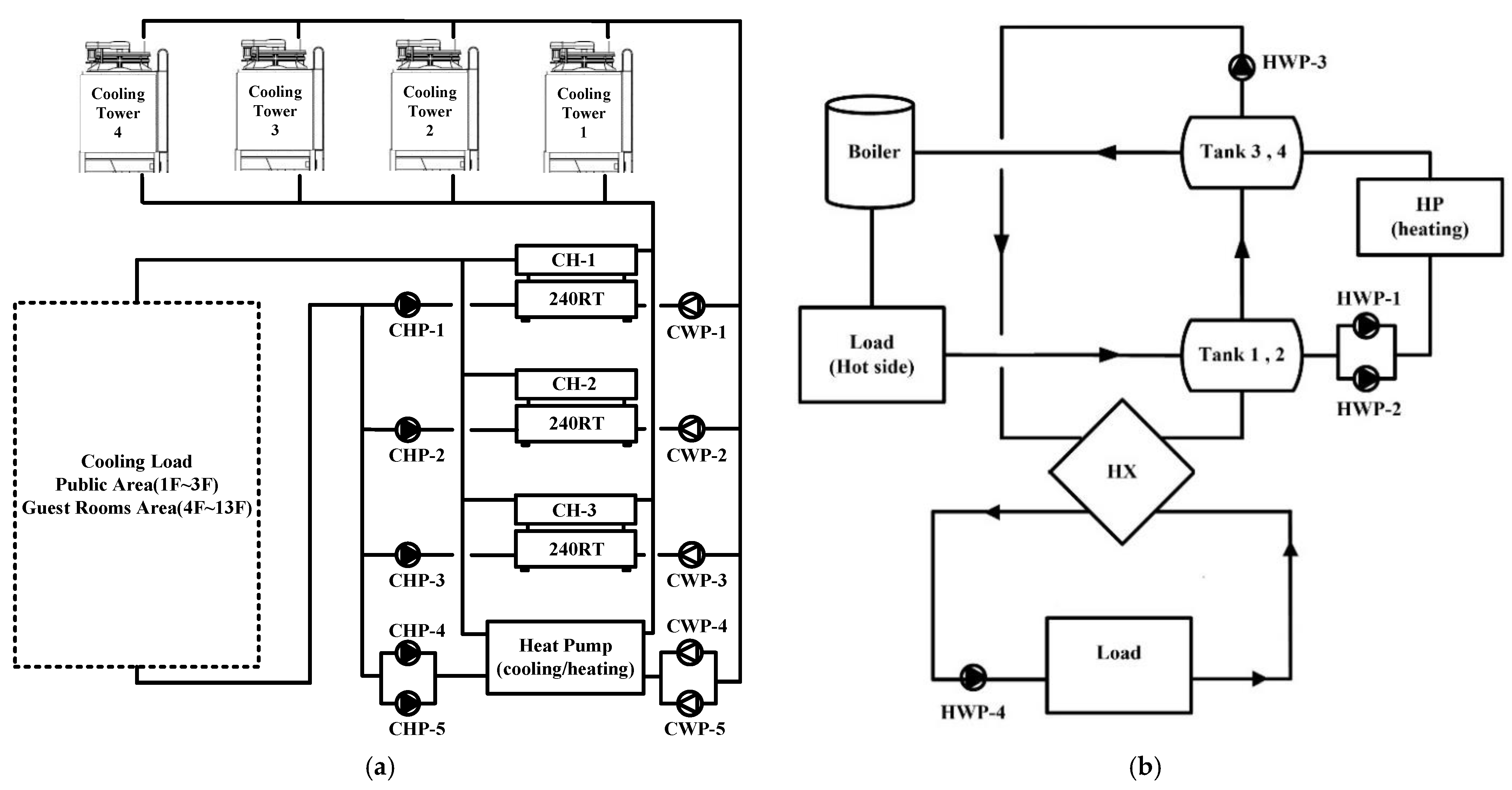
2. System Description
3. Data Collection and Field Measurement
4. Regression Analysis
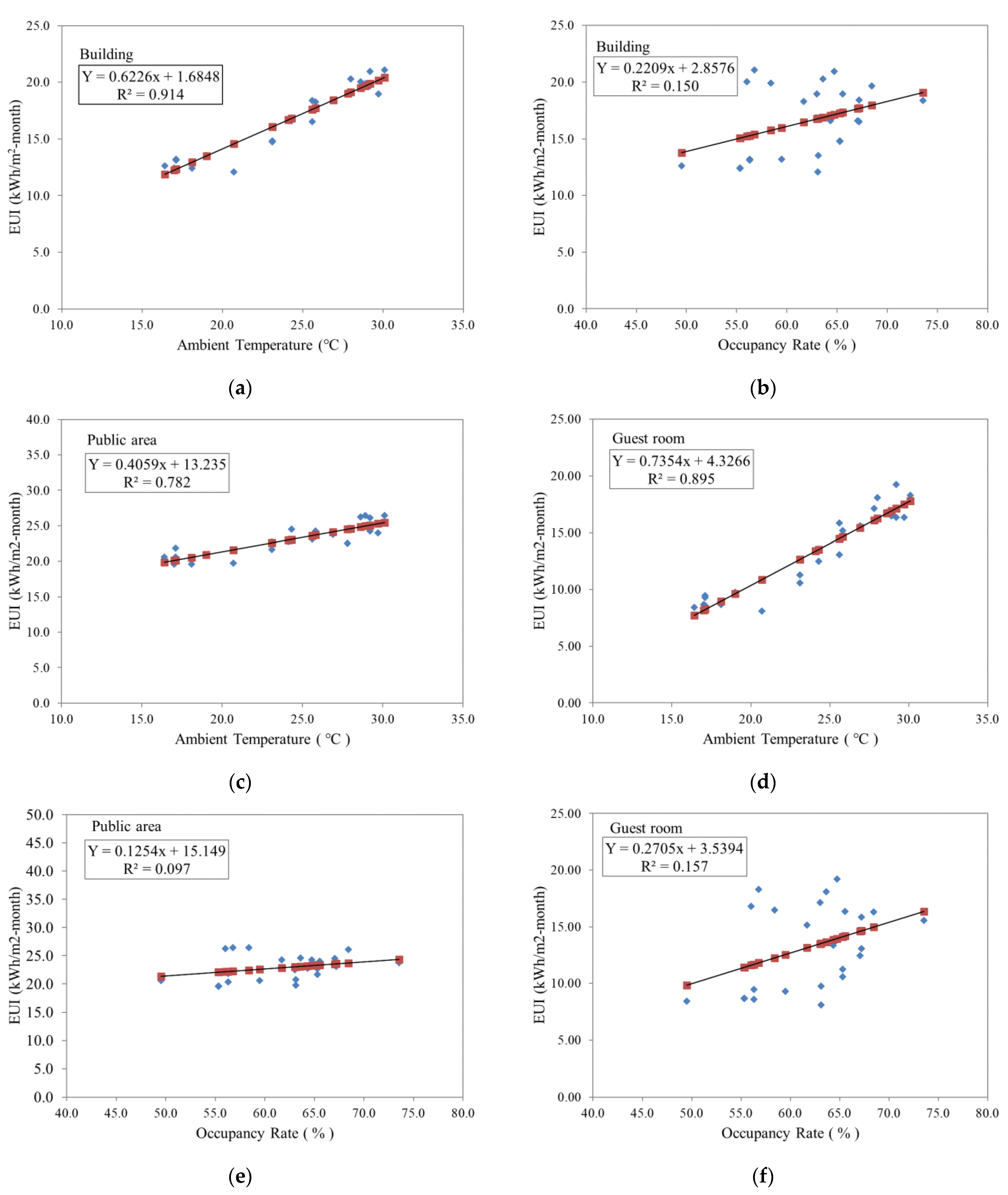
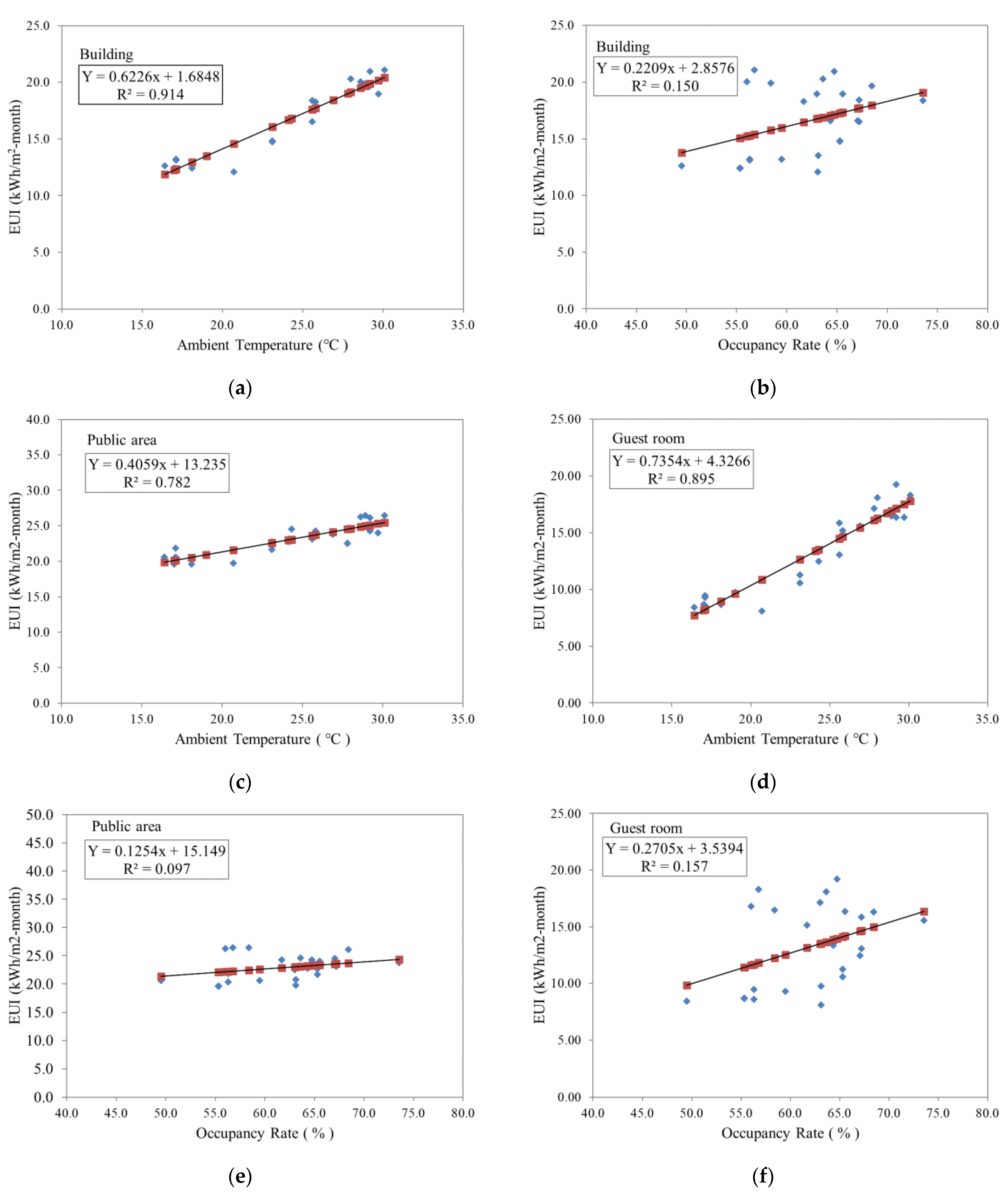
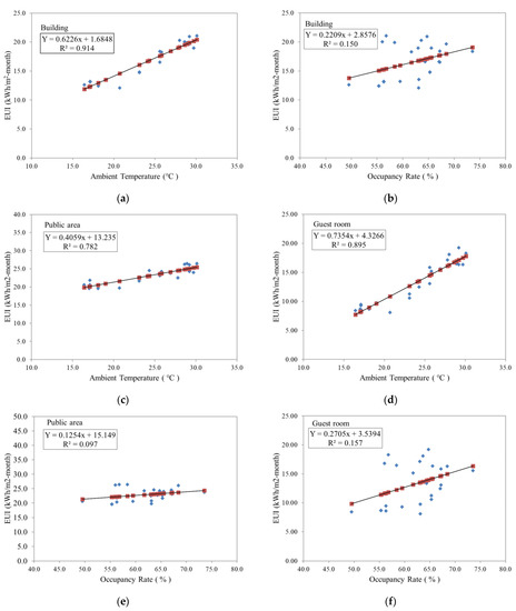
4.1. Single Regression
4.2. Multiple Regression
5. Energy Modeling
5.1. Geometry Model and Parameter Setup
5.2. Validation
5.3. Energy Modeling Results
6. Conclusions
Author Contributions
Funding
Data Availability Statement
Conflicts of Interest
References
- Pang, Z.; Chen, Y.; Zhang, J.; O’Neill, Z.; Cheng, H.; Dong, B. How Much HVAC Energy Could Be Saved from the Occupant-Centric Smart Home Thermostat: A Nationwide Simulation Study. Appl. Energy 2021, 283, 116251. [Google Scholar] [CrossRef]
- Birkha Mohd Ali, S.; Hasanuzzaman, M.; Rahim, N.A.; Mamun, M.A.A.; Obaidellah, U.H. Analysis of Energy Consumption and Potential Energy Savings of an Institutional Building in Malaysia. Alex. Eng. J. 2021, 60, 805–820. [Google Scholar] [CrossRef]
- Wang, X.; Feng, W.; Cai, W.; Ren, H.; Ding, C.; Zhou, N. Do Residential Building Energy Efficiency Standards Reduce Energy Consumption in China?—A Data-Driven Method to Validate the Actual Performance of Building Energy Efficiency Standards. Energy Policy 2019, 131, 82–98. [Google Scholar] [CrossRef]
- Mirabella, N.; Roeck, M.; Ruschi Mendes SAADE, M.; Spirinckx, C.; Bosmans, M.; Allacker, K.; Passer, A. Strategies to improve the energy performance of buildings: A review of their life cycle impact. Buildings 2018, 8, 105. [Google Scholar] [CrossRef]
- Aagreh, Y.; Al-Ghzawi, A. Feasibility of Utilizing Renewable Energy Systems for a Small Hotel in Ajloun City, Jordan. Appl. Energy 2013, 103, 25–31. [Google Scholar] [CrossRef]
- Pérez-Lombard, L.; Ortiz, J.; Pout, C. A Review on Buildings Energy Consumption Information. Energy Build. 2008, 40, 394–398. [Google Scholar] [CrossRef]
- Borowski, M. Hotel Adapted to the Requirements of an nZEB Building—Thermal Energy Performance and Assessment of Energy Retrofit Plan. Energies 2022, 15, 6332. [Google Scholar] [CrossRef]
- Sustainable Hospitality Alliance. Climate Action—Reducing Emissions Across the Hospitality. 2021. Available online: https://sustainablehospitalityalliance.org/our-work/climate-action/ (accessed on 21 January 2023).
- Ayoub, N.; Musharavati, F.; Pokharel, S.; Gabbar, H.A. Energy Consumption and Conservation Practices in Qatar—A Case Study of a Hotel Building. Energy Build. 2014, 84, 55–69. [Google Scholar] [CrossRef]
- Shafie, S.M.; Mahlia, T.M.I.; Masjuki, H.H.; Rismanchi, B. Energy Saving Methods and Results Analysis in the Hotel. Energy Procedia 2012, 14, 1523–1527. [Google Scholar]
- Gibbons, L.; Javed, S. A Review of HVAC Solution-Sets and Energy Performace of Nearly Zero-Energy Multi-Story Apartment Buildings in Nordic Climates by Statistical Analysis of Environmental Performance Certificates and Literature Review. Energy 2022, 238, 121709. [Google Scholar] [CrossRef]
- García-Gáfaro, C.; Escudero-Revilla, C.; Flores-Abascal, I.; Hidalgo-Betanzos, J.M.; Erkoreka-González, A. A Photovoltaic Forced Ventilated Façade (PV-FVF) as Heat Source for a Heat Pump: Assessing Its Energetical Profit in NZEB Buildings. Energy Build. 2022, 261, 111979. [Google Scholar] [CrossRef]
- Hosseinnia, S.M.; Sorin, M. Energy Targeting Approach for Optimum Solar Assisted Ground Source Heat Pump Integration in Buildings. Energy 2022, 248, 123528. [Google Scholar] [CrossRef]
- Lagrange, L. Energy Conversion and Efficiency. In Industrial Energy Systems Handbook; River Publishers: Aalborg, Denmark, 2023; pp. 43–68. [Google Scholar]
- Chan, W. Energy Benchmarking in Support of Low Carbon Hotels: Developments, Challenges, and Approaches in China. Int. J. Hosp. Manag. 2012, 31, 1130–1142. [Google Scholar] [CrossRef]
- Ng, L.C.; Dols, W.S.; Emmerich, S.J. Evaluating Potential Benefits of Air Barriers in Commercial Buildings Using NIST Infiltration Correlations in EnergyPlus. Build. Environ. 2021, 196, 107783. [Google Scholar] [CrossRef] [PubMed]
- Wang, J.C.; Huang, K.T. Energy consumption characteristics of hotel’s marketing preference for guests from regions perspective. Energy 2013, 52, 173–184. [Google Scholar] [CrossRef]
- Wang, J.C. A Study on the Energy Performance of School Buildings in Taiwan. Energy Build. 2016, 133, 810–822. [Google Scholar] [CrossRef]
- Nateghi, S.; Mansoori, A.; Moghaddam, M.A.E.; Kaczmarczyk, J. Multi-objective optimization of a multi-story hotel’s energy demand and investing the money saved in energy supply with solar energy production. Energy. Sustain. Dev. 2023, 72, 33–41. [Google Scholar] [CrossRef]
- Feng, F.; Fu, Y.; Yang, Z.; O’Neill, Z. Enhancement of phase change material hysteresis model: A case study of modeling building envelope in EnergyPlus. Energy Build. 2022, 276, 112511. [Google Scholar] [CrossRef]
- Alonso, M.J.; Dols, W.S.; Mathisen, H.M. Using Co-simulation between EnergyPlus and CONTAM to evaluate recirculation-based, demand-controlled ventilation strategies in an office building. Build Environ. 2022, 211, 108737. [Google Scholar] [CrossRef]
- Xiong, Y.; Chen, H. Impacts of uneven surface heating of an ideal street canyon on airflows and indoor ventilation: Numerical study using OpenFOAM coupled with EnergyPlus. In Building Simulation; Tsinghua University Press: Beijing, China, 2022; Volume 15, pp. 265–280. [Google Scholar]
- Tahmasebinia, F.; Jiang, R.; Sepasgozar, S.; Wei, J.; Ding, Y.; Ma, H. Using regression model to develop green building energy simulation by BIM tools. Sustainability 2022, 14, 6262. [Google Scholar] [CrossRef]
- Permai, S.D.; Tanty, H. Linear Regression Model Using Bayesian Approach for Energy Performance of Residential Building. Procedia Comput. Sci. 2018, 135, 671–677. [Google Scholar] [CrossRef]
- Ciulla, G.; D’Amico, A. Building Energy Performance Forecasting: A Multiple Linear Regression Approach. Appl. Energy 2019, 253, 113500. [Google Scholar] [CrossRef]
- Tahmasebinia, F.; Jiang, R.; Sepasgozar, S.; Wei, J.; Ding, Y.; Ma, H. Implementation of BIM energy analysis and monte carlo simulation for estimating building energy performance based on regression approach: A case study. Buildings 2022, 12, 449. [Google Scholar] [CrossRef]
- Chen, S.; Zhou, X.; Zhou, G.; Fan, C.; Ding, P.; Chen, Q. An Online Physical-Based Multiple Linear Regression Model for Building’s Hourly Cooling Load Prediction. Energy Build. 2022, 254, 111574. [Google Scholar] [CrossRef]
- Viot, H.; Sempey, A.; Mora, L.; Batsale, J.C.; Malvestio, J. Model Predictive Control of a Thermally Activated Building System to Improve Energy Management of an Experimental Building: Part II—Potential of Predictive Strategy. Energy Build. 2018, 172, 385–396. [Google Scholar] [CrossRef]
- Central Weather Bureau of Taiwan. Available online: https://www.cwb.gov.tw/V8/E/W/Town/index.html (accessed on 21 January 2023).










| Equipment | Capacity (kW) | Airflow Rate (CFM) | Static Pressure (Pa) | Water Flow (LPM) | Quantity |
|---|---|---|---|---|---|
| AHU–1 and 2 | 106 | 9000 | 700 | 300 | 2 |
| AHU–3 and 4 | 85 | 8000 | 600 | 240 | 2 |
| PAH–1 and 2 | 155 | 6500 | 650 | 440 | 2 |
| PAH–3 and 4 | 70 | 2500 | 600 | 200 | 2 |
| FCU–1 | 3.5 | 400 | 50 | 9.1 | 40 |
| FCU–2 | 5.3 | 600 | 50 | 14 | 243 |
| FCU–3 | 7 | 800 | 50 | 18.2 | 69 |
| FCU–4 | 8.8 | 1000 | 50 | 22.7 | 31 |
| FCU–5 | 10.6 | 1200 | 50 | 27.3 | 6 |
| Apparatus Model | Parameter | Operative Range | Accuracy | Period |
|---|---|---|---|---|
| TSI-9565-P | Temperature Relative humidity Pressure | −10–60 °C 0–95% −3735–3735 Pa | ±3% °C ±3% RH ±1 Pa | 1 point for 1 min 3 times measurement |
| TSI-8380 | Airflow rate (Air hood capture) | 0.125–12.5 m/s | ±3% | 1 point for 1 min 3 times measurement |
| HIOKI-3169-20/21 | Power meter | 0–600 Vrms 0.5–5000 A | ±0.20% | 1 panel unit 3 times measurement |
| Regression Analysis | R-Squared | Source | DF | SS | MS | F Value | p |
|---|---|---|---|---|---|---|---|
| EUItotal = 1.684 +0.622TA | 0.914 | Model | 1 | 134.86 | 134.86 | 236.04 | 0.00 |
| Residual | 22 | 12.56 | 0.57 | ||||
| Total | 23 | 147.43 | -- | ||||
| EUItotal = 2.857 + 0.220OR | 0.15 | Model | 1 | 22.11 | 22.11 | 3.88 | 0.06 |
| Residual | 22 | 125.31 | 5.69 | ||||
| Total | 23 | 147.43 | -- | ||||
| EUIpublic = 13.235 + 0.405TA | 0.782 | Model | 1 | 88.59 | 88.59 | 78.96 | 0.00 |
| Residual | 22 | 24.68 | 1.12 | ||||
| Total | 23 | 113.28 | -- | ||||
| EUIguest = 4.326 + 0.735TA | 0.895 | Model | 1 | 290.79 | 290.79 | 187.93 | 0.00 |
| Residual | 22 | 34.042 | 1.54 | ||||
| Total | 23 | 324.84 | -- | ||||
| EUIpublic = 15.149 + 0.125OR | 0.097 | Model | 1 | 11.02 | 11.02 | 2.372 | 0.13 |
| Residual | 22 | 102.25 | 4.64 | ||||
| Total | 23 | 113.28 | -- | ||||
| EUIguest = 3.539 + 0.270OR | 0.157 | Model | 1 | 51.28 | 51.28 | 4.12 | 0.04 |
| Residual | 22 | 273.55 | 12.43 | ||||
| Total | 23 | 324.84 | -- |
| Category | Analytic Construction | U Value (W/m2K) |
|---|---|---|
| Roof | 15 cm RC + 5 cm PS board lightweight concrete | 0.572 |
| Exterior Wall | 10 cm ALC Panel | 0.650 |
| Interior Wall | Frame partition with 3/4 in gypsum board | 1.473 |
| Ceiling | Rock wool ceiling | 0.140 |
| Floor | Passive floor, no insulation, tile, or vinyl | 2.958 |
| Door | Metal | 3.702 |
| Window | Large single-glazed windows | 5.7 |
| Parameters | Description | |
|---|---|---|
| Baseline | Case Study | |
| Building Type | Hotel | - |
| Floor area (m2) | 23,021 | - |
| Total height (m) | 52 m | - |
| Total Floors | 13 Floors and 2 Floors of Basement | - |
| Zones | 2 (public and guest rooms) | - |
| Sensible heat gain (w/person) | 73.27 | - |
| Latent heat gain (w/person) | 58.67 | - |
| Electric plug density (W/m2) | 20 | - |
| Lightings density (W/m2) | 15 | - |
| Infiltration Rate (ACH) | 0.3 | - |
| Window to Wall Ration (WWR) | 25% | 15% and 35% |
| Coefficient of Performance (COP) | 4.953 | 3.953 and 5.953 |
| Chilled Water Temperature | 7.2 °C | 6.2 °C and 8.2 °C |
| Condenser Water Temperature | 29.4 °C | 27.4 °C and 31.4 °C |
| Indoor Setting Temperature | 25 °C | 24 °C and 26 °C |
| Occupancy (persons) | 600 | 420 and 780 |
| Orientation | South | North, East, West |
| Location | Taichung, Taiwan | Taipei, Taitung, Kaohsiung |
| Time | AM | PM | |||||||||||||||||||||||
|---|---|---|---|---|---|---|---|---|---|---|---|---|---|---|---|---|---|---|---|---|---|---|---|---|---|
| 0 | 1 | 2 | 3 | 4 | 5 | 6 | 7 | 8 | 9 | 10 | 11 | 12 | 1 | 2 | 3 | 4 | 5 | 6 | 7 | 8 | 9 | 10 | 11 | 12 | |
| Occupancy | 0.5 | 0.5 | 0.5 | 0.5 | 0.5 | 0.5 | 0.5 | 0.5 | 1 | 1 | 1 | 1 | 1 | 1 | 1 | 1 | 1 | 1 | 1 | 1 | 1 | 0.5 | 0.5 | 0.5 | 0.5 |
| Lightings | 0.6 | 0.4 | 0.4 | 0.2 | 0.2 | 0.4 | 0.6 | 0.6 | 0.8 | 0.8 | 1 | 1 | 1 | 1 | 1 | 1 | 1 | 1 | 1 | 1 | 1 | 0.8 | 0.8 | 0.6 | 0.6 |
| Equipment | 0.8 | 0.6 | 0.6 | 0.4 | 0.4 | 0.4 | 0.6 | 0.8 | 1 | 1 | 0.8 | 0.8 | 0.8 | 0.8 | 0.8 | 0.8 | 1 | 1 | 1 | 1 | 1 | 1 | 1 | 0.8 | 0.8 |
| HVAC | 0 | 0 | 0 | 0 | 0 | 0 | 1 | 1 | 1 | 1 | 1 | 1 | 1 | 1 | 1 | 1 | 1 | 1 | 1 | 1 | 1 | 0 | 0 | 0 | 0 |
Disclaimer/Publisher’s Note: The statements, opinions and data contained in all publications are solely those of the individual author(s) and contributor(s) and not of MDPI and/or the editor(s). MDPI and/or the editor(s) disclaim responsibility for any injury to people or property resulting from any ideas, methods, instructions or products referred to in the content. |
© 2023 by the authors. Licensee MDPI, Basel, Switzerland. This article is an open access article distributed under the terms and conditions of the Creative Commons Attribution (CC BY) license (https://creativecommons.org/licenses/by/4.0/).
Share and Cite
Permana, I.; Wang, F.; Agharid, A.P.; Rakshit, D.; Luo, J. Energy Consumption Analysis Using Weighted Energy Index and Energy Modeling for a Hotel Building. Buildings 2023, 13, 1022. https://doi.org/10.3390/buildings13041022
Permana I, Wang F, Agharid AP, Rakshit D, Luo J. Energy Consumption Analysis Using Weighted Energy Index and Energy Modeling for a Hotel Building. Buildings. 2023; 13(4):1022. https://doi.org/10.3390/buildings13041022
Chicago/Turabian StylePermana, Indra, Fujen Wang, Alya Penta Agharid, Dibakar Rakshit, and Jianhui Luo. 2023. "Energy Consumption Analysis Using Weighted Energy Index and Energy Modeling for a Hotel Building" Buildings 13, no. 4: 1022. https://doi.org/10.3390/buildings13041022
APA StylePermana, I., Wang, F., Agharid, A. P., Rakshit, D., & Luo, J. (2023). Energy Consumption Analysis Using Weighted Energy Index and Energy Modeling for a Hotel Building. Buildings, 13(4), 1022. https://doi.org/10.3390/buildings13041022

