Abstract
The fixed description of HVAC behaviours leads to inaccurate prediction of air conditioning energy consumption, which in turn affects the appropriateness and effectiveness of energy conservation strategies. Based on a naturally ventilated research building located in Hangzhou, China, a stochastic prediction model reflecting actual HVAC behaviours is established based on clustering analysis and the Monte Carlo method, and it is integrated into the AC energy consumption simulation through Python programming. Then, important factors influencing AC energy consumption are clarified by importance analysis based on random forest regression, and the integrated strategies based on them are studied based on the simulation and control variable approach. As a result, the error rate between the measured and simulated AC power consumption is −5.24% and 2.56% in the heating and cooling conditions, respectively. And the relative importance and the number of important factors following the actual HVAC behaviours are remarkably different from those based on the fixed behavioural pattern. The implementation of integrated AC energy conservation strategies based on important influencing factors achieves 35.02% energy savings. Consequently, a theoretical basis for the accurate prediction of AC energy consumption and efficient implementation of energy conservation strategies is established.
1. Introduction
Heating ventilation and air conditioning (HVAC) systems allow building occupants to control heat and humidity parameters in a building to improve thermal comfort. Variability in air conditioning (AC) energy use, which in turn affects building operating energy consumption, results from differences in how users operate and control HVAC systems. The adaptive behaviour of the occupants operating the HVAC system interacts with the building and building services system to determine the thermal comfort of the building’s indoor environment and the subsequent AC energy consumption.
In the case where the occupancy, working schedules, and building envelope remain essentially constant, the influence of occupants’ behaviour on AC energy consumption and the environmental parameters of heat and humidity are significant [1]. First, different user set-points for temperature create different indoor thermal and humidity conditions and thus different energy requirements for air conditioning. It is noted that a higher set temperature reduces energy consumption in the cooling mode, while a lower set temperature reduces energy consumption in the heating mode [2,3]. In addition, the way air conditioners work varies greatly depending on the type of occupant and their individual preferences. Kempton [4] and Liu N [5] et al. indicated that long and continuous AC operation typically results in high energy consumption and indoor temperature stability, while discontinuous AC operation results in indoor temperature fluctuations and lower energy consumption. What is more, the appropriate application of natural ventilation can significantly reduce AC energy consumption and improve the indoor thermal environment in some areas [6,7,8,9]. Moreover, the distribution of the window opening duration affects AC energy consumption. According to Tetsu Kubota et al. [8,10,11], different window opening schedules under supply cooling conditions have different effects on the AC energy consumption of naturally ventilated buildings. Compared to an all-day window-opening schedule, evening window-opening and overnight natural ventilation schedules can reduce peak indoor temperatures and summer energy consumption.
The predictive evaluation of the effect of the current building energy conservation strategy is usually realised by building dynamic energy consumption simulation software [12]. Occupant behaviour in buildings varies widely, resulting in substantial differences in indoor environmental quality and building energy consumption. However, the widely used deterministic models do not take into account the random variation in user behaviour, which affects the evaluation results of building energy conservation optimisation strategies. For the accurate prediction of energy consumption and the rational evaluation of building performance optimisation, researchers have proposed threshold models, statistical models, stochastic models, and occupant behaviour action models. The threshold model [13] relates action-triggering conditions to the indoor environment and considers the feedback effect of environmental factors on energy-using behaviour, avoiding schedule fixation while not reflecting the subjective motivation of occupants. Statistical models [14,15,16] count the proportions of different behavioural states based on large numbers of measured data, reflecting the random and diverse nature of behaviours, but the models are better at predicting aggregate than individual behaviour. Stochastic models [17,18] obtain state transition probabilities based on many measurements, reflecting the subjective motivation of the user, but the functional form is unstable. The occupant behaviour action model [19] is based on multiple influencing factors that reflect the random, complex, and diverse characteristics of occupant behaviour, which requires high-quality real-world measurements and a complex model suitable for buildings with complicated functions.
The above models have accumulated a rich theoretical basis for accurately predicting energy use behaviour, but major difficulties remain in using them to optimise building design. According to Heejung Park [20], the optimisation models involving scheduling require high computational efforts when the level of detail is excessively high. Complex models are difficult to integrate into computer-aided building simulation software and can reduce the efficiency and increase the time required for computation [21,22]. Therefore, it is necessary to establish a set of energy-use behaviour description methods with easy data collection, simple analysis methods, and high practical value to make reasonable predictions of building AC energy consumption.
The researchers have provided a rich theoretical foundation for the study of building optimisation strategies with energy conservation as the main goal by directly applying the simulation software, integrating EnergyPlus with existing optimisation tools or mathematical methods, and introducing artificial neural network methods to simplify the simulation process and quantify functional relationships. Researchers have accumulated a wealth of research results on the optimisation of proposals in the phase of building design [23,24]. However, since current studies are mainly based on the traditional fixed schedule and do not fully consider the significant impact of various occupant behaviours on energy consumption and indoor environmental quality during the building operation phase, it is difficult to guarantee the suitability of the optimisation strategy in different energy-use scenarios. Currently, the study of building operation phase optimisation has attracted the attention of some researchers and has been progressing steadily [25,26]. An effective integrated control-oriented modelling has been proposed for testing HVAC control strategies and corresponding energy consumption [27]. And a coherent framework to integrate building physics with various energy technologies and energy control management methods has been built [28]. However, research on integrated energy conservation optimisation strategies for existing buildings often fails to explore operational optimisation strategies based on the subjective motivation of different occupants, severely limiting the efficiency of the resulting optimisation strategies. Therefore, to accurately predict the building’s AC energy consumption and reasonably evaluate the implementation effect of the optimisation strategy, it is of great theoretical value to integrate the HVAC behaviour in the building operation phase as an independent variable into the decision system of the building energy conservation and living space optimisation strategy.
In summary, the article aims to establish a practical stochastic prediction model of HVAC behaviour reflecting actual operational characteristics and quantitatively integrate it into the simulation process to realise accurate AC energy consumption prediction and rational energy conservation evaluation. In addition, the critical and significant factors influencing the AC energy consumption are supposed to be clarified to formulate key strategies for AC energy conservation based on the stochastic behavioural pattern.
2. Materials and Methods
This paper selects a naturally ventilated research building located in Hangzhou, China and establishes a stochastic prediction model for HVAC behaviour based on analysing and mining long-term actual measurement research data on the indoor thermal environment and HVAC usage behaviour. On this basis, a stochastic sequence of HVAC behaviour of the case research buildings was generated to reflect the actual operating characteristics of similar research buildings. Based on the common influence of buildings, building service systems, and occupants on building performance, the factors that influence the AC energy consumption of buildings were extracted from three aspects: building design scheme, building internal disturbance elements, and adaptive behaviour, respectively, based on the results of the literature review. With the computer-aided building simulation software EnergyPlus 8.8.0 and the parameter management tool jEPlus v2.1.0 used as the core analysing components, the importance analysis of the influencing factors of AC energy consumption in research buildings was conducted based on the actual HVAC behaviour patterns and a fixed schedule to provide a theoretical basis for composing AC energy conservation strategies in similar buildings. The research technical route of the paper is shown in Figure 1.
Figure 1.
The research technical route.
2.1. Method for Collecting Data in the Case Building
The case building located in Hangzhou, China is a four-story, single-paneled research building with an area of 3104.2 m2. It is a naturally ventilated building with split air conditioners equipped in each main functional room. The building contains 35 individual offices, 34 collective offices, and 12 non-air-conditioned functional areas (including corridors, restrooms, and utility rooms on each floor).
According to the results of the preliminary on-site study and survey investigation, users in the research building control the indoor temperature and humidity of each office through different HVAC behaviours. It is obvious that the HVAC behaviour of each air-conditioned room varies as different users independently drive the on/off schedules and setpoint temperature of the split air conditioners, as well as the open/closed state of the external window.
To collect data reflecting the actual characteristics of the HVAC behaviours in the case building, a total of 9 sample collective offices and 5 sample individual offices were selected based on their size, people density, and frequency of use. Each room is set up with measuring points to be equipped with an automatic temperature and humidity recorder (174H by testo AG, Baden-Württemberg, Germany; 10-minute test step) to monitor the thermal environment, an intelligent energy metre (S350 by E-friend, Beijing, China; 1-min test step) to record the air conditioning power and energy consumption in real time, and a magnetic switch recorder (CKJM-1 by Tianjian Huayi, Beijing, China) to record the timing of opening/closing the external windows. The on-site measurement was carried out from July 2016 to December 2018. A full record was kept of the indoor temperature and humidity parameters, the operation of the AC system, and the open/closed state of the external windows in each season. Meanwhile, the as-built drawings and other basic information of the case building were collected for the modelling in the simulation software (EnergyPlus 8.8.0 and jEPlus v2.1.0).
Based on the data collected in the case building, the prediction model of the actual HVAC behaviours was established and the importance analysis of the factors influencing the AC energy consumption was performed.
2.2. A Quantitative Approach to Describing the Actual HVAC Behaviour
In this paper, a probabilistic prediction model of HVAC behaviour is established to generate stochastic sequences corresponding to the actual operating characteristics of building occupants and is described in quantitative terms to feed back into the EnergyPlus simulation process as behavioural parameters, as shown in Figure 2. The prediction model consists of two main modules, the HVAC behaviour decision branch and the daily behaviour decision process.
Figure 2.
The prediction process for stochastic sequences of HVAC behaviour.
2.2.1. Division of the Characteristic Stages of Air Conditioning Usage
According to the author’s former research, under the influence of seasonal climate changes, the behaviour of the AC system has periodic characteristics, and the differences in cooling/heating behaviour at different phases are mainly manifested in macroscopic differences in the daily probability and the average daily duration of AC operation. By calculating these two parameters based on the measurements in the case building, the characteristic stages of AC usage were classified with similar climatic characteristics and HVAC behaviours, as shown in Table 1 [29].
Table 1.
Characteristic stage division of AC usage.
In the mid-winter and the mid-summer stages, the frequency of using air conditioners is high, and the trend of changing characteristics of AC usage is stable; in the early and late winter and the early and late summer stages, the frequency is relatively high, and the trend is remarkable; in the late autumn and early spring and the late spring and early autumn stages, the frequency is low, and the trend is intense. Mid-April and late October are the transitional periods, which can be considered periods without running air conditioners. The daily parameters of the indoor environment are similar at the same stage, as are the outdoor climatic characteristics. Consequently, the HVAC behaviour decision branches were generated based on the characteristic stages division of AC usage.
2.2.2. Generation of the HVAC Behaviour Decision Branch-Based Clustering Analysis
In this paper, the hourly distribution of the duration of AC operation for each sample room on each measurement day is represented by as a data sample: , where is the duration of AC operation at hour t on day i, and . Similarly, indicates the hourly distribution of the window opening duration of each sample room on each measurement day: , where is the duration of window opening at hour t on day i, and . A classification study of HVAC behavioural characteristics was performed using IBM SPSS Statistics 19.0 data analysis software. The data samples of each sample room were entered into SPSS in bulk, and the 24 variables of each were clustered by k-means to summarise several typical AC operation patterns in which the data samples have similar air conditioning run-time distributions. For the same reason, typical external window control patterns were summarised by SPSS clustering analysis based on the data samples . According to each characteristic stage of AC usage, the HVAC behaviour decision branch was carried out by performing further k-means clustering analysis on data samples under the same typical pattern of AC operation or external window control to refine the typical schedules and corresponding probability of occurrence.
The final clustering results should be stable, convergent, and not change with increasing iterations. A maximum number of iterations of 100 was set in this paper, which is sufficient for convergence. The number of clusters k was determined according to the compressibility of the dataset and the number of data samples contained in them, so that the value of k fulfils the following conditions:
- Classifications are significantly different from each other;
- If the number of clusters is k + 1, there are 2 classifications with similar features.
2.2.3. Stochastic HVAC Sequence Generation Based on the Monte Carlo Method
Based on the typical AC operation schedule for each stage and the corresponding probability of occurrence, the daily sequence is adequately determined by random sampling. Therefore, a Monte Carlo method was applied to generate a sequence of AC operations for the whole year by making day-to-day decisions based on the following steps:
- 1.
- The setting parameter D indicates the D-th day of the year, with an initial value of “1” for January 1 and so forth, corresponding to the date December 31 when D = 365;
- 2.
- Determine the characteristic stage of AC usage on Day D, and load n typical daily AC operation schedules for all patterns in this stage. The probability of occurrence corresponding to each typical schedule is , and . Generate random numbers according to the procedure shown in Figure 3, and decide and output the AC operation schedule for Day D according to the distribution interval where the fall point lies. Enter the decision process for the next day, i.e., D = D + 1, and perform step 3;
Figure 3. Daily schedule execution process for Monte Carlo decision-making. - 3.
- Check if D meets D > 365; if so, sequence generation is complete; otherwise, go back to step 2.
In the same way, it is possible to determine a sequence of year-round external window control behaviours for research buildings.
2.3. Method for Predicting AC Energy Consumption under Multiple Building Scenarios
In this paper, the independent variables were extracted from the building design scheme, internal disturbance elements, and adaptive behaviour and used to create multiple building scenarios in the simulation process to predict AC energy consumption under the corresponding scenarios.
2.3.1. Parametrised Translation of the Stochastic Sequences by Python Programming
Sequence of AC operation is defined as , where is the running status of AC in t-th hour on D-th day, indicates that AC is off, while indicates that AC is on. Similarly, in sequence of the external window control , indicates the status of external window opening.
Building simulations with EnergyPlus [12,30] requires the “translation” of the stochastic behaviour sequences into custom schedules, which are set in “Schedule:Compact” in the Class List. In this case, the generated schedules for the operation of air conditioners and the control of external windows are divided into two categories: one for heating and one for cooling, depending on the characteristic stage in which the HVAC system is used.
Python was used as a transformation tool to parametrise the stochastic behaviour sequences of AC operation and the external window control of different room types. This allows EnergyPlus to use the resulting IDF-extension files as text that it calls from the console to complete the case building information for simulating energy consumption. Similarly, by converting the fixed schedule into a callable text, the simulation can be conducted under the traditional fixed behavioural pattern. By comparing the simulated and measured values based on different behavioural patterns, the necessity of performing a simulation of AC energy consumption based on actual operational characteristics is verified.
2.3.2. Simulation of AC Energy Consumption Based on Different Behavioural Patterns by Applying jEPlus
To predict AC energy consumption under multiple building scenarios with EnergyPlus, it is necessary to set each influencing factor as an independent variable. Since building performance is influenced by the buildings, building service systems, and occupants, three aspects, including the building design scheme, internal disturbance elements, and adaptive behaviour, are considered to conduct research on the building AC energy conservation.
The building design scheme consists of elements that are determined in the phase of building design and cannot be changed during the building operation phase, including the building orientation, the thermal performance of the building envelopes, the window-to-wall ratio and the sun-shading structure of each elevation, and the air permeability performance. The building internal disturbance refers to the performance of people density, lighting, equipment, etc., during the building operation phase. These factors do not change significantly if the building function remains unchanged. The elements of adaptive behaviour, which are determined by the subjective motivation of the occupants and may change frequently with the changing outdoor environment, refer to the cooling/heating setpoint temperature, the coupling pattern between NV and AC operation, etc., adopted by the users under different operating conditions during the building operation phase.
Most of the above-mentioned influencing factors and their values are not affected by changes in behavioural patterns. However, the parametric description of the coupling pattern between NV and AC operation needs to be combined with the corresponding characteristics in different behavioural patterns.
The measurements and the results of field research in sample buildings indicate that occupants are more motivated to change the indoor thermal environment by operating air conditioners than natural ventilation (NV) that is realised by controlling external windows. In addition, in naturally ventilated buildings, the AC operation is sometimes accompanied by the opening of external windows due to the need to improve indoor air quality. The various coupling patterns between NV and AC operation lead to a differential impact on AC energy consumption. Based on the stochastic prediction model of HVAC behaviour in research buildings, several typical coupling patterns are proposed and compared with the pattern of actual HVAC behaviour to investigate the effects on AC energy consumption from the aspect of occupant adaptive behaviour.
According to the operational characteristics of HVAC behaviour, which is dominated by AC operation and supplemented by NV, the logic of external window control is considered with the AC operation as a benchmark. The potential effective coupling patterns between NV and AC operation are shown in Figure 4. Following different behavioural patterns, based on the sequence of AC operation, the corresponding sequence of external window control can be generated according to the potential coupling pattern between NV and AC operation.
Figure 4.
Potential coupling patterns between NV and AC operation.
The basic framework of the case building (including fixed basic information such as geographic location of the building, floor plan of the building, HVAC zoning, etc.) was constructed by the parameter management tool jEPlus [31,32], and the parameters related to each influencing factor were organised as filler units and stored in the form of textual data that can be executed by EnergyPlus from the console. Simulation for AC energy consumption based on different behavioural patterns can be performed by loading the corresponding schedule. With the dynamic variation of each parameter in the range of values organised by jEPlus, multiple scenarios were then generated, simulating the total heating and cooling loads of the building under these conditions to reflect the building AC energy consumption.
2.4. Method for Analysing the Importance of the Factors Influencing AC Energy Consumption
2.4.1. Calculation of Importance Scores Based on Random Forest Regression
To clarify the necessity of conducting research on energy conservation optimisation strategies based on actual behavioural characteristics, the importance analysis for factors influencing AC energy consumption based on different behavioural patterns should be performed by calculating the residual mean square sum based on random forest regression.
The basis for the importance analysis is the database of multiple scenarios of HVAC operating conditions created by the initial influencing factors. The dynamic parameterisation of the influencing factors is completed by jEPlus. A (N,k) matrix of random numbers with equal coverage of the function space was generated using Sobol’s method [33]. Parameters relevant to the various influencing factors in each data sample were used as input terms, and output terms were generated by corresponding input terms after batch simulation under the multiscenario operating conditions.
Integrating the above input terms with the corresponding output terms creates a multiscenario operating conditions database. Based on the database, the importance values were calculated by applying random forest regression. Assuming that the number of original samples is N, the input vector is , where is the value of i-th influencing factor. k bootstrap sample sets were randomly selected to form k decision trees, and each time the samples that were not selected form k out-of-bag(OOB) [34]. The OOB can be used as a test sample to evaluate the importance of each influencing factor on the prediction results by performing the following steps [35]:
- 1.
- Build a regression tree model for each bootstrap sample set to predict the corresponding OOB, using Equation (1) to calculate the mean square of the OOB residuals, denoted MSE1, MSE2, ……, MSEk;
- is the actual value of the dependent variable (DV) in the OOB dataset,
- is the predicted value of the dependent variable (IV) in the OOB dataset taken from the regression model.
- 2.
- Randomly permute the independent variable among the k OOB samples to form a new OOB sample for testing. Predict the new OOB using a random forest regression tree and compute a mean square of residuals to obtain the matrix ;
- 3.
- Calculate the importance score of the independent variable using Equation (2).
To compare the results of the importance score calculation, the relative importance of each influencing factor under the stochastic behavioural patterns based on the actual operational characteristics is normalised and expressed by values between 0 and 1.
2.4.2. Study of Main Procedures for AC Energy Conservation Based on Important Influencing Factors
In order to implement the integrated AC energy conservation strategy of the case building based on the important influencing factors, the control variable approach was applied. In order of relative importance from highest to lowest, the effect of the changing values of each factor on AC energy consumption is discussed, thus clarifying the value of the factor in turn.
Since the use of AC systems is the primary means of regulating the indoor thermal environment, it is necessary to consider the impact of the changing values of each factor on indoor thermal comfort. Therefore, simulations were performed by EnergyPlus to output heating/cooling loads of the building and uncomfortable hours (based on ASHRAE Standard 55-2017) of each air-conditioned room. For easy visual evaluation and comparison for the entire building under different scenarios, Equation (3) was used to calculate the annual AC power consumption per unit area, and Equations (4)–(6) were used to calculate the uncomfortable hours as a percentage of the duration of AC operation.
where
- is the annual AC power consumption per unit area of the building;
- is the total area of the building;
- and are the annual heating load and cooling load of the building, respectively; and
- and are the energy conservation ratio in heating and cooling condition, respectively.where
- is the total value of uncomfortable hours for the entire building;
- is the combined duration of AC operation for the entire building;
- n is the number of air-conditioned rooms in the building;
- is the area of the i-th air-conditioned zone;
- and are the total area of collective and individual offices, respectively;
- and are the average measured duration of AC operation in collective and individual offices, respectively;
- is the value of uncomfortable hours in the i-th air-conditioned room from the simulation; and
- is the value of uncomfortable hours as a percentage of the duration of AC operation.
3. The Stochastic Prediction Model of HVAC Behaviour Based on the Actual Operating Characteristics of Research Buildings
3.1. Quantitative Description of Actual HVAC Behavioural Characteristics
3.1.1. Typical HVAC Behavioural Patterns and Their Distribution Characteristics
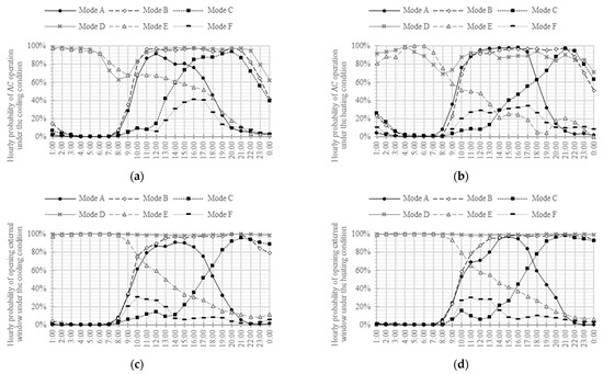
According to the research procedure described in Section 2.2.2, clustering analysis of the measured data was carried out to classify the HVAC behaviour into six typical modes with representative and mutual differences under heating and cooling conditions. Figure 5 shows the hourly characteristics of AC operation and external window control in each typical mode.
Figure 5.
Hourly characteristics of the typical HVAC behavioural modes. (a) AC operation under the cooling condition; (b) AC operation under the heating condition; (c) opening of the external window under the cooling condition; (d) opening of the external window under the heating condition.
The six typical HVAC behavioural modes are denoted by A, B, C, D, E, and F. Mode A is a “morning to afternoon mode”, in which the air conditioners/external windows are turned on/open in the morning and turned off/closed in the afternoon. Mode B is a “morning to night mode”, in which the air conditioners/external windows are turned off/closed at night, and Mode C is an “afternoon to night mode”, in which the air conditioners/external windows are turned on/open in the morning and turned off/closed at night. Mode D is an “all-day mode”, in which the air conditioners/external windows remain running/open throughout the day. Mode E is an “overnight mode”, in which the air conditioners/external windows are turned on/open on the previous day. Mode F is an “intermittent mode”, in which the individual duration of AC operation or external window opening status is limited, without significant regularity in the distribution of the duration throughout the day.
Among the typical HVAC behavioural modes mentioned above, modes A~E mainly describe the continuous running status of the HVAC system, which is highly consistent with long-lasting occupancy due to the working schedule and reflects the event relevance of the HVAC behaviour. Mode F describes the intermittent HVAC behavioural characteristics and echoes the short-term occupancy of the users. On the other hand, it indicates the subjective motivation of room occupants to adapt and adjust the indoor thermal environment during long-lasting occupancy, reflecting the environmental relevance of HVAC behaviour.
Based on the characteristic stage division of air conditioning usage in Section 2.2.1, the distribution of the HVAC behavioural modes in the different types of offices under various stages differs considerably, as shown in Figure 6.
Figure 6.
Periodic distribution of typical HVAC behavioural modes in different characteristic stages of AC usage. (a) AC operation modes in collective offices; (b) AC operation modes in individual offices; (c) external window control modes in collective offices; (d) external window control modes in individual offices.
For both types of offices, the higher the outdoor temperature under the cooling condition and the lower the outdoor temperature under the heating condition, the higher the percentage of days with the AC running, and the higher the percentage of modes A and B in typical modes, indicating continuous operation from morning to afternoon and to night. That is, the operation of the AC system is synchronised with the occupancy during the day with significant regularity. Regarding external window control, the percentage of days with open windows decreases, as does that of modes A, B, and C, indicating a continuous open status from morning to afternoon, morning to night, and from afternoon to night. In other words, there is less tendency for occupants to open external windows to improve the indoor thermal environment.
The lower the outdoor temperature under the cooling condition and the higher the outdoor temperature under the heating condition, the lower the percentage of days with the AC running, and the higher the percentage of mode F in typical modes. That is, the operation of AC is influenced by the adaptive behaviour of occupants with greater stochasticity. For external window control, the percentage of days with open windows increases, as does that of mode D, which indicates continuous open status throughout the day. In other words, the tendency of occupants to improve the indoor thermal environment by opening windows increases.
Moreover, in individual offices, intermittent mode F dominates the AC operation in all characteristic stages, corresponding to more unstable and irregular running patterns compared to collective offices.
3.1.2. Quantitative Description of the HVAC Behaviour Decision Branch
According to Section 3.1.1, each typical HVAC behavioural mode covers a variety of start and end timings for AC operation and external window control, so describing the behaviour under a given mode with a single schedule may not fully reflect the randomness of actual operation. Therefore, k-means clustering analysis was further carried out to refine the typical schedules of each mode as the HVAC behaviour decision branch to generate a year-round stochastic sequence according to the method described in Section 2.2.2 to reflect the diversity, randomness, and continuity of the actual operational patterns. As an example, typical AC operation schedules and the corresponding probability of occurrence at each characteristic stage in collective offices were extracted, as shown in Figure 7. Four different typical schedules for mode A, showing the AC operation from morning to afternoon, were further refined in collective offices during the mid-summer stage as an example: 9:00~18:00 continuous operation, 9:00~19:00 continuous operation excluding 12:00~14:00, 8:00~16:00 continuous operation, and 9:00~13:00 continuous operation, whose probabilities of occurrence are 8.39%, 3.32%, 5.07%, and 2.45%, respectively. Similarly, the typical AC operation schedules and the corresponding probabilities of occurrence were refined for modes B~F at the mid-summer stage, as well as for other stages. To obtain all the decision branches for predicting the HVAC behaviour in research buildings, the same method was used to refine the AC operation and the external window opening schedules for both collective and individual offices.
Figure 7.
Typical AC operation schedules and the corresponding probabilities of occurrence in collective offices.
3.2. Simulation and Verification of the Stochastic Sequence of HVAC Behaviour
Based on the decision branch generated in Section 3.1.2, the year-round stochastic sequences of HVAC behaviour in the research buildings were generated according to the decision process described in Section 2.2.3. Figure 8 shows the simulation results of two types of offices after running the decision process once. The sequences fully show the periodic characteristics of the AC operation and the external window control in different rooms, representing the diversity and randomness and reflecting the actual operational characteristics in similar buildings.
Figure 8.
Simulated sequence of AC operation and external window control in different types of rooms year-round. (a) AC operation sequence in a collective office; (b) external window control sequence in a collective office; (c) AC operation sequence in an individual office; (d) external window control sequence in an individual office.
To verify the appropriateness of the method for describing HVAC behaviour, the duration of the AC operation and the opening of the external window in the case building were studied. The measured and simulated results in different types of rooms at each characteristic stage are counted and compared in Table 2. Fifty simulation runs were carried out throughout the year, and the simulated results were used to calculate the statistical indicators of duration to avoid possible errors caused by a single execution of the random calculation process. The rationality of the method for stochastic sequence generation of HVAC behaviour is fully verified, as the error rate between the simulated and the measured cumulative duration of the AC operation and the opening of the external window is 0.33% and 0.04% in collective offices and 3.66% and 0.56% in individual offices, respectively.
Table 2.
Comparison of statistical indicators between measured and simulated sequences.
4. Construction of the Database of Multiple Scenarios Based on Simulation
4.1. Verification of the Simulated Energy Consumption of the Case Building
Since each room in the case building is an independent air-conditioned zone, different schedules of AC and NV were applied. Therefore, 35 stochastic sequences of AC operation and external window control were generated for individual offices, and 34 were generated for collective offices. According to Section 2.3.1, the above stochastic sequences were “translated” by Python programming into EnergyPlus callable schedules and stored in “Schedule:Compact” in the Class List, ensuring that the corresponding named schedules for each air-conditioned zone could be called and loaded to reflect the different operational behaviours in each room during the simulation.
The relevant parameters were set in EnergyPlus. According to the case building drawings, the heat transfer coefficients of the external wall, roof, interior wall, floor slab, and external window are defined as 2.42 W/(m2·K), 2.98 W/(m2·K), 3.93 W/(m2·K), 4.09 W/(m2·K), and 5.78 W/(m2·K), respectively; the SHGC of the external window is defined as 0.819; the window-to-wall ratios of the east, south, west, and north elevations are set as 20%, 40%, 10%, and 40%, respectively; and there is no shading structure at each elevation. According to the indoor thermal environment measurements, the air permeability performance is 0.7 ac/h; the people density is 18 m2/person in the individual office and 6 m2/person in the collective office; the power density of lighting is 9 W/m2; the power density of equipment is 200 W/person; and the setpoint temperature of AC is 25 °C in the cooling condition and 26 °C in the heating condition.
Since no statistical meter for energy consumption by item was installed, the actual total AC power consumption of the entire case building was estimated based on the measured AC power intensity of the sample rooms. By loading the behavioural schedules of different rooms and simulating the annual cooling and heating loads based on actual operational characteristics with EnergyPlus, the simulated AC power consumption was calculated in combination with the energy efficiency ratio (EER). Due to the equipment aging, the EER of the air conditioners is approximately 2.68 for cooling and 1.8 for heating. As a comparison, the AC power consumption of the case building was simulated with the fixed schedule provided by the “Design standard for energy efficiency of public buildings (GB 50189-2015)” [36]. The error analysis of the measured and simulated results is shown in Table 3.
Table 3.
Verification of the simulation results of AC energy consumption in the case building.
The comparison of the measured and simulated AC power consumption shows that the simulation values based on the actual HVAC behavioural pattern in both cooling and heating conditions have a lower error rate, which fully reflects the influence of operational characteristics on energy consumption. Additionally, the simulation values based on the fixed behavioural pattern have significant discrepancies with the measured results, especially the simulated power consumption in heating conditions, with an error rate of more than 20%. Consequently, the section verifies the rationality of the AC energy consumption prediction based on actual HVAC behavioural characteristics.
4.2. Description of the Coupling Patterns between NV and AC Operation
Following Section 2.3.2, a number of typical coupling patterns between NV and AC operation under different behavioural patterns were carried out to form a range of parameter values for this initial influencing factor.
For the stochastic behavioural pattern based on actual operational characteristics, “independent” indicates that the external window control is completely independent of the AC operation, and the pattern is further divided into “regular” and “irregular” patterns. The pattern M0 that is set to reflect the actual characteristics of NV is defined as the independent “irregular” pattern. Meanwhile, the measurements indicate that the action of opening the windows is time-shifted, where the peak hours are between 8:00 and 9:00, and the overnight ventilation is a common and effective means of improving the indoor thermal environment [8,10,11]. Hence, the typical patterns M1 and M2 are defined as independent “regular” patterns, representing the timed NV in the morning from 8:00 to 9:00 and overnight from 17:00 to 8:00 of the next day, respectively.
“Related” indicates that the logic of NV is built based on AC operation, and the pattern is further divided into “same” and “opposite” patterns. Since the coupling pattern “same” that indicates the synchronicity of opening windows and running air conditioners is not conducive for energy conservation, it will not be discussed. The related “opposite” pattern is further divided into two typical cases. The typical coupling pattern M3 is defined as the “completely opposite” pattern, in which the external windows remain open/closed when the air conditioners are off/on from 0:00 to 24:00. The typical coupling pattern M4 is defined as the “partial opposite” pattern, which integrates the means of overnight NV. In pattern M4, the external windows remain open/closed when the air conditioners are off/on from 17:00 to 8:00 of the next day and remain closed from 8:00 to 17:00 regardless of whether the air conditioners are on or not.
When it comes to the fixed behavioural pattern, the coupling between NV and AC operation does not conform to the “irregular” pattern. According to the fixed HVAC schedule provided by Appendix B of “Design standard for energy efficiency of public buildings (GB 50189-2015)” [36], the pattern M0 reflects the AC operation that lasts from 7:00 to 18:00 on weekdays without NV. In addition, the patterns M1~M4 are described in the same way as in the stochastic behavioural pattern.
For sequence of AC operation and sequence of external window control , the above coupling patterns between NV and AC operation are described as EnergyPlus callable schedules in Python. The specific descriptions of the above five typical coupling patterns between NV and AC operation are shown in Table 4.
Table 4.
The description of coupling patterns between NV and AC operation.
4.3. Determination of Initial Factors Influencing the AC Energy Consumption
According to Section 2.3.2, 28 initial influencing factors extracted from the building design scheme, internal disturbance elements, and adaptive behaviour are parametrically described in EnergyPlus as shown in Table 5. The range of values are expressed with mathematical symbols, the lower and upper limits of which are set with reference to the “Technical standard for nearly zero energy buildings GB/T 51350-2019” [37] and the thermal performance of the reference building in hot summer and cold winter climate zones of China in the 1980s. Meanwhile, the range of values of factors extracted from adaptive behaviour is determined based on the actual characteristics of the case building.
Table 5.
Parameter management of the initial influencing factors and the range of values.
5. Importance Analysis of Factors Influencing AC Energy Consumption
5.1. Importance Score Calculation Based on the Actual Operational Characteristics of HVAC Behaviour
jEPlus managed the dynamic parameters of the 28 initial factors influencing the AC energy consumption that are listed in Table 5 and generated a (5000, 28) matrix of random numbers with equal coverage of the function space according to Section 2.3.2. Under the 5000 operating conditions created by 28 input items, the annual heating and cooling loads were simulated by EnergyPlus.
Based on the stochastic behavioural pattern reflecting the actual HVAC operating characteristics, the value of AC energy consumption (DV) was simulated following the values of the initial influencing factors (IV). The importance scores were calculated using Equations (1) and (2) listed in Section 2.4 based on the random forest regression and were normalised to facilitate comparative analysis. Similarly, batch simulations were performed, and importance scores were calculated based on the fixed behavioural pattern. Figure 9 lists the results of the relative importance based on the stochastic and the fixed behavioural patterns.

Figure 9.
Comparison of the relative importance of initial influencing factors based on: (a) the stochastic behavioural pattern; (b) the fixed behavioural pattern.
5.2. Importance Analysis for Factors Influencing AC Energy Consumption
According to Section 5.1, different initial influencing factors have different effects on AC energy consumption under the stochastic behavioural pattern reflecting the actual operational characteristics and the fixed behavioural pattern. Corresponding to the different relative importance values, this section categorises the initial influencing factors into four types: Type A consists of critical influencing factors with relative importance greater than 10%; type B consists of significant influencing factors with relative importance greater than 3%; type C consists of limited influencing factors with relative importance greater than 1%; and type D consists of insignificant influencing factors with relative importance less than 1%.
- 1.
- For factors extracted from the building design scheme
According to the stochastic behavioural pattern, the air permeability performance is a critical influencing factor with a relative importance of 67.0%; the SHGC of the external window is a significant factor with a relative importance of 4.5%; and the heat transfer coefficients of the external wall, external window, and roof are limited factors. According to the fixed behavioural pattern, the air permeability performance is a critical factor with a relative importance of 100%; the SHGC of the external window, heat transfer coefficients of the external wall, and that of the external window are significant factors with relative importances of 4.5%, 4.3%, and 3.6%, respectively; and the heat transfer coefficients of the internal wall, window-to-wall ratio of the north and south elevation, external wall thermal insulation, and building orientation are limited factors.
- 2.
- For factors extracted from the internal disturbance elements
According to the stochastic behavioural pattern, the people density of collective offices is a critical influencing factor with a relative importance of 17.3%, and the power density of equipment is a limited factor with a relative importance of 2.9%. According to the fixed behavioural pattern, the people density of collective offices is a critical factor with a relative importance of 17.1%, and the power density of equipment is a limited factor with a relative importance of 2.3%.
- 3.
- For factors extracted from the adaptive behaviours
According to the stochastic behavioural pattern, the cooling and heating setpoint temperatures are critical influencing factors with relative importances of 100% and 46%, respectively; and the coupling pattern between NV and AC operation is a significant factor with a relative importance of 7.8%. According to the fixed behavioural pattern, the cooling and heating setpoint temperatures are critical factors with relative importances of 82.2% and 43.8%, respectively; and the coupling pattern between NV and AC operation is a limited factor with a relative importance of 1.4%.
The effect of factors extracted from the building design scheme, the internal disturbance elements, and the adaptive behaviour on AC energy consumption under different behavioural patterns varies. On the basis of both the stochastic and fixed behavioural patterns, the cooling/heating setpoint temperature, the air permeability performance, and the people density of collective offices are critical influencing factors. However, the factors classified as significant and limited are remarkably different depending on the behavioural patterns. For example, the coupling pattern between NV and AC operation has a significant effect on the AC energy consumption under the stochastic behavioural pattern, while it only shows a limited effect under the fixed behavioural pattern. Therefore, the important influencing factors concluded based on the stochastic behavioural pattern are more appropriate for working out key strategies of energy conservation than those based on the fixed behavioural pattern. As shown in Table 6 and Table 7, important influencing factors based on the stochastic and fixed behavioural patterns are clarified and listed, respectively.
Table 6.
Importance influencing factors based on the stochastic behavioural pattern.
Table 7.
Importance influencing factors based on the fixed behavioural pattern.
6. Discussion: Key Strategies for AC Energy Conservation Based on Important Influencing Factors
The annual AC power consumption based on the actual operational characteristics of the case building is calculated as 52.37 kWh/m2 by Equation (3) according to Table 3 in Section 4.1, and the uncomfortable hours as a percentage of the duration of AC operation is simulated and calculated as 51.49% by Equations (4) to (6), which is taken as the baseline scenario. The scenario changes according to the different value of important factors.
According to the importance factors influencing the AC energy consumption based on the stochastic behavioural pattern listed in Table 6, the effect of each critical and significant factor on the AC energy consumption and the indoor thermal comfort of the building is evaluated by applying the control variable approach in Section 2.4.2.
The aim is to explore appropriate strategies for AC energy conservation of the case building based on the premise of satisfying the basic thermal comfort needs of occupants. The range of values of each factor should be taken from Table 5.
The study of the integrated AC energy conservation strategies starts with the cooling/heating setpoint temperature. Figure 10 describes the effect of the changing value of the cooling/heating setpoint temperature on AC energy consumption and thermal comfort. It can be concluded that the cooling setpoint temperature is negatively correlated with the energy consumption of the case building, while the correlation is positive in the heating condition. However, to ensure thermal comfort while realizing AC energy conservation, the cooling setpoint temperature should be set as 25 °C in each stage in the cooling condition, being consistent with the baseline scenario. Meanwhile, it is appropriate to set the heating setpoint temperature as 24 °C in late autumn and early spring, 25 °C in early and late winter, and 24 °C in mid-winter.
Figure 10.
Effect of setpoint temperature on AC energy consumption and thermal comfort in the (a) late spring and early autumn; (b) early and late summer; (c) mid-summer; (d) late autumn and early spring; (e) early and late winter; (f) mid-winter.
Secondly, the analysis for the air permeability performance was performed after the optimal value of the cooling/heating setpoint temperature was clarified. The effect of changing the value of the air permeability performance on the case building is described in Figure 11. There is a significant linear positive correlation between the air permeability performance and the AC power consumption. Considering the thermal comfort, the optimal value of the air permeability performance is 0.2 ac/h, after which the analysis for the people density of collective offices is carried out.
Figure 11.
Effect of the air permeability performance on AC energy consumption and thermal comfort.
According to Figure 12, the area per user occupied in the collective offices is negatively correlated with the annual AC energy consumption and the percentage of uncomfortable hours of the case building. The effect of reducing people density on indoor thermal comfort is no longer significant when the value is greater than 6 m2/person. Therefore, it is still appropriate to keep the same value as in the baseline scenario.
Figure 12.
Effect of the people density of collective offices on AC energy consumption and thermal comfort.
The following is an analysis of the effect of the typical coupling patterns between NV and AC operation, referring to Table 4, on AC energy consumption and thermal comfort. As shown in Figure 13, the effect of implementing different coupling patterns between NV and AC operation in each characteristic stage varies significantly. Aiming at AC energy conservation, pattern M3 is recommended in early spring and late autumn and early and late summer, while pattern M4 is recommended in mid-summer for the cooling condition. And in the heating condition, pattern M1 is recommended.
Figure 13.
Effect of the coupling pattern between NV and AC operation on AC energy consumption and thermal comfort in the: (a) late spring and early autumn; (b) early and late summer; (c) mid-summer; (d) late autumn and early spring; (e) early and late winter; (f) mid-winter.
After clarifying the recommended coupling pattern implemented in different stages, the effect of the SHGC of the external window on AC energy consumption and thermal comfort is discussed. According to Figure 14, there is a significant positive correlation between the SHGC and both the annual AC energy consumption and the percentage of uncomfortable hours of the case building. To ensure thermal comfort while realizing AC energy conservation, the SHGC of the external window should be optimised to 0.3.
Figure 14.
Effect of the SHGC of the external window on AC energy consumption and thermal comfort.
In summary, based on the influencing factors of types A and B, the integrated optimisation strategies for AC energy conservation are clarified and listed in Table 8. By implementing the strategies, the power consumption can be reduced from 52.37 kWh/(m2·a) to 34.03 kWh/(m2·a), while maintaining the functional layout and occupancy and satisfying the basic demand for indoor thermal comfort, thus achieving 35.02% AC energy savings. Meanwhile, the uncomfortable hours as a percentage of the duration of AC operation decrease from 51.49% to 26.78%.
Table 8.
The implementation of key strategies for AC energy conservation of the case building.
7. Conclusions
The article established a stochastic prediction model of HVAC behaviour reflecting the actual operating characteristics of research buildings and integrated it into the energy consumption simulation process. The error rate between the measured and simulated AC power consumption following the stochastic behavioural pattern was −5.24% and 2.56% in the heating and cooling conditions, respectively, while the values following the fixed behavioural pattern were 22.60% and −6.84%, verifying the superiority of the stochastic model compared to the deterministic one.
Twenty-eight initial factors were extracted from the building design scheme, internal disturbance elements, and adaptive behaviour. Their importance over AC energy consumption was assessed based on random forest regression following both the stochastic and the fixed behavioural pattern. It could be concluded that:
- The cooling/heating setpoint temperature, the air permeability, and the people density of collective offices are critical influencing factors with a relative importance greater than 10% based on both behavioural patterns. Therefore, energy conservation strategies based on these factors are a high priority.
- The relative importance and number of significant and limited factors are remarkably different depending on the behavioural patterns. The key strategies for energy conservation in similar naturally ventilated research buildings should be based on the cooling/heating setpoint temperature, the air permeability, the people density of collective offices, the coupling pattern between NV and AC operation, and the SHGC of the external window.
- The effect of implementing key strategies in the case buildings was simulated. Accordingly, the power consumption can be reduced from 52.37 kWh/(m2·a) to 34.03 kWh/(m2·a), while the uncomfortable hours as a percentage of the duration of AC operation decreased from 51.49% to 26.78%, thus achieving 35.02% AC energy savings while promoting thermal comfort.
In general, the paper established a quantitative feedback method of actual HVAC behaviours on AC energy consumption and clarified the important factors influencing AC energy consumption in naturally ventilated research buildings located in hot summer and cold winter zones. Consequently, a theoretical basis for the accurate prediction of energy consumption and efficient implementation of energy conservation strategies was provided.
For future studies, it is necessary to increase the number of sample buildings to optimise the stochastic model in future research for further universality instead of focusing on a single case building and to build an extensible prediction model to address different building types and occupants. In addition, there is an urgent need to integrate genetic algorithms with AC energy consumption prediction so as to make more rational decisions on energy conservation strategies based on important influencing factors.
Author Contributions
Conceptualisation, J.W.; methodology, S.C.; software, J.W.; validation, J.S. and J.W.; formal analysis, X.Y.; investigation, J.W.; resources, X.Y.; data curation, J.W. and S.C.; writing—original draft, J.W.; writing—review and editing, S.C. and X.Y.; visualisation, J.W. and J.S.; supervision, X.Y.; project administration, S.C.; funding acquisition, S.C. All authors have read and agreed to the published version of the manuscript.
Funding
This research was funded by Hangzhou City University, grant number J-202311.
Data Availability Statement
The data presented in this study are available on request from the corresponding author.
Conflicts of Interest
The authors declare no conflict of interest.
References
- Korsavi, S.S.; Montazami, A.; Brusey, J. Developing a Design Framework to Facilitate Adaptive Behaviours. Energy Build. 2018, 179, 360–373. [Google Scholar] [CrossRef]
- Papadopoulos, S.; Kontokosta, C.E.; Vlachokostas, A.; Azar, E. Rethinking HVAC Temperature Setpoints in Commercial Buildings: The Potential for Zero-Cost Energy Savings and Comfort Improvement in Different Climates. Build. Environ. 2019, 155, 350–359. [Google Scholar] [CrossRef]
- Ge, F.; Guo, X.; Liu, H.; Wang, J.; Lu, C. Energy Performance of Air Cooling Systems Considering Indoor Temperature and Relative Humidity in Different Climate Zones in China. Energy Build. 2013, 64, 145–153. [Google Scholar] [CrossRef]
- Kempton, W.; Feuermann, D.; McGarity, A.E. “I Always Turn It on Super”: User Decisions about When and How to Operate Room Air Conditioners. Energy Build. 1992, 18, 177–191. [Google Scholar] [CrossRef]
- Liu, N.; Mo, D.; Wang, M. A Study on Occupants’ Behavior and Thermal Environmental Energy Efficiency of Dwellings. Archit. J. 2016, 2, 33–37. [Google Scholar]
- Wang, Z.; Zhang, L.; Zhao, J.; He, Y. Thermal Comfort for Naturally Ventilated Residential Buildings in Harbin. Energy Build. 2010, 42, 2406–2415. [Google Scholar] [CrossRef]
- Zhao, L.; Liu, J.; Ren, J. Impact of Various Ventilation Modes on IAQ and Energy Consumption in Chinese Dwellings: First Long-Term Monitoring Study in Tianjin, China. Build. Environ. 2018, 143, 99–106. [Google Scholar] [CrossRef]
- Santamouris, M.; Sfakianaki, A.; Pavlou, K. On the Efficiency of Night Ventilation Techniques Applied to Residential Buildings. Energy Build. 2010, 42, 1309–1313. [Google Scholar] [CrossRef]
- Liu, Y.; Gao, Y.; Zhuang, C.; Shi, D.; Xu, Y.; Guan, J.; Di, Y. Optimization of Top-Floor Rooms Coupling Cool Roofs, Natural Ventilation and Solar Shading for Residential Buildings in Hot-Summer and Warm-Winter Zones. J. Build. Eng. 2023, 66, 105933. [Google Scholar] [CrossRef]
- Kubota, T.; Chyee, D.T.H.; Ahmad, S. The Effects of Night Ventilation Technique on Indoor Thermal Environment for Residential Buildings in Hot-Humid Climate of Malaysia. Energy Build. 2009, 41, 829–839. [Google Scholar] [CrossRef]
- Kubota, T.; Chyee, D.T.H. Potential of Passive Cooling Techniques for Modern Houses in the Tropical Climate of Malaysia—Analysis of the Indoor Thermal Environment for Various Ventilation Strategies. Int. J. Vent. 2010, 9, 11–23. [Google Scholar] [CrossRef]
- Crawley, D.; Lawrie, L.; Winkelmann, F.; Buhl, W.F.; Huang, Y.J.; Pedersen, C.; Strand, R.; Liesen, R.; Fisher, D.; Witte, M.; et al. EnergyPlus: Creating a New-Generation Building Energy Simulation Program. Energy Build. 2001, 33, 319–331. [Google Scholar] [CrossRef]
- Po-Jen Cheng, C.-H.C.; Lin, Y.-C. Design of an Intelligent Controller for an Air-Conditioning System Using DSP. J. Inf. Optim. Sci. 2008, 29, 907–922. [Google Scholar] [CrossRef]
- Indraganti, M. Behavioural Adaptation and the Use of Environmental Controls in Summer for Thermal Comfort in Apartments in India. Energy Build. 2010, 42, 1019–1025. [Google Scholar] [CrossRef]
- Schweiker, M.; Shukuya, M. Comparison of Theoretical and Statistical Models of Air-Conditioning-Unit Usage Behaviour in a Residential Setting under Japanese Climatic Conditions. Build. Environ. 2009, 44, 2137–2149. [Google Scholar] [CrossRef]
- Nicol, F.; Humphreys, M.; Olesen, B. A Stochastic Approach to Thermal Comfort—Occupant Behavior and Energy Use in Buildings. ASHRAE Trans. 2004, 110, 554–568. [Google Scholar]
- Tanimoto, J.; Hagishima, A. State Transition Probability for the Markov Model Dealing with on/off Cooling Schedule in Dwellings. Energy Build. 2005, 37, 181–187. [Google Scholar] [CrossRef]
- Haldi, F.; Robinson, D. Interactions with Window Openings by Office Occupants. Build. Environ. 2009, 44, 2378–2395. [Google Scholar] [CrossRef]
- Ren, X. Research on Occupant Behavior Action Model in Buildings. Master’s Thesis, Tsinghua University, Beijing, China, 2015. [Google Scholar]
- Park, H. A Stochastic Planning Model for Battery Energy Storage Systems Coupled with Utility-Scale Solar Photovoltaics. Energies 2021, 14, 1244. [Google Scholar] [CrossRef]
- Gilani, S.; Ouf, M. Advancing Occupant Modeling for Building Design & Code Compliance: Part 1. ASHRAE J. 2019, 61, 22–29. [Google Scholar]
- Ouf, M.; Gilani, S. Advancing Occupant Modeling for Building Design & Code Compliance: Part 2. ASHRAE J. 2019, 61, 28–36. [Google Scholar]
- Yu, W.; Li, B.; Jia, H.; Zhang, M.; Wang, D. Application of Multi-Objective Genetic Algorithm to Optimize Energy Efficiency and Thermal Comfort in Building Design. Energy Build. 2015, 88, 135–143. [Google Scholar] [CrossRef]
- Delgarm, N.; Sajadi, B.; Delgarm, S.; Kowsary, F. A Novel Approach for the Simulation-Based Optimization of the Buildings Energy Consumption Using NSGA-II: Case Study in Iran. Energy Build. 2016, 127, 552–560. [Google Scholar] [CrossRef]
- Magnier, L.; Haghighat, F. Multiobjective Optimization of Building Design Using TRNSYS Simulations, Genetic Algorithm, and Artificial Neural Network. Build. Environ. 2010, 45, 739–746. [Google Scholar] [CrossRef]
- Abuimara, T.; Gunay, B.; Carrizo, S. Assessing the Impact of Changes in Occupants on Design Decision Making. In Proceedings of the eSim 2018—Building Simulation to Support Building Sustainability, Montréal, QC, Canada, 9–10 May 2018. [Google Scholar]
- Satyavada, H.; Baldi, S. An Integrated Control-Oriented Modelling for HVAC Performance Benchmarking. J. Build. Eng. 2016, 6, 262–273. [Google Scholar] [CrossRef]
- Gao, H.; Wang, X.; Wu, K.; Zheng, Y.; Wang, Q.; Shi, W.; He, M. A Review of Building Carbon Emission Accounting and Prediction Models. Buildings 2023, 13, 1617. [Google Scholar] [CrossRef]
- Chen, S.; Wu, J.; Ge, J.; Liu, S. Simulation Method and Case Study of Stochastic Usage Behavior of Air Conditioners in Office Buildings. J. Hunan Univ. Sci. 2021, 48, 157–164. [Google Scholar] [CrossRef]
- Crawley, D.; Lawrie, L.; Winkelmann, F.; Pedersen, C. EnergyPlus: A New-Generation Building Energy Simulation Program. In Proceedings of the Renewable and Advanced Energy Systems for the 21st Century, Lahaina, HI, USA, 11–15 April 1999. [Google Scholar]
- Zhang, Y. Jeplus.Org. Available online: http://www.jeplus.org/wiki/doku.php?id=start (accessed on 23 October 2023).
- Zhang, Y.; Korolija, I. Performing Complex Parametric Simulations with jEPlus. In Proceedings of the SET 2010: 9th International Conference on Sustainable Energy Technologies, Shanghai, China, 24–27 August 2010. [Google Scholar]
- Rainville, F.-M.D.; Gagné, C.; Teytaud, O.; Laurendeau, D. Evolutionary Optimization of Low-Discrepancy Sequences. ACM Trans. Model. Comput. Simul. 2012, 22, 1–25. [Google Scholar] [CrossRef]
- Breiman, L. Random Forests. Mach. Learn. 2001, 45, 5–32. [Google Scholar] [CrossRef]
- Li, Z.; Zhang, T.; Wu, X.; Li, K. Methodology of Regression by Random Forest and Its Applica Tion on Metabolomics. Chin. J. Health Stat. 2012, 29, 158–160+163. [Google Scholar]
- GB50189-2015; Design Standard for Energy Efficiency of Public Buildings. China Architecture Publishing & Media Co., Ltd.: Beijing, China, 2015; pp. 46–52.
- GB/T 51350-2019; Technical Standard for Nearly Zero Energy Buildings. China Architecture Publishing & Media Co., Ltd.: Beijing, China, 2019; pp. 10–14.
Disclaimer/Publisher’s Note: The statements, opinions and data contained in all publications are solely those of the individual author(s) and contributor(s) and not of MDPI and/or the editor(s). MDPI and/or the editor(s) disclaim responsibility for any injury to people or property resulting from any ideas, methods, instructions or products referred to in the content. |
© 2023 by the authors. Licensee MDPI, Basel, Switzerland. This article is an open access article distributed under the terms and conditions of the Creative Commons Attribution (CC BY) license (https://creativecommons.org/licenses/by/4.0/).














