Study of Pavement Performance and Temperature Regulation Capacity of Asphalt Binders Modified with Dual-Phase-Change Materials
Abstract
:1. Introduction
2. Materials and Methods
2.1. Experimental Materials
2.1.1. Asphalt Binder
2.1.2. Dual-Phase-Change Material (DPCM)
2.1.3. DPCM-Modified Asphalt
2.2. Test Methods
2.2.1. Temperature Scanning Test
- Temperature range: 30~70 °C (high-temperature performance), 10~40 °C (fatigue performance), and −20~10 °C (low-temperature performance).
- Strain: 0.01% (for −20~−5 °C) and 1% (for −5~70 °C).
- Scanning frequency: 10 rad/s.
2.2.2. Scanning Electron Microscope (SEM) Test
- Acceleration voltage: 15,000 V.
- Magnification: 1500 times.
2.2.3. Fourier Transform Infrared Spectrometer (FTIR)
2.2.4. Temperature Detection and Recording Device
- Recording frequency: once per minute.
- Temperature deviation: ±0.1 °C.
2.2.5. Indoor Simulated Temperature Regulation Test
3. Results and Discussion
3.1. Microstructures of EG and PEG
3.2. Rheological Properties of DPCM-Modified Asphalt Binders
3.2.1. High-Temperature Performance of DPCM-Modified Asphalt Binders
3.2.2. Fatigue Properties of DPCM-Modified Asphalt Binders
3.2.3. Low-Temperature Properties of DPCM-Modified Asphalt Binders
3.3. Chemical Stability of DPCM-Modified Asphalt Binders
3.4. Temperature Regulation Performance of DPCM-Modified Asphalt Binders
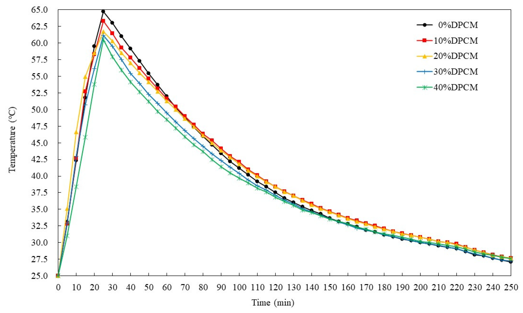
3.4.1. Indoor Simulated High-Temperature Regulation Test
3.4.2. Indoor Simulated Low-Temperature Regulation Test
4. Conclusions
- (1)
- The effect of the DPCM on the rheological properties of the asphalt mastic is due to the increase in the powder–binder ratio. In the research on the pavement performance of the modified asphalt binders based on rheological parameters, the influence of the DPCMs on the rheological properties of the asphalt binders was mostly similar to influence of the mineral powder. The addition of the DPCMs increased the high-temperature rutting resistance of the asphalt binders, but a high DPCM content showed a negative influence on the fatigue performance of the modified asphalt binders.
- (2)
- PEG could be adsorbed by the pores of EG to form a stable microstructure. In the SEM test, continuous and stable network structures of PEG400/EG and PEG1500/EG were observed, which were conducive to improving the thermal conductivity efficiency and temperature regulation effect.
- (3)
- The modification of asphalt by DPCM is only a physical mixing process. In the FTIR test, the results showed that the infrared characteristic peaks of the DPCM-modified asphalt binders included the characteristic peaks of the DPCM and the original asphalt binders. No new structural characteristic peaks appeared, indicating that there was no chemical reaction in the DPCM modification process. The chemical properties of both the DPCM and the original asphalt binders were not changed.
- (4)
- Increasing the content of DPCM can improve the temperature change rate and temperature extremum of DPCM-modified asphalt. In the indoor simulated temperature regulation test, the DPCM-modified asphalt binders showed a good temperature regulation effect in the two temperature domains of −20~20 °C and 25~65 °C. Their temperature regulation effect increased with the increase in the DPCM content. The modified asphalt binders with a 40% DPCM content reduced the high-temperature extremum by 4.2 °C during the heating process. The asphalt heating rate was reduced by 10.6%. In the cooling process, the low-temperature extreme value of the asphalt was increased by 2.5 °C, while the cooling rate of the asphalt was reduced by 6.3%.
- (5)
- The use of these DPCM-modified asphalt binders in pavement in monsoon climate areas will reduce the occurrence of pavement defects and prolong its service life.
Author Contributions
Funding
Data Availability Statement
Conflicts of Interest
References
- Yang, S.; Lee, L. Characterizing the chemical and rheological properties of severely aged reclaimed asphalt pavement materials with high recycling rate. Constr. Build. Mater. 2016, 111, 139–146. [Google Scholar] [CrossRef]
- Jiang, X.; Titi, H.; Ma, Y.; Polaczyk, P.; Zhang, M.; Gabrielson, J.; Bai, Y.; Huang, B. Evaluating the performance of inverted pavement structure using the accelerated pavement test (APT). Constr. Build. Mater. 2022, 346, 128489. [Google Scholar] [CrossRef]
- Guo, M.; Liang, M.; Sreeram, A.; Bhasin, A.; Luo, D. Characterisation of rejuvenation of various modified asphalt binders based on simplified chromatographic techniques. Int. J. Pavement Eng. 2021, 23, 4333–4343. [Google Scholar] [CrossRef]
- Liu, J.; Zhao, S.; Li, L.; Li, P.; Saboundjian, S. Low temperature cracking analysis of asphalt binders and mixtures. Cold Reg. Sci. Technol. 2017, 141, 78–85. [Google Scholar] [CrossRef]
- Guo, M.; Liang, M.; Jiao, Y.; Zhao, W.; Duan, Y.; Liu, H. A Review of Phase Change Materials in Asphalt Binder and Asphalt Mixture. Constr. Build. Mater. 2020, 258, 119565. [Google Scholar] [CrossRef]
- Chen, Z.; Ma, D. Effectiveness of Solar Heat Reflective Coatings in Reducing Asphalt Concrete Temperature. J. Test. Eval. 2012, 40, 740–745. [Google Scholar] [CrossRef]
- Starke, P.; Goebel, P.; Coldewey, W. Urban evaporation rates for water-permeable pavements. Water Sci. Technol. 2010, 62, 1161–1169. [Google Scholar] [CrossRef]
- Du, Y.; Dai, M.; Deng, H.; Deng, D.; Wei, T.; Li, W. Evaluation of thermal and anti-rutting behaviors of thermal resistance asphalt pavement with glass microsphere. Constr. Build. Mater. 2020, 263, 120609. [Google Scholar] [CrossRef]
- Duarte, F.; Ferreira, A.; Fael, P. Road Pavement Energy-Harvesting Device to Convert Vehicles’ Mechanical Energy into Electrical Energy. J. Energy Eng. 2018, 144, 04018003. [Google Scholar] [CrossRef]
- Yu, H.; Ma, T.; Wang, D.; Wang, Z.; Lv, S.; Zhu, X.; Liu, P.; Li, F.; Xiao, Y.; Zhang, J.; et al. Review on China’s pavement engineering reseach·2020. China J. Highw. Transp. 2020, 33, 1–66. [Google Scholar]
- Šavija, B.; Schlangen, E. Use of Phase Change Materials (Pcms) to Mitigate Early Age Thermal Cracking in Concrete: Theoretical Considerations. Constr. Build. Mater. 2016, 126, 332–344. [Google Scholar] [CrossRef]
- Souayfane, F.; Fardoun, F.; Biwole, P. Phase Change Materials (Pcm) for Cooling Applications in Buildings: A Review. Energy Build. 2016, 129, 396–431. [Google Scholar] [CrossRef]
- Ren, S.; Li, J.; Zhang, B.; Huang, K.; Bai, Y. Preparation of a Composite Phase Change Material with High Thermal Storage Capacity Using Modified Expanded Graphite as the Matrix. Diam. Relat. Mater. 2022, 121, 108736. [Google Scholar] [CrossRef]
- Anupam, B.; Sahoo, U.; Rath, P. Phase change materials for pavement applications: A review. Constr. Build. Mater. 2020, 247, 118553. [Google Scholar] [CrossRef]
- Li, F.; Zhou, S.; Chen, S.; Yang, J.; Zhu, X.; Du, Y.; Yang, Z. Low-temperature organic phase change material microcapsules for asphalt pavement: Preparation, characterisation and application. J. Microencapsul. 2018, 35, 635–642. [Google Scholar] [CrossRef]
- She, Z.; Wei, Z.; Young, B.A.; Falzone, G.; Neithalath, N.; Sant, G.; Pilon, L. Examining the effects of microencapsulated phase change materials on early-age temperature evolutions in realistic pavement geometries. Cem. Concr. Compos. 2019, 103, 149–159. [Google Scholar] [CrossRef]
- Ryms, M.; Lewandowski, W.M.; Klugmann-Radziemska, E.; Denda, H.; Wcisło, P. The Use of Lightweight Aggregate Saturated with Pcm as a Temperature Stabilizing Material for Road Surfaces. Appl. Therm. Eng. 2015, 81, 313–324. [Google Scholar] [CrossRef]
- Fallahi, A.; Guldentops, G.; Tao, M.; Granados-Focil, S.; Van Dessel, S. Review on Solid-Solid Phase Change Materials for Thermal Energy Storage: Molecular Structure and Thermal Properties. Appl. Therm. Eng. 2017, 127, 1427–1441. [Google Scholar] [CrossRef]
- Chen, M.; Zheng, S.; Wu, S.; Xu, G. Melting Intercalation Method to Prepare Lauric Acid/Organophilic Montmorillonite Shape-Stabilized Phase Change Material. J. Wuhan Univ. Technol. (Mater. Sci. Ed.) 2010, 4, 674–677. [Google Scholar] [CrossRef]
- Kong, W.; Liu, Z.; Yang, Y.; Zhou, C.; Lei, J. Preparation and Characterizations of Asphalt/Lauric Acid Blends Phase Change Materials for Potential Building Materials. Constr. Build. Mater. 2017, 152, 568–575. [Google Scholar] [CrossRef]
- He, L.; Tang, B.; Zhu, H.; Cao, X. Phase Change Heat Storage Properties of Peg/Sio2 Shape-Stabilized Phase Change Materials in Asphalt. Funct. Pavement Des. 2016, 7, 1069–1075. [Google Scholar]
- Chen, J.; Li, J.; Wang, H.; Huang, W.; Sun, W.; Xu, T. Preparation and Effectiveness of Composite Phase Change Material for Performance Improvement of Open Graded Friction Course. J. Clean. Prod. 2019, 214, 259–269. [Google Scholar] [CrossRef]
- Min, Z.; Wang, Q.; Xie, Y.; Xie, J.; Zhang, B. Influence of Polyethylene Glycol (PEG) Chain on the Performance of Epoxy Asphalt Binder and Mixture. Constr. Build. Mater. 2021, 272, 121614. [Google Scholar] [CrossRef]
- Ma, B.; Si, W.; Ren, J.; Wang, H.-N.; Liu, F.-W.; Li, J. Exploration of Road Temperature-Adjustment Material in Asphalt Mixture. Road Mater. Pavement Des. 2014, 15, 659–673. [Google Scholar] [CrossRef]
- Kuznik, F.; David, D.; Johannes, K.; Roux, J.-J. A Review on Phase Change Materials Integrated in Building Walls. Renew. Sustain. Energy Rev. 2011, 15, 379–391. [Google Scholar] [CrossRef]
- Fan, Y.; Zhang, X.; Wang, X.; Li, J.; Zhu, Q. Super-Cooling Prevention of Microencapsulated Phase Change Material. Thermochim. Acta 2004, 413, 1–6. [Google Scholar] [CrossRef]
- ASTM D5; Standard Test Method for Penetration of Bituminous Materials. ASTM International: West Conshohocken, PA, USA, 2013.
- ASTM D36; Standard Test Method for Softening Point of Bitumen (Ring-and-Ball Apparatus). ASTM International: West Conshohocken, PA, USA, 2012.
- ASTM D4402; Standard Test Method for Viscosity Determination of Asphalt at Elevated Temperatures Using a Rotational Viscometer. ASTM International: West Conshohocken, PA, USA, 2015.
- ASTM D113; Standard Test Method for Ductility of Asphalt Materials. ASTM International: West Conshohocken, PA, USA, 2017.
- Guo, M.; Yin, X.; Du, X.; Tan, Y. Effect of aging, temperature and relative humidity on adhesion between asphalt binder and mineral aggregate. Constr. Build. Mater. 2023, 363, 129775. [Google Scholar] [CrossRef]
- Guo, M.; Zhang, S.; Du, X.; Tan, Y.; Luo, D. Study on effect of various rejuvenators on virgin asphalt binders suffering various aging conditions and the unified evaluation index. Constr. Build. Mater. 2023, 397, 132331. [Google Scholar] [CrossRef]
- Wang, G.; Cao, D.; Wang, Z.; Qiu, W.; Zhang, S. Comparative Study on Rheological Properties of Asphalt Binder Modified with High Content Crumb Rubber. J. Highw. Transp. Res. 2022, 39, 7–14. [Google Scholar]
- Sui, C.; Farrar, M.J.; Tuminello, W.H.; Turner, T.F. New technique for measuring low temperature properties of asphalt binders with small amounts of material. Transp. Res. Rec. J. Transp. Res. Board 2010, 2179, 23–28. [Google Scholar] [CrossRef]
- Bai, G.; Fan, Q.; Song, X. Preparation and characterization of pavement materials with phase-change temperature modulation. J. Therm. Anal. Calorim. 2019, 136, 2327–2331. [Google Scholar] [CrossRef]
- Jin, J.; Xiao, T.; Zheng, J.; Liu, R.; Qian, G.; Xie, J.; Wei, H.; Zhang, J.; Liu, H. Preparation and thermal properties of encapsulated ceramsite-supported phase change materials used in asphalt pavements. Constr. Build. Mater. 2018, 190, 235–245. [Google Scholar] [CrossRef]















| Index | Unit | Result | Specification Requirement | Standard |
|---|---|---|---|---|
| Penetration (25 °C) | 0.1 mm | 57 | ≥50 | ASTM D5 [27] |
| Softening point | °C | 84 | ≥65 | ASTM D36 [28] |
| Rotary viscosity (135 °C) | Pa·s | 2.725 | ≤3.0 | ASTM D4402 [29] |
| Ductility (5 °C) | cm | 27 | ≥20 | ASTM D113 [30] |
| Content (%) | High-Temperature Extreme (°C) | Heating Rate Q1 (°C/min) | Cooling Rate Q2 (°C/min) |
|---|---|---|---|
| 0 | 64.7 | 1.588 | 0.167 |
| 10 | 63.3 | 1.532 | 0.158 |
| 20 | 61.7 | 1.468 | 0.151 |
| 30 | 61.1 | 1.444 | 0.150 |
| 40 | 60.5 | 1.420 | 0.146 |
| Content (%) | Low-Temperature Extreme (°C) | Cooling Rate Q2 (°C/min) | Heating Rate Q1 (°C/min) |
|---|---|---|---|
| 0 | −19.9 | 0.363 | 0.304 |
| 10 | −19.5 | 0.359 | 0.288 |
| 20 | −18.7 | 0.352 | 0.282 |
| 30 | −17.9 | 0.345 | 0.279 |
| 40 | −17.4 | 0.340 | 0.274 |
Disclaimer/Publisher’s Note: The statements, opinions and data contained in all publications are solely those of the individual author(s) and contributor(s) and not of MDPI and/or the editor(s). MDPI and/or the editor(s) disclaim responsibility for any injury to people or property resulting from any ideas, methods, instructions or products referred to in the content. |
© 2023 by the authors. Licensee MDPI, Basel, Switzerland. This article is an open access article distributed under the terms and conditions of the Creative Commons Attribution (CC BY) license (https://creativecommons.org/licenses/by/4.0/).
Share and Cite
Huo, D.; Hou, D.; Zhang, S.; Gao, W.; Yu, C.; Jia, L.; Chang, B.; Zhang, R.; Guo, M. Study of Pavement Performance and Temperature Regulation Capacity of Asphalt Binders Modified with Dual-Phase-Change Materials. Buildings 2023, 13, 2702. https://doi.org/10.3390/buildings13112702
Huo D, Hou D, Zhang S, Gao W, Yu C, Jia L, Chang B, Zhang R, Guo M. Study of Pavement Performance and Temperature Regulation Capacity of Asphalt Binders Modified with Dual-Phase-Change Materials. Buildings. 2023; 13(11):2702. https://doi.org/10.3390/buildings13112702
Chicago/Turabian StyleHuo, Donghui, Debao Hou, Shuaixiang Zhang, Wei Gao, Changchun Yu, Ling Jia, Baolin Chang, Rui Zhang, and Meng Guo. 2023. "Study of Pavement Performance and Temperature Regulation Capacity of Asphalt Binders Modified with Dual-Phase-Change Materials" Buildings 13, no. 11: 2702. https://doi.org/10.3390/buildings13112702
APA StyleHuo, D., Hou, D., Zhang, S., Gao, W., Yu, C., Jia, L., Chang, B., Zhang, R., & Guo, M. (2023). Study of Pavement Performance and Temperature Regulation Capacity of Asphalt Binders Modified with Dual-Phase-Change Materials. Buildings, 13(11), 2702. https://doi.org/10.3390/buildings13112702

