Bond Performance of Hook-End Steel Fiber to the Mortars Cured for 360 Days
Abstract
:1. Introduction
2. Experimental Work
2.1. Materials and Mixture Proportions
2.2. Sample Design and Preparation
2.3. Test Method
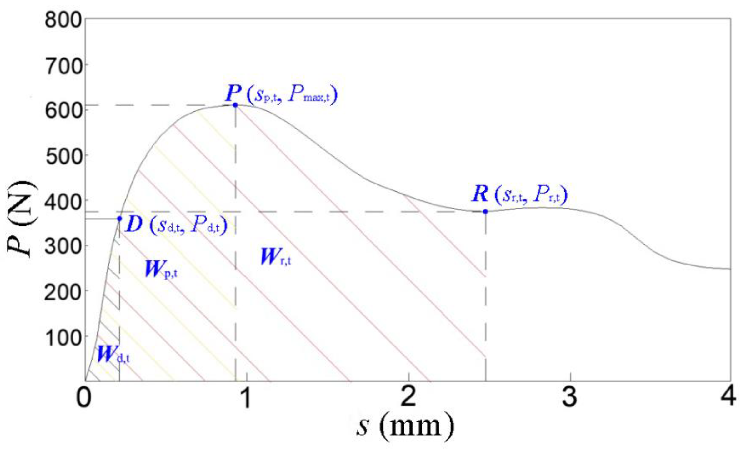
2.4. The Pull-Out Evaluation Method
3. Test Results and Analyses
3.1. Strength Development of Mortar
3.2. Characteristics on PL-S Curves of Steel Fiber at Different Curing Ages
3.3. Bond Strength Development of Steel Fiber in Mortar
3.4. The Strength Ratios Development of Steel Fiber in Mortar
3.5. Energy Dissipation in the Process of the Pull-Out Test
3.6. Relationship of Bond Slips and Mortar Strength
4. Conclusions
Author Contributions
Funding
Data Availability Statement
Conflicts of Interest
References
- Abdallah, S.; Fan, M.; Rees, D. Bonding mechanisms and strength of steel fiber–reinforced cementitious composites: Overview. J. Mater. Civil. Eng. 2018, 3, 04018001. [Google Scholar] [CrossRef]
- Abdallah, S.; Fan, M.; Zhou, X.; Geyt, S. Anchorage effects of various steel fibre architectures for concrete reinforcement. Int. J. Concr. Struct. Mater. 2016, 3, 325–335. [Google Scholar]
- Cao, Y.Y.; Yu, Q.L. Effect of inclination angle on hooked end steel fiber pullout behavior in ultra-high performance concrete. Compos. Struct. 2018, 201, 151–160. [Google Scholar] [CrossRef]
- Zhang, D.; Shahin, M.; Yang, Y.; Liu, H.; Cheng, L. Effect of microbially induced calcite precipitation treatment on the bonding properties of steel fiber in ultra-high performance concrete. J. Build. Eng. 2022, 50, 104132. [Google Scholar] [CrossRef]
- Li, Z.; Zhu, H.; Du, C.; Gao, D.; Yuan, J.; Wen, C. Experimental study on cracking behavior of steel fiber-reinforced concrete beams with BFRP bars under repeated loading. Compos. Struct. 2021, 267, 113878. [Google Scholar] [CrossRef]
- CECS 13:2009; Standard Test Methods for Fiber Reinforced Concrete. China Planning Press: Beijing, China, 2009.
- Wille, K.; Naaman, A. Pullout behavior of high-strength steel fibers embedded in ultra-high-performance concrete. ACI Mater. J. 2012, 4, 479–488. [Google Scholar]
- Ding, X.; Zhao, M.; Li, C.; Li, J.; Zhao, X. A multi-index synthetical evaluation of pull-out behaviors of hooked-end steel fiber embedded in mortars. Constr. Build. Mater. 2021, 276, 122–219. [Google Scholar] [CrossRef]
- Ding, X.; Geng, H.; Zhao, M.; Chen, Z.; Li, J. Synergistic bond properties of different deformed steel fibers embedded in mortars wet-sieved from self-compacting SFRC. Appl. Sci. 2021, 11, 10144. [Google Scholar] [CrossRef]
- Zhao, S.; Ding, X.; Zhao, M.; Li, C.; Pei, S. Experimental study on tensile strength development of concrete with manufactured sand. Constr. Build. Mater. 2017, 138, 247–253. [Google Scholar] [CrossRef]
- Ding, X.; Li, C.; Xu, Y.; Li, F.; Zhao, S. Experimental study on long-term compressive strength of concrete with manufactured sand. Constr. Build. Mater. 2016, 108, 67–73. [Google Scholar] [CrossRef]
- Jin, R.Y.; Qian, C.; Soboyejo, A. Non-linear and mixed regression models in predicting sustainable concrete strength. Constr. Build. Mater. 2018, 170, 142–152. [Google Scholar] [CrossRef]
- Li, C.; Wang, F.; Deng, X.; Li, Y.; Zhao, S. Testing and prediction of the strength development of recycled-aggregate concrete with large particle natural aggregate. Materials 2019, 12, 1891. [Google Scholar] [CrossRef] [PubMed] [Green Version]
- Li, H.; Zhao, D.; Liebscher, M.; Yin, B.; Yang, J.; Kaliskec, M.; Mechtcherine, V. An experimental and numerical study on the age depended bond-slip behavior between nano-silica modified carbon fibers and cementitious matrices. Cem. Concr. Compos. 2022, 128, 104416. [Google Scholar] [CrossRef]
- Zhao, N.; Qing, L.; Yang, Z.; Mu, R. Experimental and numerical studies on fiber pull-out of steel fiber reinforced cement mortar at different ages. Bulletin. Chin. Ceram. Soci. 2021, 7, 2165–2173. [Google Scholar]
- Krahl, P.; Gidrão, G.; Neto, R.; Carrazedo, R. Effect of curing age on pullout behavior of aligned and inclined steel fibers embedded in UHPFRC. Constr. Build. Mater. 2021, 266, 121188. [Google Scholar] [CrossRef]
- Wu, Z.; Shi, C.; Khayat, K. Influence of silica fume content on microstructure development and bond to steel fiber in ultra-high strength cement-based materials (UHSC). Cem. Concr. Comp. 2016, 71, 97–109. [Google Scholar] [CrossRef]
- Gray, R.; Johnston, C. The effect of matrix composition on fiber/matrix interfacial bond shear strength in fiber-reinforced mortar. Cem. Concr. Res. 1984, 14, 285–296. [Google Scholar] [CrossRef]
- Lex, H.; Moon, D.; Kim, D. Effects of ageing and storage conditions on the interfacial bond strength of steel fibers in mortars. Constr. Build. Mater. 2018, 170, 129–141. [Google Scholar]
- Jewell, R.; Mahboub, K.; Robl, T.; Bathke, A. Interfacial bond between reinforcing fibers and calcium sulfoaluminate cements: Fiber pullout characteristics. ACI Mater. J. 2015, 112, 39–48. [Google Scholar] [CrossRef]
- Deng, Y.; Zhang, Z.; Shi, C.; Wu, Z.; Zhang, C. Steel fiber-matrix interfacial bond in ultra-high performance concrete: A review. Engineering 2022. [Google Scholar] [CrossRef]
- GB175-2007; Common Portland cement. China Building Industry Press: Beijing, China, 2007.
- GB/T 51003-2014; Technical Code for Application of Mineral Admixture. China Building Industry Press: Beijing, China, 2014.
- GB/T17671-1999; Method of testing cements-Determination of strength: The state bureau of Quality technical supervision. China Standard Press: Beijing, China, 1999.
- BSEN196-1: 2005; Methods of testing cement-Part 1: Determination of strength. British Standards Institution: London, UK, 2005.
- Monaco, M.; Aurilio, M.; Tafuro, A.; Guadagnuolo, M. Sustainable mortars for application in the cultural heritage field. Materials 2021, 14, 598. [Google Scholar] [CrossRef]
- Mohammed, A.; Rafiq, S.; Sihag, P.; Kurda, R.; Mahmood, W.; Ghafor, K.; Sarwar, W. ANN, M5P-tree and nonlinear regression approaches with statistical evaluations to predict the compressive strength of cement-based mortar modified with fly ash. J. Mater. Res. Technol. 2020, 9, 12416–12427. [Google Scholar] [CrossRef]
- Li, F.; Liu, C.; Pan, L.; Li, C. Machine-Made Sand Concrete, 1st ed.; China Water and Power Press: Beijing, China, 2014; pp. 61–82. [Google Scholar]
- Duan, F.; Zhang, H.; Niu, D.; Yuan, C. Study of the compressive strength change with age of ordinary concrete and mineral admixture concrete. Concrete 2011, 4, 58–60. [Google Scholar]
- Chen, H.; Zhang, D.; Zhu, J.; Wei, J. Experimental research on the high performance concrete with silica fume-slag composite. J. Huazhong Univ. Sci. Tech. 2005, 4, 90–92. [Google Scholar]
- Francois, D.L. Concrete Mixture Proportioning: A Scientific Approach; CRC Press: Boca Raton, FL, USA, 1999. [Google Scholar]
- Ding, X.; Zhao, M.; Li, H.; Zhang, Y.; Liu, Y.; Zhao, S. Bond behaviors of steel fiber in mortar affected by inclination angle and fiber spacings. Materials 2022, 15, 6024. [Google Scholar]
- Arulmoly, B.; Konthesingha, C.; Nanayakkar, A. Performance evaluation of cement mortar produced with manufactured sand and offshore sand as alternatives for river sand. Constr. Build. Mater. 2021, 297, 123784. [Google Scholar] [CrossRef]
- Ren, Q.; Tao, Y.; Jiao, D.; Jiang, Z.; Ye, G.; Schutter, G. Plastic viscosity of cement mortar with manufactured sand as influenced by geometric features and particle size. Cem. Concr. Comp. 2021, 122, 104163. [Google Scholar] [CrossRef]
- Abu-Lebdeh, T.; Hamoush, S.; Heard, W.; Zornig, B. Effect of matrix strength on pullout behavior of steel fiber reinforced very-high strength concrete composites. Constr. Build. Mater. 2011, 25, 39–46. [Google Scholar] [CrossRef]
- Ding, X.; Lu, Y.; Han, B.; Zhao, M.; Chen, M.; Zhao, S. Experimental study on tensile properties of high-performance concrete with machine-made sand and fly-ash. In Proceedings of the International Conference on Architectural Engineering and New Materials, Guangzhou, China, 25 July 2015; pp. 164–172. [Google Scholar]
















| No. | M40 | M31 | M24 | |
|---|---|---|---|---|
| mixture proportion | water to binder ratio w/b | 0.4 | 0.31 | 0.24 |
| water (kg/m3) | 307.6 | 277.9 | 239.7 | |
| cement (kg/m3) | 461.3 | 627.6 | 699.3 | |
| fly ash (kg/m3) | 307.6 | 269.0 | -- | |
| GGBS (kg/m3) | -- | -- | 199.8 | |
| silica fume (kg/m3) | -- | -- | 99.9 | |
| manufactured sand (kg/m3) | 984 | 1110.4 | 1010.8 | |
| water reducer (kg/m3) | 4.08 | 8.06 | 23.00 | |
| micro slump flow (mm) | 250 | 250 | 245 | |
| No. | Item. | Curing Age t (days) | ||||||
|---|---|---|---|---|---|---|---|---|
| 7 | 28 | 60 | 90 | 180 | 270 | 360 | ||
| M40 | fcm,t (MPa) | 23.58 | 41.38 | 56.81 | 58.08 | 71.39 | 74.43 | 75.45 |
| COV (%) | 4.32 | 3.34 | 2.14 | 4.91 | 1.27 | 5.41 | 6.13 | |
| ftm,t (MPa) | 6.37 | 9.91 | 10.31 | 10.47 | 10.54 | 10.98 | 11.32 | |
| COV (%) | 2.3 | 2.7 | 3.3 | 3.6 | 5.1 | 6.3 | 2.4 | |
| M31 | fcm,t (MPa) | 45.67 | 69.77 | 81.19 | 88.69 | 98.04 | 98.66 | 106.89 |
| COV (%) | 1.64 | 4.01 | 3.94 | 1.83 | 5.12 | 3.72 | 2.81 | |
| ftm,t (MPa) | 10.20 | 11.00 | 11.02 | 11.02 | 11.02 | 12.59 | 12.61 | |
| COV (%) | 0. 54 | 3.73 | 0.90 | 12.82 | 3.22 | 4.94 | 1.83 | |
| M24 | fcm,t (MPa) | 78.58 | 102.53 | 105.56 | 115.48 | 117.96 | 120.79 | 125.45 |
| COV (%) | 0.031 | 0.041 | 0.025 | 0.056 | 0.028 | 0.074 | 0.048 | |
| ftm,t (MPa) | 13.72 | 12.98 | 13.95 | 15.55 | 15.3 | 15.44 | 15.41 | |
| COV (%) | 1.84 | 4.91 | 4.74 | 4.24 | 4.11 | 7.80 | 3.72 | |
| Item | Curing Age (days) | ||||||||
|---|---|---|---|---|---|---|---|---|---|
| 7 | 28 | 60 | 90 | 180 | 270 | 360 | |||
| Key point of M40 | D | Pd,t (N) | 161.9 | 232.1 | 322.5 | 280.2 | 328.5 | 400.0 | 361.1 |
| sd,t (mm) | 0.13 | 0.15 | 0.21 | 0.26 | 0.26 | 0.32 | 0.21 | ||
| P | Pmax,t (N) | 373.5 | 547.4 | 606.9 | 567.0 | 583.2 | 584.9 | 618.2 | |
| sp,t (mm) | 1.25 | 1.13 | 1.05 | 0.88 | 0.99 | 0.83 | 0.90 | ||
| R | Pr,t (N) | 240.8 | 339.8 | 359.1 | 320.5 | 305.9 | 355.6 | 377.4 | |
| sr,t (mm) | 3.10 | 2.60 | 3.00 | 2.40 | 2.90 | 2.33 | 2.44 | ||
| Key point of M31 | D | Pd,t (N) | 254.2 | 504.7 | 533.2 | 520.1 | 563.5 | 597.7 | 513.5 |
| sd,t (mm) | 0.16 | 0.27 | 0.21 | 0.26 | 0.25 | 0.28 | 0.33 | ||
| P | Pmax,t (N) | 563.1 | 782.4 | 754.9 | 778.8 | 801.5 | 845.2 | 853.5 | |
| sp,t (mm) | 1.11 | 0.97 | 0.61 | 0.81 | 0.64 | 0.67 | 0.75 | ||
| R | Pr,t (N) | 345.1 | 444.1 | 357.0 | 500.5 | 451.0 | 505.1 | 460.2 | |
| sr,t (mm) | 3.00 | 3.00 | 2.70 | 2.20 | 2.30 | 2.46 | 2.21 | ||
| Key point of M24 | D | Pd,t (N) | 594.6 | 541.2 | 480.9 | 686.1 | 625.9 | 589.5 | 643.6 |
| sd,t (mm) | 0.33 | 0.18 | 0.39 | 0.30 | 0.30 | 0.20 | 0.17 | ||
| P | Pmax,t (N) | 773.6 | 795.4 | 863.4 | 883.1 | 875.2 | 830.3 | 898.1 | |
| sp,t (mm) | 0.77 | 0.60 | 0.93 | 0.63 | 0.66 | 0.61 | 0.53 | ||
| R | Pr,t (N) | 580.1 | 573.7 | 670.9 | 650.6 | 533.2 | 563.9 | 661.8 | |
| sr,t (mm) | 2.00 | 1.98 | 1.99 | 1.90 | 1.93 | 2.15 | 1.71 | ||
| No. | τmax,t | τd,t | τres,t | ||||||
|---|---|---|---|---|---|---|---|---|---|
| M40 | M31 | M24 | M40 | M31 | M24 | M40 | M31 | M24 | |
| Average ratios of test to the calculated values | 0.950 | 1.044 | 0.992 | 0.918 | 1.055 | 1.053 | 0.979 | 0.992 | 1.073 |
| Standard deviation | 0.090 | 0.060 | 0.042 | 0.109 | 0.145 | 0.129 | 0.179 | 0.121 | 0.120 |
| Variation coefficients | 0.095 | 0.057 | 0.042 | 0.119 | 0.138 | 0.123 | 0.183 | 0.122 | 0.112 |
| No. | ude,t | ures,t | ||||
|---|---|---|---|---|---|---|
| M40 | M31 | M24 | M40 | M31 | M24 | |
| Average ratios of calculated to tested values | 1.041 | 1.002 | 1.006 | 1.002 | 1.085 | 0.933 |
| Standard deviation | 0.110 | 0.120 | 0.132 | 0.096 | 0.114 | 0.079 |
| Variation coefficients | 0.106 | 0.119 | 0.131 | 0.096 | 0.105 | 0.085 |
| Item | Curing Age (days) | ||||||||
|---|---|---|---|---|---|---|---|---|---|
| 7 | 28 | 60 | 90 | 180 | 270 | 360 | |||
| M40 | Works (N.mm) | Wd | 10 | 18 | 37 | 24 | 45 | 66 | 34 |
| Wp | 365 | 464 | 468 | 359 | 416 | 339 | 411 | ||
| Wr | 946 | 1119 | 1418 | 1037 | 1283 | 1017 | 1124 | ||
| Energy ratios (%) | Rd | 1.1 | 1.6 | 2.6 | 2.3 | 3.5 | 6.5 | 3 | |
| Rdp | 37.5 | 39.9 | 30.4 | 32.3 | 28.9 | 26.8 | 33.5 | ||
| Rpr | 61.4 | 58.5 | 67 | 65.4 | 67.6 | 66.7 | 63.5 | ||
| M31 | Works(N.mm) | Wd | 19 | 70 | 59 | 75 | 71 | 73 | 74 |
| Wp | 462 | 562 | 338 | 460 | 358 | 379 | 387 | ||
| Wr | 1308 | 1804 | 1469 | 1358 | 1417 | 1535 | 1388 | ||
| Energy ratios (%) | Rd | 1.5 | 3.9 | 4 | 5.5 | 5 | 4.8 | 5.3 | |
| Rdp | 33.9 | 27.3 | 19 | 28.4 | 20.3 | 19.9 | 22.6 | ||
| Rpr | 64.6 | 68.8 | 77 | 66.1 | 74.7 | 75.3 | 72.1 | ||
| M24 | Works(N.mm) | Wd | 105 | 55 | 93 | 92 | 85 | 62 | 54 |
| Wp | 421 | 360 | 490 | 364 | 372 | 377 | 360 | ||
| Wr | 1243 | 1318 | 1316 | 1185 | 1281 | 1446 | 1229 | ||
| Energy ratios (%) | Rd | 8.4 | 4.2 | 7.1 | 7.8 | 6.6 | 4.3 | 4.4 | |
| Rdp | 25.4 | 23.1 | 30.2 | 23 | 22.4 | 21.8 | 24.9 | ||
| Rpr | 66.1 | 72.7 | 62.8 | 69.3 | 71 | 73.9 | 70.7 | ||
Publisher’s Note: MDPI stays neutral with regard to jurisdictional claims in published maps and institutional affiliations. |
© 2022 by the authors. Licensee MDPI, Basel, Switzerland. This article is an open access article distributed under the terms and conditions of the Creative Commons Attribution (CC BY) license (https://creativecommons.org/licenses/by/4.0/).
Share and Cite
Ding, X.; Li, C.; Zhao, M.; Wang, H.; Dang, J.; Zhao, S. Bond Performance of Hook-End Steel Fiber to the Mortars Cured for 360 Days. Buildings 2022, 12, 1424. https://doi.org/10.3390/buildings12091424
Ding X, Li C, Zhao M, Wang H, Dang J, Zhao S. Bond Performance of Hook-End Steel Fiber to the Mortars Cured for 360 Days. Buildings. 2022; 12(9):1424. https://doi.org/10.3390/buildings12091424
Chicago/Turabian StyleDing, Xinxin, Changyong Li, Mingshuang Zhao, Hui Wang, Juntao Dang, and Shunbo Zhao. 2022. "Bond Performance of Hook-End Steel Fiber to the Mortars Cured for 360 Days" Buildings 12, no. 9: 1424. https://doi.org/10.3390/buildings12091424
APA StyleDing, X., Li, C., Zhao, M., Wang, H., Dang, J., & Zhao, S. (2022). Bond Performance of Hook-End Steel Fiber to the Mortars Cured for 360 Days. Buildings, 12(9), 1424. https://doi.org/10.3390/buildings12091424

