Analysis of Behavioral Strategies of Construction Safety Subjects Based on the Evolutionary Game Theory
Abstract
:1. Introduction
2. Literature Review
2.1. The Characteristics of Safety Behaviors of the Main Contractor and Construction Workers and Their Game Relationship
2.2. Game Theory in the Study of Construction Safety Management
3. Methodology
3.1. Evolutionary Game Theory
3.2. Model Hypothesis
3.3. Relevant Parameters
3.4. Construction of the Evolutionary Game Model
- (1)
- The game strategy of the construction workers is:
- (2)
- The game strategy of the main contractor is:
3.5. Evolutionary Equilibrium and Stability Analysis
4. Results and Discussion
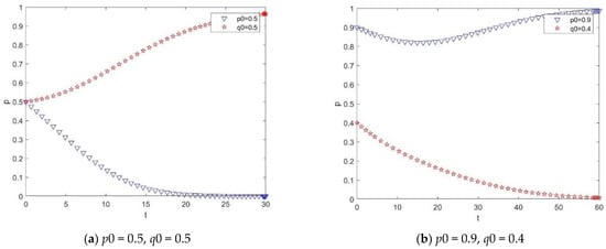
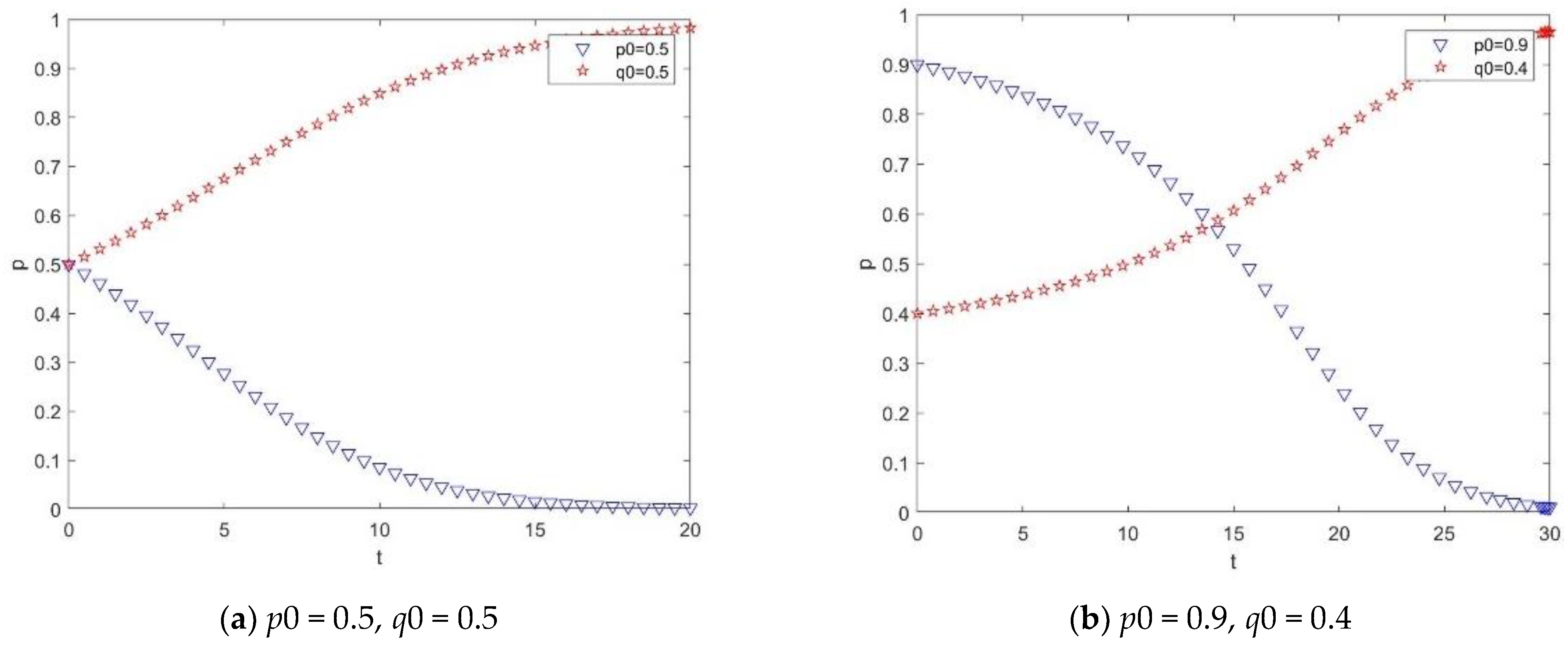
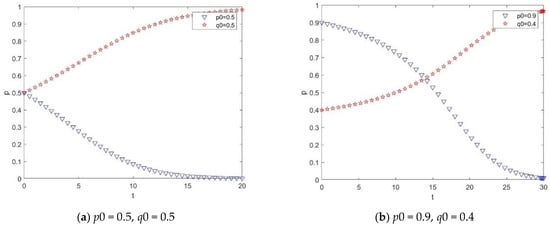
4.1. The Evolution of Safety Behavior Strategies for Construction Workers
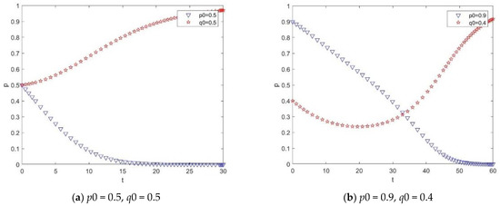
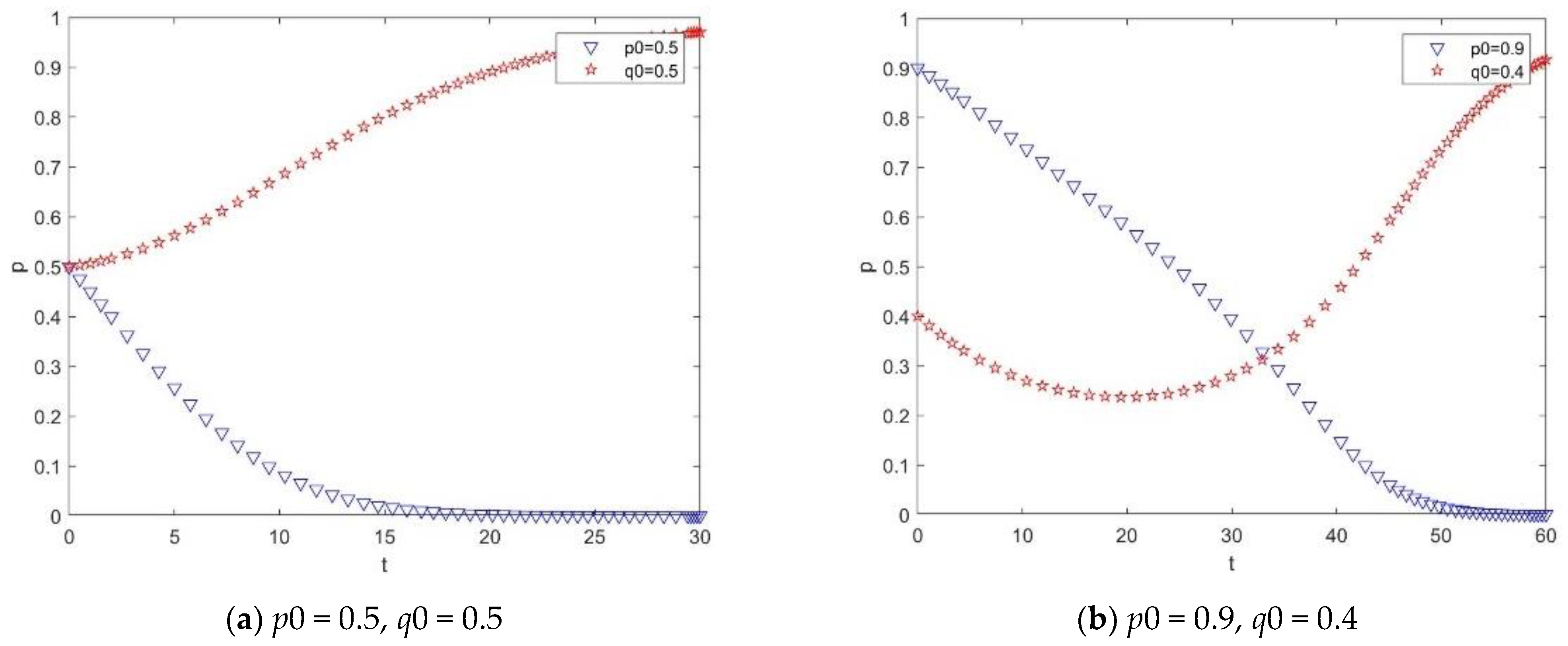
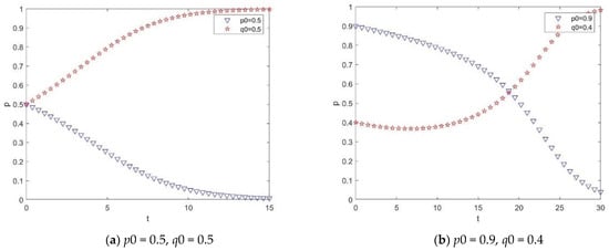
4.2. Analysis of the Evolution of Safety Behavior Strategies of the Main Contractor
5. Conclusions and Implications
Author Contributions
Funding
Institutional Review Board Statement
Informed Consent Statement
Data Availability Statement
Acknowledgments
Conflicts of Interest
References
- Vinodkumar, M.N.; Bhasi, M. Safety management practices and safety behaviour: Assessing the mediating role of safety knowledge and motivation. Accid. Anal. Prev. 2010, 42, 2082–2093. [Google Scholar] [CrossRef] [PubMed]
- Rodrigues, F.; Baptista, J.S.; Pinto, D. BIM Approach in Construction Safety—A Case Study on Preventing Falls from Height. Buildings 2022, 12, 73. [Google Scholar] [CrossRef]
- Ibrahim, A.; Nnaji, C.; Shakouri, M. Influence of Sociodemographic Factors on Construction Fieldworkers’ Safety Risk Assessments. Sustainability 2022, 14, 111. [Google Scholar] [CrossRef]
- General Office of the Ministry of Housing and Urban-Rural Development Notice on Production Safety Accidents in Housing and Municipal Construction in 2019. Available online: https://www.mohurd.gov.cn/ (accessed on 24 February 2022).
- Su, W.; Gao, X.; Jiang, Y.; Li, J. Developing a Construction Safety Standard System to Enhance Safety Supervision Efficiency in China: A Theoretical Simulation of the Evolutionary Game Process. Sustainability 2021, 13, 13364. [Google Scholar] [CrossRef]
- Hallowell, M. Safety risk perception in construction companies in the Pacific Northwest of the USA. Constr. Manag. Econ. 2010, 28, 403–413. [Google Scholar] [CrossRef]
- Wu, C.; Fang, D.; Li, N. Roles of owners’ leadership in construction safety: The case of high-speed railway construction projects in China. Int. J. Proj. Manag. 2015, 33, 1665–1679. [Google Scholar] [CrossRef]
- Gambatese, J.A. Owner Involvement in Construction Site Safety. In Proceedings of the Construction Congress VI, Orlando, FL, USA, 20–22 February 2000. [Google Scholar]
- Hinze, J. Construction Safety; Prentice-Hall, Inc.: Upper Saddle River, NJ, USA, 2006. [Google Scholar]
- He, B.; Zhang, S.; Zha, J. On the Allocation of Liabilities for Safety among Construction Contract Partie. China Civ. Eng. J. 2004, 37, 101–105. [Google Scholar] [CrossRef]
- Math. Graphics. Programming. Available online: https://www.mathworks.com/products/matlab.html (accessed on 21 January 2022).
- Guo, H.; Yu, Y.; Skitmore, M. Visualization technology-based construction safety management: A review. Autom. Constr. 2017, 73, 135–144. [Google Scholar] [CrossRef]
- Zhang, S.; Sulankivi, K.; Kiviniemi, M.; Romo, I.; Eastman, C.M.; Teizer, J. BIM-based fall hazard identification and prevention in construction safety planning. Saf. Sci. 2015, 72, 31–45. [Google Scholar] [CrossRef]
- Asah-Kissiedu, M.; Manu, P.; Booth, C.A.; Mahamadu, A.-M.; Agyekum, K. An Integrated Safety, Health and Environmental Management Capability Maturity Model for Construction Organisations: A Case Study in Ghana. Buildings 2021, 11, 645. [Google Scholar] [CrossRef]
- Chan, D.W.M.; Cristofaro, M.; Nassereddine, H.; Yiu, N.S.N.; Sarvari, H. Perceptions of Safety Climate in Construction Projects between Workers and Managers/Supervisors in the Developing Country of Iran. Sustainability 2021, 13, 10398. [Google Scholar] [CrossRef]
- Wang, X.; Liu, Y.; Qiu, K.; Shen, F. Research on evolutionary game for construction workers participation in safety management. China Saf. Sci. J. 2016, 26, 105–154. [Google Scholar]
- Seo, H.-C.; Lee, Y.-S.; Kim, J.-J.; Jee, N.-Y. Analyzing safety behaviors of temporary construction workers using structural equation modeling. Safety Science 2015, 77, 160–168. [Google Scholar] [CrossRef]
- Hsu, W.-L.; Chen, Y.-S.; Shiau, Y.-C.; Liu, H.-L.; Chern, T.-Y. Curriculum Design in Construction Engineering Departments for Colleges in Taiwan. Educ. Sci. 2019, 9, 65. [Google Scholar] [CrossRef] [Green Version]
- Liu, S.; Mei, Q.; Zhang, Z. On the Evolution of Workers’ Safety Compliance Behavior in Small and Medium-Size Enterprises. J. Syst. Manag. 2012, 21, 275–282. (In Chinese) [Google Scholar]
- Notice on the Results of the Investigation and Treatment of the “12–16” Fatal Object Strike Accident at Nanjing BoCai Construction Engineering Corporation. Available online: https://nanjing.gov.cn/index.html (accessed on 24 February 2022).
- Ma, Y. Psychological analysis and control countermeasures of intentional unsafe behavior of coal mine employees. Shenhua Technol. 2010, 8, 10–13+29. (In Chinese) [Google Scholar]
- Wang, J.; Qin, Y.; Zhou, J. Incentive policies for prefabrication implementation of real estate enterprises: An evolutionary game theory-based analysis. Energy Policy 2021, 156, 112434. [Google Scholar] [CrossRef]
- Coninx, K.; Deconinck, G.; Holvoet, T. Who gets my flex? An evolutionary game theory analysis of flexibility market dynamics. Appl. Energy 2018, 218, 104–113. [Google Scholar] [CrossRef]
- Sun, Y. Research on Self-Interest Safety Management Mechanism of China’s Construction Firms. Master’s Thesis, Dongbei University of Finance and Economics, Dalian, China, 2005. Available online: https://kns.cnki.net/kcms/detail/detail.aspx?dbcode=CMFD&dbname=CMFD2007&filename=2006134105.nh&uniplatform=NZKPT&v=WY-nCivAV_VGbiNu9VoBTPoONa58rbY-s8Py86DY1zDaGNhnLThplRDc9vuADeWW (accessed on 25 February 2022).
- Chen, B. Study Government Regulation of Construction Safety Research and Countermeasure Analysis. Master’s Thesis, Zhejiang University, Hangzhou, China, 2009. Available online: https://kns.cnki.net/kcms/detail/detail.aspx?dbcode=CMFD&dbname=CMFD2009&filename=2009096513.nh&uniplatform=NZKPT&v=MA68ZtEs6FA3a7kGJ38i3jL9TsTAhnyNSJT-ftulRl67QEmxoQ2IV_a00tyGDcOX (accessed on 25 February 2022).
- Xiao, X.; Sun, Y. The Game Analysis of China’s Construction Safety Regulation. Rev. Ind. Econ. 2009, 2, 50–63. [Google Scholar]
- Zeng, X.; Chen, J. Game analysis and policy commendation of the supervision on the construction safety about construction enter-prises. Constr. Econ. 2013, 5, 93–97. [Google Scholar]
- Chen, Y.; Wang, J.; Huang, X. Stability Analysis of Tunnel Construction Safety Supervision Strategy Based on SD Model. J. Syst. Sci. 2021, 29, 127–131. [Google Scholar]
- Feng, Q.; Shi, X.-J.; Xu, W. Power Rent-Seeking Governance in Safety Supervision System of Projects: Based on Evolutionary Game Model among the Subjects. Chin. J. Manag. Sci. 2015, 23, 9–14. [Google Scholar]
- Cheng, M. Research on Construction Safety Supervision Based on Evolutionary Game Theory. Oper. Res. Manag. Sci. 2011, 6, 210–215. [Google Scholar]
- Chen, Y.; Lyu, Y.; Chai, F.; Wang, X. Evolutionary Game Analysis of Unsafe Behavior of Construction Workers from the Perspective of Dynamic Incentives. Saf. Environ. Eng. 2020, 27, 197–203. [Google Scholar] [CrossRef]
- Ma, G.; Wu, Z.; Jia, J.; Shang, S. Safety risk factors comprehensive analysis for construction project: Combined cascading effect and machine learning approach. Saf. Sci. 2021, 143, 105410. [Google Scholar] [CrossRef]
- Yi, X.; Wu, J. Research on Safety Management of Construction Engineering Personnel under “Big Data + Artificial Intelligence”. Open J. Bus. Manag. 2020, 8, 1059–1075. [Google Scholar] [CrossRef] [Green Version]
- Dasandara, S.P.M.; Dissanayake, P. Limiting reasons for use of personal protective equipment among construction workers: Case studies in Sri Lanka. Saf. Sci. 2021, 143, 105440. [Google Scholar] [CrossRef]
- Chen, Y.; Zeng, Q.; Zheng, X.; Shao, B.; Jin, L. Safety supervision of tower crane operation on construction sites: An evolutionary game analysis. Saf. Sci. 2021, 105578. [Google Scholar] [CrossRef]
- Ni, S.; Zou, S.; Chen, J. Evolutionary Game Model of Internal Threats to Nuclear Security in Spent Fuel Reprocessing Plants Based on RDEU Theory. Sustainability 2022, 14, 2163. [Google Scholar] [CrossRef]
- Huang, Q.; Wang, J.; Ye, M.; Zhao, S.; Si, X. A Study on the Incentive Policy of China’s Prefabricated Residential Buildings Based on Evolutionary Game Theory. Sustainability 2022, 14, 1926. [Google Scholar] [CrossRef]
- Zhu, C.; Fan, R.; Luo, M.; Zhang, Y.; Qin, M. Simulating policy interventions for different quota targets of renewable portfolio standard: A combination of evolutionary game and system dynamics approach. Sustain. Prod. Consum. 2022, 30, 1053–1069. [Google Scholar] [CrossRef]









| Parameter Symbols | Explanation of Parameters |
|---|---|
| A | Ultimate gain of the construction workers’ safe operation |
| B | Ultimate gain of the main contractor’s strict safety management |
| C1 | Management costs saved by the main contractor without strict safety management |
| D | Gain of non-compliant operation of construction workers |
| F | Financial penalties are given by the main contractor to construction workers with the non-compliant operation |
| K | Financial penalties to the main contractor for non-strict supervision |
| α | Probability of the accident |
| S1 | Losses to be borne by construction workers when the accident occurs |
| S2 | Losses to be borne by the main contractor when the accident occurs |
| t | Time |
| The Main Contractor | |||
|---|---|---|---|
| Y1 Strict Supervision (q) | Y2 Non-Strict Supervision (1 − q) | ||
| Construction workers | X1 Safe operation (p) | A B − C1 | A B − K |
| X2 Non-compliant operation (1 − p) | A + D − F, B − C1 | A + D − α(S1), B − K − α(S2) | |
| (p, q) | detj | Sign | trj | Sign | Stability |
|---|---|---|---|---|---|
| (0, 0) | (αS1 − D)*(−C1 + K + αS2) | + | (αS1 − D) + (F − C1 + K + αS2) | + | Unstable point |
| (0, 1) | (F − D)*−(−C1 + K + αS2) | + | (F − D) − (F − C1 + K + αS2) | − | ESS |
| (1, 0) | −(αS1 − D)*(K − C1) | + | −(αS1 − D) + (K − C1) | − | ESS |
| (1, 1) | −(F − D)* − (K − C1) | + | −(F − D) − (K − C1) | + | Unstable point |
Publisher’s Note: MDPI stays neutral with regard to jurisdictional claims in published maps and institutional affiliations. |
© 2022 by the authors. Licensee MDPI, Basel, Switzerland. This article is an open access article distributed under the terms and conditions of the Creative Commons Attribution (CC BY) license (https://creativecommons.org/licenses/by/4.0/).
Share and Cite
Wu, F.; Xu, H.; Sun, K.-S.; Hsu, W.-L. Analysis of Behavioral Strategies of Construction Safety Subjects Based on the Evolutionary Game Theory. Buildings 2022, 12, 313. https://doi.org/10.3390/buildings12030313
Wu F, Xu H, Sun K-S, Hsu W-L. Analysis of Behavioral Strategies of Construction Safety Subjects Based on the Evolutionary Game Theory. Buildings. 2022; 12(3):313. https://doi.org/10.3390/buildings12030313
Chicago/Turabian StyleWu, Fan, Haiying Xu, Kuo-Shun Sun, and Wei-Ling Hsu. 2022. "Analysis of Behavioral Strategies of Construction Safety Subjects Based on the Evolutionary Game Theory" Buildings 12, no. 3: 313. https://doi.org/10.3390/buildings12030313
APA StyleWu, F., Xu, H., Sun, K.-S., & Hsu, W.-L. (2022). Analysis of Behavioral Strategies of Construction Safety Subjects Based on the Evolutionary Game Theory. Buildings, 12(3), 313. https://doi.org/10.3390/buildings12030313

