Aftershock Fragility Assessment of Continuous RC Girder Bridges Using a Modified Damage Index
Abstract
1. Introduction
2. Modified Bracci Damage Index and FE-Based Quantification
2.1. Definition of the Modified Bracci Damage Index
2.2. FE-Based Quantification of MBDI
3. Deterioration Modeling Technique
3.1. Lumped Plasticity Model of Bridge Columns
3.2. Definition of Lumped Plasticity Model
3.2.1. Definition of Backbone Curve Parameters
- (1)
- Model the column using fiber-based elements.
- (2)
- Replace the elements outside the plastic zone (l2) with rigid beam elements and conduct a monotonic pushover analysis.
- (3)
- Determine the backbone curve parameters for the IMK model according to the reference pushover curve.
3.2.2. Determine Cyclic Deterioration Parameters
3.3. Validation of the Deterioration FE Modeling Technique
- (1)
- It is applicable to quantify damage under static cyclic loading and dynamic excitation.
- (2)
- The process is simple and convenient to implement because it avoids tedious update works of the backbone curve.
- (3)
- With sophisticated hysteretic models being used, it can consider all the critical deterioration behaviors of RC components compared to the bi-linear model employed by Bracci.
- (4)
- The residual monotonic pushover curve area after external loading is influenced by many factors, such as stiffness and strength deterioration, peak displacement, and residual displacement, meaning that the proposed methodology can reflect that all of these factors account for cumulative damage.
- (5)
- Considering such multiple factors, the Modified BDI has a stronger relationship with the residual seismic capacity, which facilitates assessing the AS fragility.
4. Case Study: Numerical Model, Earthquake Actions, and the Damage States
4.1. Description of Case Study Bridge
4.2. Strong Ground Motions
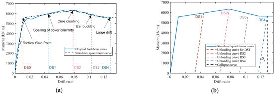
4.3. Definition of Damage States
5. Aftershock Fragility Assessment
5.1. The B2B-IDA Methodology for Aftershock Fragility Assessment
- (1)
- First, scale each mainshock incrementally to determine the intensity of the mainshock to induce the structure to reach exactly each specified damage state.
- (2)
- Second, perform a nonlinear time history analysis of the structure in each post-mainshock damage state subjected to mainshock-aftershock sequences (so-called “back-to-back” dynamic analyses). The mainshock serves as a means to induce the structure to sustain a certain level of post-mainshock damage, while the aftershock is scaled incrementally to calculate the AS fragility according to the EDP during the aftershock.
- (3)
- Last, determine the probability distribution of aftershock intensity values associated with each post-aftershock damage state conditioned on each post-mainshock damage state over all the 900 pairs of specific mainshock-aftershock sequences.
5.2. Aftershock Fragility Results
6. Validation of MBDI as EDP for Aftershock Fragility
7. Summary and Conclusions
- (1)
- The aftershock fragility results show that the higher the damage sustained during the mainshock, the greater the probability that the bridge will exhibit a more severe damage state when subjected to an aftershock of a given intensity.
- (2)
- The proposed damage index’s effectiveness is investigated in the second part of the study. The AS fragility results obtained via MBDI are compared with those via maximum drift ratio in terms of the ability to reduce the variation of residual capacities obtained using different mainshocks to induce a specific damage state but collapse by the same aftershock. The comparison shows a more robust relationship of MBDI with the residual capacity and therefore demonstrates that MBDI is a better damage index predictor of AS fragility.
- (3)
- The major contribution of the proposed damage measure methodology is the refinement of an effective predictor for evaluating cumulative damage for AS fragility assessment. It enables quantitative evaluation of the increased vulnerability of damaged RC bridges while significantly reducing the variation derived from using different mainshocks to simulate structural damage.
- (4)
- It is noted that the deterioration modeling technique proposed in this study fits well with the structures in which the plastic hinges generate only in finite and fixed positions under external loading. For those structures with uncertain plastic hinge zone, developing other applicable deterioration modeling methods is necessary. Whether the quantification procedure for the MBDI is still suitable needs to be discussed in future studies.
- (5)
- The proposed damage quantification methodology can be extended to other AS fragility analysis frameworks, such as the IDA-Cloud framework. In future studies, the methodology should be adapted to explore its effectiveness in developing AS fragility using the cloud method.
Author Contributions
Funding
Data Availability Statement
Conflicts of Interest
References
- Goda, K. Record selection for aftershock incremental dynamic analysis. Earthq. Eng. Struct. Dyn. 2015, 44, 157–162. [Google Scholar] [CrossRef]
- Goda, K.; Taylor, C.A. Effects of aftershocks on peak ductility demand due to strong ground motion records from shallow crustal earthquakes. Earthq. Eng. Struct. Dyn. 2012, 41, 2311–2330. [Google Scholar] [CrossRef]
- Knopoff, L.; Gardner, J. Higher seismic activity during local night on the raw worldwide earthquake catalogue. Geophys. J. Int. 1972, 28, 311–313. [Google Scholar] [CrossRef]
- Hosseinpour, F.; Abdelnaby, A.E. Fragility curves for RC frames under multiple earthquakes. Soil Dyn. Earthq. Eng. 2017, 98, 222–234. [Google Scholar] [CrossRef]
- Villaverde, R. Methods to Assess the Seismic Collapse Capacity of Building Structures: State of the Art. J. Struct. Eng. 2007, 133, 57–66. [Google Scholar] [CrossRef]
- Bazzurro, P.; Cornell, C.A.; Menun, C.; Motahari, M. Guidelines for seismic assessment of damaged buildings. In Proceedings of the 13th World Conference on Earthquake Engineering, Vancouver, BC, Canada, 1–6 August 2004; p. 1708. [Google Scholar]
- Maffei, J.; Telleen, K.; Nakayama, Y. Probability-Based Seismic Assessment of Buildings, Considering Post-Earthquake Safety. Earthq. Spectra 2008, 24, 667–699. [Google Scholar] [CrossRef]
- Polese, M.; Di Ludovico, M.; Prota, A.; Manfredi, G. Damage-dependent vulnerability curves for existing buildings. Earthq. Eng. Struct. Dyn. 2013, 42, 853–870. [Google Scholar] [CrossRef]
- Luco, N.; Bazzurro, P.; Cornell, B.Y.C.A. Dynamic Versus Static Computation Of The Residual Capacity Of A Mainshock-damaged Building To Withstand An Aftershock. In Proceedings of the 13th World Conference on Earthquake Engineering, Vancouver, BC, Canada, 1–6 August 2004. [Google Scholar]
- Raghunandan, M.; Liel, A.B.; Luco, N. Aftershock collapse vulnerability assessment of reinforced concrete frame structures. Earthq. Eng. Struct. Dyn. 2015, 44, 419–439. [Google Scholar] [CrossRef]
- Li, Q. Mathematical Formulation of Tools for Assessment of Fragility and Vulnerability of Damaged Buildings. Ph.D. Thesis, Tsinghua University, Beijing, China, 2006. [Google Scholar]
- Jeon, J.-S.; DesRoches, R.; Lowes, L.N.; Brilakis, I. Framework of aftershock fragility assessment-case studies: Older California reinforced concrete building frames. Earthq. Eng. Struct. Dyn. 2015, 44, 2617–2636. [Google Scholar] [CrossRef]
- Gaetani d’Aragona, M.; Polese, M.; Elwood, K.J.; Baradaran Shoraka, M.; Prota, A. Aftershock collapse fragility curves for non-ductile RC buildings: A scenario-based assessment. Earthq. Eng. Struct. Dyn. 2017, 46, 2083–2102. [Google Scholar] [CrossRef]
- Wen, W.; Zhai, C.; Ji, D.; Li, S.; Xie, L. Framework for the vulnerability assessment of structure under mainshock-aftershock sequences. Soil Dyn. Earthq. Eng. 2017, 101, 41–52. [Google Scholar] [CrossRef]
- Ebrahimian, H.; Jalayer, F.; Asprone, D.; Lombardi, A.M.; Marzocchi, W.; Prota, A.; Manfredi, G. A performance-based framework for adaptive seismic aftershock risk assessment. Earthq. Eng. Struct. Dyn. 2014, 43, 2179–2197. [Google Scholar] [CrossRef]
- Jalayer, F.; Ebrahimian, H. Seismic risk assessment considering cumulative damage due to aftershocks. Earthq. Eng. Struct. Dyn. 2017, 46, 369–389. [Google Scholar] [CrossRef]
- Shokrabadi, M.; Burton, H.V. Risk-based assessment of aftershock and mainshock-aftershock seismic performance of reinforced concrete frames. Struct. Saf. 2018, 73, 64–74. [Google Scholar] [CrossRef]
- Trevlopoulos, K.; Guéguen, P. Period elongation-based framework for operative assessment of the variation of seismic vulnerability of reinforced concrete buildings during aftershock sequences. Soil Dyn. Earthq. Eng. 2016, 84, 224–237. [Google Scholar] [CrossRef]
- Shinozuka, M.; Kim, S.-H.; Kushiyama, S.; Yi, J.-H. Fragility curves of concrete bridges retrofitted by column jacketing. Earthq. Eng. Eng. Vib. 2002, 1, 195–205. [Google Scholar] [CrossRef]
- Sung, Y.-C.; Su, C.-K. Time-dependent seismic fragility curves on optimal retrofitting of neutralised reinforced concrete bridges. Struct. Infrastruct. Eng. 2011, 7, 797–805. [Google Scholar] [CrossRef]
- Tolentino, D.; Márquez-Domínguez, S.; Gaxiola-Camacho, J.R. Fragility assessment of bridges considering cumulative damage caused by seismic loading. KSCE J. Civ. Eng. 2020, 24, 551–560. [Google Scholar] [CrossRef]
- Furtado, A.; Rodrigues, H.; Varum, H.; Arêde, A. Mainshock-aftershock damage assessment of infilled RC structures. Eng. Struct. 2018, 175, 645–660. [Google Scholar] [CrossRef]
- Zhai, C.-H.; Bao, X.; Zheng, Z.; Wang, X.-Y. Impact of aftershocks on a post-mainshock damaged containment structure considering duration. Soil Dyn. Earthq. Eng. 2018, 115, 129–141. [Google Scholar] [CrossRef]
- Poiani, M.; Gazzani, V.; Clementi, F.; Lenci, S. Aftershock fragility assessment of Italian cast–in–place RC industrial structures with precast vaults. J. Build. Eng. 2020, 29, 101206. [Google Scholar] [CrossRef]
- Li, Y.; Song, R.Q.; Van de Lindt, J.W. Collapse Fragility of Steel Structures Subjected to Earthquake Mainshock-Aftershock Sequences. J. Struct. Eng. 2014, 140, 1–10. [Google Scholar] [CrossRef]
- Baker, J.W.; Cornell, C.A. Vector-Valued Ground Motion Intensity Measures for Probabilistic Seismic Demand Analysis; Pacific Earthquake Engineering Research Center, College of Engineering, University of California: Berkeley, CA, USA, 2006. [Google Scholar]
- Park, Y.-J.; Ang, A.H.-S.; Wen, Y.K. Seismic damage analysis of reinforced concrete buildings. J. Struct. Eng. 1985, 111, 740–757. [Google Scholar] [CrossRef]
- Park, Y.-J.; Ang, A.H.-S. Mechanistic seismic damage model for reinforced concrete. J. Struct. Eng. 1985, 111, 722–739. [Google Scholar] [CrossRef]
- Williams, M.S.; Sexsmith, R.G. Seismic damage indices for concrete structures: A state-of-the-art review. Earthq. Spectra. 1995, 11, 319–349. [Google Scholar] [CrossRef]
- Bracci, J.; Reinhorn, A.; Mander, J.; Kunnath, S. Deterministic Model for Seismic Damage Evaluation of RC Structures; National Academies: Washington, DC, USA, 1989; NCEER-89-0033. [Google Scholar]
- Ibarra, L.F.; Medina, R.A.; Krawinkler, H. Hysteretic models that incorporate strength and stiffness deterioration. Earthq. Eng. Struct. Dyn. 2005, 34, 1489–1511. [Google Scholar] [CrossRef]
- Haselton, C.B.; Deierlein, G.G. Assessing Seismic Collapse Safety of Modern Reinforced Concrete Moment-Frame Buildings. Civ. Eng. 2008, 137, 481–491. [Google Scholar] [CrossRef]
- Abdelnaby, A.E. Fragility Curves for RC Frames Subjected to Tohoku Mainshock-Aftershocks Sequences. J. Earthq. Eng. 2018, 22, 902–920. [Google Scholar] [CrossRef]
- Berry, M.P.; Lehman, D.E.; Lowes, L.N. Lumped-plasticity models for performance simulation of bridge columns. ACI Struct. J. 2008, 105, 270–279. [Google Scholar]
- Hosseinpour, F.; Abdelnaby, A.E. Effect of different aspects of multiple earthquakes on the nonlinear behavior of RC structures. Soil Dyn. Earthq. Eng. 2017, 92, 706–725. [Google Scholar] [CrossRef]
- Lignos, D.; Krawinkler, H. Sidesway Collapse of Deteriorating Structural Systems Under Seismic Excitations; Report No. TB 172; John, A., Ed.; Blume Earthquake Engineering Research Center, Department of Civil and Environmental Engineering, Stanford University: Stanford, CA, USA, 2009. [Google Scholar]
- Lignos, D.G.; Krawinkler, H. Deterioration modeling of steel components in support of collapse prediction of steel moment frames under earthquake loading. J. Struct. Eng. 2010, 137, 1291–1302. [Google Scholar] [CrossRef]
- OpenSees. Open System for Earthquake Engineering Simulation. Available online: http://opensees.berkeley.edu/ (accessed on 7 October 2022).
- Vamvatsikos, D.; Cornell, C.A. Incremental dynamic analysis. Earthq. Eng. Struct. Dyn. 2002, 31, 491–514. [Google Scholar] [CrossRef]













| DS | Limit State | Physical Damage | Maximum Drift Ratio | MBDI |
|---|---|---|---|---|
| DS1 | Minor | Spalling of cover concrete | 0.33 | 0.02 |
| DS2 | Moderate | Core crushing | 0.57 | 0.21 |
| DS3 | Extensive | Bar buckling | 0.76 | 0.57 |
| DS4 | Collapse | Large drift | 0.94 | 1.00 |
| Ground Motion | Seismic Intensity (Sa(T1),g) | |||
|---|---|---|---|---|
| DS1 | DS2 | DS3 | DS4 | |
| 1 | 1.30 | 2.24 | 2.96 | 3.23 |
| 2 | 1.70 | 3.42 | 3.88 | 3.95 |
| 3 | 1.56 | 2.60 | 2.90 | 3.06 |
| 4 | 1.88 | 2.98 | 3.71 | 4.24 |
| 5 | 1.77 | 2.63 | 2.86 | 2.91 |
| 6 | 1.13 | 2.65 | 2.85 | 2.93 |
| 7 | 1.49 | 5.45 | 6.25 | 6.58 |
| 8 | 1.33 | 2.03 | 2.16 | 2.24 |
| 9 | 0.98 | 1.28 | 1.60 | 1.69 |
| 10 | 1.50 | 1.64 | 1.68 | 1.70 |
| 11 | 1.11 | 1.58 | 1.89 | 2.18 |
| 12 | 1.05 | 2.22 | 3.77 | 4.96 |
| 13 | 1.47 | 2.42 | 2.67 | 2.80 |
| 14 | 0.75 | 1.14 | 1.36 | 1.54 |
| 15 | 1.25 | 1.67 | 1.89 | 2.02 |
| 16 | 0.74 | 1.11 | 1.28 | 1.50 |
| 17 | 1.51 | 2.30 | 2.91 | 3.29 |
| 18 | 1.04 | 1.26 | 1.36 | 1.44 |
| 19 | 1.40 | 2.16 | 2.80 | 3.22 |
| 20 | 1.16 | 1.58 | 1.86 | 2.03 |
| 21 | 1.12 | 2.21 | 4.15 | 4.84 |
| 22 | 1.32 | 2.10 | 2.63 | 3.52 |
| 23 | 1.45 | 3.73 | 6.81 | 7.71 |
| 24 | 3.38 | 4.60 | 5.01 | 5.25 |
| 25 | 2.26 | 4.42 | 4.83 | 5.00 |
| 26 | 1.44 | 2.28 | 2.79 | 3.22 |
| 27 | 1.06 | 1.47 | 1.73 | 1.94 |
| 28 | 0.86 | 1.10 | 1.20 | 1.26 |
| 29 | 1.00 | 1.65 | 2.03 | 2.24 |
| 30 | 0.81 | 1.05 | 1.24 | 1.35 |
Publisher’s Note: MDPI stays neutral with regard to jurisdictional claims in published maps and institutional affiliations. |
© 2022 by the authors. Licensee MDPI, Basel, Switzerland. This article is an open access article distributed under the terms and conditions of the Creative Commons Attribution (CC BY) license (https://creativecommons.org/licenses/by/4.0/).
Share and Cite
Wang, Z.; Deng, X.; Luo, X.; Dang, X.; Guo, J. Aftershock Fragility Assessment of Continuous RC Girder Bridges Using a Modified Damage Index. Buildings 2022, 12, 1675. https://doi.org/10.3390/buildings12101675
Wang Z, Deng X, Luo X, Dang X, Guo J. Aftershock Fragility Assessment of Continuous RC Girder Bridges Using a Modified Damage Index. Buildings. 2022; 12(10):1675. https://doi.org/10.3390/buildings12101675
Chicago/Turabian StyleWang, Zhengnan, Xiaowei Deng, Xiheng Luo, Xinzhi Dang, and Junjun Guo. 2022. "Aftershock Fragility Assessment of Continuous RC Girder Bridges Using a Modified Damage Index" Buildings 12, no. 10: 1675. https://doi.org/10.3390/buildings12101675
APA StyleWang, Z., Deng, X., Luo, X., Dang, X., & Guo, J. (2022). Aftershock Fragility Assessment of Continuous RC Girder Bridges Using a Modified Damage Index. Buildings, 12(10), 1675. https://doi.org/10.3390/buildings12101675

