Magnetic Investigations of Steel Degradation Using a Magnetic Hysteresis Scaling Technique
Abstract
:1. Introduction
2. Austenitic Stainless Steel
2.1. Materials and Experiments
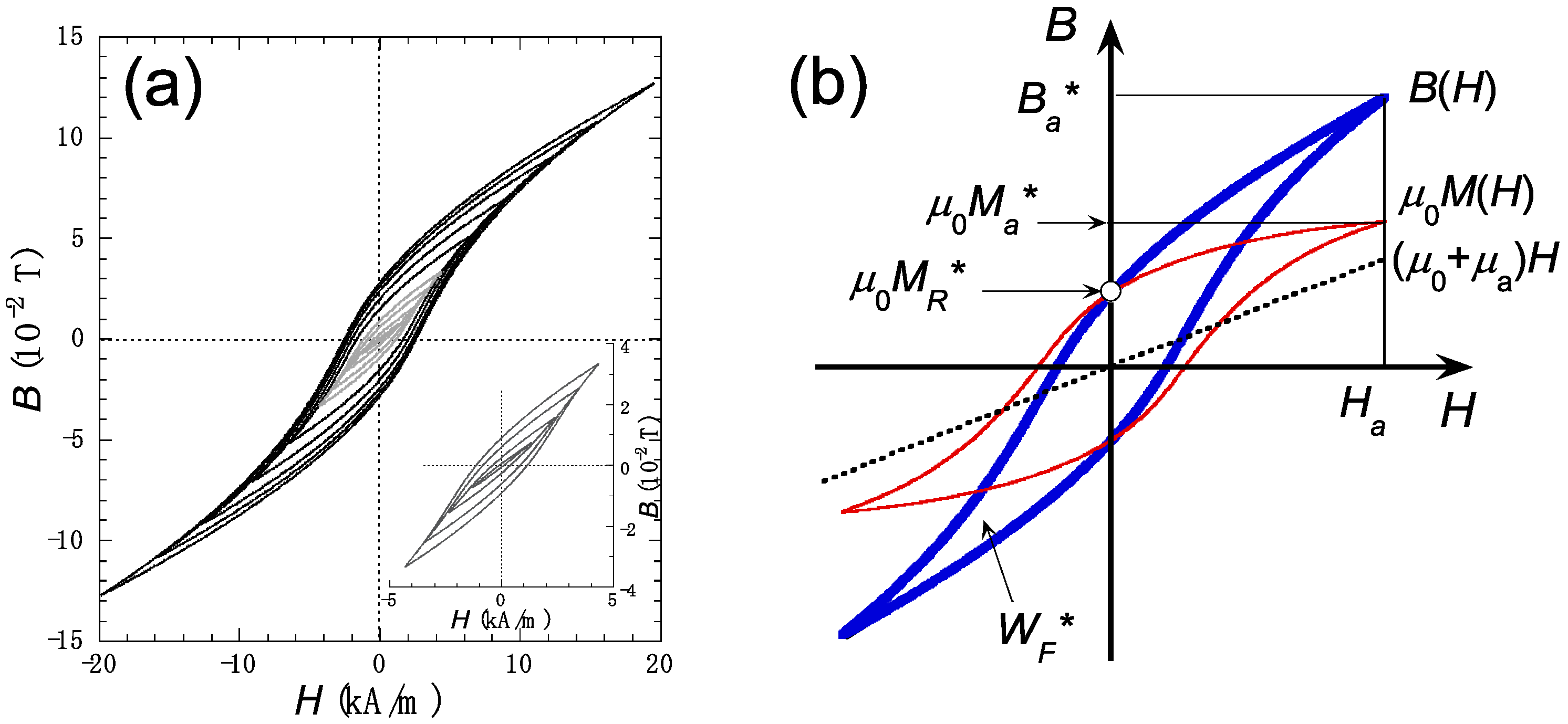
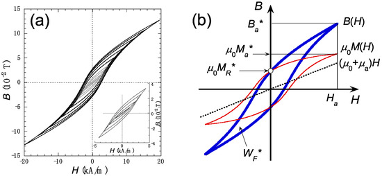
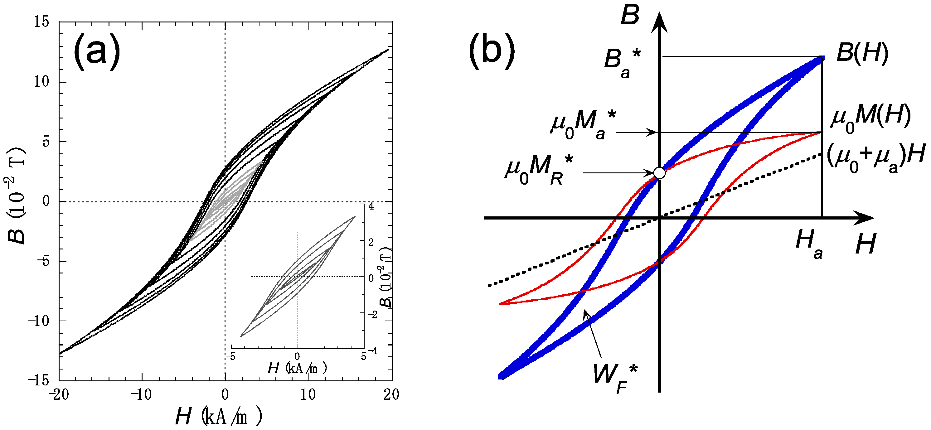
2.2. Results and Discussion
3. Duplex Stainless Steel
3.1. Materials and Experiments
3.2. Results and Discussion
4. Conclusions
Acknowledgments
Author Contributions
Conflicts of Interest
References
- Steinmetz, C.P. On the law of hysteresis. IEEE Proc. 1964, 72, 197–221. [Google Scholar] [CrossRef]
- Takahashi, S.; Kobayashi, S.; Kikuchi, H.; Kamada, Y. Relationship between mechanical and magnetic properties in cold rolled low carbon steel. J. Appl. Phys. 2006, 100, 113908. [Google Scholar] [CrossRef]
- Kobayashi, S.; Takahashi, S.; Shishido, T.; Kamada, Y.; Kikuchi, H. Low-field magnetic characterization of ferromagnets using a minor-loop scaling law. J. Appl. Phys. 2010, 107, 023908. [Google Scholar] [CrossRef]
- Kobayashi, S.; Yamamoto, T.; Klingensmith, D.; Odette, G.R.; Kikuchi, H.; Kamada, Y. Magnetic evaluation of irradiation hardening in A533B reactor pressure vessel steels: Magnetic hysteresis measurements and the model analysis. J. Nucl. Mater. 2012, 422, 158–162. [Google Scholar] [CrossRef]
- Lagneborg, R. The Martensite Transformation in 18%Cr-8%Ni Steels. Acta Metall. 1964, 12, 823–843. [Google Scholar] [CrossRef]
- Mitra, A.; Srivastava, P.K.; De, P.K.; Bhattacharya, D.K.; Jiles, D.C. Ferromagnetic Properties of Deformation-Induced Martensite Transformation in AISI 304 Stainless Steel. Metall. Mater. Trans. A 2004, 35A, 599–605. [Google Scholar]
- Meszaros, I.; Prohaszka, J. Magnetic investigation of the effect of α’-martensite on the properties of austenitic stainless steel. J. Mater. Proc. Technol. 2005, 161, 162–168. [Google Scholar] [CrossRef]
- Ding, J.; Huang, H.; McCormick, P.G.; Street, R. Magnetic properties of martensite-austenite mixtures in mechanically milled 304 stainless steel. J. Mag. Magn. Mater. 1995, 139, 109–114. [Google Scholar] [CrossRef]
- Tavares, S.S.M.; da Silva, M.R.; Neto, J.M.; Miraglia, S.; Fruchart, D. Ferromagnetic properties of cold rolled AISI 304L steel. J. Magn. Magn. Mater. 2002, 242–245, 1391–1394. [Google Scholar] [CrossRef]
- Zhang, L.; Takahashi, S.; Kamada, Y. Quench-Induced Martensitic Transformation in Austenitic Stainless Steel after Tensile Deformation at Elevated Temperature. Scr. Mater. 2007, 57, 711–714. [Google Scholar] [CrossRef]
- Kobayashi, S.; Saito, A.; Takahashi, S.; Kamada, Y.; Kikuchi, H. Characterization of strain-induced martensite phase in austenitic stainless steel using a magnetic minor-loop scaling relation. Appl. Phys. Lett. 2008, 92, 182508. [Google Scholar] [CrossRef]
- Kobayashi, S.; Kikuchi, N.; Takahashi, S.; Kamada, Y.; Kikuchi, H. Magnetic properties of α’ martensite in austenitic stainless steel studied by a minor-loop scaling law. J. Appl. Phys. 2010, 108, 043904. [Google Scholar] [CrossRef]
- Bassani, P.; Breda, M.; Brunelli, K.; Meszaros, I.; Passaretti, F.; Zanellato, M.; Calliari, I. Characterization of a cold-rolled 2101 lean duplex stainless steel. Microsc. Microanal. 2013, 19, 988–995. [Google Scholar] [CrossRef] [PubMed]
- Tavares, S.S.M.; da Silva, M.R.; Pardal, J.M.; Abreu, H.F.G.; Gomes, A.M. Microstructural changes produced by plastic deformation in the UNS S31803 duplex stainless steel. J. Mater. Process. Technol. 2006, 180, 318–322. [Google Scholar] [CrossRef]
- Baldo, S.; Meszaros, I. Effect of cold rolling on microstructure and magnetic properties in a metastable lean duplex stainless steel. J. Mater. Sci. 2010, 45, 5339–5346. [Google Scholar] [CrossRef]
- Meszaros, I.; Szabo, P.J. Complex magnetic and microstructural investigation of duplex stainless steel. NDT E Int. 2005, 38, 517–521. [Google Scholar] [CrossRef]
- Tavares, S.S.M.; Pardal, J.M.; Guerreiro, J.L.; Gomes, A.M.; da Silva, M.R. Magnetic detection of sigma phase in duplex stainless steel UNS S31803. J. Magn. Magn. Mater. 2010, 322, L29–L33. [Google Scholar] [CrossRef]
- Kobayashi, S.; Murakami, T.; Narita, Y.; Miura, K.; Kamada, Y. Effects of cold rolling on magnetic minor hysteresis loops of duplex stainless steels. Philos. Mag. 2017, 97, 419–430. [Google Scholar] [CrossRef]
- Hamada, J.; Ono, N. Effect of Microstructure before Cold Rolling on Texture and Formability of Duplex Stainless Steel Sheet. Mater. Trans. 2010, 51, 635–643. [Google Scholar] [CrossRef]
- Hamada, J.; Inoue, H. Texture and Planar Anisotropy of r-Value in Duplex Stainless Steel Sheet. Mater. Trans. 2010, 51, 644–651. [Google Scholar] [CrossRef]










| Element | C | Si | Mn | P | Si | Ni | Cr | Fe |
|---|---|---|---|---|---|---|---|---|
| wt. % | 0.088 | 0.480 | 1.630 | 0.023 | 0.001 | 8.200 | 18.700 | Bal. |
| Phase | C | Si | Mn | Ni | Cr | Mo | Fe |
|---|---|---|---|---|---|---|---|
| Steel | 0.015 | 0.72 | 0.78 | 5.55 | 25.70 | 2.89 | Bal. |
| α | - | 0.77 | 0.76 | 4.53 | 26.78 | 3.08 | Bal. |
| γ | - | 0.66 | 0.81 | 6.41 | 24.35 | 2.28 | Bal. |
© 2017 by the authors. Licensee MDPI, Basel, Switzerland. This article is an open access article distributed under the terms and conditions of the Creative Commons Attribution (CC BY) license (http://creativecommons.org/licenses/by/4.0/).
Share and Cite
Kobayashi, S.; Miura, K.; Narita, Y.; Takahashi, S. Magnetic Investigations of Steel Degradation Using a Magnetic Hysteresis Scaling Technique. Metals 2018, 8, 2. https://doi.org/10.3390/met8010002
Kobayashi S, Miura K, Narita Y, Takahashi S. Magnetic Investigations of Steel Degradation Using a Magnetic Hysteresis Scaling Technique. Metals. 2018; 8(1):2. https://doi.org/10.3390/met8010002
Chicago/Turabian StyleKobayashi, Satoru, Kodai Miura, Yuki Narita, and Seiki Takahashi. 2018. "Magnetic Investigations of Steel Degradation Using a Magnetic Hysteresis Scaling Technique" Metals 8, no. 1: 2. https://doi.org/10.3390/met8010002
APA StyleKobayashi, S., Miura, K., Narita, Y., & Takahashi, S. (2018). Magnetic Investigations of Steel Degradation Using a Magnetic Hysteresis Scaling Technique. Metals, 8(1), 2. https://doi.org/10.3390/met8010002
