Abstract
This paper presents experimental results regarding the development of new alloys from the binary ZnCu and ternary ZnCuMg systems. The alloys had controlled chemical compositions and were annealed at 300 °C and 400 °C, with holding times of 5 h and 10 h, followed by air cooling. Mechanical properties (tensile strength, yield strength, elongation, and elastic modulus) were determined. Structural analysis conducted after different heat treatments revealed that homogenization transforms the dendritic structure into a granular structure with intergranular eutectic presence. Biodegradation behavior showed that the ternary alloy exhibits higher degradation rates than the binary alloy. Applying the homogenization heat treatment has a good influence on the binary alloy only, not on the ternary alloy. Our research shows that that the complex alloying of zinc with copper and magnesium may improve cavitation behavior, doubling both the MDEmax parameter and cavitation resistance expressed by Rcav.
1. Introduction
Next-generation metallic biomaterials are biodegradable materials designed for temporary use in implantology [1,2,3,4,5]. While traditional biomaterials, widely used since the previous century, gained attention due to their unique combination of properties—good mechanical strength, ductility, toughness, wear resistance, and formability [6,7,8,9,10,11]—biodegradable metallic biomaterials have recently been employed due to their ability to decompose in the human body without triggering adverse reactions [12]. Research on biodegradable biomaterials has focused on essential chemical elements such as Mg [13,14,15,16,17], Zn [18,19,20,21,22], and Fe [23,24,25], with the expectation that an implant should partially or fully dissolve during tissue healing [3].
Zinc, the most recently studied and investigated material, offers advantages over magnesium and iron. Zinc’s corrosion rate is lower than that of magnesium, providing greater ease for metallurgical and chirurgical manipulation, better biocompatibility, and enabling the engineering of thin-profile stents, which is critical to minimizing restenosis and thrombosis [26]. Many researchers have reported the formation of hydrogen gas around biodegradable magnesium implants, which negatively impacts the body [27,28]. This issue does not occur with zinc, as no hydrogen is released during the degradation process. On the other hand, iron’s slow corrosion rate causes implants to remain in the body longer than necessary. Peuster et al. [29] found that iron biocorrosion products remain encapsulated, potentially interfering with arterial functionality. Zinc has the potential to address these issues by offering a higher corrosion rate than iron, and by producing compact, biocompatible corrosion products similar to those of magnesium [26].
The development of zinc alloys as biodegradable biomaterials has been achieved through the creation of both binary alloys—ZnMg [26,27,28,29,30,31,32,33], ZnLi [34], ZnAl [35], ZnAg [36,37], ZnMn [38,39], ZnCa [40]—and complex alloys—ZnMgFe [41], ZnMgMn [42], ZnCuFe [43], ZnAlSr [44], ZnMgAlBi [45].
Applications for biodegradable zinc alloys include cardiovascular devices, particularly stents, which require temporary functionality. The phenomenon of cavitation [46,47,48,49,50] may occur in the cardiovascular system, making this paper part of research efforts to determine the cavitation corrosion behavior of these biocompatible metallic materials. While cavitation has been extensively studied in various material classes, such as stainless steels [48,49,50], nickel superalloys [51], and aluminum alloys [52], it has only recently been investigated in zinc alloys [53,54,55,56].
The present study examines biodegradation and cavitation behavior in correlation with the structure and mechanical properties of new zinc alloys from the ZnCu and ZnCuMg systems.
2. Materials and Methods
The fabrication of the experimental Zn alloys utilizes an equipment system that comprises a heating system, a casting system and a microstructural investigation system of the samples. The chemical compositions (wt.%) of the experimental zinc alloys are presented in Table 1.
Table 1.
Chemical compositions (wt.%) of the experimental zinc alloys.
The samples consists of experimental bars with dimensions of 20 mm × 20 mm × 50 mm (length, width, height), which are heat treated through annealing at 300 °C and 350 °C, respectively. For each elevated temperature, the holding process is maintained for 5 h and 10 h, respectively, for each of the two annealing treatments. The heating treatments are performed in a Nabertherm furnace (Nabertherm GmbH, Lilienthal, Germany), at the Science of Metallic Materials and Physical Metallurgy Laboratory, in the National University of Science and Technology Politehnica Bucharest, Romania. For each type of heating treatment, six tests are carried out in order to determine the following mechanical properties: ultimate tensile strength (UTS), yield strength (YS), elongation, and hardness.
The microstructural investigations are performed with an OLYMPUS microscope (Olympus Corporation, Hamburg, Germany). To evaluate the mechanical characteristics of the test bars in different structural states, a Walter and Bai universal testing machine, model LFV 300 (Water +Bai AG, Lohningen, Switzerland), is utilized. In order to analyze the macroscopic structure, an OLYMPUS SZX stereomicroscope (Olympus Corporation, Hamburg, Germany), along with QuickMicroPhoto 2.2 software (version 2.2, Promicra, Prague, Czech Republic), is also utilized. The microscopic analysis is achieved with an OLYMPUS optical microscope, along with its image processing and quantitative analysis software (Olympus Corporation, Hamburg, Germany) for the Zn alloy phases and constituents. The materials with dimensions ranging from 0.1–1000 μm are examined via optical microscopy to examine the morphological aspects. scanning electronic microscopy was conducted using the Quattro S scanning electronic microscope (Thermo Fisher Scientific, Hillsboro, OR, USA).
The cavitational erosion experimental testing was conducted within the framework of the Laboratory of Cavitational Erosion Research at the University Politehnica of Timisoara, Romania [57,58], on a standard 20 kHz piezoceramic crystal vibrator, in accordance with the requirements of the international standard ASTM G32-2010 [59] and the method described by Bordeasu in [57] and in Luca’s doctoral thesis [60], using the indirect test method. The tests were performed on three samples of each type of state in distilled water, the temperature of which was controlled and maintained at 22 ± 10 °C.
In order to study the corrosion behavior of the experimental Zn alloys, the samples were immersed in synovial body fluid (SBF). In accordance with the established Kokuboo [61] protocol, the SBF solution was prepared with an ionic composition comparable to human blood plasma. The chemical composition of SBF is as follows: 8.035 g/L NaCl; 0.355 g/L NaHCO3; 0.225 g/L KCI; 0.231 g/L K2HPO4•3H2O; 0.311 g/L MgCI2-6H2O; 39 mL HCI 1 M; 0.292 g. Sigma Aldrick (Taufkirchen, Germany) represented the supplier that provided these high-quality chemical substances.
The immersion tests allowed the quantification of the mass loss and the pH variation throughout the examination of the samples. A total of five parallelepipedic samples for each of the Zn alloys were utilized, with dimensions of 15 × 15 × 5 mm. The immersion tests were performed at six control times (3, 7, 14, 21, 28 and 35 days), at 37 °C (±0.5 °C), in an SBF testing environment. Each day, the solution was modified in order to simulate the human body environment as precisely as possible. The weight loss of the samples was calculated according to Equation (1):
where WLt (%) is the weight loss (%), m0 is the sample initial mass at t = 0, and mt is the mass after each degradation time t.
The initial weight of the sample is obtained before immersion in the SBF solution, and the final weight of the sample is the weight after extraction from the environment. Afterward, the corrosion products are removed (with chromic acid) and the samples are brought to a constant mass in a desiccator.
3. Experimental Results and Discussions
3.1. Metalographic Analysis of the Experimental ZnCuMg Alloys
Copper is an essential trace element that sustains bone tissue growth and connectivity, along with enhancing vascular endothelial cell proliferation and revascularization [62,63,64]. Furthermore, Cu deficiency affects cholesterol metabolism and neutropeny. The Zn–Cu diagram phase shows that the highest solubility of Cu in Zn is approximately 2.75 wt%, at 425 °C. Tang et al. [65] studied a series of binary alloys, Zn–xCu (x = 1, 2, 3, and 4 wt%), for cardiovascular implant applications. The microstructural analysis shows that the cast alloys are composed of a secondary dendritic phase of CuZn5 in the primary matrix of Zn, and an increase in the volume fraction of the CuZn5 dendritic phase has been identified at a high concentration of Cu in Zn. In another study, the same research group reported that a small amount of Mg added to a binary ZnCu brought enhanced mechanical properties due to the presence of the Mg2Zn11 intermetallic phase [66]. In addition, the values of σTYS and σUTS increase from 214 MPa to 250 MPa, respectively, and from 427 MPa to 440 MPa by adding only 1.0 wt% Mg in the case of Zn-3.0 Mg. However, the elongation value decreased from 47% to 1% due to the presence of the hard intermetallic phase. The structural analysis results performed with a metallographic optical microscope allowed for the identification of the phase and structural constituents of the biodegradable experimental Zn alloy, which are shown in Figure 1 (ZnCu alloy) and in Figure 2 (ZnCuMg alloy).
Figure 1.
The structural aspects of the ZnCu alloy, in different structural phases: (a) as cast, (b) annealed at 300 °C/5 h; (c) annealed at 300 °C/10 h; (d) annealed at 400 °C/5 h, (e) annealed at 400 °C/10 h.
Figure 2.
The structural aspects of the ZnCuMg alloy, in different structural phases: (a) as cast, (b) annealed at 300 °C/5 h; (c) annealed at 300 °C/10 h; (d) annealed at 350 °C/5 h, (e) annealed at 350 °C/10 h.
The structural aspect of the ZnCu binary alloy in the as-cast state (Figure 1a) shows a structure consisting of primary CuZn5 compounds shaped like the letter χ and an interdendritic lamellar eutectic composed of a zinc-based solid solution and intermetallic compounds. Annealing the alloy at 300 °C (Figure 1b,c) results in significant changes to the microstructure depending on the holding time at the homogenization temperature. Thus, the primary as-cast dendritic structure becomes homogenized after a 5-h holding time, although not completely removed. Dendrites with longitudinal axes measuring 20–40 μm, with intergranular separation, are still noticeable (Figure 1b). Increasing the holding time at 300 °C to 10 h almost entirely eliminates the dendritic structure, revealing intragranular CuZn5 compounds in the form of the letter χ. Upon detailed examination (Figure 1c), the presence of annealing twins within well-defined grains can be observed.
Raising the annealing temperature to 400 °C (for either 5 or 10 h) (Figure 1d,e) results in the complete elimination of the heterogeneous as-cast dendritic structure and highlights a granular structure where CuZn5 compounds exhibit polyhedral, insular shapes with intragranular precipitation. The dimensions of these compounds range from lengths of 30–50 μm to finer sizes of 10–20 μm (Figure 1d). Extending the holding time at 400 °C to 10 h (Figure 1e) leads to an increase in grain size.
The structural aspect of the complex ZnCuMg alloy in the as-cast state is shown in Figure 2. The structure consists of an interdendritic solid solution with the presence of intermetallic compounds of the CuZn5 and Mg2Zn11 types. The eutectic, formed from a zinc-based solid solution and intermetallic compounds, exhibits a fine lamellar appearance, as shown in Figure 2a.
Annealing heat treatments lead to the globularization of the eutectic and the elimination of dendrites, forming rosette-like shapes. Annealing at 300 °C causes the eutectic, which precipitates intergranular shapes, to adopt an insular appearance (Figure 2b). Increasing the homogenization time at 300 °C to 10 h results in the formation of a fine globular eutectic (Figure 2c). Raising the homogenization temperature to 400 °C results in a globular eutectic (Figure 2d), which becomes lace-like with an extended holding time of 10 h (Figure 2e).
3.2. Scanning Electron Microscopy Analysis of Alloys of the ZnCu(Mg) System
The scanning electron microscopy (SEM) analysis provided additional insights into the nature, morphology, and distribution of the structural constituents in the biodegradable zinc alloys investigated in this study. The alloying of zinc with crucial elements such as copper and magnesium was undertaken to develop alloys with controlled biodegradability while also ensuring the mechanical support required for future biodegradable implants. Copper content in zinc was designed to be approximately 3%, close to its solubility limit in zinc, ensuring its presence in the alloy both in solid solution and as compounds.
Considering the ZnCu alloy, the SEM images shown in Figure 3 provide a comprehensive depiction of its constitution. The SEM analysis reveals a structure with large grains containing intermetallic compounds, which exhibit various precipitation morphologies: island-like with a dendritic appearance, needle precipitates within the grains, discontinuous precipitation along grain boundaries, and precipitation within the zinc-based solid solution matrix. Additionally, the island-like compounds, measuring approximately 15–30 μm, exhibit intragranular precipitation.
Figure 3.
The SEM analysis of the ZnCu alloy: (a) imagine SEM; (b) EDAX; (c) Fe distribution; (d) Cu distribution; (e) Zn distribution; (f) local microcomposition.
The identification of these intermetallic compounds was performed through local EDAX compositional analysis, as illustrated in Figure 3b. The elemental composition across the surface confirms the presence of copper in the alloy, while the elemental distribution maps generated by mapping highlight the nature of the island-like copper-based compounds (Figure 3c) as well as the presence of a minor proportion of iron (Figure 3d). The local chemical microcomposition indicates that these island-like compounds are copper-based, specifically CuZn5, whereas the fine needle compounds are iron-based, as shown in Figure 3f.
The complex alloying of zinc with copper and magnesium creates a structure consisting of a zinc-based solid solution containing intermetallic compounds with diverse shapes and distributions, as well as the presence of a lamellar eutectic with a fishbone-like pattern (Figure 4a). The image reveals needle compounds alongside island-like intermetallic compounds within the metallic matrix formed by the zinc-based solid solution.
Figure 4.
The SEM analysis of the ZnCuMg alloy: (a) imagine SEM; (b) EDAX; (c) Fe distribution; (d) Cu distribution; (e) Zn distribution; (f) local microcomposition.
A detailed analysis aimed at identifying the structural constituents provides further insights into the intricate structural elements. The alloy exhibits a base chemical composition where the crucial elements magnesium and copper are present (Figure 4b), along with intermetallic compounds. The distribution of the alloying elements, as determined by mapping (Figure 4c–e), shows that the zinc-based solid solution contains complex island-like compounds enriched predominantly with copper and to a lesser extent magnesium, as well as fine, needle copper-based compounds.
The copper content in the island-like compounds can reach approximately 11%, while the matrix contains a minimum of 2.25% Cu. The magnesium content in the complex compounds can reach around 2% (as summarized in Figure 4f).
3.3. Mechanical Behavior of the Alloys from the System ZnCu(Mg)
Figure 5 and Figure 6 present the tensile stress–strain curves of the experimental zinc alloy samples.
Figure 5.
Tensile stress–strain curves of the ZnCu alloys at different structural states.
Figure 6.
Tensile stress–strain curves of the ZnCuMg alloys at different structural states.
The evolution of the mechanical parameters of the experimental zinc alloys are illustrated in the form of histograms, as shown in Figure 7 (ZnCu alloy) and Figure 8 (ZnCuMg alloy), showing the properties depending on the state of the alloy.
Figure 7.
The mechanical properties of the ZnCu alloy, in different structural states: (a) ultimate tensile strength (MPa), (b) yield strength (MPa), (c) ultimate elongation (%), (d) elasticity modulus (%).
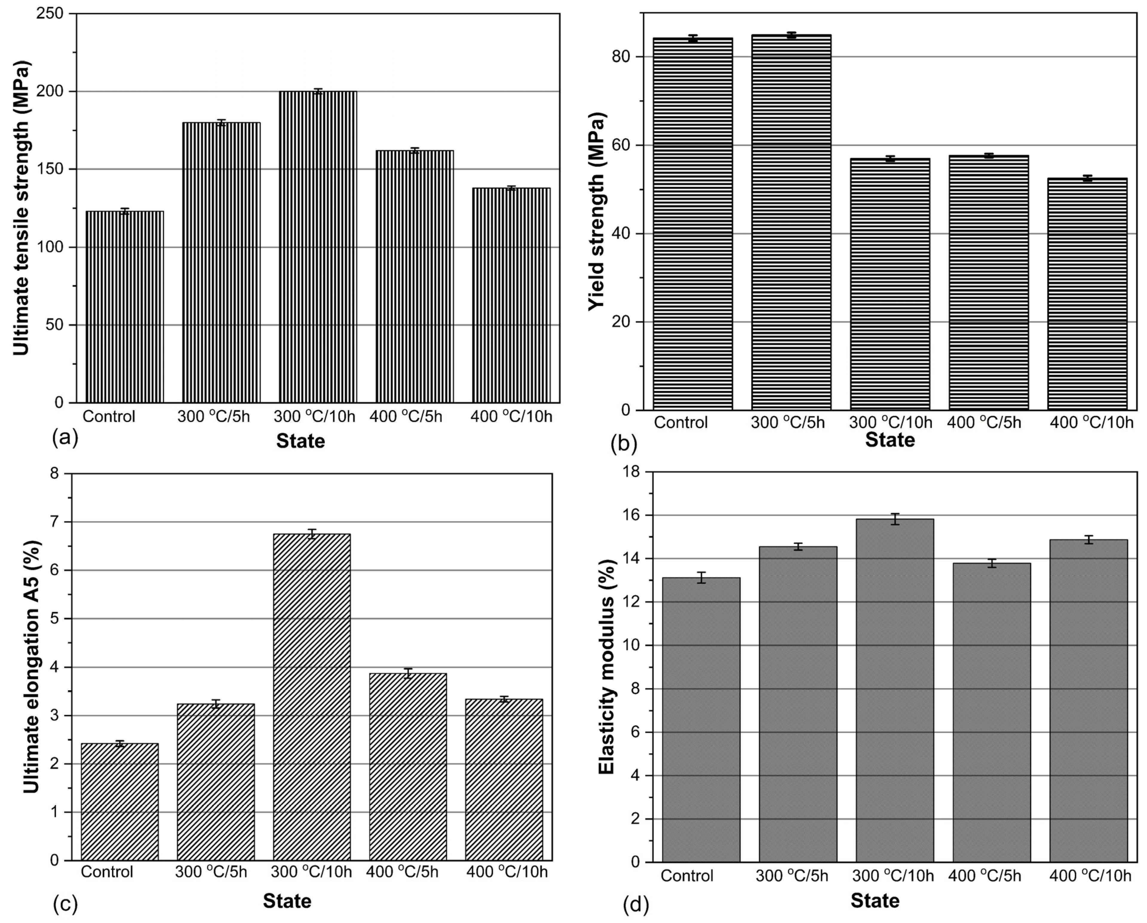
Figure 8.
The mechanical properties of the ZnCuMg alloy, in different structural states: (a) ultimate tensile strength (MPa), (b) yield strength (MPa), (c) ultimate elongation (%), (d) elasticity modulus (%).
After the annealing heat treatment applied to the ZnCu alloy at 300 °C for 10 h, there is a notable improvement in the tenacity values, due to the fact that the area under the curve zone is the largest in comparison to the others. Also, the annealing heat treatment applied at 400 °C for 5 h resulted in achieving the maximum tenacity for the ZnCu (Figure 7) and ZnCuMg (Figure 8) alloys.
Figure 7 presents the evolution of the mechanical properties of the ZnCu alloys depending on the annealing heat treatment. As can be inferred from the result, the annealing treatment at 300 °C for 10 h obtains the most favorable results on the mechanical resistance properties, 100 MPa, as confirmed in Figure 7a, as well as on the yield strength, 68 MPa (Figure 7b). It also obtained the highest ultimate elongation, 4.13%, as shown in Figure 7c. Conversely, the annealing heat treatment at 300 °C for 10 h obtained the highest elasticity modulus, 22.27 MPa, as shown in Figure 7d.
Figure 8 depicts the evolution of the mechanical properties of the ZnCuMg alloys depending on the annealing heat treatment. The results show that the annealing heat treatment at 300 °C for 10 h obtained the highest mechanical resistance, 200 MPa, as shown in Figure 8a; the highest ultimate elongation, 6.8%, as presented in Figure 8c; and the highest elasticity modulus, 15.82 MPa. However, the annealing treatment at 300 °C for 5 h obtained the highest yield strength values, 84.93 MPa, as shown in Figure 8b.
The comparative analysis of the mechanical behavior of the ZnCu(Mg) biodegradable alloys leads to the following major conclusions:
- The simultaneous alloying of Zn with the crucial chemical elements, Cu and Mg, respectively, obtains the highest mechanical properties, in comparison to Zn without alloying elements. Therefore:
- ○
- Mechanical resistance can reach values that are 10× higher than pure Zn, as follows: 200 MPa (300 °C for 10 h), in comparison to 45 MPa (400 °C for 10 h) for pure Zn.
- ○
- Ultimate elongation can reach values up to 6.75% (300 °C for 10 h), alongside 2.8% (400 °C, for 10 h) for pure Zn.
- ○
- The elasticity module can reach values up to 15.78 MPa (300 °C for 10 h), compared to 93 MPa (300 °C for 5 h) for pure Zn.
- With regard to a comparison between the mechanical properties of the ZnCuMg complex alloy and the binary ZnCu alloy, the key conclusions are:
- ○
- The mechanical resistance of the complex alloys is almost double compared to the binary alloy, as follows: 200 MPa (300 °C for 10), compared to 98 MPa.
- ○
- The yield strength value of the complex alloy is higher with a percentage of 25%, in comparison to the binary alloy, according to the following values: 84.93 MPa (300 °C for 5 h), compared to 67.87 MPa (for the ZnCu cast alloy, unannealed).
- ○
- Ultimate elongation can reach values up to 6.75% (300 °C for 10 h), compared to the binary alloy, the value of which is 4.22% (300 °C for 10 h), or a 60% increase.
- ○
- However, with regard to the elasticity modulus value, it is higher in the case of the binary alloy, 22 MPa, in contrast to the complex alloy, with a maximum value of 15.82 MPa.
It can be concluded that the complex alloying of Zn with Cu and Mg results in the highest mechanical properties, both compared to Zn and to the binary ZnCu alloy. This can be explained by the hardening of the solid solution, due to the precipitation of the complex intermetallic components that form in the presence of Cu and Mg together.
3.4. Stereomacrostructural Fractographyc Analysis of Tensile Samples
The fractography analysis after tensile testing is performed using the stereo microscope, both in longitudinal and transversal section. This leads to the surface modification process, after the testing of mechanical properties, along with the fracture analysis in the case of experimental Zn alloys, in comparison with pure Zn, in different structural phases. The macrostructural considerations of the tensile-tested ZnCu alloys are presented in Figure 9. From the analysis, it is indicated that the surfaces exhibit brittle, trans granular, and transcrystalline fractures, with a shiny crystalline appearance, along with very fine twin boundaries and numerous metallic compounds.
Figure 9.
The macroscopic aspect of the ZnCu alloy (tensile strength tested), cross section, in different structural phases: (a) as cast, (b) annealed at 300 °C/5 h; (c) annealed at 300 °C/10 h; (d) annealed at 400 °C/5 h, (e) annealed at 400 °C/10 h.
In both the annealed and control samples, the fractography aspects are similar to one another. No major surface modifications were recorded. The crystallized areas in the fracture zones of the alloy are colored in blue. The fractography aspects of the tensile tested ZnCuMg alloy samples are shown in Figure 10.
Figure 10.
The macroscopic aspect of the ZnCuMg alloy (tensile strength tested), cross section, in different structural phases: (a) as cast, (b) annealed at 300 °C/5 h; (c) annealed at 300 °C/10 h; (d) annealed at 400 °C/5 h, (e) annealed at 400 °C/10 h.
If the control sample (Figure 10a) is characterized by a brittle rupture, fine granulation with twin solidification boundaries, and significant topography differences with regard to the annealed samples, there is a major fine enhancement on the granulation aspect, along with transcrystalline fine fractures and a shiny aspect. The surfaces are mixed with twin grains, and fine, abundant areas of intercrystalline compounds (Figure 10c,d). No major differences between the annealed surfaces are observed. The blue twinned areas are generated by the complex alloying, and by the differentiated crystallographic grain orientation.
3.5. Biodegradability of Experimental Zinc Alloys
The results of biodegradation behavior for experimental zinc alloys compared to pure zinc in simulated body fluid (SBF) solution are presented as graphs showing the variation in thickness loss, both intermediate and absolute, as a function of immersion duration (Figure 11 and Figure 12).
Figure 11.
The intermediate degradation rate over a degradation time for the ZnCu(Mg) biodegradable alloys.
Figure 12.
The absolute degradation rate over a degradation time, for the ZnCu(Mg) biodegradable alloys.
The analysis of the results in Figure 11 allows the following observations:
Pure zinc exhibits relatively good biodegradation behavior, with monotonically decreasing, small thickness loss values of less than 0.003 mm/year. A plateau in degradation rates is observed starting from the 14th day of immersion, with very low rates below 0.0015 mm/year.
The presence of copper in the zinc alloy significantly increases biodegradation rates. Intermediate rates show an increase of up to 60% compared to zinc after 3 days of immersion, followed by a progressive decrease to approximately 50% of the 3-day value. The degradation rate pattern of the binary ZnCu alloy is similar to that of pure zinc.
The simultaneous presence of copper and magnesium in zinc results in the highest intermediate biodegradation rates, almost double those of the binary ZnCu alloy. Between 28 and 35 days of immersion, the values plateau and remain significantly higher than those for both pure zinc and the ZnCu binary alloy.
The analysis of absolute degradation rates for the experimental alloys, shown in Figure 12, leads to the following observations:
Pure zinc shows a steady increase in thickness loss beginning after 7 days of immersion, reaching a loss of 1 mm/year after 35 days.
The absolute degradation rates increase for both zinc and the experimental ZnCu(Mg) alloys, whether simple or complex, growing exponentially from values below 0.01 mm/year to approximately 1 mm/year.
For the binary ZnCu alloy, the increase in degradation rates begins slowly during the initial immersion period (3 days), reaching a plateau after 28 days with rates below 0.12 mm/year.
For the complex ZnCuMg alloy, the degradation rate is higher during the initial immersion periods (3 and 7 days) compared to the ZnCu binary alloy. However, the rates equalize at 21 days and decrease after 28 and 35 days, becoming lower than those of the binary alloy.
It can be concluded that the simultaneous alloying of zinc with copper and magnesium results in more moderate biodegradability compared to pure zinc, suggesting improved stability for the future biodegradable implant.
The analysis of pH variation in the simulated body fluid (SBF) solution after different immersion periods, as illustrated in Figure 13, reveals the following:
Pure zinc exhibits the lowest pH values, ranging between 7.47 and 7.53.
The binary ZnCu alloy shows the highest pH values, ranging between 7.49 and 7.59.
The complex ZnCuMg alloy has intermediate pH values compared to pure zinc and the binary ZnCu alloy, ranging from 7.49 to 7.59. The highest pH values (7.56–7.59) are observed after 3, 7, and 14 days of immersion, while the lowest value is recorded at 21 days.
Figure 13.
The evolution of pH values over an immersion time in SBF.
Figure 13.
The evolution of pH values over an immersion time in SBF.

The macrostructural aspects of the degraded surfaces after various immersion times in SBF, and following the removal of corrosion products, are presented in Figure 14:
Degradation of pure zinc (Figure 14a) begins slowly after the first removal at 3 days. The biodegradation process proceeds gradually, with minor material dissolution, and by 35 days, localized corrosion pits appear, typically initiated at material discontinuities. However, these pits are scattered, indicating relatively slow biodegradation.
The degradation process of the binary ZnCu alloy (Figure 14c) is slow but continuous, with deeper zones of material loss becoming evident over time. By the 35th day, localized zones with significant material degradation are observed, with depths reaching up to 0.05 mm. The biodegradation behavior of the complex ZnCuMg alloy (Figure 14b) is similar to that of pure zinc, starting slowly at 3 days and progressing gradually over 35 days. An interconnected network of corrosion pits with relatively shallow depths is observed, and the degradation process is less pronounced compared to the binary ZnCu alloy.
It should be noted that the new experimental alloys, ZnCu and ZnCuMg, respectively, have less pronounced degradation behavior than pure zinc, which can be considered a beneficial effect for a temporary implant.
Figure 14.
The macrostructural aspects of the Zn alloy surfaces after immersion in SBF solution, for a 35-day period of time: (a) pure zinc; (b) ZnCuMg alloy; (c) ZnCu alloy.
Figure 14.
The macrostructural aspects of the Zn alloy surfaces after immersion in SBF solution, for a 35-day period of time: (a) pure zinc; (b) ZnCuMg alloy; (c) ZnCu alloy.

3.6. Cavitational Erosion Behavior of Experimental Alloys
The experimental results obtained from the evaluation of the cavitation erosion behavior of the experimental alloys are presented in Figure 15, Figure 16, Figure 17, Figure 18, Figure 19, Figure 20, Figure 21 and Figure 22.
For the analysis of behavior under the stress of vibrating cavitation, the data from the diagrams presented in Figure 15 (with the zoom in Figure 16) for the binary alloy ZnCu are used. These diagrams show the variations in cumulative mass losses (resulting from the sum of losses from the intermediate test periods of 5, 10 and 15 min) with the duration of exposure to vibration cavitation erosion. The zooms in Figure 16 and Figure 20, made for the intervals at the beginning of the stress, are to certify that, during this time, there are no significant differences in the behavior of the surfaces in terms of the degradation mechanism under the cyclic stresses of the cavitational microjets.
The experimental values of the five states of the alloys indicated in the legends, which are marked by dots of different colors, are algebraic averages of the values on the three tests, and are tested from each state. The strength of the surface structures under cavitation stress is evaluated on the basis of macro and micro images (SEM) in Figure 17 and Figure 21, as well as the histograms in Figure 18 and Figure 22, in which the values of the parameters specific to cavitation erosion were used.
These parameters, recommended by ASTM G32 standards [59] and used by all specialists in cavitation erosion and by the Cavitation Laboratory, are statistically determined based on the experimental values in Figure 15 and Figure 19, according to the method described in [57]: MDEmax (maximum value of the average depth of erosion produced in the cavitated area for 165 min) and Rcav (resistance of the structure to cavitation).
The calculation relationships of these parameters, as well as the meanings of the terms, are:
- -
- For maximum erosion depth:
- -
- For the surface structure resistance to the cycle of cavitation:
3.6.1. Cavitational Erosion of Binary ZnCu Alloy
Experimental results regarding the resistance of the ZnCu alloy to cavitational erosion, as shown in Figure 15, Figure 16, Figure 17 and Figure 18, display the cumulative mass loss (from the sum of intermediate losses at 5, 10, and 15 min) as a function of the duration of exposure to vibratory cavitation. The experimental values, marked as colored points for five sample conditions (as indicated in the legends), represent arithmetic averages from three tested samples for each condition.
The detailed diagrams highlight the initial stages of cavitation erosion, confirming no significant differences in surface behavior in terms of degradation mechanisms under cyclic cavitational microjet stress. The diagrams in Figure 15 and Figure 16, along with the histogram in Figure 18, showcase the erosion resistance and performance of the four states of the ZnCu alloy.
Figure 15.
The cumulative mass loss variation over the cavitation process for the ZnCu alloy.
Figure 15.
The cumulative mass loss variation over the cavitation process for the ZnCu alloy.

Figure 16.
A more detailed visualization of Figure 15 concerning cumulative mass loss over the cavitation process for the ZnCu alloy.
Figure 16.
A more detailed visualization of Figure 15 concerning cumulative mass loss over the cavitation process for the ZnCu alloy.

The evolution of cumulative eroded mass (Figure 15 and Figure 16) over the erosion exposure duration shows approximately identical behavior across all conditions during the initial 0–45 min. This consistency is attributed to the inherent properties of the alloy, with negligible influence from mechanical properties or microstructural variations introduced by thermal treatments.
Differences in erosion behavior become apparent after 60 min of cavitation exposure, where the impact of mechanical properties and microstructures becomes evident (Figure 15).
Fractographic analysis of cavitation-eroded surfaces (Figure 17), macrostructural observation (Figure 17a,b): all surfaces are rough, marked by numerous cavitation-induced pits regardless of the alloy’s condition. However, a slight intensification in cavitational attack is noted with prolonged annealing treatment durations. The binary ZnCu alloy exhibits rough surfaces with numerous large cavitation pits measuring 300–500 µm.
SEM analysis reveals extensive material removal, generating cavitation pits as large as 1–3 mm in diameter. Fine, faceted cavitation patterns generally originate at intermetallic compounds, with transgranular features evident (Figure 17c,d). The erosion process is intense, categorizing the material as highly non-resistant to cavitational erosion. Differences are noted between the as-cast state, which shows substantial material removal indicative of extremely poor resistance, and the homogenized state, where surfaces appear rough but exhibit reduced material loss. The most distinct performance difference is observed in the ZnCu (300 °C /5 h) state, which shows improved behavior compared to the other four conditions, which have nearly identical performance (e.g., ZnCu cast and ZnCu (300 °C /10 h)).
We attribute the differences in behavior during the second phase of cavitation attack primarily to the grain size of the base metal and the intermetallic compounds in the surface microstructure. Additionally, as illustrated in the diagram in Figure 15, a constant loss of mass is observed during the intermediate durations after the first 60 min, leading to approximately linear variations in cumulative mass loss. This type of evolution corroborates the findings of previous studies [46,67,68,69], which demonstrate that the mechanically stressed surface layer hardens due to the cavitational microjets, while the cavitation pits, filled with water and air, act as dampers for the pressures exerted by these microjets. Therefore, we posit that the lower cavitation resistance (greater cumulative loss of mass) of the ZnCu (300 °C/5 h) samples is due to the larger dimensions of the cavitation pits and the lower degree of surface hardening compared to the other four conditions.
Regardless of the parameter, the histogram from Figure 18 shows that the best resistance is achieved by the samples annealed at 400 °C/10 h, while the lowest resistance is observed for those annealed at 300 °C/5 h. The resistance of the 300 °C/5 h homogenized structure, compared to the cast reference state or the other four conditions, is lower by 31–46%, regardless of the reference parameter (MDEmax or Rcav).
Figure 17.
Structural aspects of the ZnCu alloy cavitational erosion at different magnifications, (a,b) stereomicroscope images, (c,d) SEM images.
Figure 17.
Structural aspects of the ZnCu alloy cavitational erosion at different magnifications, (a,b) stereomicroscope images, (c,d) SEM images.

Figure 18.
The comparative evaluation histogram of the binary ZnCu alloy cavitational erosion resistance.
Figure 18.
The comparative evaluation histogram of the binary ZnCu alloy cavitational erosion resistance.

3.6.2. Cavitational Erosion Behavior of the Ternary ZnCuMg Alloy
Experimental results concerning the mechanical erosion resistance of the ternary ZnCuMg alloy are presented in Figure 19 and Figure 20. For these conditions, the experimental values, marked by differently colored points indicated in the legends, represent the algebraic averages of the values determined from the three tested samples in each state.
Figure 19.
The cumulative loss of mass variation over the cavitation process of the ZnCuMg alloy.
Figure 19.
The cumulative loss of mass variation over the cavitation process of the ZnCuMg alloy.

Figure 20.
A more detailed visualization of Figure 19.
Figure 20.
A more detailed visualization of Figure 19.

Based on the dispersion and evolution of experimental cumulative loss of mass values, three types of behavior can be distinguished. Two sets of two sample types (states) exhibit insignificant differences in behavior: ZnCuMg (300 °C/5 h) and ZnCuMg (350 °C/10 h), and ZnCuMg (300 °C/10 h) and ZnCuMg (350 °C/5 h). The ZnCuMg (Martor) samples show distinct behavior, with the highest resistance compared to the other four states. In this case as well, the observed similarities and differences are primarily attributed to the grain size of the base metal and the intermetallic compounds, rather than to the mechanical property values, the differences in which are minimal. Similar to the ZnCu alloy samples, a consistent loss of mass rate is noted during intermediate periods after the 45-min mark, leading to a linear variation in cumulative losses. Likewise, the superior resistance of the ZnCuMg (Martor) state after the 45-min mark is attributed to the more pronounced hardening of the surface subjected to cavitational microjet impacts and to the smaller dimensions of the cavitation pits.
The stereo macrostructural analysis of the cavitation-eroded surfaces of the ternary alloy reveals a rough surface with fine, homogeneous cavitation pits distributed uniformly across the surface (Figure 21a,b). Additionally, the cavitation attack is less aggressive than that observed in the binary alloy. Fractographic features are similar, displaying numerous fine, faceted cavitation pits and the presence of intermetallic compounds within the matrix. Furthermore, the fracture is entirely brittle, occurring via cleavage, accompanied by numerous secondary intergranular cracks (Figure 21c,d).
Figure 21.
Structural aspects of the ZnCuMg alloy cavitational erosion, at different magnifications, (a,b) stereomicroscope images, (c,d) SEM images.
Figure 21.
Structural aspects of the ZnCuMg alloy cavitational erosion, at different magnifications, (a,b) stereomicroscope images, (c,d) SEM images.

The differences in resistance to cavitation stress among the five states of the ZnCuMg alloy are illustrated in the histogram shown in Figure 22, using the parameters recommended by ASTM G32 standards [59] and employed by the Cavitation Laboratory of the Politehnica University of Timisoara.
In conclusion, the ternary ZnCuMg (gauge) alloy demonstrates superior cavitation resistance due to enhanced surface hardening and finer cavitation pit dimensions compared to other states.
Figure 22.
The comparative evaluation histogram of the ternary ZnCuMg alloy cavitational erosion resistance.
Figure 22.
The comparative evaluation histogram of the ternary ZnCuMg alloy cavitational erosion resistance.

The histogram from Figure 22 shows that, regardless of the parameter, the best resistance is exhibited by the samples in the cast, untreated state (control sample), while the lowest resistance is observed in the sample annealed at 350 °C/10 h. Compared to the resistances of the other four states, the resistance provided by the heat treatment at 350 °C/10 h is lower by 51–106%, regardless of the parameter used as a reference (MDEmax or Rcav).
In the case of the binary ZnCu alloy, homogenization treatment results in a slight improvement in behavior, with the MDEX value decreasing from 3.743 µm in the cast state to 3.3 µm in the cast + annealed state. In the case of the ternary ZnCuMg alloy, a significant increase in the MDEX value is observed, from 1.493 µm in the cast state to 3.036 µm in the cast + annealed state. Additionally, while in the binary ZnCu alloy, annealing treatment leads to a slight improvement in behavior, with the Rcav value increasing from 41.66 min/µm in the cast state to 43.47 min/µm in the cast + homogenized state, in the ternary ZnCuMg alloy, a decrease in the Rcav value is observed, from 90.91 min/µm in the cast state to 71.42 min/µm in the cast + annealed state.
Thus, it can be concluded that the complex alloying of zinc with copper and magnesium results in alloys with significantly better cavitation erosion behavior, with up to double the value of the MDEmax parameter and improved resistance to cavitation, expressed by the Rcav.
4. Conclusions
In this study, new biodegradable zinc alloys from the ZnCu and ZnCuMg systems were investigated. The experimental results led to the following conclusions:
- -
- Simple alloying of zinc with copper doubles the mechanical properties of pure zinc, and annealing at 300 °C/10 h results in an additional increase of about 20%.
- -
- Simultaneous alloying of zinc with copper and magnesium can double the mechanical properties, while annealing at 300 °C/10 h can increase the mechanical strength by approximately 60%.
- -
- Complex alloying of zinc with copper and magnesium yields the highest mechanical properties, both compared to pure zinc and to the binary ZnCu alloy. This can be explained by the solid solution strengthening due to the precipitation of complex intermetallic compounds formed by the presence of copper and magnesium.
- -
- The fracture behavior of the ZnCuMg alloys indicates brittle fracture, with transgranular crack propagation and a bright crystalline appearance. Fine annealing twins and areas with numerous intermetallic compounds, which color the fracture surface, are observed. This brittle behavior is evident in both alloy systems (ZnCu and ZnCuMg) and in specimens subjected to different heat treatment conditions.
- -
- The microstructure of the ZnCu alloy consists of dendrites of the solid solution α and compounds either dispersed in the solid solution or in the eutectic. The annealing heat treatments (especially at 400 °C) lead to the dissolution of casting dendrites and the formation of a granular solid solution, where CuZn5 compounds take polyhedral shapes.
- -
- The microstructure of the ZnCuMg alloy consists of dendritic solid solution α with numerous intermetallic compounds of CuZn5 and Mg2Zn11. The eutectic has a fine, lamellar structure. Annealing treatments result in the globulization of the eutectic (starting at 400 °C) and partial elimination of casting dendrites.
- -
- Biodegradation behavior in SBF solution after different testing durations is influenced by both the alloying method and the alloy state:
- -
- For the binary ZnCu alloy, degradation rates increase slowly, starting from the initial period (3 days) and stabilizing after 28 days, with rates below 0.12 mm/year.
- -
- For the ternary ZnCuMg alloy, the degradation rate is higher during the early immersion periods compared to the binary ZnCu alloy (e.g., 3 days, 7 days). It becomes equal after 21 days, and after 28 and 35 days, the rate decreases compared to the binary alloy.
- -
- Cavitation erosion behavior is also influenced by both the alloying method and the alloy state: For the binary ZnCu alloy, the highest cavitation resistance is observed in the alloy annealed at 400 °C/10 h, while the lowest resistance is seen in the alloy annealed at 300 °C/5 h. For the ternary ZnCuMg alloy, annealing treatments do not improve cavitation resistance. However, the cavitation resistance of the cast alloy is nearly double that of the binary ZnCu alloy (89.365 min/mm for ZnCuMg vs. 43.446 min/mm for ZnCu). Complex alloying of zinc with copper and magnesium leads to alloys with better cavitation resistance, doubling both the MDEmax parameter and the cavitation resistance expressed as Rcav.
- -
- As a final conclusion, our experimental results demonstrate that the alloying of Zn with Cu and Mg gives better results than Zn in terms of a property of interest for use as implant material for orthopedic applications. The ZnCuMg alloy showed suitable properties from the point of view of mechanical properties, biodegradation, and cavitational erosion. Future studies on their biocompatibility will be made.
Author Contributions
Conceptualization, B.G., I.A. and G.P.; methodology, B.G., A.A., I.B. and J.V.R.; software, I.B., D.B. and L.M.M.; validation, B.G., I.B. and I.A.; formal analysis, B.G., I.B., G.P. and J.V.R.; investigation, A.A., J.V.R., D.B., and L.M.M.; resources, B.G.; data curation, B.G., I.B. and I.A.; writing—original draft preparation, B.G.; writing—review and editing, B.G.; visualization, A.A., G.P., D.B. and L.M.M.; supervision, B.G., I.B. and I.A.; project administration, B.G.; funding acquisition, B.G. and I.A. All authors have read and agreed to the published version of the manuscript.
Funding
This research received no external funding.
Data Availability Statement
The original contributions presented in this study are included in the article. Further inquiries can be directed to the corresponding authors.
Conflicts of Interest
Authors Gabriela Petre and Jullieta V. Rau were employed by the company Ewopharma Romania SRL and Instituto di Struttura della Materia. The remaining authors declare that the research was conducted in the absence of any commercial or financial relationships that could be construed as a potential conflict of interest.
References
- Hermawan, H. Biodegradable Metals from Concept to Applications; Springer: Berlin/Heidelberg, Germany, 2012. [Google Scholar]
- Seitz, J.M.; Durisin, M.; Goldman, J.; Drelich, J.W. Recent advances in biodegradable metals for medical sutures: A critical review. Adv. Healthc. Mater. 2015, 4, 1915–1936. [Google Scholar] [CrossRef] [PubMed]
- Li, H.; Zheng, Y.; Qin, L. Progress of biodegradable metals. Proc. Nat. Sci. Mater. Int. 2014, 24, 414–422. [Google Scholar] [CrossRef]
- Im, S.H.; Jung, Y.; Kim, S.H. Current status and future direction of biodegradable metallic and polymeric vascular scaffolds for next-generation stents. Acta Biomater. 2017, 60, 3–22. [Google Scholar] [CrossRef] [PubMed]
- Hermawan, H. Updates on the research and development of absorbable metals for biomedical applications. Prog. Biomater. 2018, 7, 93–110. [Google Scholar] [CrossRef] [PubMed]
- Fraker, A.C.; Ruff, A.W. Metallurgical Surgical Implants: State of the Art. JOM 1977, 29, 2–28. [Google Scholar] [CrossRef]
- Gotman, I. Characteristics of metals used in implants. J. Endourol. 1997, 11, 383–389. [Google Scholar] [CrossRef]
- Nasrabadi, H.N.; Ciuca, S.; Robu, A.; Stere, A.; Antoniac, I.; Valeanu, N.; Ciocoiu, R.; Enachescu, C.I. Comparative analysis of surface properties of Ti6Al4V femoral stem hip prostheses and plate for long bone fractures used in orthopedic surgery. UPB Sci. Bull. Series B 2024, 86, 237–246. [Google Scholar]
- Hermawan, H.; Ramdan, D.; Djuansjah, J.R.P. Metals for Biomedical Applications; INTECH Open Access Publisher: London, UK, 2011. [Google Scholar]
- Saini, M.; Singh, Y.; Arora, P.; Arora, V.; Jain, K. Implant biomaterials: A comprehensive review. World J. Clin. Cases WJCC 2015, 3, 52–57. [Google Scholar] [CrossRef] [PubMed]
- Manam, N.S.; Harun, W.S.W.; Shri, D.N.A.; Ghani, S.A.C.; Kurniawan, T.; Ismail, M.H.; Ibrahim, M.H.I. Study of corrosion in biocompatible metals for implants: A review. J. Alloys Compd. 2017, 701, 698–715. [Google Scholar] [CrossRef]
- Liu, Y.; Zheng, Y.; Hayes, B. Degradable, absorbable or resorbable—What is the best grammatical modifier for an implant that is eventually absorbed by the body? Sci. China Mater. 2017, 60, 377–391. [Google Scholar] [CrossRef]
- Werkhoven, R.J.; Sillekens, W.H.; Van Lieshout, J.B.J.M. Processing aspects of magnesium alloy stent tube. In Magnesium Technology; John Wiley & Sons, Inc.: Hoboken, NJ, USA, 2011; pp. 419–424. [Google Scholar]
- Persaud-Sharma, D.; McGoron, A. Biodegradable magnesium alloys: A review of material development and applications. J. Biomim. Biomater. Tissue Eng. 2012, 12, 25–39. [Google Scholar] [CrossRef]
- Agarwal, S.; Curtin, J.; Duffy, B.; Jaiswal, S. Biodegradable magnesium alloys for orthopaedic applications: A review on corrosion, biocompatibility and surface modifications. Mater. Sci. Eng. C 2016, 68, 948–963. [Google Scholar] [CrossRef]
- Antoniac, I.; Miculescu, M.; Mănescu, V.; Stere, A.; Quan, P.H.; Păltânea, G.; Robu, A.; Earar, K. Magnesium-Based Alloys Used in Orthopedic Surgery. Materials 2022, 15, 1148. [Google Scholar] [CrossRef]
- Yuan, B.; Chen, H.; Zhao, R.; Deng, X.; Chen, G.; Yang, X.; Xiao, Z.; Aurora, A. Construction of a magnesium hydroxide/2grapheme oxide/hydroxyapatite composite coating on Mg–Ca–Zn–Ag alloy to inhibit bacterial infection and promote bone regeneration. Bioact. Mater. 2022, 18, 354–367. [Google Scholar]
- Li, H.F.; Xie, X.H.; Zheng, Y.F.; Cong, Y.; Zhou, F.Y.; Qiu, K.J.; Wang, X.; Chen, S.H.; Huang, L.; Tian, L.; et al. Development of biodegradable Zn-1X binary alloys with nutrient alloying elements Mg, Ca and Sr. Sci. Rep. 2015, 5, 10719. [Google Scholar]
- Li, H.; Yang, H.; Zheng, Y.; Zhou, F.; Qiu, G.; Wang, X. Design and characterizations of novel biodegradable ternary Zn-based alloys with IIA nutrient alloying elements Mg, Ca and Sr. Mater. Des. 2015, 83, 95–102. [Google Scholar] [CrossRef]
- Kubásek, J.; Vojtěch, D. Zn-based alloys as an alternative biodegradable materials. Proc. Metal 2012, 5, 23–25. [Google Scholar]
- Kubásek, J.; Pospílova, I.; Vojtech, D.; Jablonská, E.; Ruml, T. Structural, mechanical and cytotoxicity characterization of as-cast biodegradable Zn-xMg (x = 0.8–8.3%) alloys. Mater. Technol. 2014, 48, 623–629. [Google Scholar]
- Yao, C.; Wang, Z.; Tay, S.L.; Zhu, T.; Gao, W. Effects of Mg on microstructure and corrosion properties of Zn–Mg alloy. J. Alloys Compd. 2014, 602, 101–107. [Google Scholar] [CrossRef]
- Francis, A.; Yang, Y.; Virtanen, S.; Boccaccini, A.R. Iron and iron-based alloys for temporary cardiovascular applications. J. Mater. Sci.: Mater. Med. 2015, 26, 138. [Google Scholar] [CrossRef]
- He, J.; He, F.L.; Li, D.; Liu, Y.L.; Liu, Y.Y.; Ye, Y.J.; Yin, D.C. Advances in Fe-based biodegradable metallic materials. RSC Adv. 2016, 6, 112819–112838. [Google Scholar] [CrossRef]
- Hermawan, H.; Purnama, A.; Dube, D.; Couet, J.; Mantovani, D. Fe–Mn alloys for metallic biodegradable stents: Degradation and cell viability studies. Acta Biomater. 2010, 6, 1852–1860. [Google Scholar] [CrossRef]
- Bowen, P.K.; Shearier, E.R.; Zhao, S.; Guillory, R.J.; Zhao, F.; Goldman, J.; Drelich, J.W. Biodegradable metals for cardiovascular stents: From clinical concerns to recent Zn-alloys. Adv. Healthc. Mater. 2016, 5, 1121–1140. [Google Scholar] [CrossRef]
- Zhang, D.; Lin, W.; Qi, H. IBS bioresorbable scaffold by Lifetech. In Bioresorbable Scaffolds: From Basic Concept to Clinical Applications; Onuma, Y., Serruys, P.W.J.C., Eds.; CRC Press: Boca Raton, FL, USA, 2017. [Google Scholar]
- Kubásek, J.; Vojtěch, D.; Jablonská, E.; Pospíšilová, I.; Lipov, J.; Ruml, T. Structure, mechanical characteristics and in vitro degradation, cytotoxicity, genotoxicity and mutagenicity of novel biodegradable Zn–Mg alloys. Mater. Sci. Eng. C 2016, 58, 24–35. [Google Scholar] [CrossRef] [PubMed]
- Peuster, M.; Hesse, C.; Schloo, T.; Fink, C.; Beerbaum, P.; Von Schnakenburg, C. Long-term biocompatibility of a corrodible peripheral iron stent in the porcine descending aorta. Biomaterials 2006, 27, 4955–4962. [Google Scholar] [CrossRef]
- Kubásek, J.; Dvorský, D.; Šedý, J.; Msallamová, Š.; Levorová, J.; Foltán, R.; Vojtěch, D. The Fundamental Comparison of Zn-2Mg and Mg-4Y-3RE Alloys as a Perspective Biodegradable Materials. Materials 2019, 12, 3745. [Google Scholar] [CrossRef]
- Huang, H.; Liu, H.; Wang, L.S.; Li, Y.H.; Agbedor, S.O.; Bai, J.; Xue, F.; Jiang, J.H. A High-Strength and Biodegradable Zn–Mg Alloy with Refined Ternary Eutectic Structure Processed by ECAP. Acta Metall. Sin. 2020, 33, 1191–1200. [Google Scholar] [CrossRef]
- Liu, S.; Kent, D.; Doan, N.; Dargusch, M.; Wang, G. Effects of deformation twinning on the mechanical properties of biodegradable Zn-Mg alloys. Bioact. Mater. 2019, 4, 8–16. [Google Scholar] [CrossRef]
- Gong, H.; Wang, K.; Strich, R.; Zhou, J.G. In vitro biodegradation behavior, mechanical properties, and cytotoxicity of biodegradable Zn-Mg alloy. J. Biomed. Mater. Res. B Appl. Biomater. 2015, 103, 1632–1640. [Google Scholar] [CrossRef]
- Zhao, S.; McNamara, C.T.; Bowen, P.; Verhun, N.; Braykovich, J.P.; Goldman, J.; Drelich, J.W. Structural characteristics and in vitro biodegradation of a novel Zn-Li alloy prepared by induction melting and hot rolling, Metall. Mater. Trans. A 2017, 48, 1204–1215. [Google Scholar] [CrossRef]
- Bowen, P.K.; Seitz, J.M.; Guillory, R.J.; Braykovich, J.P.; Zhao, S.; Goldman, J.; Drelich, J.W. Evaluation of wrought Zn–Al alloys (1, 3, and 5 wt % Al) through mechanical and in vivo testing for stent applications. J. Biomed. Mater. Res. B Appl. Biomater. 2018, 106, 245–258. [Google Scholar] [CrossRef] [PubMed]
- Sikora-Jasinska, M.; Mostaed, E.; Mostaed, A.; Beanland, R.; Mantovani, D.; Vedani, M. Fabrication, mechanical properties and in vitro degradation behavior of newly developed ZnAg alloys for degradable implant applications. Mater. Sci. Eng. C 2017, 77, 1170–1181. [Google Scholar] [CrossRef]
- Li, P.; Schille, C.; Schweizer, E.; Rupp, F.; Heiss, A.; Legner, C.; Klotz, U.E.; Geis-Gerstorfer, J.; Scheideler, L. Mechanical characteristics, in vitro degradation, cytotoxicity, and antibacterial evaluation of Zn-4.0Ag alloy as a biodegradable material. Int. J. Mol. Sci. 2018, 19, 755. [Google Scholar] [CrossRef]
- Sun, S.; Ren, Y.; Wang, L.; Yang, B.; Li, H.; Qin, G. Abnormal effect of Mn addition on the mechanical properties of as-extruded Zn alloys. Mater. Sci. Eng. A 2017, 701, 129–133. [Google Scholar] [CrossRef]
- Bagha, P.S.; Khaleghpanah, S.; Sheibani, S.; Khakbiz, M.; Zakeri, A. Characterization of nanostructured biodegradable Zn-Mn alloy synthesized by mechanical alloying. J. Alloys Compd. 2018, 735, 1319–1327. [Google Scholar] [CrossRef]
- Zhang, M.; Wang, X.; Zhang, S.; Wang, T.; Wang, X.; Liu, S.; Zhao, L.; Cui, C. Fabrication and Properties of a Biodegradable Zn-Ca Composite. Materials 2023, 16, 6432. [Google Scholar] [CrossRef]
- Wang, C.; Yu, Z.; Cui, Y.; Zhang, Y.; Yu, S.; Qu, G.; Gong, H. Processing of a novel Zn alloy micro-tube for biodegradable vascular stent application. J. Mater. Sci. Technol. 2016, 32, 925–929. [Google Scholar] [CrossRef]
- Liu, X.; Sun, J.; Zhou, F.; Yang, Y.; Chang, R.; Qiu, K.; Pu, Z.; Li, L.; Zheng, Y. Micro- alloying with Mn in Zn–Mg alloy for future biodegradable metals application. Mater. Des. 2016, 94, 95–104. [Google Scholar] [CrossRef]
- Yue, R.; Huang, H.; Ke, G.; Zhang, H.; Pei, J.; Xue, G.; Yuan, G. Microstructure, mechanical properties and in vitro degradation behavior of novel Zn-Cu-Fe alloys. Mater. Charact. 2017, 134, 114–122. [Google Scholar] [CrossRef]
- Liu, Y.; Yin, Z.; Liu, Y.; Geng, C.; Chen, X.; Xu, J.; Peng, J. Study on the in vitro degradation behavior of commercial Zn-4%Al-Sr alloy for biomedical application. Int. J. Electrochem. Sci. 2018, 13, 1640–1655. [Google Scholar] [CrossRef]
- Bakhsheshi-Rad, H.R.; Hamzah, E.; Low, H.T.; Cho, M.H.; Kasiri-Asgarani, M.; Farahany, S.; Mostafa, A.; Medraj, M. Thermal characteristics, mechanical properties, in vitro degradation and cytotoxicity of novel biodegradable Zn- Al-Mg and Zn-Al-Mg-Bi alloys. Acta Metall. Sin. 2017, 30, 201–211. [Google Scholar] [CrossRef]
- Franc, J.P.; Kueny, J.L.; Karimi, A.; Fruman, D.H.; Fréchou, D.; Briançon-Marjollet, L.; Yves Billard, J.Y.; Belahadji, B.; Avellan, F.; Michel, J.M. La Cavitation. Mécanismes Physiques et Aspects Industriels; Press Universitaires de Grenoble: Grenoble, France, 1995. [Google Scholar]
- Bordeaşu, I.; Mitelea, I.; Salcianu, L.; Craciunescu, C.M. Cavitation Erosion Mechanisms of Solution Treated X5CrNi18-10 Stainless Steels. J. Tribol.-Trans. ASM 2016, 138, 031102. [Google Scholar] [CrossRef]
- Michalik, R.; Iwaniak, A. Erosion Resistance of the ZnAl22Cu3 Alloy, Solid State Phenomena; Trans Tech Publications, Ltd.: Bäch, Switzerland, 2016. [Google Scholar]
- Micu, L.M.; Bordeasu, I.; Popoviciu, M.O.; Popescu, M.; Bordeasu, D.; Salcianu, L.-C. Influence of volumic heat treatments upon cavitation erosion resistance of duplex X2CrNiMoN 22-5-3 stainless steels. IOP Conf. Ser. Mater. Sci. Eng. 2015, 85, 012019. [Google Scholar] [CrossRef]
- Kumar, V.; Anakoti, L.; Gautam, G.; Negi, A.; Sing, T. Erosive wear and topographical study of zinc-aluminum based composite reinforced with in-situ formed ZrB2 particles. Results Eng. 2024, 22, 102346. [Google Scholar] [CrossRef]
- Guragata, C.M. Studii si Cercetări Experimentale Privind Deformabilitatea si Comportarea la Eroziunea Cavitațională a Superaliajului tip Inconel 718. Ph.D. Thesis, National University of Science and Technology Politehnica Bucharest, Bucharest, Romania, 2022. [Google Scholar]
- Istrate, I.; Sarcea, B.G.; Demian, A.M.; Buzatu, A.D.; Salcianu, L.; Bordeasu, I.; Micu, L.M.; Chera, C.; Florea, B.; Ghiban, B. Correlation between Mechanical Properties—Structural Characteristics and Cavitation Resistance of Cast Aluminum Alloy type 5083. Crystals 2022, 12, 1538. [Google Scholar] [CrossRef]
- Gheorghe, C.-M.; Petre, G.; Trante, O.; Milea, C.G.; Ghiban, B. Corrosion Behaviour of Zamak Components in a Hearing Aid. Univ. Politeh. Buchar. Sci. Bull. Ser. B-Chem. Mater. Sci. 2020, 83, 251–262. [Google Scholar]
- Iordache, C.M.; Luca, A.N.; Bordeasu, I.; Ciungu, G.; Ghiban, B. Cavitational Erosion Behavior of a Biodegradable Alloy from the Zn-Mg System for Biomedical Applications. Tribol. Ind. 2024, 46, 315–323. [Google Scholar] [CrossRef]
- Luca, A.N.; Bordeasu, I.; Iordache, C.M.; Ciungu, G.; Ghiban, B.; Miculescu, M.; Micu, L.M. Heat Treatment Influence on the Cavitational Erosion Zn-Mg Behavior Used for Biomedical Applications. Tribol. Ind. 2024, 46, 270–282. [Google Scholar] [CrossRef]
- Ciungu, G. Experimental Studies on the Cavitation and Biodegradation Behaviour of Some Alloys of the System ZnCu(Mg) System. PhD Thesis, University Politehnica Bucharest, Bucharest, Romanian, 2024. [Google Scholar]
- Bordeasu, I. Monografia Laboratorului de Cercetare a Eroziunii prin Cavitatie al Universitatii Politehnica Timisoara (1960–2020); Editura Politehnica: Timişoara, Romania, 2020. [Google Scholar]
- Oanca, V.O. Tehnici de Optimizare a Rezistenţei la Eroziunea prin Cavitaţie a Unor Aliaje CuAlNiFeMn Destinate Execuţiei Elicelor Navale. Ph.D. Thesis, Timișoara, Romania, 2014. [Google Scholar]
- ASTM, Standard G32; Standard Method of Vibratory Cavitation Erosion Test. ASTM: West Conshohocken, PE, USA, 2016.
- Luca, A.N. Cercetarea rezistenței la eroziunea prin cavitație a unor aliaje cu bază de aluminiu cu tratament termic de îmbătrânire artificială. Ph.D. Thesis, U.P. Timisoara, Timisoara, Romania, 2024. [Google Scholar]
- Kokubo, T.; Takadama, H. How useful is SBF in predicting in vivo bone bioactivity. Biomaterials 2006, 27, 2907–2915. [Google Scholar] [CrossRef] [PubMed]
- Lorenz, C.; Brunner, J.G.; Kollmannsberger, P.; Jaafar, L.; Fabry, B.; Virtanen, S. Effect of surface pre-treatments on biocompatibility of magnesium. Acta Biomater. 2009, 5, 2783–2789. [Google Scholar] [CrossRef]
- Lotfi, M.; Naceur, M.; Nejib, M. Cell Adhesion to Biomaterials: Concept of Biocompatibility; INTECH Open Access Publisher: London, UK, 2013. [Google Scholar]
- Swetha, B.; Mathew, S.; Sreenivasa Murthy, B.V.; Shruthi, N.; Bhandi, S.H. Determination of biocompatibility: A review. Int. Dent. Med. J. Adv. Res. 2015, 1, 1–6. [Google Scholar] [CrossRef]
- Chen, Y.; Zhang, W.; Maitz, M.; Chen, M.; Zhang, H.; Mao, J.; Zhao, Y.; Huang, N.; Wan, G. Comparative corrosion behavior of Zn with Fe and Mg in the course of immersion degradation in phosphate buffered saline. Corros. Sci. 2016, 111, 541–555. [Google Scholar] [CrossRef]
- Volovitch, P.; Allely, C.; Ogle, K. Understanding corrosion via corrosion product characterization: I. Case study of the role of Mg alloying in Zn–Mg coating on steel. Corros. Sci. 2009, 51, 1251–1262. [Google Scholar] [CrossRef]
- Istrate, D.; Bordeasu, I.; Ghiban, B.; Dionisie, I.; Sbarcea, B.-G.; Ghera, C.; Luca, A.N.; Odagiu, P.O.; Florea, B.; Gubencu, D. Correlation between Mechanical Properties structural Characteristics and Cavitation Resistance of Rolled Aluminum Alloy Type 5083. Metals 2023, 13, 1067. [Google Scholar] [CrossRef]
- Mitelea, I.; Bordeasu, I.; Mutascu, D.; Buzdugan, D.; Craciunescu, C.M. Cavitation resistance of Stellite 21 coatings tungsten inert gas (TIG) deposited onto duplex stainless steel X2CrNiMoN22-5-3. Mater. Test. 2022, 64, 967–976. [Google Scholar] [CrossRef]
- Pan, C.C.; Xia, D.H.; Hou, M.Y.; Qin, Z.; Xu, Y.; Behnamian, Y.; Hu, W. Cavitation erosion of the AA7050 aluminum alloy in 3.5 wt% NaCl solution—Part 1: Mitigating effect by corrosion. Corros. Sci. 2024, 232, 112012. [Google Scholar] [CrossRef]
Disclaimer/Publisher’s Note: The statements, opinions and data contained in all publications are solely those of the individual author(s) and contributor(s) and not of MDPI and/or the editor(s). MDPI and/or the editor(s) disclaim responsibility for any injury to people or property resulting from any ideas, methods, instructions or products referred to in the content. |
© 2025 by the authors. Licensee MDPI, Basel, Switzerland. This article is an open access article distributed under the terms and conditions of the Creative Commons Attribution (CC BY) license (https://creativecommons.org/licenses/by/4.0/).











