Long Short-Term Memory Parameter Optimization Based on Improved Sparrow Search Algorithm for Molten Iron Quality Prediction
Abstract
1. Introduction
2. Basic Algorithm
2.1. Long Short-Term Memory Networks
2.2. Sparrow Search Algorithm
- The formula for updating the position of the producer is described aswhere denotes the current iteration; is a constant, which denotes the maximum number of iterations; denotes the value of the -th dimension of the -th sparrow at iteration ; is a random number; denotes the alarm value; denotes the safety threshold; is a random number that obeys a normal distribution; and denotes a matrix of whose elements inside are all 1. When , it indicates that there are no predators around the foraging area, so the producers can conduct a wide search. When , it indicates that some sparrows have detected the predators in the foraging area and alerted the other sparrows in the population, at which point all sparrows need to quickly fly to other safe areas to forage.
- The formula for updating the position of the scrounger is described aswhere denotes the optimal position occupied by the producer of generation ; denotes the current position occupied by the global worst individual; denotes a matrix of whose elements inside are randomly assigned 1 or −1; and . When , it indicates that the -th scrounger with the worst fitness value does not find food and needs to go to other areas for food.
- The sparrows that sense danger are called sentinels. The formula for updating the position of the sentinel is described aswhere denotes the current global optimal position; denotes the step size control parameter of the sentinel position update, which is a random number obeying a normal distribution with a mean value of 0 and a variance of 1; , as the step size control parameter, is a random number indicating the direction in which the sentinel is moving; is the fitness value of the present sparrow; and are the current global best and worst fitness values, respectively; and is the smallest constant to avoid the denominator being zero. When , it indicates that the individual sparrow is at the periphery of the group, and it needs to move to obtain a higher fitness value. When , it indicates that the sparrows in the center of the group sense danger and must move towards other sparrows to avoid the danger of predation.
2.3. Non-Dominated Sorting Genetic Algorithm II
- Population initialization: Two random generation methods, uniform distribution and Gaussian distribution, are used to generate the population. Each individual in the population is then initially evaluated. The feasibility of constraints and solutions is considered to ensure that the generated population meets the requirements of the problems.
- Fast non-dominated sorting: Each solution is assigned two attributes: represents the number of dominant solutions , and represents the set of solutions dominated by solution .
- Calculation of crowding distance: The crowding distance is used to measure the diversity of populations. The schematic diagram of crowding distance is shown in Figure 4a. The x-axis of the graph represents the objective function, and the y-axis represents the crowding distance. A point on the graph represents each candidate solution. The candidate solution that is closer to the left side of the graph indicates better performance on the objective function. The candidate solution that is closer to the top of the graph indicates a sparser distribution within the entire solution set, with a higher crowding distance and greater diversity. The density between candidate solutions can be measured by the distance on the x-axis. Solutions that are closer together in terms of the x-axis distance suggest that they have similar performance on the objective function. The crowding distance of the individual in the population is calculated aswhere denotes the crowding distance of individual , and denotes the -th objective function of individual . The crowding distance between the first and last individuals is expressed as . After performing fast non-dominated sorting and calculating the crowding distance, each individual in the population obtains two attributes: non-domination rank and crowding distance . With these two attributes, the dominant relationship between any two individuals in the population can be determined.
- Elitism strategy: To prevent the loss of good individuals, the elitism strategy retains the good individuals from the parent generation directly into the offspring. Fast non-dominated sorting and the calculation of the crowding distance are used to sort the individuals in the parent generation, the offspring generation, and the synthetic populations so that the next generation can be selected. The schematic diagram of the elitism strategy is shown in Figure 4b.
- Selection, crossover, and mutation: A binary tournament selection strategy is used to simulate binary crossover and polynomial mutation. Specifically, two individuals are randomly selected from the population in each iteration, and the better of them is chosen to join the offspring population until the new population size reaches the original population size.
- Termination condition: During the iteration process, if the iteration reaches the maximum value, the algorithm will be stopped. Otherwise, it continues to repeat the above steps.
3. Improved Sparrow Search Algorithm: Non-Dominated Sorting Genetic Algorithm II
3.1. Improved Sparrow Search Algorithm
- Levy fight strategy: The Levy fight strategy is a random behavior strategy. Based on the Levy distribution, it simulates long-distance and random flight behavior. It is a kind of random walk with occasional large steps. In optimization, this characteristic of Levy flight enables a potentially stuck algorithm to escape from a local optimum and restart the search in a different region of the search space [32]. The formula for the Levy flight strategy iswhere denotes the gamma function; is a constant; and and are random numbers.
- 2
- Sine search strategy: The sine search strategy simulates the oscillation process of the sine and cosine functions [33]. By adjusting the oscillation parameters to control the step size and direction of the search process, the global search and the local search are balanced until the solution space gradually converges to the optimal solution. The sine search strategy is introduced into (2) and (3), which are the formulas for updating the positions of the producer and the scrounger, so that the individual sparrows can be given different weight values according to their different positions. When the fitness value of the individual approaches the optimal fitness value , the weight is small, and the algorithm continues to search in the interval near the position of the current individual. When the fitness value of the individual approaches the worst fitness value , the weight increases to , and the algorithm begins to search in the interval far from the position of the current individual. Thanks to this strategy, individuals with higher fitness values in the population can search near their current positions, so the local search ability is enhanced. On the other hand, individuals with lower fitness values in the population can explore away from their own positions, thus improving global search ability. The formula for the sine search strategy iswhere and denote the minimum and maximum values of the weight range, respectively; denotes the fitness value of the -th sparrow in the population at iteration ; and and denote the best and worst fitness values in the population at iteration , respectively. Figure 5 is the variation law of adaptive weight .
- 3
- Step size factor adjustment strategy: The step size factor adjustment strategy dynamically adjusts the step size during different stages of the search by selecting appropriate adaptive factors with their special mathematical characteristics [34]. This achieves a balance between the local search and the global search. The step size control parameters and in the (4) are improved aswhere and denote the best fitness value and the worst fitness value, respectively, and denotes the maximum number of iterations.
3.2. ISSA-NSGAII Algorithm
- Define the hyperparameter space: The range of hyperparameters is determined for the LSTM network.
- Initialize the sparrow population: The random initialization method of SSA is used to generate the initial sparrow population, where each sparrow represents a hyperparameter configuration.
- Evaluate the fitness value of the sparrow: For each sparrow, the LSTM network is trained using the training set divided by cross-validation, and its performance is evaluated on the validation set. According to the specific indicators of the problem, such as accuracy and loss function, the fitness value of each sparrow is calculated.
- Fast non-dominated sorting and calculation of crowding distance: NSGAII is used to perform fast non-dominated sorting on the sparrow population. The sparrows are divided into different levels, and the crowding distance of each sparrow on the Pareto front is calculated.
- Selection: Based on fast non-dominated sorting and crowding distance, the elitism strategy is used to select sparrows with higher fitness values in the population as parents for the next generation.
- Genetic operation: Crossover and mutation operations are performed on selected parent sparrows to generate the next generation of sparrow populations. The crossover operation is performed using the cross strategy of the NSGAII, which can be adapted according to the characteristics of the hyperparameters.
- Updated sparrow population: The newly generated sparrow population is merged with the original population to form an updated sparrow population.
- Termination condition: According to the predefined termination condition, such as the maximum number of iterations or the threshold of the fitness value, it is determined whether to terminate the optimization process. If the termination condition is not satisfied, return to step 4.
- Output optimal hyperparameters: At the end of the optimization, the sparrow with the best fitness value, which represents the optimal hyperparameters, is selected from the final sparrow population as the best configuration for the LSTM network.
4. Experimental Results
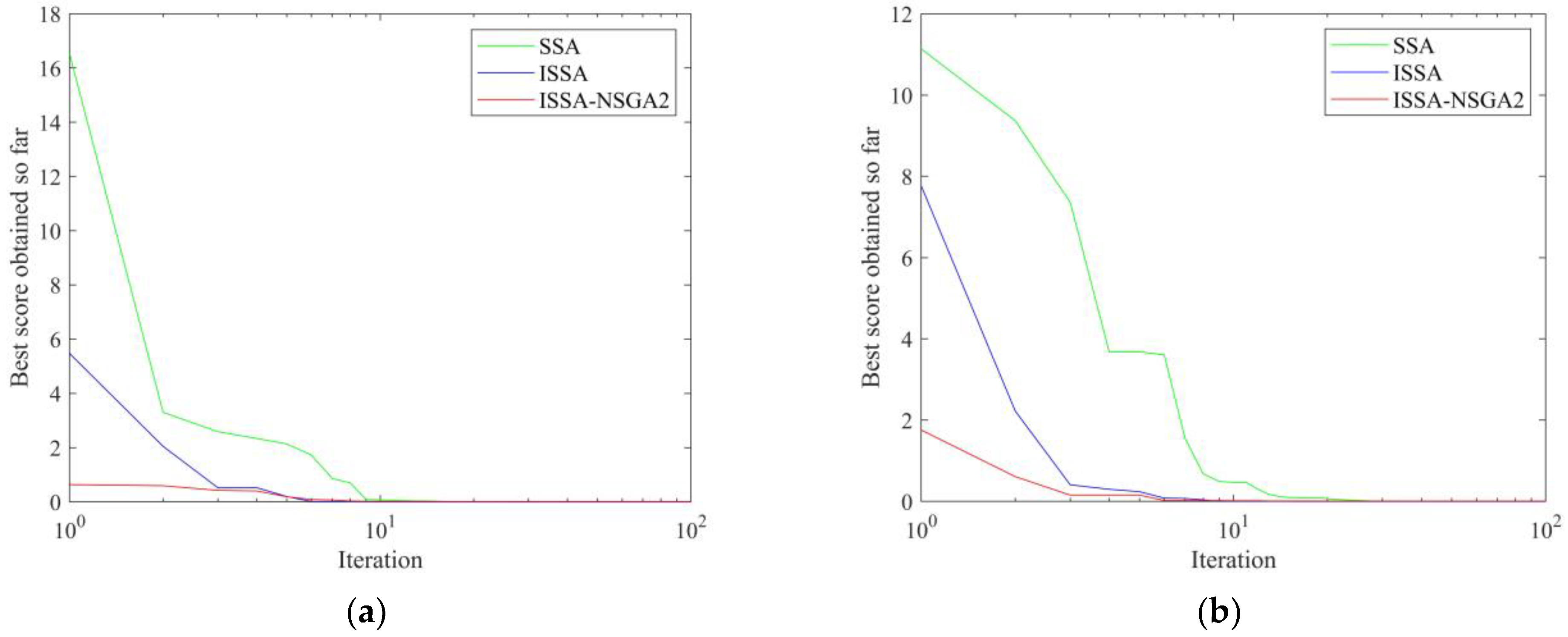
4.1. Benchmark Function
4.2. Ablation Experiment
4.3. Experiments Based on Real Industrial Operation Data
5. Conclusions
Author Contributions
Funding
Data Availability Statement
Conflicts of Interest
References
- Geerdes, M.; Chaigneau, R.; Lingiardi, O. Modern Blast Furnace Ironmaking: An Introduction (2020); Ios Press: Amsterdam, The Netherlands, 2020. [Google Scholar]
- Yang, Y.; Holappa, L.; Saxen, H.; Van der Stel, J. Ironmaking. In Treatise on process metallurgy; Elsevier: Amsterdam, The Netherlands, 2024; pp. 7–88. [Google Scholar]
- Cameron, I.; Sukhram, M.; Lefebvre, K.; Davenport, W. Blast Furnace Ironmaking: Analysis, Control, and Optimization; Elsevier: Amsterdam, The Netherlands, 2019. [Google Scholar]
- Liu, Y.; Zhang, J.; Jiao, K.; Huang, W. The Operation of Contemporary Blast Furnaces; Springer: Singapore, 2021. [Google Scholar]
- Proctor, D.M.; Fehling, K.A.; Shay, E.C.; Shay, E.C. Physical and chemical characteristics of blast furnace, basic oxygen furnace, and electric arc furnace steel industry slags. Environ. Sci. Technol. 2000, 34, 1576–1582. [Google Scholar] [CrossRef]
- Vapnik, V.N.; Lerner, A.Y. Recognition of patterns with help of generalized portraits. Avtom. I Telemekhanika 1963, 24, 774–780. [Google Scholar]
- Pisner, D.A.; Schnyer, D.M. Support vector machine. In Machine Learning; Academic Press: Cambridge, MA, USA, 2020; pp. 101–121. [Google Scholar]
- Genuer, R.; Poggi, J.M. Random Forests; Springer International Publishing: Cham, Switzerland, 2020. [Google Scholar]
- Priyanka; Dharmender, K. Decision tree classifier: A detailed survey. Int. J. Inf. Decis. Sci. 2020, 12, 246–269. [Google Scholar] [CrossRef]
- Jian, L. Application of Support Vector Machine in Blast Furnace Temperature Forecasting. Master’s Thesis, Zhejiang University, Hangzhou, China, 2006. [Google Scholar]
- Chen, J. A predictive system for blast furnaces by integrating a neural network with qualitative analysis. Eng. Appl. Artif. Intell. 2001, 14, 77–85. [Google Scholar] [CrossRef]
- Zhang, L. Blast Furnace Molten Iron Quality Parameters Modeling Methods Based on Modified Random Vector Functional-Link Networks. Master’s Thesis, Northeastern University, Shenyang, China, 2016. [Google Scholar]
- Lv, Y.B. Data-Driven Robust Modeling for Molten Iron Quality Parameters Based on RVFLNs. Master’s Thesis, Northeastern University, Shenyang, China, 2016. [Google Scholar]
- Dai, P. Bilinear Subspace Modeling and Nonlinear Predictive Control of Molten Iron Quality Indices in Blast Furnace. Master’s Thesis, Northeastern University, Shenyang, China, 2018. [Google Scholar]
- Zhou, P.; Guo, D.W.; Wang, H.; Chai, T.Y. Data-driven robust M-LS-SVR-based NARX modeling for estimation and control of molten iron quality indices in blast furnace ironmaking. IEEE Trans. Neural Netw. Learn. Syst. 2018, 29, 4007–4021. [Google Scholar] [CrossRef] [PubMed]
- Hochreiter, S. Untersuchungen zu dynamischen neuronalen netzen. Master’s Thesis, Technische Universität München, München, Germany, 1991. [Google Scholar]
- Chen, L.; Lei, C. Deep learning basics. In Deep Learning and Practice with Mindspore; Springer: Singapore, 2021; pp. 17–28. [Google Scholar]
- Houdt, V.G.; Mosquera, C.; Nápoles, G. A review on the long short-term memory model. Artif. Intell. Rev. 2020, 53, 5929–5955. [Google Scholar] [CrossRef]
- Hochreiter, S.; Schmidhuber, J. Long short-term memory. Neural Comput. 1997, 9, 1735–1780. [Google Scholar] [CrossRef] [PubMed]
- Abbe, E.; Boix-Adsera, E.; Brennan, M.S. The staircase property: How hierarchical structure can guide deep learning. Adv. Neural Inf. Process. Syst. 2021, 34, 26989–27002. [Google Scholar]
- Bengio, Y. Practical recommendations for gradient-based training of deep architectures. In Neural Networks: Tricks of the Trade, 2nd ed.; Springer: Berlin/Heidelberg, Germany, 2012; pp. 437–478. [Google Scholar]
- Abbasimehr, H.; Shabani, M.; Yousefi, M. An optimized model using LSTM network for demand forecasting. Comput. Ind. Eng. 2020, 143, 106435. [Google Scholar] [CrossRef]
- Snoek, J.; Larochelle, H.; Adams, R.P. Practical bayesian optimization of machine learning algorithms. In Proceedings of the 25th International Conference on Neural Information Processing Systems, Lake Tahoe, NV, USA, 3–6 December 2012; Volume 2. [Google Scholar]
- Gorgolis, N.; Hatzilygeroudis, I.; Istenes, Z.; Gyenne, L.G. Hyperparameter optimization of LSTM network models through genetic algorithm. In Proceedings of the 2019 10th International Conference on Information, Intelligence, Systems and Applications (IISA), Patras, Achaia, Greece, 15–17 July 2019; pp. 1–4. [Google Scholar]
- Xue, J.K.; Shen, B. A novel swarm intelligence optimization approach: Sparrow search algorithm. Syst. Sci. Control Eng. 2020, 8, 22–34. [Google Scholar] [CrossRef]
- Das, S.; Tariq, A.; Santos, T.; Kantareddy, S.S. Recurrent neural networks (RNNs): Architectures, training tricks, and introduction to influential research. In Machine Learning for Brain Disorders; Humana: New York, NY, USA, 2023; pp. 117–138. [Google Scholar]
- Bautista, L.M.; Alonso, J.C.; Alonso, J.A. Foraging site displacement in common crane flocks. Anim. Behav. 1998, 56, 1237–1243. [Google Scholar] [CrossRef]
- Lendvai, A.Z.; Barta, Z.; Liker, A.; Bokony, V. The effect of energy reserves on social foraging: Hungry sparrows scrounge more. Proc. R. Soc. Lond. Ser. B Biol. Sci. 2004, 271, 2467–2472. [Google Scholar] [CrossRef] [PubMed]
- Xue, J.K. Research and Application of a Novel Swarm Intelligence Optimization Technique. Master’s Thesis, Donghua University, Shanghai, China, 2020. [Google Scholar]
- Verma, S.; Plant, M.; Snasel, V.A. A comprehensive review on NSGA-II for multi-objective combinatorial optimization problems. IEEE Access 2021, 9, 57757–57791. [Google Scholar] [CrossRef]
- Deb, K.; Pratap, A.; Agarwal, S.; Meyarivan, T.A.M.T. A fast and elitist multiobjective genetic algorithm: NSGA-II. IEEE Trans. Evol. Comput. 2002, 6, 182–197. [Google Scholar] [CrossRef]
- Iacca, G.; dos Santos Junior, V.C.; de Melo, V.V. An improved Jaya optimization algorithm with Lévy flight. Expert Syst. Appl. 2021, 165, 113902. [Google Scholar] [CrossRef]
- Singh, N.; Kaur, J. Hybridizing sine–cosine algorithm with harmony search strategy for optimization design problems. Soft Comput. 2021, 25, 11053–11075. [Google Scholar] [CrossRef]
- Han, M.; Zhong, J.; Sang, P.; Liao, H. A combined model incorporating improved SSA and LSTM algorithms for short-term load forecasting. Electronics 2022, 11, 1835. [Google Scholar] [CrossRef]
- Ma, H.; Zhang, Y.; Sun, S.; Liu, T.; Shan, Y. A comprehensive survey on NSGA-II for multi-objective optimization and applications. Artif. Intell. Rev. 2023, 56, 15217–15270. [Google Scholar] [CrossRef]
- Xie, J.; Zhou, P. Robust stochastic configuration network multi-output modeling of molten iron quality in blast furnace ironmaking. Neurocomputing 2020, 387, 139–149. [Google Scholar] [CrossRef]














| Number | Benchmark Function |
|---|---|
| ZDT1 | |
| ZDT2 | |
| ZDT3 | |
| ZDT4 |
| Benchmark Function | SSA | ISSA | ISSA-NSGAII | |
|---|---|---|---|---|
| ZDT1 | Mean value | 1.5364 | 1.3228 | 0.1971 |
| Standard deviation | 0.06954 | 0.0551 | 0.0375 | |
| ZDT2 | Mean value | 0.8428 | 0.7523 | 0.1524 |
| Standard deviation | 0.7628 | 0.5241 | 0.03241 | |
| ZDT3 | Mean value | 51.364 | 47.742 | 42.284 |
| Standard deviation | 72.653 | 53.651 | 52.413 | |
| ZDT4 | Mean value | 40.309 | 40.211 | 40.024 |
| Standard deviation | 65.577 | 65.354 | 65.586 | |
| Benchmark Function | SSA | Levy-SSA | Sine-SSA | Step-SSA | ISSA | |
|---|---|---|---|---|---|---|
| ZDT1 | Mean value | 1.5364 | 1.5653 | 1.5376 | 1.6638 | 1.3228 |
| Standard deviation | 0.06954 | 0.04459 | 0.06975 | 0.05743 | 0.0551 | |
| ZDT2 | Mean value | 0.8428 | 0.7579 | 0.7794 | 0.8281 | 0.7523 |
| Standard deviation | 0.7628 | 0.7334 | 0.6461 | 0.6983 | 0.5241 | |
| ZDT3 | Mean value | 51.364 | 50.685 | 51.587 | 51.257 | 47.742 |
| Standard deviation | 72.653 | 67.972 | 66.221 | 65.785 | 53.651 | |
| ZDT4 | Mean value | 40.309 | 40.163 | 40.272 | 40.046 | 40.211 |
| Standard deviation | 65.577 | 65.415 | 65.569 | 65.422 | 65.354 | |
| Variable | Typical Variable | |
|---|---|---|
| −0.191[Si] − 0.912MIT | −1.063[Si] + 0.578MIT | |
| Flow rate of cold air (m3/min) | −1.618 | 9.488 |
| Feed blast ratio (%) | −0.295 | −2.416 |
| Blast pressure (kPa) | 0.072 | 0.778 |
| Furnace top pressure (kPa) | −0.220 | −0.140 |
| Pressure drop (kPa) | −2.342 | 2.687 |
| Top pressure air volume ratio (kPa/m3 × min) | −0.299 | 1.252 |
| Gas permeability (m3/min × kPa) | −0.475 | −2.435 |
| Resistance coefficient (-) | 0.744 | −5.188 |
| Blast temperature (°C) | −0.293 | −3.298 |
| Flow rate of rich oxygen (m3/h) | −2.587 | −0.450 |
| Oxygen enrichment rate (%) | 1.590 | −3.421 |
| Volume of coal injection (Kg/t) | 0.959 | 3.781 |
| Blast humidity (g/m3) | 0.170 | 1.528 |
| Theoretical burning temperature (°C) | 0.991 | 8.740 |
| Standard wind speed (m/s) | 0.479 | 1.450 |
| Actual wind speed (m/s) | −0.284 | 2.270 |
| Blast kinetic energy (KJ/s) | 0.062 | −2.939 |
| Gas volume of bosh (m3/min) | 2.186 | −12.154 |
| Bosh gas index (m3/min/m2) | 0.231 | 0.175 |
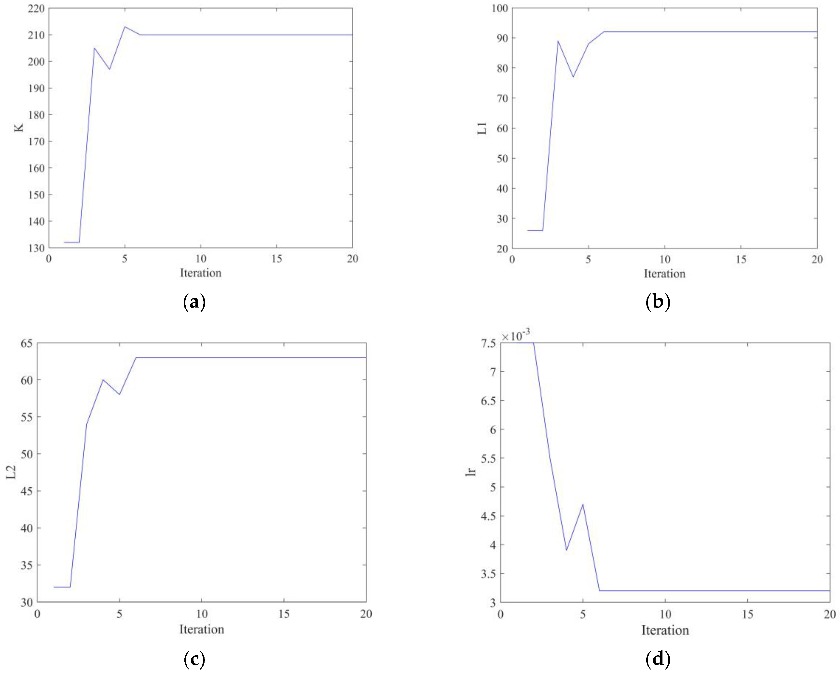
| Model | K | L1 | L2 | lr |
|---|---|---|---|---|
| LSTM | 100 | 50 | 50 | 0.0020 |
| SSA-LSTM | 134 | 62 | 48 | 0.0057 |
| ISSA-LSTM | 167 | 79 | 54 | 0.0072 |
| ISSA-NSGAII-LSTM | 210 | 92 | 63 | 0.0032 |
| Model | RMSE([Si]) | RMSE(MIT) |
|---|---|---|
| BP | 0.0844 | 8.7118 |
| RVFLNs | 0.0701 | 6.1552 |
| LSTM | 0.0702 | 5.6069 |
| SSA-LSTM | 0.0692 | 4.5841 |
| ISSA-LSTM | 0.0613 | 4.5703 |
| ISSA-NSGAII-LSTM | 0.0388 | 4.3859 |
Disclaimer/Publisher’s Note: The statements, opinions and data contained in all publications are solely those of the individual author(s) and contributor(s) and not of MDPI and/or the editor(s). MDPI and/or the editor(s) disclaim responsibility for any injury to people or property resulting from any ideas, methods, instructions or products referred to in the content. |
© 2024 by the authors. Licensee MDPI, Basel, Switzerland. This article is an open access article distributed under the terms and conditions of the Creative Commons Attribution (CC BY) license (https://creativecommons.org/licenses/by/4.0/).
Share and Cite
Zhang, Z.; Zhang, R.; Zhou, P. Long Short-Term Memory Parameter Optimization Based on Improved Sparrow Search Algorithm for Molten Iron Quality Prediction. Metals 2024, 14, 529. https://doi.org/10.3390/met14050529
Zhang Z, Zhang R, Zhou P. Long Short-Term Memory Parameter Optimization Based on Improved Sparrow Search Algorithm for Molten Iron Quality Prediction. Metals. 2024; 14(5):529. https://doi.org/10.3390/met14050529
Chicago/Turabian StyleZhang, Ziwen, Ruiyao Zhang, and Ping Zhou. 2024. "Long Short-Term Memory Parameter Optimization Based on Improved Sparrow Search Algorithm for Molten Iron Quality Prediction" Metals 14, no. 5: 529. https://doi.org/10.3390/met14050529
APA StyleZhang, Z., Zhang, R., & Zhou, P. (2024). Long Short-Term Memory Parameter Optimization Based on Improved Sparrow Search Algorithm for Molten Iron Quality Prediction. Metals, 14(5), 529. https://doi.org/10.3390/met14050529

