Purification of Copper Concentrate from Arsenic under Autoclave Conditions
Abstract
1. Introduction
2. Materials and Methods
2.1. Analysis
2.2. Materials and Reagents
2.3. Experimental Procedure
3. Results and Discussion
3.1. Study of Two-Stage Autoclave Processing of Copper–Arsenic Concentrate
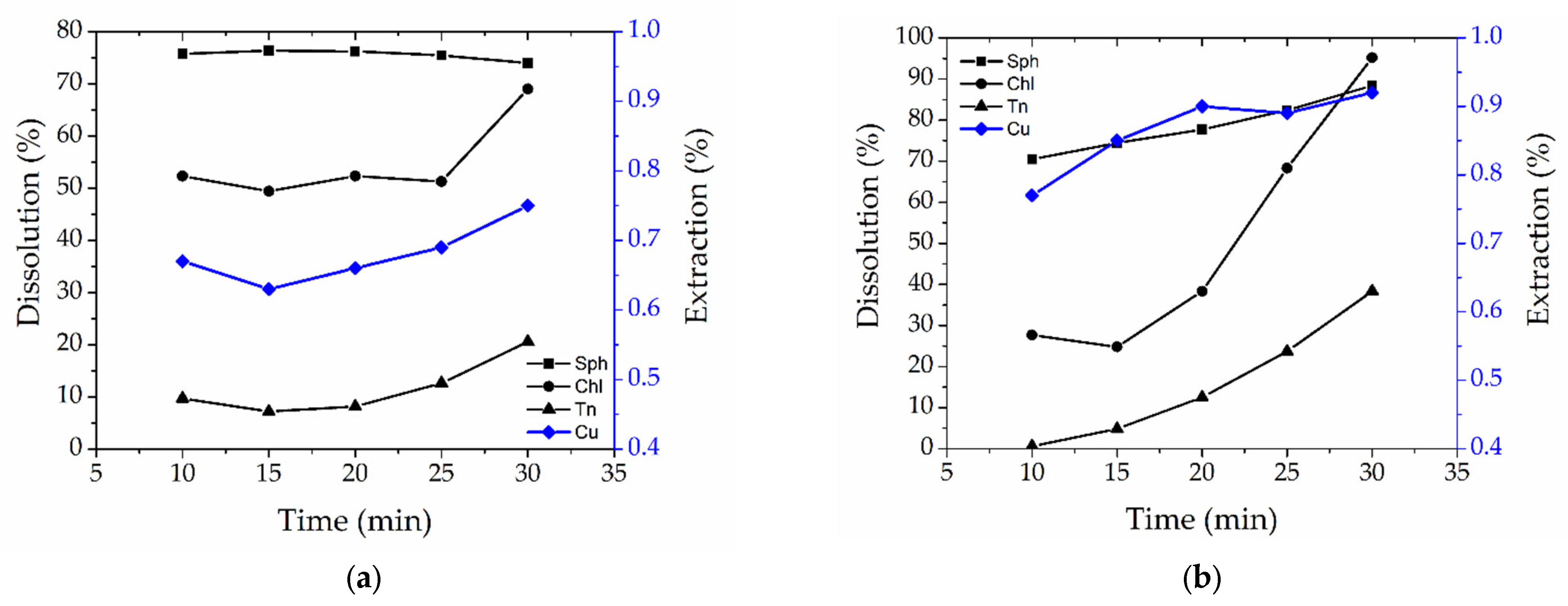
3.2. Study of Mineral Dissolution of Copper Concentrate
3.3. Microphotographs
4. Conclusions
Author Contributions
Funding
Data Availability Statement
Conflicts of Interest
References
- Vikentev, A. Selenium, tellurium and precious metal mineralogy in Uchalinsk copper-zinc-pyritic district, the Urals. IOP Conf. Ser. Mater. Sci. Eng. 2016, 123, 012027. [Google Scholar] [CrossRef]
- Lane, D.J.; Cook, N.J.; Grano, S.R.; Ehrig, K. Selective leaching of penalty elements from copper concentrates: A review. Miner. Eng. 2016, 98, 110–121. [Google Scholar] [CrossRef]
- Hernández, M.C.; Benavente, O.; Roca, A.; Melo, E.; Quezada, V. Selective Leaching of Arsenic from Copper Concentrates in Hypochlorite Medium. Minerals 2023, 13, 1372. [Google Scholar] [CrossRef]
- Jahromi, F.G.; Alvial-Hein, G.; Cowan, D.H.; Ghahreman, A. The kinetics of enargite dissolution in chloride media in the presence of activated carbon and AF 5 catalysts. Miner. Eng. 2019, 143, 106013. [Google Scholar] [CrossRef]
- Yang, W.; Qian, L.; Jin, B.; Feng, Q.; Li, L.; He, K.; Yang, J. Leaching behaviors of copper and arsenic from high-arsenic copper sulfide concentrates by oxygen-rich sulfuric acid leaching at atmospheric pressure. J. Environ. Chem. Eng. 2022, 10, 107358. [Google Scholar] [CrossRef]
- Lin, H.K. Electrochemical Behaviour of Tennantite in Chloride Solutions. J. Electrochem. Soc. 2006, 153, 74–79. [Google Scholar] [CrossRef]
- Velásquez-Yévenes, L.; Álvarez, H.; Quezada, V.; García, A. The Enhancement of Enargite Dissolution by Sodium Hypochlorite in Ammoniacal Solutions. Materials 2021, 14, 4529. [Google Scholar] [CrossRef] [PubMed]
- Aghazadeh, S.; Abdollahi, H.; Gharabaghi, M.; Mirmohammadi, M. Selective leaching of antimony from tetrahedrite rich concentrate using alkaline sulfide solution with experimental design: Optimization and kinetic studies. J. Taiwan Inst. Chem. Eng. 2021, 119, 298–312. [Google Scholar] [CrossRef]
- Zhang, F.; Cui, Y.; He, X.; Lv, C.; Li, L.; Zhang, J.; Nan, J. Selective alkaline leaching of antimony from Low-grade refractory gold ores and process optimization. Miner. Eng. 2023, 201, 108198. [Google Scholar] [CrossRef]
- Cuevas, J.; Bruckard, W.J.; Pownceby, M.I.; Sparrow, G.J.; Torpy, A. Alkaline sulphide leaching of tennantite in copper flotation concentrates to selectively dissolve arsenic. Miner. Process. Extr. Metall. 2022, 131, 229–238. [Google Scholar] [CrossRef]
- Artykova, A.; Elkina, Y.; Nechaeva, A.; Melamud, V.; Boduen, A.; Bulaev, A. Options for Increasing the Rate of Bioleaching of Arsenic Containing Copper Concentrate. Microbiol. Res. 2022, 13, 466–479. [Google Scholar] [CrossRef]
- Anderson, C.G.; Twidwell, L.G. Hydrometallurgical processing of gold-bearing copper enargite concentrates. Can. Metall. Quart. 2008, 47, 337–346. [Google Scholar] [CrossRef]
- Rogozhnikov, D.A.; Shoppert, A.A.; Dizer, O.A.; Karimov, K.A.; Rusalev, R.E. Leaching Kinetics of Sulfides from Refractory Gold Concentrates by Nitric Acid. Metals 2019, 9, 465. [Google Scholar] [CrossRef]
- Karimov, K.A.; Rogozhnikov, D.A.; Kuzas, E.A.; Shoppert, A.A. Leaching Kinetics of Arsenic Sulfide-Containing Materials by Copper Sulfate Solution. Metals 2020, 10, 7. [Google Scholar] [CrossRef]
- Rogozhnikov, D.A.; Karelov, S.V.; Mamyachenkov, S.V.; Anisimova, O.S. Technology for the Hydrometallurgical Processing of a Complex Multicomponent Sulfide-Based Raw Material. Metallurgist 2013, 57, 247–250. [Google Scholar] [CrossRef]
- Zhou, H.; Liu, G.; Zhang, L.; Zhou, C. Mineralogical and morphological factors affecting the separation of copper and arsenic in flash copper smelting slag flotation beneficiation process. J. Hazard. Mater. 2021, 401, 123293. [Google Scholar] [CrossRef]
- Kovyazin, A.; Timofeev, K.; Krauhin, S. Copper smelting fine dust autoclave leaching. Mater. Sci. Forume. 2019, 946, 615–620. [Google Scholar] [CrossRef]
- Jarošíková, A.; Ettler, V.; Mihaljevič, M.; Penížek, V.; Matoušek, T.; Culka, A.; Drahota, P. Transformation of arsenic-rich copper smelter flue dust in contrasting soils: A 2-year field experiment. Environ. Pollut. 2018, 237, 83–92. [Google Scholar] [CrossRef]
- Lv, X.-D.; Li, G.; Xin, Y.-T.; Yan, K.; Yi, Y. Selective Leaching of Arsenic from High-Arsenic Dust in the Alkaline System and its Prediction Model Using Artificial Neural Network. Min. Metall. Explor. 2021, 28, 2133–2144. [Google Scholar] [CrossRef]
- Guo, X.-Y.; Yi, Y.; Shi, J.; Tian, Q.-H. Leaching behavior of metals from high-arsenic dust by NaOH-Na2S alkaline leaching. Trans. Nonferrous Met. Soc. China 2016, 26, 575–580. [Google Scholar] [CrossRef]
- Isabaev, S.M.; Kuzgibekova, K.M.; Zikanova, T.A.; Zhinova, E.V. Complex hydrometallurgical processing of lead arsenic-containing dust from copper production. Tsvetnye Met. 2017, 8, 33–38. [Google Scholar] [CrossRef]
- Nazari, A.M.; Radzinski, R.; Ghahreman, A. Review of Arsenic Metallurgy: Treatment of Arsenical Minerals and the Immobilization of Arsenic. Hydrometallurgy 2017, 174, 258–281. [Google Scholar] [CrossRef]
- Montenegro, V.; Sano, H.; Fujisawa, T. Recirculation of high arsenic content copper smelting dust to smelting and converting processes. Miner. Eng. 2013, 49, 184–189. [Google Scholar] [CrossRef]
- Schmidt, A.; Guy, B.; Montenegro, V.; Reuter, M.; Charitos, A.; Stelter, M.; Richter, A. Flue Dust Reactions and Sticking Mechanisms in a Copper Flash Smelting Furnace Waste Heat Boiler: A Sampling Study. J. Sustain. Metall. 2023, 9, 848–859. [Google Scholar] [CrossRef]
- Xue, J.; Long, D.; Zhong, H.; Wang, S.; Liu, L. Comprehensive recovery of arsenic and antimony from arsenic-rich copper smelter dust. J. Hazard. Mater. 2021, 413, 125365. [Google Scholar] [CrossRef]
- Mayhew, K.; Parhar, P.; Salomon-de-Frieberg, H. CESL process as applied to enargite-rich concentrates. Copper 2010, 5, 1983–1998. [Google Scholar]
- Karimov, K.; Rogozhnikov, D.; Kuzas, E.; Dizer, O.; Golovkin, D.; Tretiak, M. Deposition of Arsenic from Nitric Acid Leaching Solutions of Gold–Arsenic Sulphide Concentrates. Metals 2021, 11, 889. [Google Scholar] [CrossRef]
- Wu, X.; Zeng, L.; Wu, S.; Jialin, Q.; Li, Q.; Cao, Z.; Wang, M.; Zhang, G.; Guan, W. Eco-friendly extraction of arsenic and tungsten from hazardous tungsten residue waste by pressure oxidation leaching in alkaline solutions: Mechanism and kinetic model. J. Environ. Manag. 2023, 325, 116586. [Google Scholar] [CrossRef]
- Karimov, K.; Shoppert, A.; Rogozhnikov, D.; Kuzas, E.; Zakhar’yan, S.; Naboichenko, S. Effect of Preliminary Alkali Desilication on Ammonia Pressure Leaching of Low-Grade Copper–Silver Concentrate. Metals 2020, 10, 812. [Google Scholar] [CrossRef]
- Han, B.; Altansukh, B.; Haga, K.; Takasaki, Y.; Shibayama, A. Leaching and Kinetic Study on Pressure Oxidation of Chalcopyrite in H2SO4 Solution and the Effect of Pyrite on Chalcopyrite Leaching. J. Sustain. Metall. 2017, 3, 528–542. [Google Scholar] [CrossRef]
- Fuentes, G.; Viñals, J.; Herreros, O. Hydrothermal Purification and Enrichment of Chilean Copper Concentrates: Part 1: The Behavior of Bornite, Covellite and Pyrite. Hydrometallurgy 2009, 95, 104–112. [Google Scholar] [CrossRef]
- Padilla, R.; Rivas, C.A.; Ruiz, M.C. Kinetics of Pressure Dissolution of Enargite in Sulfate-Oxygen Media. Met. Mater Trans B 2008, 39, 399–407. [Google Scholar] [CrossRef]
- Padilla, R.; Jerez, O.; Ruiz, M.C. Kinetics of the Pressure Leaching of Enargite in FeSO4–H2SO4–O2 Media. Hydrometallurgy 2015, 158, 49–55. [Google Scholar] [CrossRef]
- Ruiz, M.C.; Vera, M.V.; Padilla, R. Mechanism of Enargite Pressure Leaching in the Presence of Pyrite. Hydrometallurgy 2011, 105, 290–295. [Google Scholar] [CrossRef]
- Padilla, R.; Rodríguez, G.; Ruiz, M.C. Copper and arsenic dissolution from chalcopyrite-enargite concentrate by sulfidation and pressure leaching in H2SO4-O2. Hydrometallurgy 2010, 100, 152–156. [Google Scholar] [CrossRef]
- Ji, G.; Liao, Y.; Xi, J.; Liu, Q.; Wu, Y.; Ma, H.; Li, J. Behavior and Kinetics of Copper During Oxygen Pressure Leaching of Complex Chalcopyrite Without Acid. J. Sustain. Metall. 2023, 9, 350–362. [Google Scholar] [CrossRef]
- Fuentes, G.; Viñals, J.; Herreros, O. Hydrothermal Purification and Enrichment of Chilean Copper Concentrates. Part 2: The Behavior of the Bulk Concentrates. Hydrometallurgy 2009, 95, 113–120. [Google Scholar] [CrossRef]
- Weidenbach, M.; Dunn, G.; Teo, Y.Y. Removal of impurities from copper sulfide mineral concentrates. In Proceedings of the ALTA Nickel-Cobalt-Copper Session, Perth, Australlia, 23–25 May 2016; pp. 335–351. [Google Scholar]
- Dobrosz-Gómez, I.; Ramos García, B.D.; GilPavas, E.; Gómez García, M.Á. Kinetic study on HCN volatilization in gold leaching tailing ponds. Miner. Eng. 2017, 110, 185–194. [Google Scholar] [CrossRef]
- Innocenzi, V.; Ippolito, N.M.; De Michelis, I.; Medici, F.; Vegliò, F. A hydrometallurgical process for the recovery of terbium from fluorescent lamps: Experimental design, optimization of acid leaching process and process analysis. J. Environ. Manag. 2016, 184, 552–559. [Google Scholar] [CrossRef]
- Lampinen, M.; Laari, A.; Turunen, I. Kinetic Model for Direct Leaching of Zinc Sulfide Concentrates at High Slurry and Solute Concentration. Hydrometallurgy 2015, 153, 160–169. [Google Scholar] [CrossRef]
- Cháidez, J.; Parga, J.; Valenzuela, J.; Carrillo, R.; Almaguer, I. Leaching Chalcopyrite Concentrate with Oxygen and Sulfuric Acid Using a Low-Pressure Reactor. Metals 2019, 9, 189. [Google Scholar] [CrossRef]
- Kritskii, A.; Naboichenko, S. Hydrothermal Treatment of Arsenopyrite Particles with CuSO4 Solution. Materials 2021, 14, 7472. [Google Scholar] [CrossRef] [PubMed]









| Element | S | Fe | Cu | Zn | As | Pb | Si | Al | Others |
|---|---|---|---|---|---|---|---|---|---|
| Wt., % | 39.4 | 27.9 | 18.0 | 4.8 | 2.9 | 2.1 | 0.8 | 0.5 | 3.36 |
| Source | Sum of Squares | Df | Mean Square | F-Ratio | p-Value |
|---|---|---|---|---|---|
| Fe | |||||
| A: Temperature | 1355.16 | 1 | 1355.16 | 45.31 | 0.0005 |
| B: Time | 1385.61 | 1 | 1385.61 | 46.33 | 0.0005 |
| AA | 925.796 | 1 | 925.796 | 30.95 | 0.0014 |
| AB | 916.224 | 1 | 916.224 | 30.63 | 0.0015 |
| BB | 391.578 | 1 | 391.578 | 13.09 | 0.0111 |
| As | |||||
| A: Temperature | 4144.45 | 1 | 4144.45 | 358.83 | 0.0000 |
| B: Time | 2469.68 | 1 | 2469.68 | 213.82 | 0.0000 |
| AA | 1735.27 | 1 | 1735.27 | 150.24 | 0.0000 |
| AB | 724.279 | 1 | 724.27 | 62.71 | 0.0002 |
| BB | 208.18 | 1 | 208.18 | 18.02 | 0.0054 |
| Zn | |||||
| A: Temperature | 261.77 | 1 | 261.77 | 49.16 | 0.0004 |
| B: Time | 246.04 | 1 | 246.04 | 46.21 | 0.0005 |
| AA | 92.25 | 1 | 92.25 | 17.33 | 0.0059 |
| AB | 186.49 | 1 | 186.49 | 35.02 | 0.0010 |
| BB | 7.37 | 1 | 7.37 | 1.39 | 0.2837 |
| Element | S | Fe | Cu | As | Pb | Others |
|---|---|---|---|---|---|---|
| Wt., % | 33.58 | 22.7 | 29.9 | 4.26 | 3.5 | 6.16 |
Disclaimer/Publisher’s Note: The statements, opinions and data contained in all publications are solely those of the individual author(s) and contributor(s) and not of MDPI and/or the editor(s). MDPI and/or the editor(s) disclaim responsibility for any injury to people or property resulting from any ideas, methods, instructions or products referred to in the content. |
© 2024 by the authors. Licensee MDPI, Basel, Switzerland. This article is an open access article distributed under the terms and conditions of the Creative Commons Attribution (CC BY) license (https://creativecommons.org/licenses/by/4.0/).
Share and Cite
Karimov, K.; Dizer, O.; Tretiak, M.; Rogozhnikov, D. Purification of Copper Concentrate from Arsenic under Autoclave Conditions. Metals 2024, 14, 150. https://doi.org/10.3390/met14020150
Karimov K, Dizer O, Tretiak M, Rogozhnikov D. Purification of Copper Concentrate from Arsenic under Autoclave Conditions. Metals. 2024; 14(2):150. https://doi.org/10.3390/met14020150
Chicago/Turabian StyleKarimov, Kirill, Oleg Dizer, Maksim Tretiak, and Denis Rogozhnikov. 2024. "Purification of Copper Concentrate from Arsenic under Autoclave Conditions" Metals 14, no. 2: 150. https://doi.org/10.3390/met14020150
APA StyleKarimov, K., Dizer, O., Tretiak, M., & Rogozhnikov, D. (2024). Purification of Copper Concentrate from Arsenic under Autoclave Conditions. Metals, 14(2), 150. https://doi.org/10.3390/met14020150

