Excellent Magnetocaloric Properties near 285 K of Amorphous Fe88Pr6Ce4B2 Ribbon
Abstract
1. Introduction
2. Materials and Methods
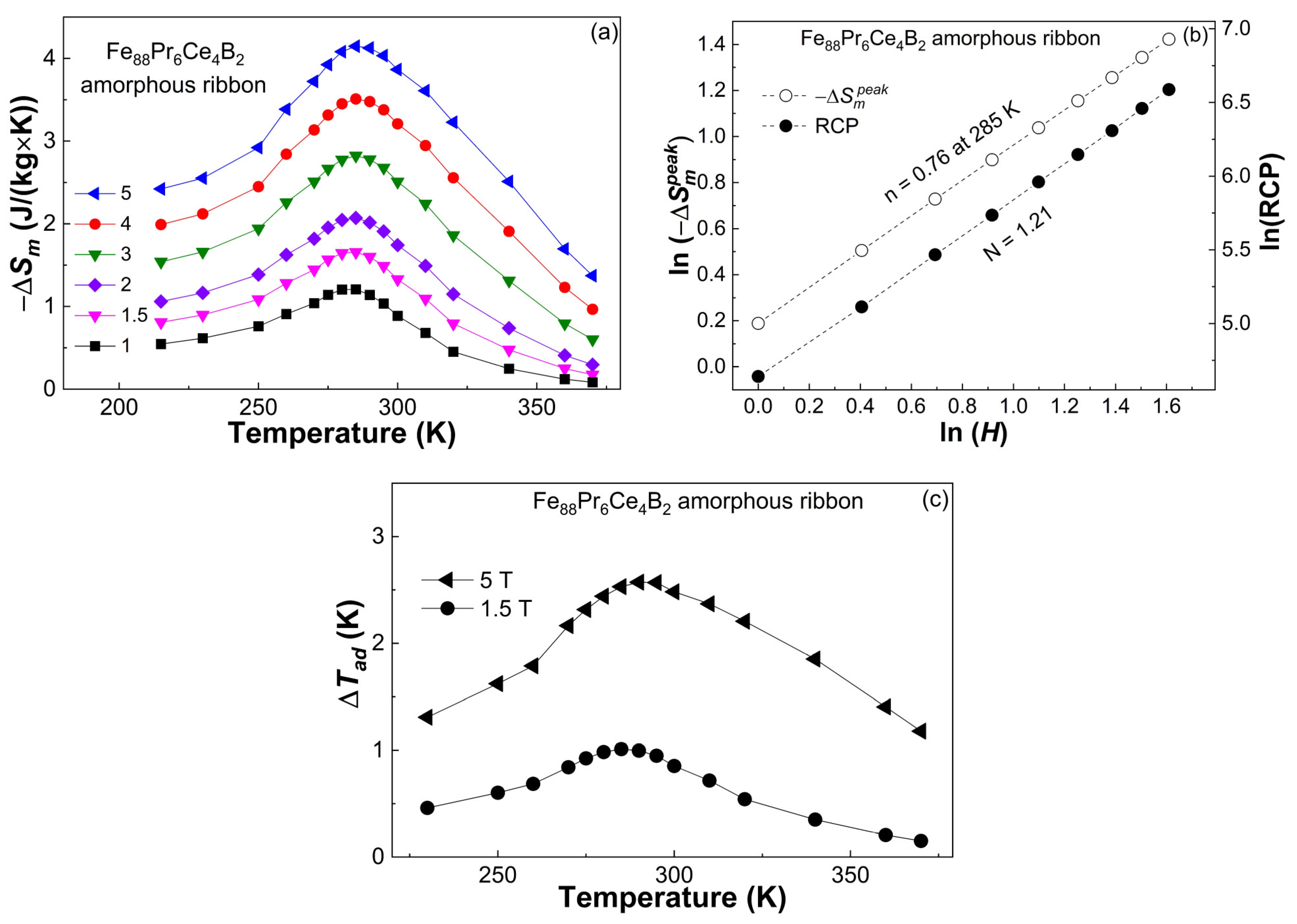
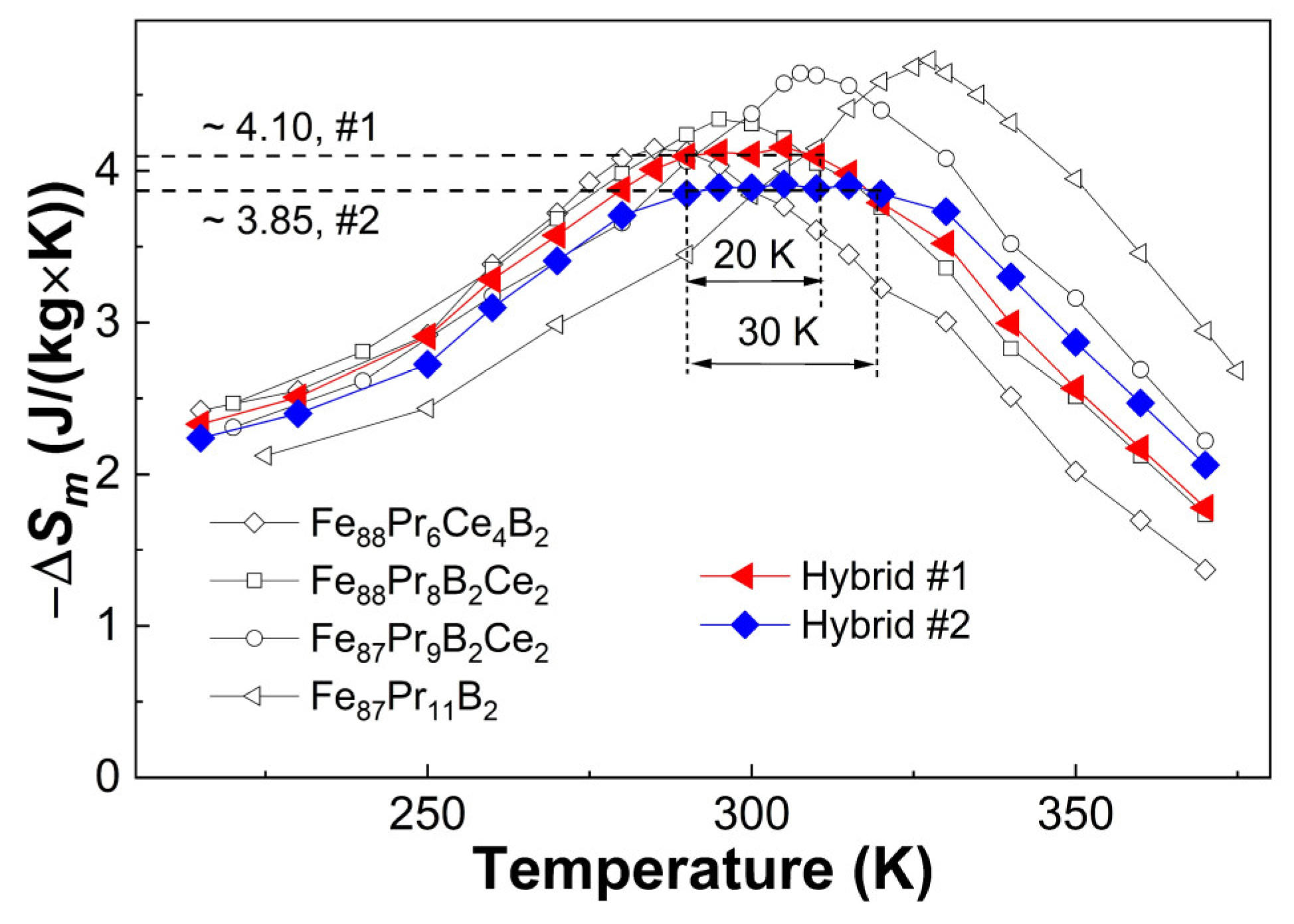
3. Results and Discussion
4. Conclusions
Author Contributions
Funding
Data Availability Statement
Acknowledgments
Conflicts of Interest
References
- Brück, E. Developments in magnetocaloric refrigeration. J. Phys. D Appl. Phys. 2005, 38, R381–R391. [Google Scholar] [CrossRef]
- Franco, V.; Blázquez, J.S.; Ipus, J.J.; Law, J.Y.; Moreno-Ramírez, L.M.; Conde, A. Magnetocaloric effect: From materials research to refrigeration devices. Prog. Mater. Sci. 2018, 93, 112–232. [Google Scholar]
- Pecharsky, V.K.; Gschneidner, K.A., Jr. Magnetocaloric effect and magnetic refrigeration. J. Magn. Magn. Mater. 1999, 200, 44–56. [Google Scholar] [CrossRef]
- de Oliveira, N.A.; von Ranke, P.J. Theoretical aspects of the magnetocaloric effect. Phys. Rep. 2010, 489, 89–159. [Google Scholar] [CrossRef]
- Yu, B.F.; Gao, Q.; Zhang, B.; Meng, X.Z.; Chen, Z. Review on research of room temperature magnetic refrigeration. Int. J. Refrig. 2003, 26, 622–636. [Google Scholar] [CrossRef]
- Franco, V.; Blázquez, J.S.; Ingale, B.; Conde, A. The Magnetocaloric Effect and Magnetic Refrigeration Near Room Temperature: Materials and Models. Annu. Rev. Mater. Res. 2012, 42, 305–342. [Google Scholar] [CrossRef]
- Gschneidner, K.A.; Pecharsky, V.K.; Tsokol, A.O. Recent developments in magnetocaloric materials. Rep. Prog. Phys. 2005, 68, 1479–1539. [Google Scholar] [CrossRef]
- Pecharsky, V.K.; Gschneidner, K.A. Giant magnetocaloric effect in Gd5(Si2Ge2). Phys. Rev. Lett. 1997, 78, 4494–4497. [Google Scholar] [CrossRef]
- Hu, F.X.; Shen, B.G.; Sun, J.R.; Cheng, Z.H.; Rao, G.H.; Zhang, X.X. Influence of negative lattice expansion and metamagnetic transition on magnetic entropy change in the compound LaFe11.4Si1.6. Appl. Phys. Lett. 2001, 78, 3675–3677. [Google Scholar] [CrossRef]
- Bouzidi, W.; Mliki, N.; Bessais, L. Second-order magnetic transition and low field magnetocaloric effect in nanocrystalline Pr5Co19 compound. J. Electron. Mater. 2018, 47, 2776–2781. [Google Scholar] [CrossRef]
- Hernández-González, E.L.; Watts, B.E.; Palomares-Sánchez, S.A.; Elizalde Galindo, J.T.; Mirabal-García, M. Second-order magnetic transition in La0.67Ca0.33−xSrxMnO3 (x = 0.05, 0.06, 0.07, 0.08). J. Supercond. Nov. Magn. 2016, 29, 2421–2427. [Google Scholar] [CrossRef]
- Wang, Z.W.; Yu, P.; Cui, Y.T.; Xia, L. Near room temperature magneto-caloric effect of a Gd48Co52 amorphous alloy. J. Alloys Compd. 2016, 658, 598–602. [Google Scholar] [CrossRef]
- Hashimoto, T.; Kuzuhara, T.; Sahashi, M.; Inomata, K.; Tomokiyo, A.; Yayama, H. New application of complex magnetic materials to the magnetic refrigerant in an Ericsson magnetic refrigerator. J. Appl. Phys. 1987, 62, 3873–3878. [Google Scholar] [CrossRef]
- Lai, J.W.; Zheng, Z.G.; Zhong, X.C.; Franco, V.; Montemayor, R.; Liu, Z.W.; Zeng, D.C. Table-like magnetocaloric effect of Fe88-xNdxCr8B4 composite materials. J. Magn. Magn. Mater. 2015, 390, 87–90. [Google Scholar] [CrossRef]
- Tian, H.; Zhong, X.; Liu, Z.; Zheng, Z.; Min, J.X. Achieving table-like magnetocaloric effect and large refrigerant capacity around room temperature in Fe78−xCexSi4Nb5B12Cu1 (x = 0–10) composite materials. Mater. Lett. 2015, 138, 64–66. [Google Scholar] [CrossRef]
- Peng, J.X.; Tang, B.Z.; Wang, Q.; Bai, C.; Wu, Y.; Chen, Q.X.; Li, D.M.; Ding, D.; Xia, L.; Guo, X.L.; et al. Effect of heavy rare-earth (Dy, Tb, Gd) addition on the glass-forming ability and magneto-caloric properties of Fe89Zr7B4 amorphous alloy. J. Alloys Compd. 2022, 925, 166707. [Google Scholar] [CrossRef]
- Inoue, A.; Takeuchi, A. Recent development and application products of bulk glassy alloys. Acta Mater. 2011, 59, 2243–2267. [Google Scholar] [CrossRef]
- Li, H.X.; Lu, Z.C.; Wang, S.L.; Wu, Y.; Lu, Z.P. Fe-based bulk metallic glasses: Glass formation, fabrication, properties and applications. Prog. Mater. Sci. 2019, 103, 235–318. [Google Scholar] [CrossRef]
- Mishra, D.; Gurram, M.; Reddy, A.; Perumal, A.; Saravanan, P.; Srinivasan, A. Enhanced soft magnetic properties and magnetocaloric effect in B substituted amorphous Fe-Zr alloy ribbons. Mater. Sci. Eng. B 2010, 175, 253–260. [Google Scholar] [CrossRef]
- Waske, A.; Schwarz, B.; Mattern, N.; Eckert, J. Magnetocaloric (Fe-B)-based amorphous alloys. J. Magn. Magn. Mater. 2013, 329, 101–104. [Google Scholar] [CrossRef]
- Guo, D.Q.; Yuan, Y.D.; Chan, K.C. The effect of different minor additions on the magneto-caloric effect of FeZrB metallic ribbons near room temperature. J. Magn. Magn Mater. 2018, 446, 12–17. [Google Scholar] [CrossRef]
- Wang, X.; Wang, Q.; Tang, B.Z.; Ding, D.; Cui, L.; Xia, L. Magnetic and magneto-caloric properties of the amorphous Fe92-xZr8Bx ribbons. Materials 2020, 13, 5334. [Google Scholar] [CrossRef] [PubMed]
- Yu, P.; Zhang, J.Z.; Xia, L. Effect of boron on the magneto-caloric effect in Fe91−xZr9Bx (x = 3, 4, 5) amorphous alloys. J. Mater. Sci. 2017, 52, 13948–13955. [Google Scholar] [CrossRef]
- Zhang, H.Y.; Li, R.; Xu, T.; Liu, F.M.; Zhang, T. Near room-temperature magnetocaloric effect in FeMnPBC metallic glasses with tunable Curie temperature. J. Magn. Magn. Mater. 2013, 347, 131–135. [Google Scholar] [CrossRef]
- Franco, V.; Conde, A.; Kiss, L.F. Magnetocaloric response of FeCrB amorphous alloys: Predicting the magnetic entropy change from the Arrott-Noakes equation of state. J. Appl. Phys. 2008, 104, 033903. [Google Scholar] [CrossRef]
- Zhang, M.X.; Li, J.W.; Kong, F.L.; Liu, J. Magnetic properties and magnetocaloric effect of FeCrNbYB metallic glasses with high glass-forming ability. Intermetallics 2015, 59, 18–22. [Google Scholar] [CrossRef]
- Wang, G.F.; Li, H.L.; Zhang, X.F.; Ma, Q.; Liu, Y.L.; Li, Y.F.; Zhao, Z.R. Large Magnetocaloric Effect in Fe-B-Mn-Zr-Nb Amorphous Alloys Near Room Temperature. J. Supercond. Nov. Magn 2016, 29, 1837–1842. [Google Scholar] [CrossRef]
- Kolano-Burian, A.; Kowalczyk, M.; Kolano, R.; Szymczak, R.; Szymczak, H.; Polak, M. Magnetocaloric effect in Fe–Cr–Cu–Nb–Si–B amorphous materials. J. Alloys Compd. 2009, 479, 71–73. [Google Scholar] [CrossRef]
- Caballero-Flores, R.; Franco, V.; Conde, A.; Knipling, K.E.; Willard, M.A. Influence of Co and Ni addition on the magnetocaloric effect in Fe88−2xCoxNixZr7B4Cu1 soft magnetic amorphous alloys. Appl. Phys. Lett. 2010, 96, 182506. [Google Scholar] [CrossRef]
- Li, X.Z.; Pan, Y. Magnetocaloric effect in Fe-Zr-B-M (M = Ni, Co, Al, and Ti) amorphous alloys. J. Appl. Phys. 2014, 116, 093910. [Google Scholar] [CrossRef]
- Alouhmy, M.; Moubah, R.; Alouhmy, G.; Abid, M.; Lassri, H. Effects of hydrogen implantation on the magnetocaloric properties of amorphous FeZr films. Vacuum 2021, 186, 110063. [Google Scholar] [CrossRef]
- Charkaoui, A.; Moubah, R.; Bouhbou, M.; Lassri, H.; Elouafi, A.; Jönsson, P.E. Critical behavior and magnetocaloric effect in C-implanted Fe93Zr7 amorphous films. Solid State Commun. 2020, 316, 113962. [Google Scholar] [CrossRef]
- Škorvánek, I.; Kováč, J.; Marcin, J.; Švec, P.; Janičkovič, D. Magnetocaloric effect in amorphous and nanocrystalline Fe81−xCrxNb7B12 (x = 0 and 3.5) alloys. Mater. Sci. Eng. A 2007, 449, 460–463. [Google Scholar] [CrossRef]
- Wang, Q.; Ding, D.; Tang, B.Z.; Yu, P.; Chan, K.C.; Xia, L. Excellent magnetocaloric performance of a Fe88Zr4Pr4B4 amorphous alloy and its amorphous hybrids. Intermetallics 2023, 161, 107982. [Google Scholar] [CrossRef]
- Wang, P.J.; Wang, Q.; Zheng, S.H.; Zhu, L.Z.; Ding, D.; Tang, B.Z.; Yu, P.; Yao, J.L.; Xia, L. Improvement of Curie temperature and magnetic entropy change of a Fe88Zr8B4 metallic glass by minor Nd substitution. J. Non-Cryst. Solids 2023, 611, 122347. [Google Scholar] [CrossRef]
- Zhang, Z.R.; Liu, X.J.; Zhang, H.T.; Wang, Q.; Ding, D.; Tang, B.Z.; Yu, P.; Yao, J.L.; Xia, L. Mechanism for Improved Curie Temperature and Magnetic Entropy Change in Sm-Doped Fe88Zr8B4 Amorphous Alloys. Materials 2023, 16, 7274. [Google Scholar] [CrossRef]
- Li, A.L.; Wang, Q.; Tang, B.Z.; Yu, P.; Ding, D.; Xia, L. Magnetocaloric effect of the Fe87M8B5 (M = Zr, Ce) amorphous alloys. Mater. Sci. Eng. B 2022, 286, 116033. [Google Scholar] [CrossRef]
- Inoue, A. Stabilization of metallic supercooled liquid and bulk amorphous alloys. Acta. Mater. 2000, 48, 279–306. [Google Scholar] [CrossRef]
- Turnbull, D. Under what conditions can a glass be formed? Contemp. Phys. 1969, 10, 473–488. [Google Scholar] [CrossRef]
- Lu, Z.P.; Liu, C.T. Glass formation criterion for various glass-forming systems. Phys. Rev. Lett. 2003, 91, 115505. [Google Scholar] [CrossRef]
- Takeuchi, A.; Inoue, A. Classification of bulk metallic glasses by atomic size difference, heat of mixing and period of constituent elements and its application to characterization of the main alloying element. Mater. Trans. 2005, 46, 2817–2829. [Google Scholar] [CrossRef]
- Banerjee, S.K. On a generalized approach to first and second order magnetic transitions. Phys. Lett. 1964, 12, 16–17. [Google Scholar] [CrossRef]
- Mira, J.; Rivas, J. Change from first- to second-order magnetic phase transition in La2/3(Ca, Sr)1/3MnO3 perovskites. Phys. Rev. B 1999, 60, 2998–3001. [Google Scholar] [CrossRef]
- Amaral, J.S.; Reis, M.S.; Amaral, V.S.; Mendonca, T.M.; Araujo, J.P.; Sa, M.A.; Tavares, P.B.; Vieira, J.M. Magnetocaloric effect in Er- and Eu-substituted ferromagnetic La-Sr manganites. J. Magn. Magn. Mater. 2005, 290, 686–689. [Google Scholar] [CrossRef]
- Mtiraoui, N.; Dhahri, J.; Oumezine, M.; Dhahri, E. Magnetic and Magnetocaloric Properties of La0.67Pb0.33−xAgxMnO3 Compounds. J. Supercond. Nov. Magn. 2012, 25, 1937–1945. [Google Scholar] [CrossRef][Green Version]
- Tozri, A.; Dhahri, E.; Hlil, E.K. Magnetic transition and magnetic entropy changes of La0.8Pb0.1MnO3 and La0.8Pb0.1Na0.1MnO3. Mater. Lett. 2010, 64, 2138–2141. [Google Scholar] [CrossRef]
- Franco, V.; Blázquez, J.S.; Conde, A. Field dependence of the magnetocaloric effect in materials with a second order phase transition: A master curve for the magnetic entropy change. Appl. Phys. Lett. 2006, 89, 222512. [Google Scholar] [CrossRef]
- Li, X.Z.; Pan, Y.; Lu, T. Magnetocaloric effect in Fe-based amorphous alloys and their composites with low boron content. J. Non-Cryst. Solids 2018, 487, 7–11. [Google Scholar] [CrossRef]
- Wang, Q.; Ding, D.; Tang, B.Z.; Yu, P.; Yao, J.L.; Xia, L. Formation and magnetocaloric properties of the amorphous Fe88La7−xCexB5 (x = 0, 1, 3, 5, 7) ribbons. J. Phys. Chem. Solids 2022, 169, 110854. [Google Scholar] [CrossRef]
- Liu, G.L.; Zhao, D.Q.; Bai, H.Y.; Wang, W.H.; Pan, M.X. Room temperature table-like magnetocaloric effect in amorphous Gd50Co45Fe5 ribbon. J. Phys. D Appl. Phys. 2016, 49, 055004. [Google Scholar] [CrossRef]
- Wood, M.E.; Potter, W.H. General analysis of magnetic refrigeration and its optimization using a new concept: Maximization of refrigerant capacity. Cryogenics 1985, 25, 667–683. [Google Scholar] [CrossRef]
- Shen, J.; Wu, J.F.; Sun, J.R. Room-temperature large refrigerant capacity of Gd6Co2Si3. J. Appl. Phys. 2009, 106, 083902. [Google Scholar] [CrossRef]
- Provenzano, V.; Shapiro, A.J.; Shull, R.D. Reduction of hysteresis losses in the magnetic refrigerant Gd5Ge2Si2 by the addition of iron. Nature 2004, 429, 853–857. [Google Scholar] [CrossRef] [PubMed]
- Ding, M.Z.; Liu, Z.; Chen, R.J.; Yan, A.R. Magnetocaloric effect in NaZn13-type La1−xPrxFe11.44Si1.56 melt-spun ribbons. J. Appl. Phys. 2010, 107, 09A952. [Google Scholar] [CrossRef]
- Alvarez, P.; Sanchez Llamazares, J.L.; Gorria, P.; Blanco, J.A. Enhanced refrigerant capacity and magnetic entropy flattening using a two-amorphous FeZrB(Cu) composite. Appl. Phys. Lett. 2011, 99, 232501. [Google Scholar] [CrossRef]





| Composition | Tc (K) | −∆Smpeak (J/(kg × K)) | RCP (J/kg) | Refs. | ||
|---|---|---|---|---|---|---|
| 1.5 T | 5 T | 1.5 T | 5 T | |||
| Fe88Pr6Ce4B2 | 284 | 1.66 | 4.15 | 166.1 | 725.8 | This work |
| Fe89Zr7B4 | 275 | --- | 3.19 | --- | --- | [16] |
| Fe88Zr8B4 | 291 | 1.20 | 3.04 | --- | 644.9 | [22] |
| Fe88Zr9B3 | 286 | 1.28 | 3.17 | --- | 686.7 | [23] |
| Fe65Mn15P10B7C3 | 292 | 0.91 | --- | 117.5 | --- | [24] |
| Fe74B12Mn4Zr8Nb2 | 282 | 0.99 | --- | --- | --- | [27] |
| Fe70Cr8Cu1Nb5Si4B12 | 285 | --- | 2 | --- | --- | [28] |
| Fe88Zr7B4Cu1 | 287 | 1.32 | --- | --- | --- | [29] |
| Fe88Zr7B4Ni1 | 285 | 1.32 | 3.42 | 132.0 | --- | [30] |
| Fe88Zr7B4Al1 | 280 | 1.37 | --- | --- | --- | |
| Fe88Zr9B1Co2 | 285 | 1.61 | --- | 149.7 | --- | [48] |
| Fe87Zr11B1Co1 | 280 | 1.38 | --- | 133.9 | --- | |
| Fe87Ce8B5 | 283 | 1.47 | 3.65 | --- | --- | [37] |
| Fe88Ce7B5 | 287 | 1.52 | 3.83 | --- | 700.9 | [49] |
| Fe88La2Ce5B5 | 293 | 1.53 | 3.85 | --- | 656.7 | |
| Gd48Co52 | 282 | 1.71 | 4.23 | 176.0 | 750.0 | [12] |
| Gd50Co45Fe5 | 289 | --- | 3.80 | --- | 673.0 | [50] |
Disclaimer/Publisher’s Note: The statements, opinions and data contained in all publications are solely those of the individual author(s) and contributor(s) and not of MDPI and/or the editor(s). MDPI and/or the editor(s) disclaim responsibility for any injury to people or property resulting from any ideas, methods, instructions or products referred to in the content. |
© 2024 by the authors. Licensee MDPI, Basel, Switzerland. This article is an open access article distributed under the terms and conditions of the Creative Commons Attribution (CC BY) license (https://creativecommons.org/licenses/by/4.0/).
Share and Cite
Liu, X.; Yuan, J.; Wang, Q.; Ding, D.; Xia, L. Excellent Magnetocaloric Properties near 285 K of Amorphous Fe88Pr6Ce4B2 Ribbon. Metals 2024, 14, 1214. https://doi.org/10.3390/met14111214
Liu X, Yuan J, Wang Q, Ding D, Xia L. Excellent Magnetocaloric Properties near 285 K of Amorphous Fe88Pr6Ce4B2 Ribbon. Metals. 2024; 14(11):1214. https://doi.org/10.3390/met14111214
Chicago/Turabian StyleLiu, Xiangjie, Jiameng Yuan, Qiang Wang, Ding Ding, and Lei Xia. 2024. "Excellent Magnetocaloric Properties near 285 K of Amorphous Fe88Pr6Ce4B2 Ribbon" Metals 14, no. 11: 1214. https://doi.org/10.3390/met14111214
APA StyleLiu, X., Yuan, J., Wang, Q., Ding, D., & Xia, L. (2024). Excellent Magnetocaloric Properties near 285 K of Amorphous Fe88Pr6Ce4B2 Ribbon. Metals, 14(11), 1214. https://doi.org/10.3390/met14111214

