Monte-Carlo-Assisted Phase Field Simulations of Grain Structure Evolution during the Welding Process
Abstract
1. Introduction
2. Methods
3. Application of the Model to Grain Growth and Welding Processes
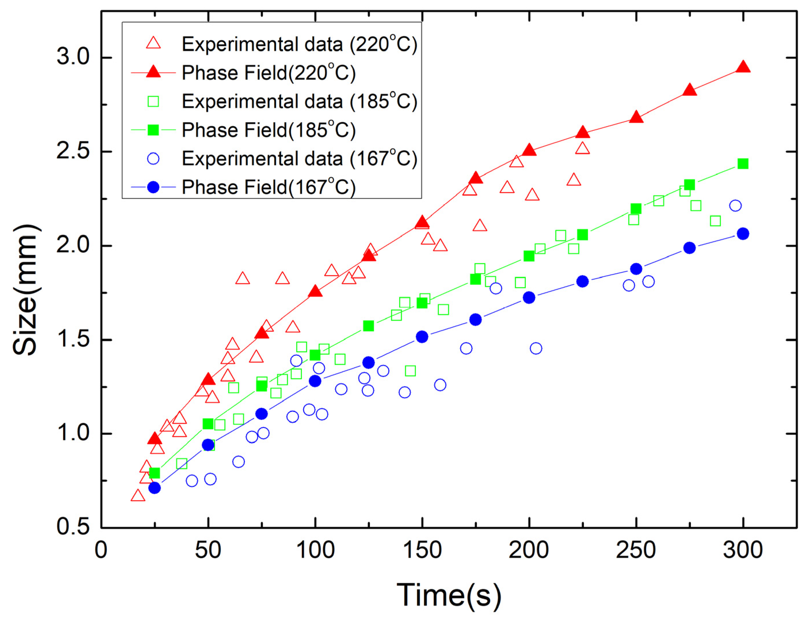
3.1. Application of the Model to the Isothermal Grain Growth Process
3.2. Application of the Model to the Continuous Heat Treatment Process
3.3. Application of the Model to the Welding Process
4. Conclusions
Author Contributions
Funding
Data Availability Statement
Conflicts of Interest
Appendix A. Experimental Setup
| Element | Chemical Content (wt.%) | |||||||
| C | Si | Mn | S | P | B | Al | Fe | |
| Fe–6.5 wt.%Si alloy | 0.022 | 6.3 | 0.031 | 0.0047 | 0.012 | 0.061 | <0.005 (0.0048) | Bal. | 
| Low-carbon steel (Q195) | 0.07 | 0.15 | 0.2 | 0.02 | 0.11 | —— | —— | Bal. | 
References
- Brandt, M. Laser Additive Manufacturing—Materials, Design, Technologies and Applications; Woodhead Publishing: Duxford, UK, 2016. [Google Scholar]
 - Zaza, D.; Ciavarella, M.; Zurlo, G. Strain incompatibility as a source of residual stress in welding and additive manufacturing. Eur. J. Mech.-A/Solids 2021, 85, 104147. [Google Scholar] [CrossRef]
 - Wu, T.; Tinkloh, S.; Tröster, T.; Zinn, W.; Niendorf, T. Measurement and Analysis of Residual Stresses and Warpage in Fiber Reinforced Plastic and Hybrid Components. Metals 2021, 11, 335. [Google Scholar] [CrossRef]
 - Chen, L.Q.; Yang, W. Computer simulation of the domain dynamics of a quenched system with a large number of nonconserved order parameters: The grain-growth kinetics. Phys. Rev. B Condens. Matter 1994, 50, 15752–15756. [Google Scholar] [CrossRef] [PubMed]
 - Fan, D.; Chen, L.Q. Computer simulation of grain growth using a continuum field model. Acta Mater. 1997, 45, 611–622. [Google Scholar] [CrossRef]
 - Krill, C.E., III; Chen, L.Q. Computer simulation of 3-D grain growth using a phase-field model. Acta Mater. 2002, 50, 3059–3075. [Google Scholar] [CrossRef]
 - Asta, M.; Beckermann, C.; Karma, A.; Kurz, W.; Napolitano, R.; Plapp, M.; Purdy, G.; Rappaz, M.; Trivedi, R. Solidification microstructures and solid-state parallels: Recent developments, future directions. Acta Mater. 2009, 57, 941–971. [Google Scholar] [CrossRef]
 - Wang, K.G.; Ding, X.; Chang, K.; Chen, L.Q. Phase-field simulation of phase coarsening at ultrahigh volume fractions. J. Appl. Phys. 2010, 107, 061801. [Google Scholar] [CrossRef]
 - Bhattacharyya, S.; Heo, T.W.; Chang, K.; Chen, L.-Q. A phase-field model of stress effect on grain boundary migration. Model. Simul. Mater. Sci. Eng. 2011, 19, 035002. [Google Scholar] [CrossRef]
 - Heo, T.W.; Bhattacharyya, S.; Chen, L.-Q. A phase-field model for elastically anisotropic polycrystalline binary solid solutions. Philos. Mag. 2013, 93, 1468–1489. [Google Scholar] [CrossRef]
 - Chen, L.; Chen, J.; Lebensohn, R.A.; Ji, Y.Z.; Heo, T.W.; Bhattacharyya, S.; Chang, K.; Mathaudhu, S.; Liu, Z.K.; Chen, L.Q. An integrated fast Fourier transform-based phase-field and crystal plasticity approach to model recrystallization of three dimensional polycrystals. Comput. Methods Appl. Mech. Eng. 2015, 285, 829–848. [Google Scholar] [CrossRef]
 - Du, L.; Yang, S.; Zhang, P.; Du, H. Pinning effect of different shape second-phase particles on grain growth in polycrystalline: Numerical and analytical investigations. Compos. Interfaces 2018, 25, 357–368. [Google Scholar] [CrossRef]
 - Li, N.; Zhang, L.; Zhang, R.; Yin, P.; Wu, H.; Song, K.; Xing, H. The Role of Electric Current-Associated Free Energy and Forced Convection on Grain Refinement in Pure Aluminum under Electropulsing. Materials 2019, 12, 3846. [Google Scholar] [CrossRef]
 - Xing, H.; Ji, M.; Dong, X.; Wang, Y.; Zhang, L.; Li, S. Growth competition between columnar dendrite and degenerate seaweed during directional solidification of alloys: Insights from multi-phase field simulations. Mater. Des. 2020, 185, 108250. [Google Scholar] [CrossRef]
 - Liu, P.W.; Ji, Y.Z.; Wang, Z.; Qiu, C.L.; Antonysamy, A.A.; Chen, L.Q.; Cui, X.Y.; Chen, L. Investigation on evolution mechanisms of site-specific grain structures during metal additive manufacturing. J. Mater. Process. Technol. 2018, 257, 191–202. [Google Scholar] [CrossRef]
 - Fallah, V.; Amoorezaei, M.; Provatas, N.; Corbin, S.F.; Khajepour, A. Phase-field simulation of solidification morphology in laser powder deposition of Ti–Nb alloys. Acta Mater. 2012, 60, 1633–1646. [Google Scholar] [CrossRef]
 - Prosgolitis, C.G.; Lambrakos, S.G.; Zervaki, A.D. Phase-Field Modeling of Nugget Zone for a AZ31-Mg-Alloy Friction Stir Weld. J. Mater. Eng. Perform. 2018, 27, 5102–5113. [Google Scholar] [CrossRef]
 - Yang, C.; Wu, C.; Shi, L. Phase-field modelling of dynamic recrystallization process during friction stir welding of aluminium alloys. Sci. Technol. Weld. Join. 2019, 25, 345–358. [Google Scholar] [CrossRef]
 - Zheng, W.J.; Dong, Z.B.; Wei, Y.H.; Song, K.J.; Guo, J.L.; Wang, Y. Phase field investigation of dendrite growth in the welding pool of aluminum alloy 2A14 under transient conditions. Comput. Mater. Sci. 2014, 82, 525–530. [Google Scholar] [CrossRef]
 - Wang, L.; Wei, Y.; Zhan, X.; Yu, F. A phase field investigation of dendrite morphology and solute distributions under transient conditions in an Al–Cu welding molten pool. Sci. Technol. Weld. Join. 2016, 21, 446–451. [Google Scholar] [CrossRef]
 - Yu, F.; Wei, Y.; Ji, Y.; Chen, L.-Q. Phase field modeling of solidification microstructure evolution during welding. J. Mater. Process. Technol. 2018, 255, 285–293. [Google Scholar] [CrossRef]
 - Yang, C.; Wu, C.; Gao, S. Modified constitutive equation by using phase field simulation of dynamic recrystallization in friction stir welding. J. Mater. Res. Technol. 2021, 12, 916–929. [Google Scholar] [CrossRef]
 - Ali, B.; Heider, Y.; Markert, B. Residual stresses in gas tungsten arc welding: A novel phase-field thermo-elastoplasticity modeling and parameter treatment framework. Comput. Mech. 2021, 69, 565–587. [Google Scholar] [CrossRef]
 - Yang, M.; Wang, L.; Yan, W. Phase-field modeling of grain evolutions in additive manufacturing from nucleation, growth, to coarsening. NPJ Comput. Mater. 2021, 7, 56. [Google Scholar] [CrossRef]
 - Radhakrishnan, B.; Zacharia, T. Monte Carlo simulation of grain boundary pinning in the weld heat-affected zone. Metall. Mater. Trans. A 1995, 26, 2123–2130. [Google Scholar] [CrossRef]
 - Gao, J.; Thompson, R.G. Real time-temperature models for Monte Carlo simulations of normal grain growth. Acta Mater. 1996, 44, 4565–4570. [Google Scholar] [CrossRef]
 - Sista, S.; Yang, Z.; Debroy, T. Three-dimensional monte carlo simulation of grain growth in the heat-affected zone of a 2.25Cr-1Mo steel weld. Metall. Mater. Trans. B 2000, 31, 529–536. [Google Scholar] [CrossRef]
 - Sista, S.; Debroy, T. Three-dimensional monte carlo simulation of grain growth in zone-refined iron. Metall. Mater. Trans. B 2001, 32, 1195–1201. [Google Scholar] [CrossRef]
 - Rodgers, T.M.; Madison, J.D.; Tikare, V.; Maguire, M.C. Predicting Mesoscale Microstructural Evolution in Electron Beam Welding. JOM 2016, 68, 1419–1426. [Google Scholar] [CrossRef]
 - Wei, H.L.; Elmer, J.W.; DebRoy, T. Origin of grain orientation during solidification of an aluminum alloy. Acta Mater. 2016, 115, 123–131. [Google Scholar] [CrossRef]
 - Wei, H.L.; Elmer, J.W.; DebRoy, T. Three-dimensional modeling of grain structure evolution during welding of an aluminum alloy. Acta Mater. 2017, 126, 413–425. [Google Scholar] [CrossRef]
 - Beck, P.A.; Kremer, J.C.; Demer, L.J. Grain growth in highpurity aluminum. Phys. Rev. 1947, 71, 555. [Google Scholar] [CrossRef]
 - Burke, J.E.; Turnbull, D.M. Recrystallization and Grain Growth. Prog. Met. Phys. 1952, 3, 220–292. [Google Scholar] [CrossRef]
 - Holmes, E.L.; Winegard, W.C. Grain growth in zone-refined tin. Acta Metall. 1959, 7, 411–414. [Google Scholar] [CrossRef]
 - Brun, M.Y.; Gordienko, A.I.; Elagina, L.A.; Ivashko, V.V. Application of rapid heating in forming and heat treatment of titanium alloys. Met. Sci. Heat Treat. 1991, 33, 937–943. [Google Scholar] [CrossRef]
 - Zhang, Z.; Chen, G.; Bei, H.; Li, F.; Ye, F.; Chen, G.L.; Liu, C.T. Directional recrystallization and microstructures of an Fe–6.5wt%Si alloy. J. Mater. Res. 2011, 24, 2654–2660. [Google Scholar] [CrossRef]
 - Liang, Y.; Wang, S.; Qi, J.; Ye, F.; Lin, J. Microstructure and properties of cost-effective Fe–6.5 wt% Si ribbons fabricated by melt-spinning. Scr. Mater. 2019, 163, 107–110. [Google Scholar] [CrossRef]
 - Ouyang, G.; Chen, X.; Liang, Y.; Macziewski, C.; Cui, J. Review of Fe-6.5 wt%Si high silicon steel—A promising soft magnetic material for sub-kHz application. J. Magn. Magn. Mater. 2019, 481, 234–250. [Google Scholar] [CrossRef]
 - Li, J.; Fei, Y. Experimental Constraints on Core Composition. Treatise Geochem. 2003, 2, 568. [Google Scholar]
 - Zhang, Z.W.; Chen, G.; Chen, G.L. Dynamics and mechanism of columnar grain growth of pure iron under directional annealing. Acta Mater. 2007, 55, 5988–5998. [Google Scholar] [CrossRef]
 - Khachaturyan, A.G. Theory of Structural Transformations in Solids; John Wiley & Sons Inc.: New York, NY, USA, 1983. [Google Scholar]
 - Wu, P.; Liang, Y. Lattice Phase Field Model for Nanomaterials. Materials 2021, 14, 7317. [Google Scholar] [CrossRef] [PubMed]
 








Disclaimer/Publisher’s Note: The statements, opinions and data contained in all publications are solely those of the individual author(s) and contributor(s) and not of MDPI and/or the editor(s). MDPI and/or the editor(s) disclaim responsibility for any injury to people or property resulting from any ideas, methods, instructions or products referred to in the content.  | 
© 2023 by the authors. Licensee MDPI, Basel, Switzerland. This article is an open access article distributed under the terms and conditions of the Creative Commons Attribution (CC BY) license (https://creativecommons.org/licenses/by/4.0/).
Share and Cite
Zheng, Y.; Liu, J.; Liang, Y.; Wu, P. Monte-Carlo-Assisted Phase Field Simulations of Grain Structure Evolution during the Welding Process. Metals 2023, 13, 623. https://doi.org/10.3390/met13030623
Zheng Y, Liu J, Liang Y, Wu P. Monte-Carlo-Assisted Phase Field Simulations of Grain Structure Evolution during the Welding Process. Metals. 2023; 13(3):623. https://doi.org/10.3390/met13030623
Chicago/Turabian StyleZheng, Ying, Jiangping Liu, Yongfeng Liang, and Pingping Wu. 2023. "Monte-Carlo-Assisted Phase Field Simulations of Grain Structure Evolution during the Welding Process" Metals 13, no. 3: 623. https://doi.org/10.3390/met13030623
APA StyleZheng, Y., Liu, J., Liang, Y., & Wu, P. (2023). Monte-Carlo-Assisted Phase Field Simulations of Grain Structure Evolution during the Welding Process. Metals, 13(3), 623. https://doi.org/10.3390/met13030623
        
