Response of the Metastable Pitting Corrosion of Laser Powder Bed Fusion Produced Ti–6Al–4V to H+ Concentration Changes
Abstract
1. Introduction
2. Experimental
2.1. Preparation of Samples and Solutions
2.2. Morphological Characterization
2.3. X-ray Photoelectron Spectroscopy Characterization
2.4. Electrochemical Measurements
3. Results
3.1. Morphological Features
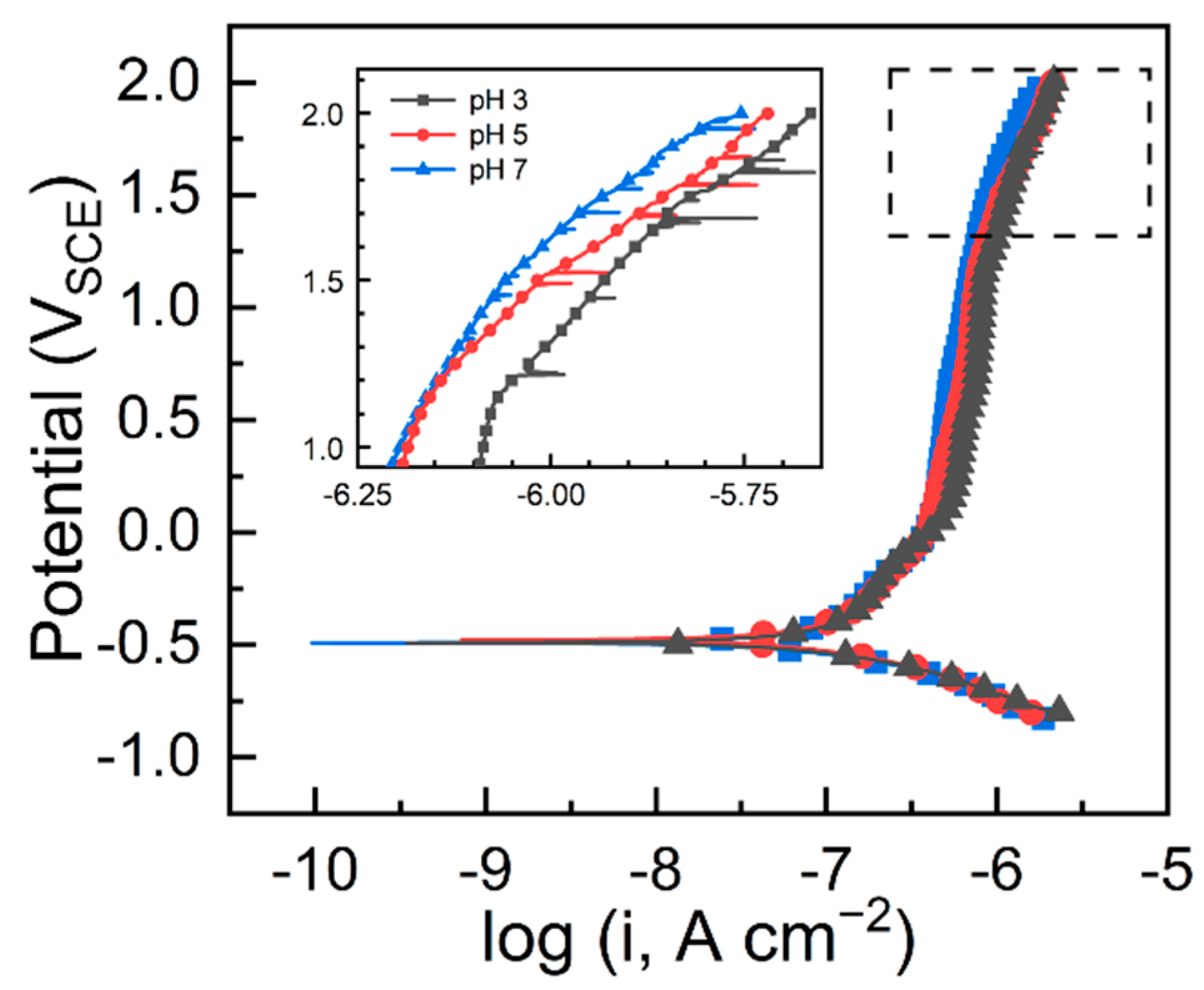
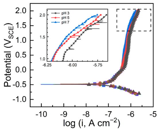
3.2. Potentiodynamic Polarization Test
3.3. Potentiostatic Polarization Test
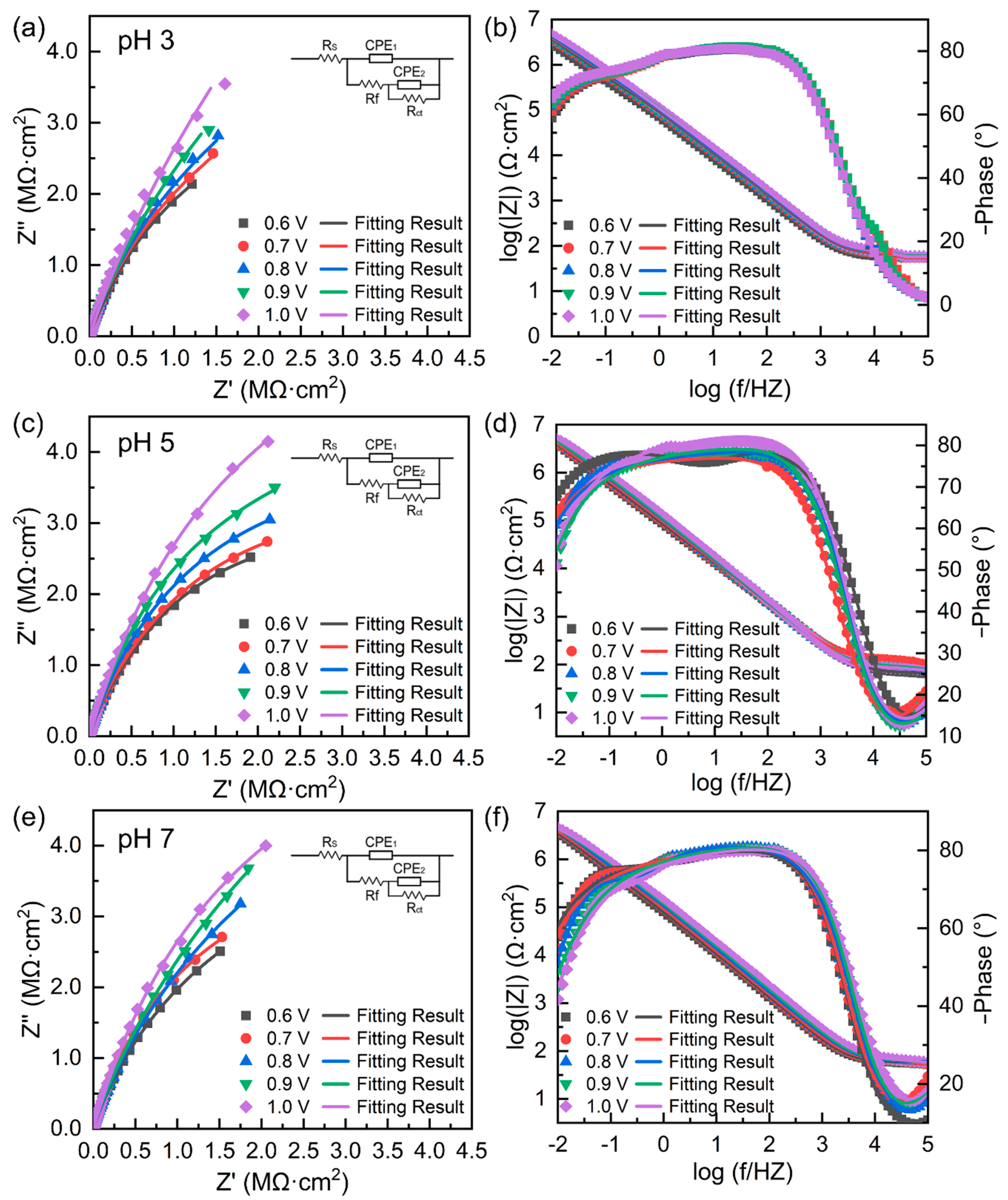
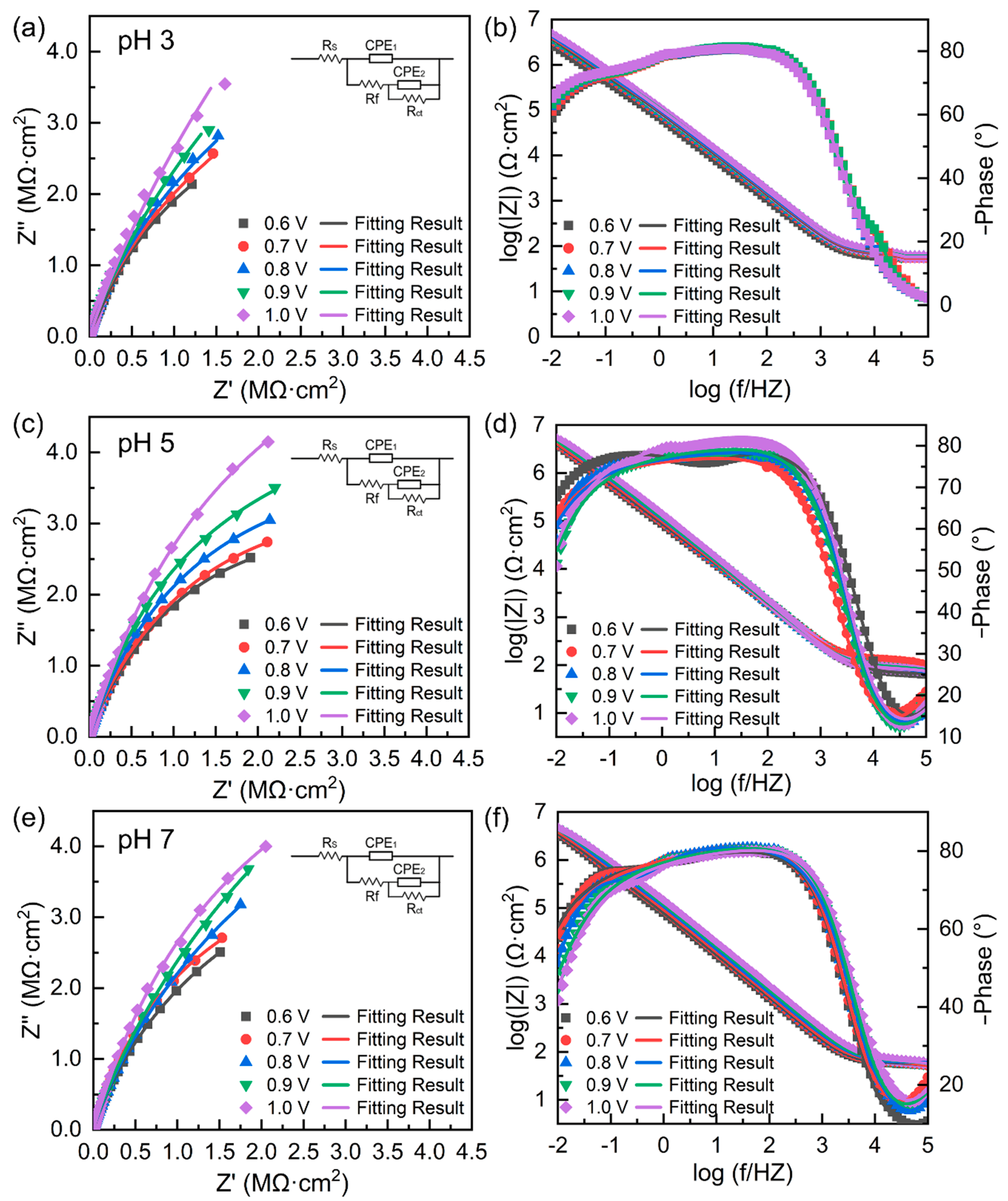
3.4. Electrochemical Impedance Spectroscopy after Potentiostatic Polarization
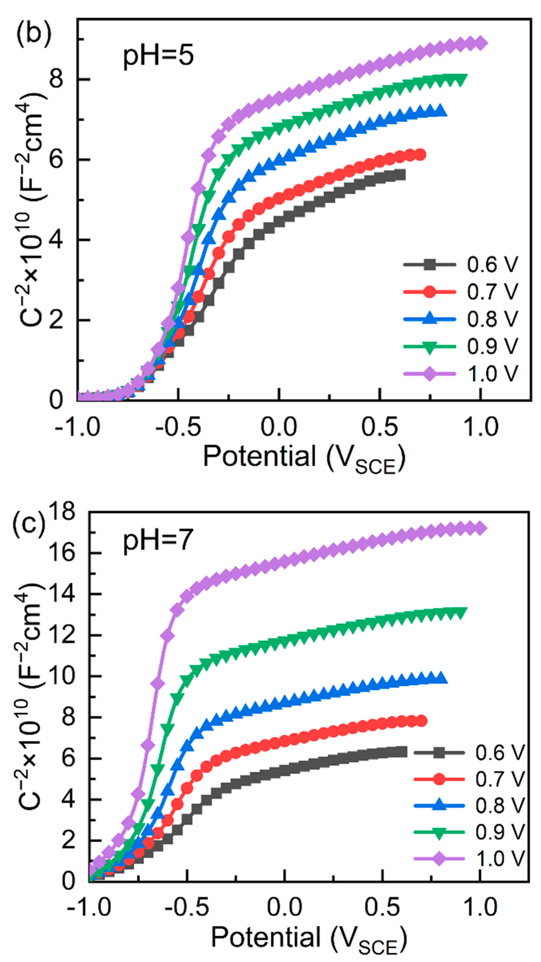
3.5. Mott–Schottky Measurements
3.6. XPS Analysis of Passive Films
4. Discussion
4.1. Effect of H+ Concentration on the Formed Passive Films
4.2. Effect of H+ Concentration on the Metastable Pitting Corrosion of LPBFed Ti–6Al–4V
5. Conclusions
- (1)
- In the polarization tests, the LPBFed Ti–6Al–4V, in Hank’s solutions, at different pH (3, 5, and 7) shows metastable pitting corrosion. With the increase in H+ concentration, the frequency of metastable pitting corrosion becomes greater, and the possibility of pitting corrosion is also higher.
- (2)
- The passive film formed on the LPBFed Ti–6Al–4V mainly contains TiO2, based on XPS results, while the content decreases with increasing H+ concentration. Coupled with Motty–Schottky tests, the transformation process of TiO2 from TiO and Ti2O3 was suppressed by H+. As such, the passive film has a thin thickness in Hank’s solution at pH 3.
- (3)
- The surface of the passive film becomes active in an acidic solution and is prone to dissolve. Meanwhile, more Cl− were attracted to the surface of the passive film. There was competitive adsorption of Cl− and oxygen atoms on the passive film, resulting in soluble chlorides. According to the adsorption mechanism, the metastable pitting corrosion would form at the Cl− adsorption sites.
Author Contributions
Funding
Acknowledgments
Conflicts of Interest
References
- Cui, Y.-W.; Chen, L.-Y.; Liu, X.-X. Pitting corrosion of biomedical titanium and titanium alloys: A brief review. Curr. Nanosci. 2021, 17, 241–256. [Google Scholar] [CrossRef]
- Chen, L.-Y.; Cui, Y.-W.; Zhang, L.-C. Recent development in beta titanium alloys for biomedical applications. Metals 2020, 10, 1139. [Google Scholar] [CrossRef]
- Loto, R.T. Pitting corrosion evaluation and inhibition of stainless steels: A review. J. Mater. Environ. Sci. 2015, 6, 2750–2762. [Google Scholar]
- Frankel, G.S. Pitting Corrosion of Metals: A Review of the Critical Factors. J. Electrochem. Soc. 1998, 145, 2186–2198. [Google Scholar] [CrossRef]
- Chelariu, R.; Bolat, G.; Izquierdo, J.; Mareci, D.; Gordin, D.M.; Gloriant, T.; Souto, R.M. Metastable beta Ti-Nb-Mo alloys with improved corrosion resistance in saline solution. Electrochim. Acta 2014, 137, 280–289. [Google Scholar] [CrossRef]
- Cui, Y.-W.; Chen, L.-Y.; Qin, P.; Li, R.; Zang, Q.; Peng, J.; Zhang, L.; Lu, S.; Wang, L.; Zhang, L.-C. Metastable pitting corrosion behavior of laser powder bed fusion produced Ti-6Al-4V in Hank’s solution. Corros. Sci. 2022, 203, 110333. [Google Scholar] [CrossRef]
- Tian, W.; Du, N.; Li, S.; Chen, S.; Wu, Q. Metastable pitting corrosion of 304 stainless steel in 3.5% NaCl solution. Corros. Sci. 2014, 85, 372–379. [Google Scholar] [CrossRef]
- Basame, S.B.; White, H.S. Pitting corrosion of titanium the relationship between pitting potential and competitive anion adsorption at the oxide film/electrolyte interface. J. Electrochem. Soc. 2000, 147, 1376. [Google Scholar] [CrossRef]
- Garfias-Mesias, L.F.; Alodan, M.; James, P.I.; Smyri, W.H. Determination of precursor sites for pitting corrosion of polycrystalline titanium by using different techniques. J. Electrochem. Soc. 1998, 145, 2005. [Google Scholar] [CrossRef]
- Casillas, N.; Charlebois, S.; Smyrl, W.H.; White, H.S. Pitting corrosion of titanium. J. Electrochem. Soc. 1994, 141, 636. [Google Scholar] [CrossRef]
- Macdonald, D.D. The history of the Point Defect Model for the passive state: A brief review of film growth aspects. Electrochim. Acta 2011, 56, 1761–1772. [Google Scholar] [CrossRef]
- Seo, D.-I.; Lee, J.-B. Corrosion Characteristics of Additive-Manufactured Ti-6Al-4V Using Microdroplet Cell and Critical Pitting Temperature Techniques. J. Electrochem. Soc. 2019, 166, C428–C433. [Google Scholar] [CrossRef]
- Seo, D.-I.; Lee, J.-B. Effects of competitive anion adsorption (Br− or Cl−) and semiconducting properties of the passive films on the corrosion behavior of the additively manufactured Ti–6Al–4V alloys. Corros. Sci. 2020, 173, 108789. [Google Scholar] [CrossRef]
- Jaquez-Muñoz, J.; Gaona-Tiburcio, C.; Lira-Martinez, A.; Zambrano-Robledo, P.; Maldonado-Bandala, E.; Samaniego-Gamez, O.; Nieves-Mendoza, D.; Olguin-Coca, J.; Estupiñan-Lopez, F.; Almeraya-Calderon, F. Susceptibility to Pitting Corrosion of Ti-CP2, Ti-6Al-2Sn-4Zr-2Mo, and Ti-6Al-4V Alloys for Aeronautical Applications. Metals 2021, 11, 1002. [Google Scholar] [CrossRef]
- Qu, Q.; Wang, L.; Chen, Y.; Li, L.; He, Y.; Ding, Z. Corrosion behavior of titanium in artificial saliva by lactic acid. Materials 2014, 7, 5528–5542. [Google Scholar] [CrossRef]
- Chen, L.-Y.; Liang, S.-X.; Liu, Y.; Zhang, L.-C. Additive manufacturing of metallic lattice structures: Unconstrained design, accurate fabrication, fascinated performances, and challenges. Mater. Sci. Eng. R Rep. 2021, 146, 100648. [Google Scholar] [CrossRef]
- Chen, L.-Y.; Zhang, H.-Y.; Zheng, C.; Yang, H.-Y.; Qin, P.; Zhao, C.; Lu, S.; Liang, S.-X.; Chai, L.; Zhang, L.-C. Corrosion behavior and characteristics of passive films of laser powder bed fusion produced Ti–6Al–4V in dynamic Hank’s solution. Mater. Des. 2021, 208, 109907. [Google Scholar] [CrossRef]
- Zhang, L.C.; Chen, L.Y. A review on biomedical titanium alloys: Recent progress and prospect. Adv. Eng. Mater. 2019, 21, 1801215. [Google Scholar] [CrossRef]
- Zhang, L.C.; Kim, K.B.; Yu, P.; Zhang, W.Y.; Kunz, U.; Eckert, J. Amorphization in mechanically alloyed (Ti, Zr, Nb)–(Cu, Ni)–Al equiatomic alloys. J. Alloy. Compd. 2007, 428, 157–163. [Google Scholar] [CrossRef]
- Zhang, L.C.; Xu, J.; Ma, E. Consolidation and properties of ball-milled Ti50Cu18Ni22Al4Sn6 glassy alloy by equal channel angular extrusion. Mater. Sci. Eng. A 2006, 434, 280–288. [Google Scholar] [CrossRef]
- Zhang, L.C.; Xu, J.; Ma, E. Mechanically alloyed amorphous Ti50(Cu0.45Ni0.55)44–xAlxSi4B2 alloys with supercooled liquid region. J. Mater. Res. 2002, 17, 1743–1749. [Google Scholar] [CrossRef]
- Burstein, G.T.; Liu, C.; Souto, R.M. The effect of temperature on the nucleation of corrosion pits on titanium in Ringer’s physiological solution. Biomaterials 2005, 26, 245–256. [Google Scholar] [CrossRef] [PubMed]
- Escrivà-Cerdán, C.; Blasco-Tamarit, E.; García-García, D.M.; García-Antón, J.; Akid, R.; Walton, J. Effect of temperature on passive film formation of UNS N08031 Cr–Ni alloy in phosphoric acid contaminated with different aggressive anions. Electrochim. Acta 2013, 111, 552–561. [Google Scholar] [CrossRef]
- Kong, D.; Dong, C.; Zhao, M.; Ni, X.; Man, C.; Li, X. Effect of chloride concentration on passive film properties on copper. Corros. Eng. Sci. Technol. 2018, 53, 122–130. [Google Scholar] [CrossRef]
- Qin, P.; Chen, L.Y.; Liu, Y.J.; Jia, Z.; Liang, S.X.; Zhao, C.H.; Sun, H.; Zhang, L.C. Corrosion and passivation behavior of laser powder bed fusion produced Ti-6Al-4V in static/dynamic NaCl solutions with different concentrations. Corros. Sci. 2021, 191, 109728. [Google Scholar] [CrossRef]
- Munirathinam, B.; Narayanan, R.; Neelakantan, L. Electrochemical and semiconducting properties of thin passive film formed on titanium in chloride medium at various pH conditions. Thin Solid Film. 2016, 598, 260–270. [Google Scholar] [CrossRef]
- Cui, Y.-W.; Chen, L.-Y.; Chu, Y.-H.; Zhang, L.; Li, R.; Lu, S.; Wang, L.; Zhang, L.-C. Metastable pitting corrosion behavior and characteristics of passive film of laser powder bed fusion produced Ti–6Al–4V in NaCl solutions with different concentrations. Corros. Sci. 2023, 215, 111017. [Google Scholar] [CrossRef]
- Gai, X.; Bai, Y.; Li, J.; Li, S.; Hou, W.; Hao, Y.; Zhang, X.; Yang, R.; Misra, R.D.K. Electrochemical behaviour of passive film formed on the surface of Ti-6Al-4V alloys fabricated by electron beam melting. Corros. Sci. 2018, 145, 80–89. [Google Scholar] [CrossRef]
- Sun, F.; Meng, G.; Zhang, T.; Shao, Y.; Wang, F.; Dong, C.; Li, X. Electrochemical corrosion behavior of nickel coating with high density nano-scale twins (NT) in solution with Cl−. Electrochim. Acta 2009, 54, 1578–1583. [Google Scholar] [CrossRef]
- Duan, Z.; Man, C.; Dong, C.; Cui, Z.; Kong, D.; Wang, X. Pitting behavior of SLM 316L stainless steel exposed to chloride environments with different aggressiveness: Pitting mechanism induced by gas pores. Corros. Sci. 2020, 167, 108520. [Google Scholar] [CrossRef]
- Guan, L.; Li, Y.; Wang, G.; Zhang, Y.; Zhang, L.-C. pH dependent passivation behavior of niobium in acid fluoride-containing solutions. Electrochim. Acta 2018, 285, 172–184. [Google Scholar] [CrossRef]
- Wang, L.; Yu, H.; Wang, S.; Chen, B.; Wang, Y.; Fan, W.; Sun, D. Quantitative analysis of local fine structure on diffusion of point defects in passive film on Ti. Electrochim. Acta 2019, 314, 161–172. [Google Scholar] [CrossRef]
- Chen, Y.; Zhang, J.; Gu, X.; Dai, N.; Qin, P.; Zhang, L.-C. Distinction of corrosion resistance of selective laser melted Al-12Si alloy on different planes. J. Alloy. Compd. 2018, 747, 648–658. [Google Scholar] [CrossRef]
- Guo, H.X.; Lu, B.T.; Luo, J.L. Study on passivation and erosion-enhanced corrosion resistance by Mott-Schottky analysis. Electrochim. Acta 2006, 52, 1108–1116. [Google Scholar] [CrossRef]
- Gebert, A.; Oswald, S.; Helth, A.; Voss, A.; Gostin, P.F.; Rohnke, M.; Janek, J.; Calin, M.; Eckert, J. Effect of indium (In) on corrosion and passivity of a beta-type Ti–Nb alloy in Ringer’s solution. Appl. Surf. Sci. 2015, 335, 213–222. [Google Scholar] [CrossRef]
- Bojinov, M. The ability of a surface charge approach to describe barrier film growth on tungsten in acidic solutions. Electrochim. Acta 1997, 42, 3489–3498. [Google Scholar] [CrossRef]
- Bojinov, M. Modelling the formation and growth of anodic passive films on metals in concentrated acid solutions. J. Solid State Electrochem. 1997, 1, 161–171. [Google Scholar] [CrossRef]
- Dong, Y.; Qi, L.; Li, J.; Chen, I.W. A computational study of yttria-stabilized zirconia: II. Cation diffusion. Acta Mater. 2017, 126, 438–450. [Google Scholar] [CrossRef]
- Brenna, A.; Ormellese, M.; Lazzari, L. Electromechanical breakdown mechanism of passive film in alternating current-related corrosion of carbon steel under cathodic protection condition. Corrosion 2016, 72, 1055–1063. [Google Scholar]
- Al Saadi, S.; Yi, Y.; Cho, P.; Jang, C.; Beeley, P. Passivity breakdown of 316L stainless steel during potentiodynamic polarization in NaCl solution. Corros. Sci. 2016, 111, 720–727. [Google Scholar] [CrossRef]
- Zhang, B.; Wang, J.; Wu, B.; Guo, X.W.; Wang, Y.J.; Chen, D.; Zhang, Y.C.; Du, K.; Oguzie, E.E.; Ma, X.L. Unmasking chloride attack on the passive film of metals. Nat. Commun. 2018, 9, 2559. [Google Scholar] [CrossRef] [PubMed]













| Solutions | Icorr (µA∙cm−2) | Ecorr (V) | Corrosion Rate × 10−5 (mm∙y−1) |
|---|---|---|---|
| pH 3 | 0.0964 | −0.49006 | 0.2699 |
| pH 5 | 0.0632 | −0.47519 | 0.1769 |
| pH 7 | 0.0334 | −0.46669 | 0.0935 |
| Solution | Potential (VSCE) | Rs (Ω·cm2) | CPE1 × 10−6 (Ω−1∙sn∙cm−2) | n1 | Rf (kΩ·cm2) | CPE2 × 10−6 (Ω−1∙sn∙cm−2) | n2 | Rct (MΩ·cm2) |
|---|---|---|---|---|---|---|---|---|
| pH 3 | 0.6 | 11.62 ± 0.54 | 0.93 ± 0.24 | 0.91 ± 0.34 | 13.89 ± 0.10 | 1.94 ± 0.19 | 0.93 ± 0.25 | 6.34 ± 0.14 |
| 0.7 | 19.26 ± 0.14 | 0.88 ± 0.07 | 0.86 ± 0.07 | 14.40 ± 0.36 | 1.71 ± 0.09 | 0.93 ± 0.05 | 10.14 ± 0.07 | |
| 0.8 | 19.81 ± 0.17 | 1.15 ± 0.18 | 0.90 ± 0.33 | 15.48 ± 0.27 | 1.56 ± 0.05 | 0.94 ± 0.13 | 13.01± 0.04 | |
| 0.9 | 20.42 ± 0.09 | 1.14 ± 0.22 | 0.93 ± 0.19 | 16.33 ± 0.07 | 1.10 ± 0.04 | 0.94 ± 0.02 | 14.37± 0.35 | |
| 1.0 | 18.42 ± 0.03 | 1.32 ± 0.14 | 0.95 ± 0.21 | 19.50 ± 0.06 | 1.20 ± 0.16 | 0.97 ± 0.04 | 16.42 ± 0.34 | |
| pH 5 | 0.6 | 18.59 ± 0.08 | 1.08 ± 0.06 | 0.87 ± 0.12 | 8.42 ± 0.03 | 0.89 ± 0.15 | 0.78 ± 0.09 | 8.58 ± 0.06 |
| 0.7 | 18.69 ± 0.14 | 1.25 ± 0.01 | 0.97 ± 0.21 | 9.51 ± 0.21 | 1.61 ± 0.23 | 0.89 ± 0.06 | 15.85 ± 0.07 | |
| 0.8 | 19.11 ± 0.01 | 0.83 ± 0.13 | 0.84 ± 0.32 | 10.96 ± 0.14 | 1.33 ± 0.11 | 0.91 ± 0.09 | 18.46 ± 0.09 | |
| 0.9 | 26.32 ± 0.02 | 0.73 ± 0.10 | 0.98 ± 0.04 | 13.82 ± 0.28 | 1.18 ± 0.04 | 0.92 ± 0.06 | 20.01 ± 0.09 | |
| 1.0 | 24.47 ± 0.22 | 1.86 ± 0.19 | 0.89 ± 0.11 | 17.36 ± 0.07 | 1.73 ± 0.04 | 0.94 ± 0.04 | 21.97 ± 0.07 | |
| pH 7 | 0.6 | 20.11 ± 0.41 | 1.02 ± 0.04 | 0.91 ± 0.29 | 5.67 ± 0.21 | 0.93 ± 0.17 | 0.85 ± 0.26 | 9.00 ± 0.08 |
| 0.7 | 24.87 ± 0.02 | 0.96 ± 0.09 | 0.97 ± 0.12 | 6.01 ± 0.11 | 1.43 ± 0.06 | 0.94 ± 0.05 | 16.71 ± 0.02 | |
| 0.8 | 28.42 ± 0.10 | 1.69 ± 0.06 | 0.91 ± 0.03 | 8.88 ± 0.21 | 1.92 ± 0.15 | 0.85± 0.09 | 21.06 ± 0.07 | |
| 0.9 | 30.64 ± 0.17 | 0.93 ± 0.14 | 0.96 ± 0.04 | 10.53 ± 0.04 | 1.79 ± 0.51 | 0.95 ± 0.14 | 23.68 ± 0.06 | |
| 1.0 | 31.46 ± 0.37 | 1.24 ± 0.30 | 0.96 ± 0.11 | 12.05 ± 0.02 | 1.79 ± 0.08 | 0.94 ± 0.08 | 27.03 ± 0.24 |
| Sputtering Depth (nm) | Solutions | Ti4+ (at%) | Ti3+ (at%) | Ti2+ (at%) |
|---|---|---|---|---|
| 0 | pH = 3 | 85.72 | 9.21 | 5.07 |
| pH = 5 | 89.67 | 5.30 | 5.02 | |
| pH = 7 | 89.91 | 5.11 | 4.98 | |
| 10 | pH = 3 | 64.23 | 28.35 | 7.43 |
| pH = 5 | 66.41 | 26.35 | 7.24 | |
| pH = 7 | 68.57 | 24.55 | 6.87 | |
| 30 | pH = 3 | 64.09 | 23.92 | 11.98 |
| pH = 5 | 68.04 | 21.67 | 10.29 | |
| pH = 7 | 71.86 | 19.82 | 8.32 | |
| 60 | pH = 3 | 52.08 | 32.66 | 15.25 |
| pH = 5 | 55.35 | 30.14 | 14.51 | |
| pH = 7 | 57.53 | 28.49 | 13.98 |
Disclaimer/Publisher’s Note: The statements, opinions and data contained in all publications are solely those of the individual author(s) and contributor(s) and not of MDPI and/or the editor(s). MDPI and/or the editor(s) disclaim responsibility for any injury to people or property resulting from any ideas, methods, instructions or products referred to in the content. |
© 2023 by the authors. Licensee MDPI, Basel, Switzerland. This article is an open access article distributed under the terms and conditions of the Creative Commons Attribution (CC BY) license (https://creativecommons.org/licenses/by/4.0/).
Share and Cite
Cui, Y.; Chen, L.; Wang, L.; Cheng, J.; Zhang, L. Response of the Metastable Pitting Corrosion of Laser Powder Bed Fusion Produced Ti–6Al–4V to H+ Concentration Changes. Metals 2023, 13, 514. https://doi.org/10.3390/met13030514
Cui Y, Chen L, Wang L, Cheng J, Zhang L. Response of the Metastable Pitting Corrosion of Laser Powder Bed Fusion Produced Ti–6Al–4V to H+ Concentration Changes. Metals. 2023; 13(3):514. https://doi.org/10.3390/met13030514
Chicago/Turabian StyleCui, Yuwei, Liangyu Chen, Liqiang Wang, Jun Cheng, and Laichang Zhang. 2023. "Response of the Metastable Pitting Corrosion of Laser Powder Bed Fusion Produced Ti–6Al–4V to H+ Concentration Changes" Metals 13, no. 3: 514. https://doi.org/10.3390/met13030514
APA StyleCui, Y., Chen, L., Wang, L., Cheng, J., & Zhang, L. (2023). Response of the Metastable Pitting Corrosion of Laser Powder Bed Fusion Produced Ti–6Al–4V to H+ Concentration Changes. Metals, 13(3), 514. https://doi.org/10.3390/met13030514

