Abstract
The study on the biosorption of copper ions using raw eggshells as an adsorbent is presented in this paper. The influence of different process parameters, such as: initial pH value of the solution, initial Cu2+ ions concentration, initial mass of the adsorbent, and stirring rate, on the biosorption capacity was evaluated. The SEM-EDS analysis was performed before and after the biosorption process. SEM micrographs indicate a change in the morphology of the sample after the biosorption process. The obtained EDS spectra indicated that K, Ca, and Mg were possibly exchanged with Cu2+ ions during the biosorption process. The equilibrium analysis showed that the Langmuir isotherm model best describes the experimental data. Four kinetic models were used to analyze the experimental data, and the results revealed that the pseudo-first order kinetic model is the best fit for the analyzed data. Calculated thermodynamic data indicated that the biosorption process is spontaneous, and that copper ions are possibly bound to the surface of the eggshells by chemisorption. The biosorption process was optimized using Response Surface Methodology (RSM) based on the Box-Behnken Design (BBD), with the selected factors: adsorbent mass, initial metal ion concentration, and contact time.
1. Introduction
Wastewater containing heavy metals, that originate from tanneries, batteries, mining and metallurgical operations, chemical manufactories, pesticides, and other sources, has been a major pollutant in the environment for many years. The non-biodegradability and persistent nature of these metals means they tend to enter the food chain and accumulate in the living organisms, causing numerous disorders and diseases [1,2].
Wastewater treatment methods can be classified into five groups, i.e., adsorption-, chemical-, membrane-, electric-, and photocatalytic- based treatments [3].
The adsorption-based separation methods are defined by the properties of the adsorbent, and the working conditions of the process, like temperature, pH value of the solution, adsorption time, etc. The adsorbents can be classified as carbon-based adsorbents, chitosan-based adsorbents, mineral adsorbents, magnetic adsorbents, and biosorbents [3].
Membrane-based filtration and separation is a wastewater treatment method that usually includes ultrafiltration, nanofiltration, microfiltration, reverse osmosis, forward osmosis, and electrodialysis [3].
Chemical-based separation methods for wastewater treatment polluted with heavy metals include precipitation, coagulation and flocculation, and flotation. These methods change the form of the dissolved metal into solid particles, to facilitate their sedimentation [3].
Electric-based separation methods for wastewater treatment include electrochemical reduction, electroflotation, electrooxidation and ion-exchange treatment [3].
Heavy metals are being removed from wastewater on the industrial scale by well-known conventional technologies. However, these conventional technologies have many disadvantages that include high operating costs, incomplete metal removal, continuous input of chemicals, and others. These disadvantages raise the question of finding a new method of wastewater treatment that could become an alternative to the existing conventional technologies, and improve the overall process [1,4].
Adsorption methods are a more suitable processes for wastewater treatment, due to the high metal recovery rate, no sludge production, low economic investments, the ability to regenerate the adsorbent, and many others [1].
In recent years, the scientific community has recognized biosorption as a potential, efficient and economically feasible alternative to conventional technologies for the removal of heavy metal ions from aqueous solutions. The scientific research is focused on examining the possibility of using many industrial and agricultural waste materials as biosorbents [5].
Since inactive biomass is usually used in biosorption processes, the mechanism of metal ions removal is based on adsorption, chelation, ion exchange, complexation, coordination, microprecipitation, electrostatic interaction, or the combination of the before-mentioned mechanisms [6].
Many industries that produce and use eggs generate considerable amounts of waste in the form of eggshells. These by-products constitute approximately 6 g/egg, an amount which represents significant waste. Waste eggshells are considered useless and are disposed in landfills without any pre-treatment [7].
The aim of this work is to study the possibility of using waste raw eggshells as an adsorbent for copper ions removal from aqueous solutions, as well as to analyze the specifics of the process and the influence of certain parameters on its efficiency. The use of eggshells as an adsorbent for wastewater treatment could potentially solve two problems. First, it would reduce the amount of waste in landfills, thus directly help industries based on the use of eggs by reducing the costs of their disposal. And, secondly, it would contribute to solving the problem of watercourses contamination with heavy metals (in this case, copper).
The performed analysis in this work include:
- –
- the influence of different process parameters (initial Cu2+ ions concentration, pH value of the solution, adsorbent mass and stirring rate) on the biosorption capacity;
- –
- SEM-EDS analysis of the eggshells sample before and after the biosorption process;
- –
- kinetic analysis of the biosorption process;
- –
- equilibrium analysis of the biosorption process;
- –
- thermodynamic analysis of the biosorption process;
- –
- process optimization study by the mean of Response Surface Methodology based on Box-Behnken Design
2. Materials and Methods
Raw chicken eggshells (Figure 1), collected from local households (located in the city of Bor, in eastern Serbia), were washed with distilled water several times, ground, sieved, and the fraction (−1 + 0.4) mm was used for the biosorption experiments.
Figure 1.
Chicken eggshells sample.
The eggshells samples were rinsed with 200 mL distilled water, prior to the biosorption experiments, in order to remove the physical impurities.
Biosorption experiments were conducted in batch conditions, using synthetic Cu2+ solutions, prepared with CuSO4·5H2O (p.a.). The concentrations of the solutions varied, based on the specifics of the performed experiment.
pH value of the solutions was adjusted using 0.1 M HNO3 and 0.1 M KOH.
Process parameters, including contact time, initial copper ions concentration, temperature, stirring rate, initial mass of the adsorbent, and initial pH value were adjusted depending on the performed experiment.
All experiments were performed in batch conditions. A spectrophotometer (Spectroquant Pharo 300—Merck, Rahway, NJ, USA) was used to analyze the solutions for the remaining copper ions content. The SEM-EDS analysis was performed on a SEM scanning electron microscope (VEGA 3 LMU, Tescan, Brno, Czech Republic) with an integrated energy-dispersive X-ray detector (X act SDD 10 mm2, Oxford Instruments, Abingdon, UK).
The biosorption capacity and the adsorption degree were calculated using the following equations:
where: qt is the adsorbent capacity defined as mass of the adsorbed metal per unit mass of the adsorbent (mg g−1) at time t; ci is the initial metal ion concentration in the solution; ct is the metal ion concentration in the solution at time t; m is the adsorbent mass; V is the volume of the solution; AD% is the adsorption degree.
3. Results and Discussions
3.1. The Influence of Different Process Parameters on the Adsorption Efficiency (Biosorption Capacity)
3.1.1. The Effect of ph Value on the Biosorption Capacity
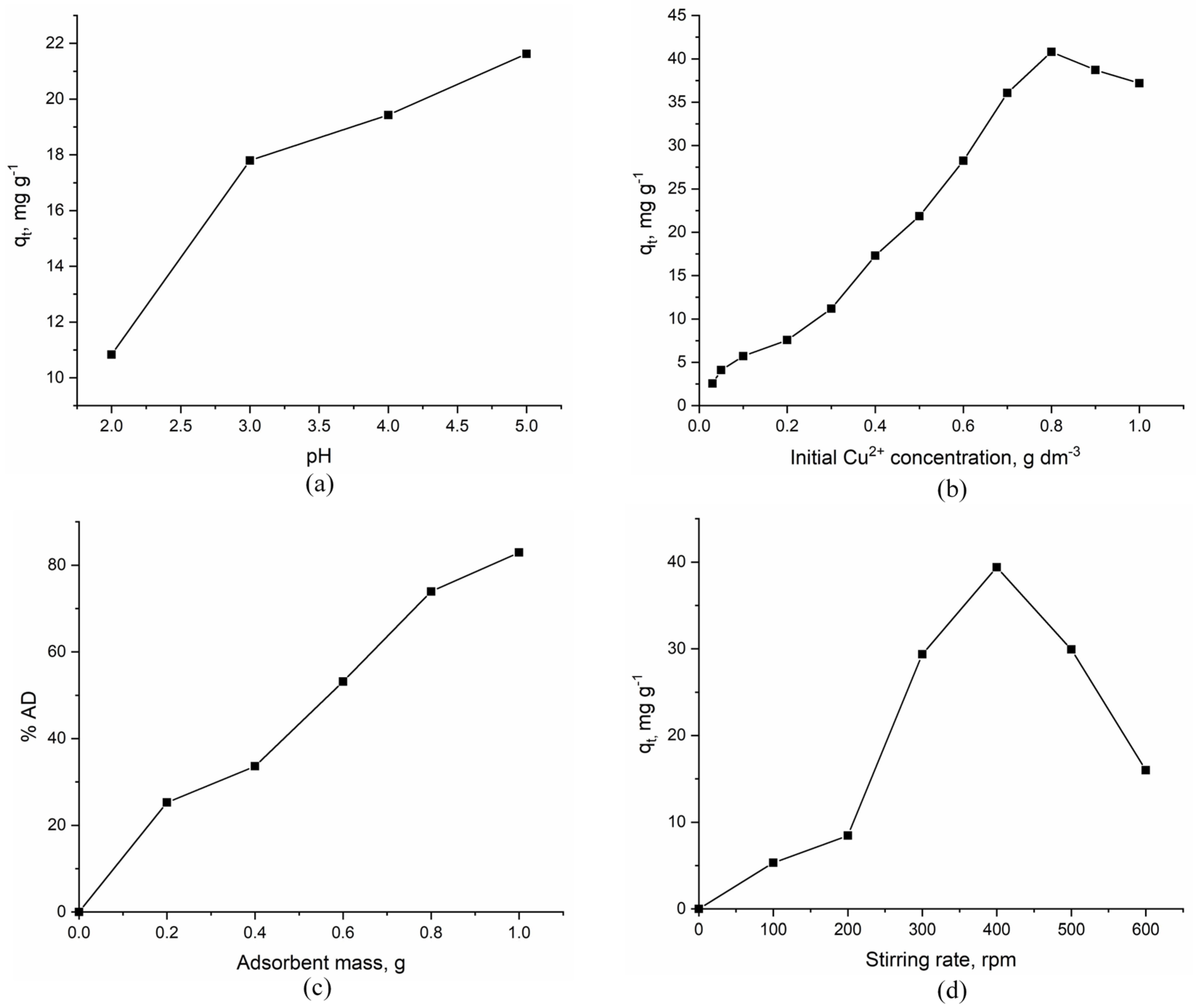
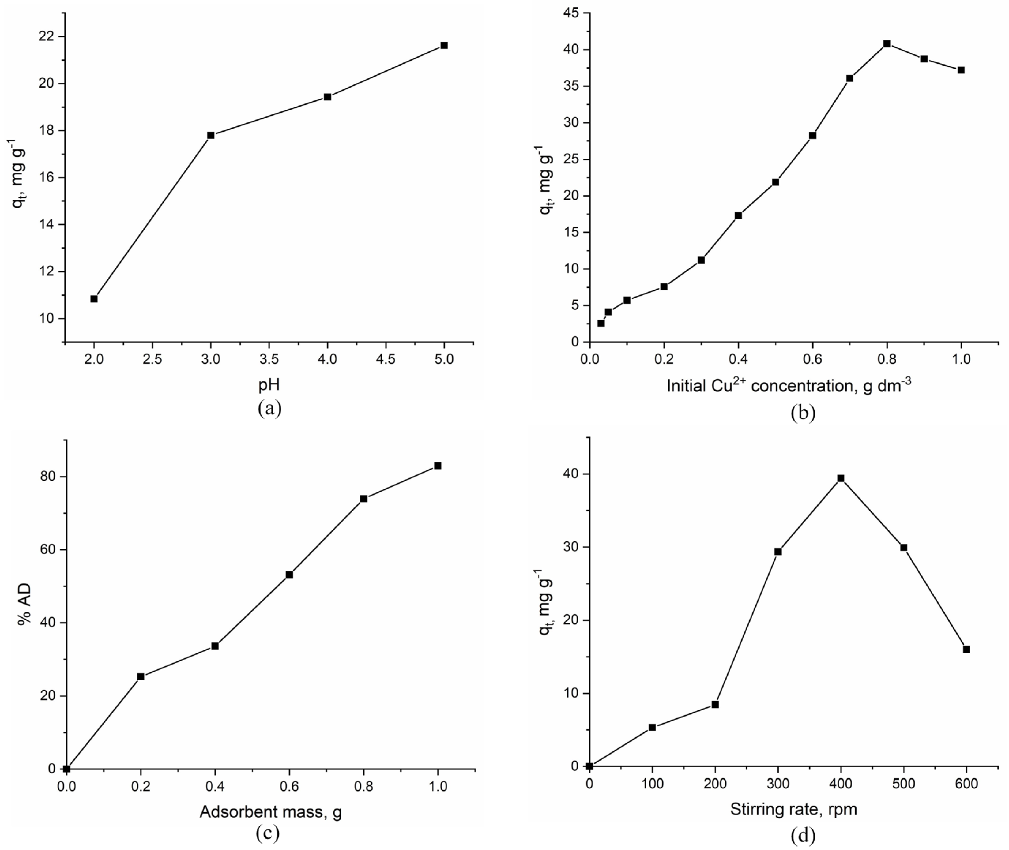
In order to analyze the effect of the pH value on the biosorption capacity, a series of experiments was performed, using Cu2+ ion solutions, of different pH values, ranging from 2 to 5. The pH value of the solutions was adjusted by adding 0.1 M HNO3 and 0.1 M KOH. The experiments were performed at room temperature, using solutions of initial Cu2+ concentration of 500 mg dm−3. The suspension was stirred for 60 min. The obtained results are shown on Figure 2a.
Figure 2.
(a) pH value effect on the biosorption capacity, (b) initial Cu2+ concentration influence on the biosorption capacity, (c) adsorbent mass effect on the biosorption capacity, and (d) stirring rate influence on the biosorption capacity for copper ions biosorption onto chicken eggshells.
As can be seen from Figure 2a, low pH values of the solution led to a low biosorption capacity. A rise in the pH value of the solution led to a rise in the biosorption capacity. At pH = 2 the biosorption capacity was determined to be around 10.82 mg g−1, while at pH = 5 the biosorption capacity was almost twice as higher (qt = 21.62 mg g−1). The rise in the biosorption capacity of eggshells at higher pH values of the solution occurs due to the fact that chicken eggshell constitutes of about 95% of calcium carbonate and 5% of organic matter. The calcium carbonate favors precipitation of metal ions, as it dissociates to carbonate and calcium ions. The solubility of calcium carbonate in the eggshells varies, based on the pH level of the solution. Carbonate species appear in solutions as H2CO3, HCO3− and CO32−. The latter two are presumably responsible for the formation of metal carbonates [5]. Considering the divalent nature of the Cu2+ ions in the solution at pH = 5 (Figure 3), it is assumed that the carbonate ions from the eggshell interact with the copper ions to form copper carbonates.
Figure 3.
Cu species distribution at different pH values of the solution [10].
3.1.2. The Influence of the Initial Cu2+ Concentration on the Biosorption Capacity
The influence of the initial Cu2+ concentration on the biosorption capacity was examined by bringing into contact 1 g of chicken eggshell with 0.5 dm−3 copper ion solutions of different initial concentrations, ranging from 30 mg dm−3 to 1000 mg dm−3, on a magnetic stirrer, for 60 min. The experiments were performed at room temperature. The obtained results are shown on Figure 2b. Figure 2b shows an increase in the biosorption capacity, with the rise in the initial Cu2+ ions concentration, up to 800 mg dm−3, where it reaches the maximum value (qt = 40.79 mg g−1). With a further increase in the initial copper ions concentration, a decrease in the biosorption capacity is noted. It is assumed that this decrease occurs due to the saturation of the adsorbent with Cu2+.
The fact that the adsorption process includes different simultaneous processes, among which are the diffusion in the liquid phase and adsorption in the solid phase, it is assumed that the increase in the initial metal ions concentration leads to an increase in the probability of their contact with the active sites in the structure of the adsorbent. The saturation of the active sites in the adsorbent structure leads to the decrease in the biosorption capacity, with the further increase in the initial metal ions concentration [7].
3.1.3. The Effect of the Adsorbent Mass on the Biosorption Capacity
The effect of the adsorbent mass on the biosorption capacity was determined by bringing into contact 0.5 dm−3 copper ion solutions (initial concentration 500 mg dm−3) with different amounts of eggshells, ranging from 0.2 to 1 g. The suspension was stirred on a magnetic stirrer, under room temperature, for 60 min. The results of the performed analysis are shown on Figure 2c. As seen on Figure 2c, the adsorption degree increased from 25% to 82% with the increase in the adsorbent mass from 0.2 to 1 g, due to the higher number of available active sites on the adsorbent structure as a result of a larger amount of adsorbent available [8].
3.1.4. The Influence of the Stirring Rate on the Biosorption Capacity
The influence of the stirring rate on the biosorption capacity was analyzed by performing the following experiment 0.5 g of eggshells was brought into contact with 0.5 dm−3 copper ions solutions, and stirred at room temperature using different stirring rates from 100 to 600 rpm, for 60 min. The obtained results are shown on Figure 2d. The results show that the biosorption capacity increased with the increase in the stirring rate, up to 400 rpm, where it reached its maximum value. Further increase in the stirring rate resulted in a decrease of the biosorption capacity.
It is assumed that the increase in the stirring rate accelerates the diffusion of the metal ions through the liquid phase to the surface of the adsorbent, resulting in the rise of the biosorption capacity [9].
3.2. SEM-EDS Analysis
The SEM-EDS analysis of the eggshells was performed before and after the biosorption of copper ions in order to study the surface morphology and texture of the samples. The obtained results are shown on Figure 4.
Figure 4.
SEM micrographs of eggshells samples before Cu2+ biosorption (a) and after the biosorption process (c), with the corresponding EDS spectra before (b) and after the biosorption process (d).
Figure 4a shows a porous and dense surface structure of the untreated raw eggshell. Figure 4c shows a slight change to the surface morphology, with the surface becoming uneven, rough and heterogeneous, as a result of the incorporation of copper ions inside the structure of the eggshells sample. The interaction of eggshells with Cu2+ ions lead to the formation of flake-like deposits on the surface of the adsorbent [11,12].
The EDS analysis was performed by scanning multiple points on the surface of the untreated eggshell as well as the eggshell sample after the adsorption process. The EDS spectrum of the untreated eggshell (Figure 4b) showed peaks for O, Mg, K and Ca, with high O and Ca contents. The obtained spectrum after the adsorption process (Figure 4d) indicates the absence of the Mg peak, while the K and Ca peaks remained but were reduced. A new peak, corresponding to the adsorbed Cu ions appeared. Obtained EDS results indicate that Mg, K and Ca could potentially be exchanged with Cu during the adsorption process.
3.3. Kinetic Study
Adsorption kinetic data provides insight into the mechanism of the adsorption process, it’s rate, as well as information about the step that determines the overall rate of the process. In this work, the experimental data were modeled using the non-linear forms of the pseudo-first order kinetic model, pseudo-second order kinetic model, intraparticle diffusion kinetic model (Weber-Morris model), and the Elovich kinetic model.
In order to obtain the biosorption kinetic data, 50 mL of copper ion solutions (initial Cu2+ concentration 500 mg dm−3) were brought into contact with 1 g of eggshells samples, for different process time (ranging from 1 to 90 min). The kinetic analysis is presented in Figure 4 along with the obtained kinetic data which are presented in Table 1.
Table 1.
Kinetic model parameters for copper ions biosorption onto eggshells.
3.3.1. Pseudo-First Order Kinetic Model
The pseudo-first order kinetic model is often used to describe the kinetics of a sorption process. According to this model, a type of sorbent reacts with one active center in the adsorbent structure, forming a sorption complex [13].
The non-linear form of the pseudo-first order kinetic model can be expressed as:
where: qt is the adsorbent capacity defined as mass of the adsorbed metal per unit mass of the adsorbent (mg g−1) at time t; qe is the adsorbent capacity defined as mass of the adsorbed metal per unit mass of the adsorbent (mg g−1) at equilibrium; k1 is the adsorption rate constant for the pseudo-first order kinetic model (min−1).
The experimental data were fitted using this model (Figure 5), and the kinetic parameters were determined and presented in Table 1.
Figure 5.
Non–linear kinetic models for copper ions biosorption onto chicken eggshells.
3.3.2. Pseudo-Second Order Kinetic Model
This model assumes that the kinetics of a sorption process simultaneously depends on the number of free active centers on the surface of the sorbent and the concentration of the sorbate in the solution [14].
The non-linear form of this model is given as:
where: qt is the adsorbent capacity defined as mass of the adsorbed metal per unit mass of the adsorbent (mg g−1) at time t; qe is the adsorbent capacity defined as mass of the adsorbed metal per unit mass of the adsorbent (mg g−1) at equilibrium; k2 is the adsorption rate constant for the pseudo-second order kinetic model (g mg−1 min−1).
3.3.3. Intraparticle Diffusion Kinetic Model (Weber-Morris Model)
The Weber-Morris model assumes that the adsorption process does not take place only on the surface of the adsorbent, but that diffusion and adsorption inside the adsorbent structure also occur [15].
The non-linear form of the intraparticle diffusion kinetic model is given as:
where: qt is the adsorbent capacity defined as mass of the adsorbed metal per unit mass of the adsorbent (mg g−1) at time t; Ki is the internal particle diffusion rate constant (mg g−1 min−0.5); Ci is the boundary layer thickness constant.
3.3.4. Elovich Kinetic Model
The Elovich model is one of the most useful kinetic models for describing chemisorption [16].
The non-linear form of this model is given as:
where: qt is the adsorbent capacity defined as mass of the adsorbed metal per unit mass of the adsorbent (mg g−1) at time t; α is the starting adsorption rate (mg g−1 min−1); β is the parameter that expresses the degree of surface coverage and activation energy for chemisorption (g mg−1).
The obtained corresponding plot and kinetic data for this model are shown on Figure 5 and in Table 1.
The experimental data were fitted using four non-linear kinetic models, i.e., the pseudo-first order kinetic mode, pseudo-second order kinetic model, intraparticle diffusion kinetic model, and the Elovich kinetic model. Based on the obtained kinetic parameters (Table 1), it can be concluded that all the analyzed models show good agreement with the experimental data. However, the pseudo-first order kinetic model has proven to be the best fit for the analyzed data (R2 = 0.999). Such results suggest that, in theory, copper ions react with active sites inside the structure of the eggshell, forming sorption complexes.
3.4. Equilibrium Study
Adsorption isotherm models are used to analyze experimental data in order to gain information about the mechanism of the adsorption process, it‘s equilibrium, and the maximum biosorption capacity. In this work, the non-linear Langmuir, Freundlich and Temkin isotherm models were used to analyze the equilibrium of the copper ions biosorption process onto chicken eggshells.
Biosorption isotherm data was obtained by performing the following experiment: 0.5 g of eggshells samples was brought into contact with 50 mL of copper ions solutions, of different initial Cu2+ concentrations (in the range from 30 to 400 mg dm−3). The suspension was stirred on a magnetic stirrer for 90 min, assuming that is enough time to reach the equilibrium between phases [17]. The obtained experimental data was fitted using the mentioned non-linear isotherm models, and the results are presented in Figure 6 along with the isotherm parameters in Table 2.
Figure 6.
Biosorption isotherm data fitted using non–linear Langmuir, Freundlich and Temkin models.
Table 2.
Adsorption isotherm model parameters for copper ions biosorption onto eggshells.
3.4.1. Langmuir Isotherm Model
The Langmuir isotherm model assumes that the adsorption process takes place in a monolayer, and that there are a finite number adsorption sites (each site can hold one adsorbate molecule). There is no interaction between the adsorbed molecules, and all adsorption sites are equivalent [18,19].
This model can be expressed as:
where: qe is the equilibrium biosorption capacity (mg g−1); qm is the maximum biosorption capacity (mg g−1); Ce is the equilibrium concentration of metal ions in the solution (mg dm−3); and KL is the Langmuir equilibrium constant (dm3 g−1).
3.4.2. Freundlich Isotherm Model
The Freundlich model is a good representation of sorption processes at low and intermediate concentrations. This model can be applied to non-ideal and multilayer sorption on heterogeneous surfaces [20].
The Freundlich model can be represented as:
where: qe is the equilibrium biosorption capacity (mg g−1); Ce is the equilibrium concentration of metal ions in the solution (mg dm−3); Kf is the Freundlich equilibrium constant ((mg g−1) (dm3 mg−1)1/n).
The Freundlich constant n provides insight into the favorability of the adsorption process. When the value of n lays between 1 and 10 (i.e., 1/n is lower than 1), the adsorption process is favorable [21].
3.4.3. Temkin Isotherm Model
This model assumes that the adsorption heat of all the molecules in the layer shows a linear decrease with the coverage of molecules, and that adsorption is characterized by a uniform distribution of binding energies, up to a maximum binding energy [18].
The Temkin model is given as:
where: qe is the equilibrium biosorption capacity (mg g−1); Ce is the equilibrium concentration of metal ions in the solution (mg dm−3); B = RT/b is the Temkin constant, which refers to the adsorption heat (J mol−1); b is the variation of adsorption energy (J mol−1); R is the universal gas constant (J mol−1 K−1); T is the temperature (K); KT is the Temkin equilibrium constant (dm3 g−1).
Based on the correlation coefficients (Table 2), it can be concluded that the biosorption process follows the Langmuir isotherm model, as it showed a very good agreement with the experimental data. This result indicates that there is a homogeneous distribution of active sites on the eggshell surface, while the adsorption process takes place in a monolayer, and that there are a finite number adsorption sites [18,19].
In addition, the Freundlich constant n suggests that the biosorption of copper ions onto chicken eggshells is a favorable process (n is between 1 and 10, i.e., 1/n is lower than 1) [21].
The performance of the adsorbent is usually defined by the maximum biosorption capacity. Based on the results in copper removal with various biosorbents reported by other workers (Table 3), it can be concluded that eggshells may play an important role as a cost-effective biosorbent for copper ions removal from aqueous environments.
Table 3.
Cu2+ ions biosorption on eggshell in comparison with other adsorbents.
3.5. Thermodynamic Study
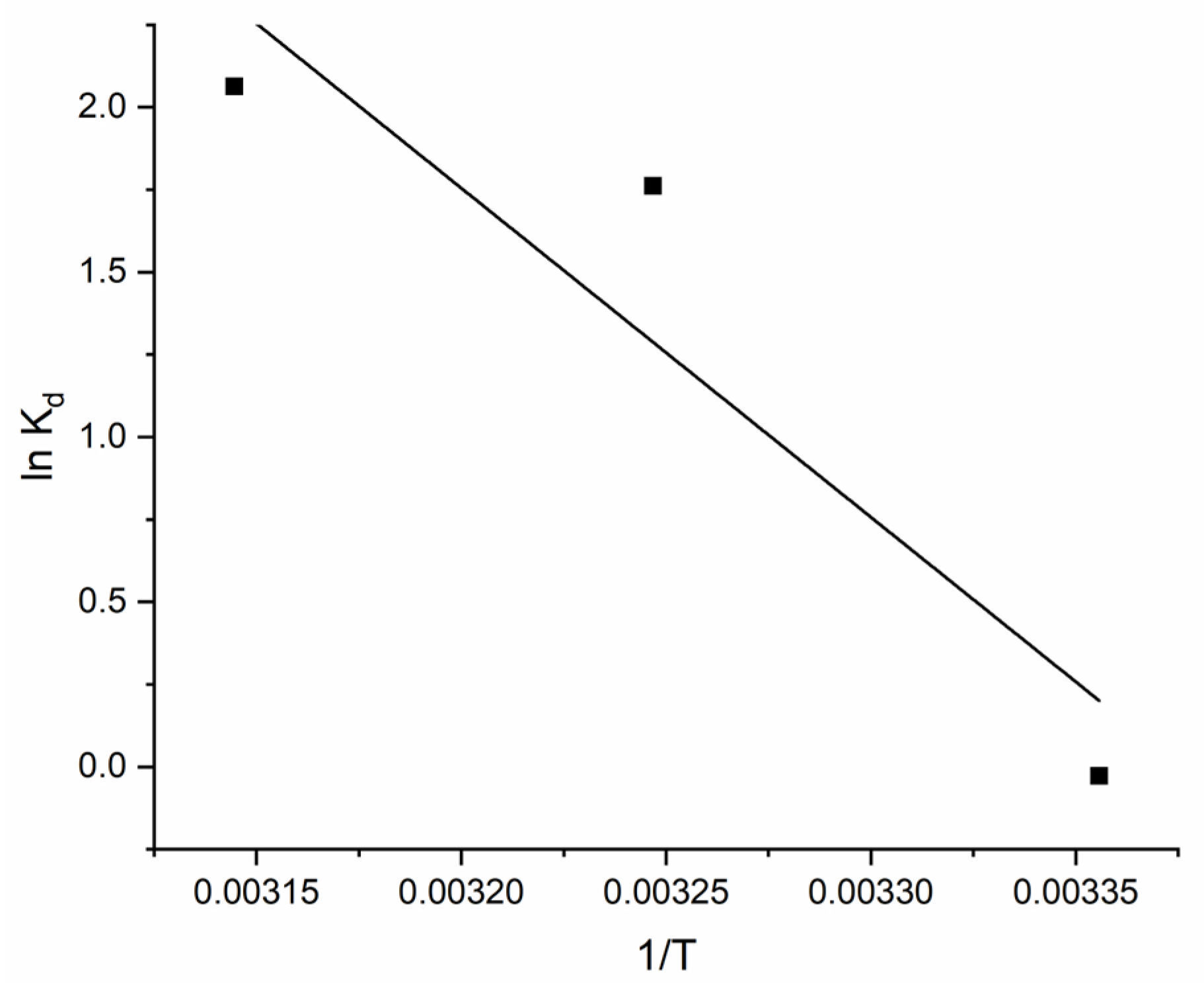
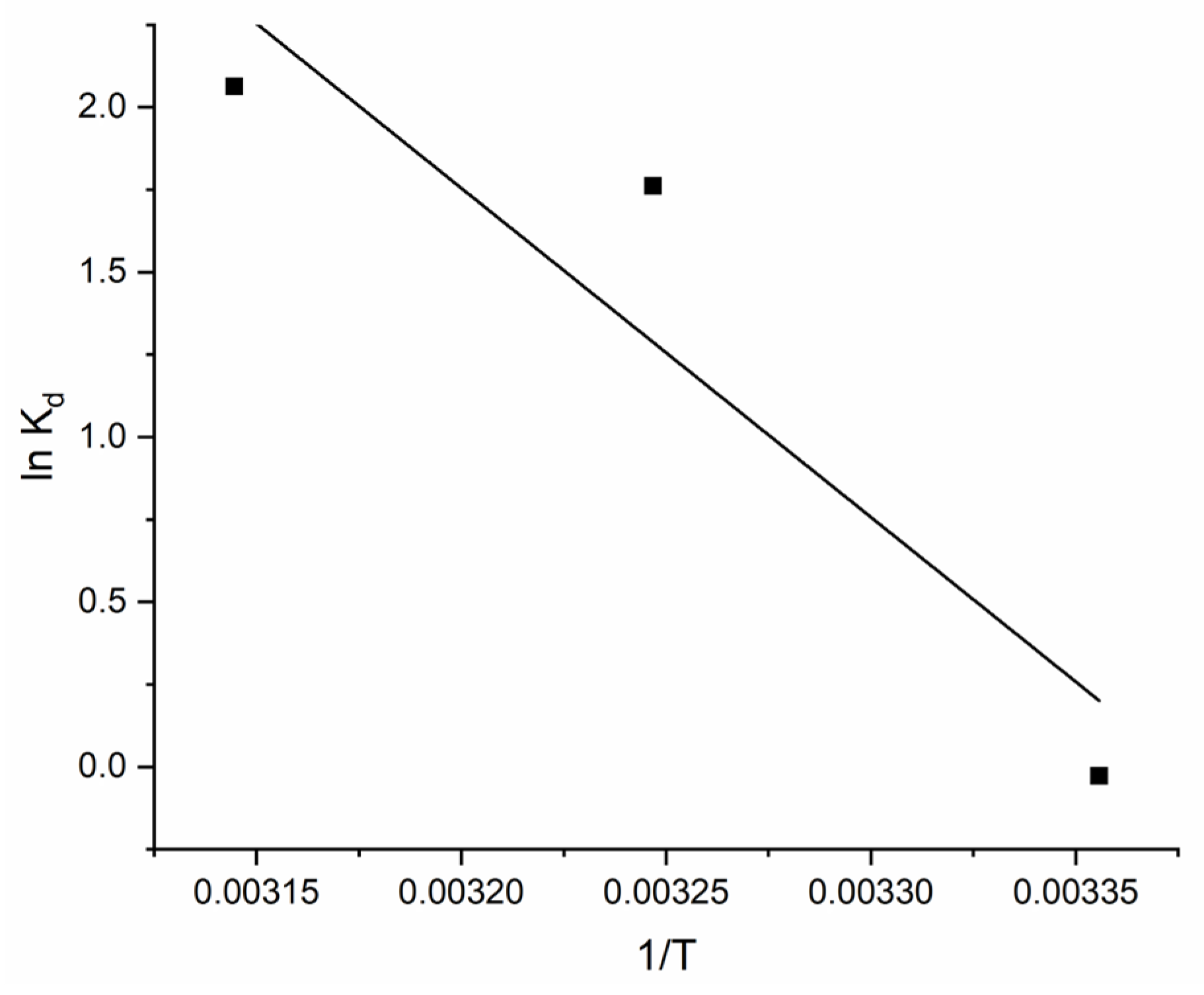
The influence of temperature on the biosorption process was analyzed by bringing into contact 0.5 g of eggshells samples with 50 mL of synthetic Cu2+ solutions (initial concentration 500 mg dm−3), at different temperatures (25 °C, 35 °C, and 45 °C). The suspension was stirred for 90 min. The obtained results (Figure 6) are analyzed in order to determine the thermodynamic parameters. The thermodynamic parameters are calculated using the Equations (10)–(13).
where: Kd is the thermodynamic equilibrium constant; CA is the concentration of the adsorbed adsorbate (mg dm−3); CS is the equilibrium concentration of the adsorbate in the solution (mg dm−3); ΔG0 is the Gibbs free energy (kJ mol−1); R is the universal gas constant (J mol−1 K−1); T is the temperature (K); ΔS0 is the entropy change (J mol−1 K−1); ΔH0 is the enthalpy change (kJ mol−1); Ea is the activation energy (kJ mol−1).
The change of the Gibbs free energy was calculated using the Equation (11).
According to the Equation (12), the values of the enthalpy and entropy were calculated from the slope and intercept of the plot ln KD vs. 1/T, which is shown on Figure 7 [20].
Figure 7.
Thermodynamic plot ln KD vs. 1/T for copper ions biosorption onto eggshells.
The activation energy was calculated from the slope of the plot ln KD vs. 1/T, using the Equation (13).
The thermodynamic parameters are given in Table 4.
Table 4.
Thermodynamic parameters for copper ions biosorption onto eggshells.
The Gibbs free energy (Table 3) for the copper ions biosorption onto eggshells indicates that the process is spontaneous and favored at temperatures above 25 °C. Negative enthalpy change indicates that the process is exothermic. Positive entropy value indicates that there is an increased randomness at the solid/liquid interface during the adsorption process [30,31].
The activation energy (Ea) value of 82.97 kJ mol−1 indicates that the binding of copper ions onto eggshells took place mainly by chemisorption [32].
3.6. Process Optimization Study
The biosorption of copper ions using eggshells was optimized using an experimental design, in order to determine the effects of three selected (independent) variables on the percentage of Cu2+ removal (dependent variable). Response Surface Methodology (RSM) represents a set of techniques, which is useful for evaluating the relationships between a number of experimental factors and measured responses [33,34,35].
The RSM-BBD was applied to optimize the biosorption process using the Design Expert software (version: 22.0.0) [36].
The Box-Behnken factorial design, consisting of 17 experiments, coupled with Response Surface Methodology, was applied with the goal to optimize the biosorption process, comparing three factors: Adsorbent mass (A), initial copper ions concentration (B) and contact time (C). The experimental ranges and their levels in the design are given in Table 5. The experimental design matrix, as well as the response R (adsorption degree) are given in Table 6.
Table 5.
Experimental ranges and levels in the experimental design.
Table 6.
Box-Behken Design matrix for three factors along with observed response for Cu2+ biosorption onto eggshells.
The correlation between the following independent variables: linear (β1, β2, β3), quadratic (β11, β22, β33), interaction terms (β12, β13, β23) and the response (R), was described by fitting the following polynomial equation [33]:
The obtained results are displayed in Table 6. The biosorption of copper ions onto eggshells can be expressed using the following equation:
The statistical significance of the applied model was evaluated by the ANOVA analysis and shown in Table 7. The significance of each coefficient is determined by the magnitude of the F-values and p-values (Table 7). The larger the F-value, and the smaller p-value, the corresponding coefficient is more significant. p-values less than 0.0500 indicate high significant regression at 95% confidence level [35].
Table 7.
ANOVA analysis for response surface model in relation to Cu2+ biosorption onto eggshells.
The model F-value and p-value of 5.03 and 0.0224, respectively, indicate that the model is significant. p-values lower than 0.05 indicate that model terms are significant. In this study, B (initial Cu2+ ions concentration), C (contact time (min)), and BC (initial Cu2+ ions concentration combined with contact time (min)) are significant model terms. The suitability of the model was confirmed by the regression coefficients of the predicted and experimental values (R2 = 0.866 and adj-R2 = 0.694).
Figure 8 shows the relationship between the experimental responses and the responses predicted by the model.
Figure 8.
Plot of experimental and predicted responses.
Based on the data shown on Figure 8, and the correlation coefficient (R2 = 0.897), it can be concluded that there is a good relationship between the experimental and predicted responses.
Response surface plots showing the influence of the analyzed parameters on the adsorption degree (R) are presented on Figure 9, Figure 10 and Figure 11. Figure 9 indicates that lower initial metal ion concentration combined with lower adsorbent mass leads to a higher percentage of adsorbed metal (ANOVA analysis indicates that the combination of these two factors (A and B) is not significant). Figure 10 indicates that higher adsorbent mass and higher contact time leads to a higher response (metal removal%), while the ANOVA analysis does not classify the combination of these factors as significant. Figure 11 shows the interaction between factors B and C, i.e., the initial metal ion concentration and contact time, respectively. The ANOVA analysis indicates that the combination of these two factors is a significant model term. The corresponding Response surface plot indicates that high contact time and low initial metal ions concentration leads to the highest obtained response (adsorption degree).
Figure 9.
Response surface plot showing the interaction and influence of the adsorbent mass (A) and initial copper ions concentration (B) on the adsorption rate (R).
Figure 10.
Response surface plot showing the interaction and influence on of the adsorbent mass (A) and contact time (C) on the adsorption rate (R).
Figure 11.
Response surface plot showing the interaction and influence of the initial copper ions concentration (B) and contact time (C) on the adsorption rate (R).
4. Conclusions
Biosorption of copper ions using chicken eggshells as an adsorbent was investigated and presented in this paper.
The influence of different process parameters on the biosorption process was evaluated. The biosorption capacity was found to increase with the increase in the pH value of the solution, reaching its maximum value at pH = 5. The influence of the pH value on the biosorption capacity could possibly be explained by the behavior of the carbonate species that originate from the eggshells (the source of the calcium carbonate) in the solution at different pH values, and their interaction with the divalent copper ions.
The analysis of the influence of initial copper ions concentration showed an increase in the biosorption capacity, with the rise in the initial Cu2+ ions concentration, up to 800 mg dm−3, where it reaches the maximum value (qt = 40.79 mg g−1).
The initial mass of the adsorbent showed a significant influence on the biosorption efficiency. The adsorption degree increased from 25% to 82% with the increase in the adsorbent mass up to 1 g, due to the higher number of available active sites on the adsorbent structure as a result of a larger amount of adsorbent available.
The results of the analysis also showed that the biosorption capacity increased with the increase in the stirring rate, up to 400 rpm, where it reached its maximum value. Further increase in the stirring rate resulted in a decrease of the biosorption capacity.
The SEM-EDS analysis was performed on eggshells samples before and after the biosorption process. The SEM analysis showed a slight change to the surface morphology of the eggshells sample after the biosorption process, to an uneven, rough and heterogeneous nature. This change could be contributed to the incorporation of copper ions inside the structure of the eggshells sample. The interaction of eggshells with Cu2+ ions lead to the formation of flake-like deposits on the surface of the adsorbent. The EDS analysis of the eggshells samples before and after the biosorption process indicated that Mg, K and Ca could potentially be exchanged with Cu ions during the adsorption process.
Biosorption kinetics were analyzed using four empirical kinetic non-linear models, namely, the pseudo-first order kinetic model, pseudo-second order kinetic model, intraparticle diffusion kinetic model, and the Elovich kinetic model. The obtained kinetic parameters led to a conclusion that the pseudo-first order best fits the analyzed process, suggesting that copper ions possibly react with active sites inside the eggshell structure, forming sorption complexes in the process.
Three empirical adsorption isotherm models, namely, the Langmuir, Freundlich and Temkin model, in their non-linear form, were used to evaluate the equilibrium of the biosorption process. The performed analysis indicated that the Langmuir model showed the best fit with the experimental data. The Freundlich constant n also suggested that the biosorption of copper ions onto chicken eggshells is a favorable process.
The thermodynamic parameters of the biosorption process were calculated. The Gibbs free energy change indicated that the biosorption of copper ions onto chicken eggshell is a spontaneous process, and favored at temperatures above room temperature. The obtained enthalpy and entropy values indicated that the process is exothermic and that there is increased randomness at the solid/liquid interface during the biosorption.
Copper ions biosorption onto eggshells was optimized using Response Surface Methodology, based on Box-Behnken Design. The influence of three parameters (adsorbent mass, initial metal ions concentration and contact time) was investigated. The obtained data indicates that the used model is statistically significant. The data shows that initial Cu2+ ions concentration, contact time, and initial Cu2+ ions concentration combined with contact time are significant model terms. This model indicated that the optimal biosorption conditions are: adsorbent mass = 1g; initial Cu2+ ions concentration = 0.5 g dm−3; and contact time = 90 min.
Author Contributions
M.G., N.Š., V.G. and M.V. directed the project; M.G., M.M., K.B. and V.G. provided the samples for the biosorption experiments; M.M., K.B. and M.Z. performed the experiments and the analysis of the obtained data; M.M., M.G. and K.B. prepared the original draft. All authors have read and agreed to the published version of the manuscript.
Funding
This paper within the funding of the scientific research work at the University of Belgrade, Technical Faculty in Bor, according to the contract with registration number 451-03-68/2022-14/200131.
Data Availability Statement
The data presented in this study are available on request from the corresponding author.
Acknowledgments
The research presented in this paper was done with the financial support of the Ministry of Education, Science and Technological Development of the Republic of Serbia.
Conflicts of Interest
The authors declare no conflict of interest.
References
- Xin, Y.; Li, C.; Liu, J.; Liu, J.; Liu, Y.; He, W.; Gao, Y. Adsorption of heavy metal with modified eggshell membrane and the in situ synthesis of Cu-Ag/modified eggshell membrane composites. R. Soc. Open Sci. 2018, 5, 180532. [Google Scholar] [CrossRef] [PubMed]
- Zhang, W.; Dong, X.; Mu, X.; Wang, Y.; Chen, J. Constructing adjacent phosphine oxide ligands confined in mesoporous Zr-MOFs for uranium capture from acidic medium. J. Mater. Chem. A 2021, 9, 16685. [Google Scholar] [CrossRef]
- Qasem, N.A.A.; Mohammed, R.H.; Lawal, D.U. Removal of heavy metal ions from wastewater: A comprehensive and critical review. Npj Clean Water 2021, 4, 36. [Google Scholar] [CrossRef]
- Long, M.; Jiang, H.; Li, X. Biosorption of Cu2+, Pb2+, Cd2+ and their mixture from aqueous solutions by Michelia figo sawdust. Sci. Rep. 2021, 11, 11527. [Google Scholar] [CrossRef] [PubMed]
- Vijayaraghavan, K.; Joshi, U.M. Chicken eggshells remove Pb(II) ions from synthetic wastewater. Environ. Eng. Sci. 2013, 30, 67–73. [Google Scholar] [CrossRef]
- Cordeiro, C.M.M.; Hincke, M.T. Recent patents on eggshell: Shell and membrane applications. Recent Pat. Food Nutr. Agric. 2011, 3, 1–8. [Google Scholar] [CrossRef]
- Su, W.; Yang, Y.; Dai, H.; Jiang, L. Biosorption of heavy metal ions from aqueous solution o Chinese fir bark modified by sodium hypochlorite. Bioresources 2015, 10, 6993–7008. [Google Scholar] [CrossRef]
- Imessaoudene, A.; Cheikh, S.; Bollinger, J.C.; Belkhiri, L.; Tiri, A.; Bouzaza, A.; El Jery, A.; Assadi, A.; Amrane, A.; Mouni, L. Zeolite waste characterization and use as low-cost, ecofriendly, and sustainable material for malachite green and methylene blue dyes removal: Box-behnken design, kinetics and thermodynamics. Appl. Sci. 2022, 12, 7587. [Google Scholar] [CrossRef]
- Murithi, G.; Onindo, C.O.; Muthakia, G.K. Kinetic and equilibrium study for the sorption of Pb(II) ions from aqueous phase by water hyacinth (Eichhornia crassipes). Bull. Chem. Soc. Ethiop. 2012, 26, 181–193. [Google Scholar] [CrossRef]
- Yang, B.; Tong, X.; Deng, Z.; Lv, X. The adsorption of Cu species onto pyrite surface and its effect on pyrite flotation. J. Chem. 2016, 2016, 4627929. [Google Scholar] [CrossRef]
- Putra, W.P.; Kamari, A.; Yusoff, S.N.M.; Ishak, C.F.; Mohamed, A.; Norhayati, H.; Isa, I.M. Biosorption of Cu (II), Pb (II) and Zn (II) ions from aqueous solutions using selected waste materials: Adsorption and characterization studies. JEAS 2014, 4, 43523. [Google Scholar] [CrossRef]
- Anantha, R.K.; Kota, S. An evaluation of the major factors influencing the removal of copper ions using the egg shell (Dromaius novaehollandiae): Chitosan (Agaricus bisporus) composite. Biotech 2016, 6, 83. [Google Scholar] [CrossRef] [PubMed]
- Lagergren, S. About the theory of so-called adsorption of soluble substances. Sven. Vetenskapsakad. Handingarl. 1898, 241, 1–39. [Google Scholar]
- Ho, Y.S.; McKay, G. Pseudo-second order model for sorption processes. Process Biochem. 1999, 34, 451–465. [Google Scholar] [CrossRef]
- Cheung, W.H.; Szeto, Y.S.; McKay, G. Intraparticle diffusion processes during acid dye adsorption onto chitosan. Bioresour. Technol. 2007, 98, 2897–2904. [Google Scholar] [CrossRef] [PubMed]
- Elkady, M.F.; Ibrahim, A.M.; El Latif, M.M.A. Assessment of the adsorption kinetics, equilibrium, and thermodynamic for the potential removal of reactive red dye using eggshel biocomposite beads. Desalination 2011, 278, 412–423. [Google Scholar] [CrossRef]
- Gorgievski, M.; Božić, D.; Stanković, V.; Štrbac, N.; Šerbula, S. Kinetics, equilibrium and mechanism of Cu2+, Ni2+ and Zn2+ ions biosorption using wheat straw. Ecol. Eng. 2013, 58, 113–122. [Google Scholar] [CrossRef]
- Tonk, S.; Majdik, C.; Szep, R.; Suciu, M.; Rapo, E.; Nagy, B.; Niculae, A.G. Biosorption of Cd(II) ions from aqueous solution onto eggshell waste, kinetic and equilibrium isotherm studies. Rev. Chim. 2017, 68, 1951–1958. [Google Scholar] [CrossRef]
- Bouchelkia, N.; Mouni, L.; Belkhiri, L.; Bouzaza, A.; Bollinger, J.C.; Madani, K.; Dahmoun, F. Removal of lead(II) from water using activated carbon developed from jujube stones, a low cost adsorbent. Sep. Sci. Technol. 2016, 51, 1645–1653. [Google Scholar] [CrossRef]
- Metwally, S.S.; Rizk, H.E.; Gasser, M.S. Biosorption of strontium ions from aqueous solution using modified eggshell materials. Radiochim. Acta 2017, 105, 1021–1031. [Google Scholar] [CrossRef]
- Saha, P.D.; Chowdhury, S.; Mondal, M.; Sinha, K. Biosorption of direct red 28 (congo red) from aqueous solutions by eggshells: Batch and column studies. Sep. Sci. Technol. 2014, 47, 112–123. [Google Scholar] [CrossRef]
- Savastru, E.; Bulgariu, D.; Zamfir, C.I.; Bulgariu, L. Application of Saccharomyces cerevisiae in the biosorption of Co (II), Zn (II), and Cu (II) ions from aqueous media. Water 2022, 14, 976. [Google Scholar] [CrossRef]
- Sireesha, C.; Subha, R.; Sumithra, S. Biosorption of copper ions in aqueous solution by carbonized sunflower stem. Rasayan J. Chem. 2022, 15, 2267–2273. [Google Scholar] [CrossRef]
- Marques, G.S.; Dusi, G.G.; Drago, F.; Gimenes, M.L.; da Silva, V.R. Biosorption of Cu(II) ions using sericin cross-linked with polyethylene glycol-diglycidyl ether. Desalination Water Treat. 2022, 270, 153–162. [Google Scholar] [CrossRef]
- Božić, D.; Stanković, V.; Gorgievski, M.; Bogdanović, G.; Kovačević, R. Adsorption of heavy metal ions by sawdust of deciduous trees. J. Hazard. Mater. 2009, 171, 684–692. [Google Scholar] [CrossRef]
- Moreira, V.R.; Lebron, Y.A.R.; Freire, S.J.; Santos, L.V.S.; Palladino, F.; Jacob, R.S. Biosorption of copper ions from aqueous solution using Chlorella pyrenoidosa: Optimization, equilibrium and kinetic studies. Microchem. J. 2019, 145, 119–129. [Google Scholar] [CrossRef]
- Fawzy, M.A. Biosorption of copper ions from aqueous solution by Codium vermilara: Optimization, kinetic, isotherm and thermodynamic studies. Adv. Powder. Technol. 2020, 31, 3724–3735. [Google Scholar] [CrossRef]
- Blazquez, G.; Martin-Lara, M.A.; Dionsio-Ruiz, E.; Tenorio, G.; Calero, M. Evaluation and comparison of the biosorption process of copper ions onto olive stone and pine bark. J. Ind. Eng. Chem. 2011, 17, 824–833. [Google Scholar] [CrossRef]
- Modrzejewska, Z.; Rogacki, G.; Sujka, W.; Zarzycki, R. Sorption of copper by chitosan hydrogel: Kinetics and equilibrium. Chem. Eng. Process. 2016, 109, 104–113. [Google Scholar] [CrossRef]
- Awwad, K.M.; Farhan, A.M. Equilibrium, kinetic and thermodynamics of biosorption of lead (II) copper (II) and cadmium (II) ions from aqueous solutions onto olive leaves powder. Am. J. Chem. 2012, 2, 238–244. [Google Scholar] [CrossRef]
- Thilagan, J.; Gopalakrishnan, S.; Kannadasan, T. Thermodynamic study on adsorption of copper (II) ions in aqueous solution by chitosan blended with cellulose & cross linked by formaldehyde, chitosan immobilised on red soil, chitosan reinforced by banana stem fibre. IJSRET 2013, 2, 28–36. [Google Scholar]
- Ozel, H.U.; Gemici, B.T.; Ozel, H.B.; Berberler, E. Evaluating forest waste on adsorption of Cd(II) from aqueous solution: Equilibrium and thermodynamic studies. Pol. J. Environ. Stud. 2019, 28, 3829–3836. [Google Scholar] [CrossRef] [PubMed]
- Choinska-Pulit, A.; Sobolczyk-Bednarek, J.; Laba, W. Optimization of copper, lead and cadmium biosorption onto newly isolated bacterium using a Box-Behnken design. Ecotoxicol. Environ. Saf. 2018, 149, 275–283. [Google Scholar] [CrossRef] [PubMed]
- Mammar, A.C.; Mouni, L.; Bollinger, J.C.; Belkhiri, L.; Bouzaza, L.; Bouzaza, A.; Assadi, A.A.; Belkacemi, H. Modeling and optimization of process parameters in elucidating the adsorption mechanism of gallic acid on activated carbon prepared from date stones. Sep. Sci. Technol. 2020, 55, 3113–3125. [Google Scholar] [CrossRef]
- Turkyilmaz, H.; Kartal, T.; Yigitarslan Yildiz, S. Optimization of lead adsorption of mordenite by response surface methodology: Characterization and modification. J. Environ. Health Sci. Eng. 2014, 12, 5. [Google Scholar] [CrossRef]
- Design-Expert® Software, version 22.0.0; Stat-Ease, Inc.: Minneapolis, MN, USA, 2022; Available online: https://www.statease.com (accessed on 22 December 2022).
Disclaimer/Publisher’s Note: The statements, opinions and data contained in all publications are solely those of the individual author(s) and contributor(s) and not of MDPI and/or the editor(s). MDPI and/or the editor(s) disclaim responsibility for any injury to people or property resulting from any ideas, methods, instructions or products referred to in the content. |
© 2023 by the authors. Licensee MDPI, Basel, Switzerland. This article is an open access article distributed under the terms and conditions of the Creative Commons Attribution (CC BY) license (https://creativecommons.org/licenses/by/4.0/).










