The Study of Phase Transformation Behaviors for 38MnB5Nb Ultra High-Strength Steel by CCT Curves and TTT Curves
Abstract
1. Introduction
2. Methods
3. Results and Discussion
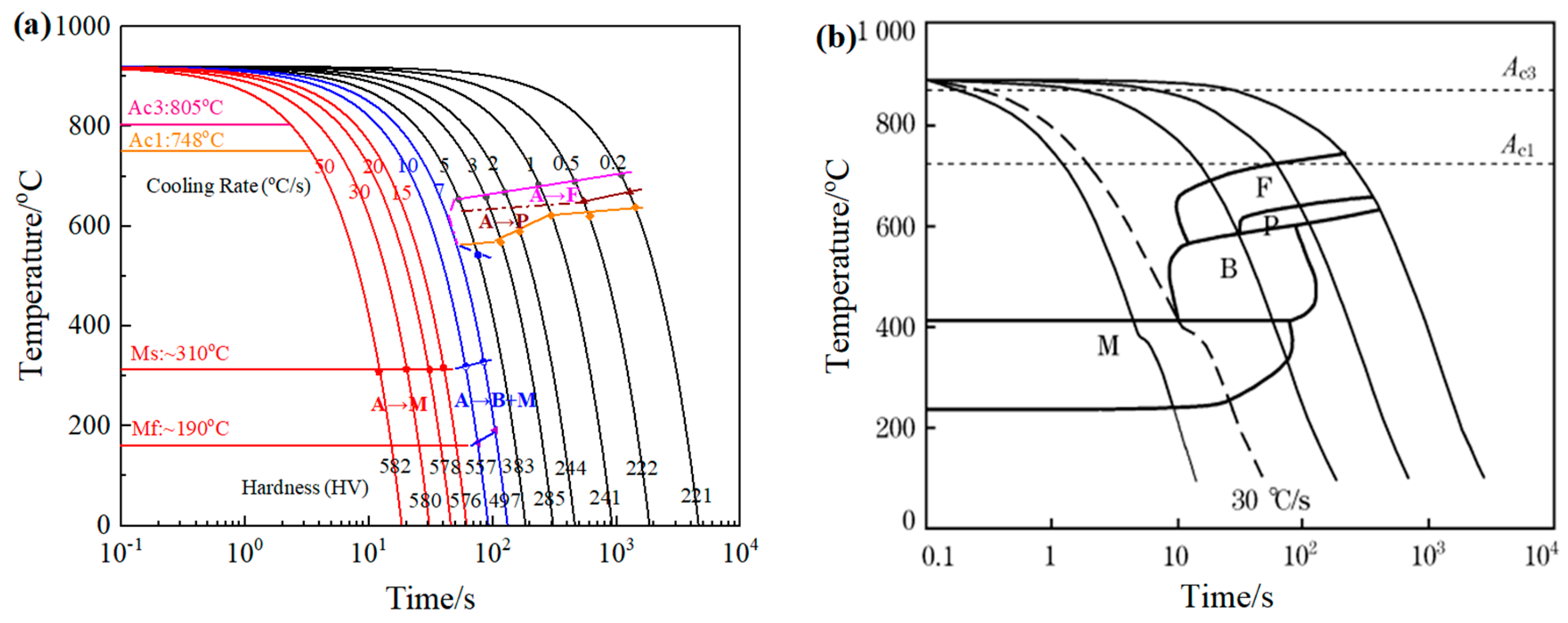
3.1. CCT Curves
3.2. TTT Curves
4. Conclusions
Author Contributions
Funding
Institutional Review Board Statement
Informed Consent Statement
Data Availability Statement
Acknowledgments
Conflicts of Interest
Nomenclature
| UHSS | ultra high-strength steel | 
| CCT curves | continuous cooling transformation curves | 
| OM | optical microscope | 
| Iso-Tem | isothermal temperature | 
| TPP-F | partition fast cooling tailored properties hot forming process | 
| FE model | finite element model | 
| TTT curves | time-temperature-transformation curves | 
| CR | cooling rate | 
| TPP-S | partition slow cooling tailored properties hot forming process | 
References
- Chen, J. Discussion of the modern electronic technology application and future development trend on automobile. Appl. Mech. Mater. 2012, 155–156, 627–631. [Google Scholar] [CrossRef]
- Merklein, M.; Johannes, M.; Lechner, M.; Kuppert, A. A review on tailored blanks—Production, applications and evaluation. J. Mater. Process. Technol. 2014, 214, 151–164. [Google Scholar] [CrossRef]
- Staeves, J.; Pfestorf, M. Einsatz höherfester Stähleim Automobilbau. In Umformtechnisches Kolloquium Darmstadt; Groche, P., Ed.; Darmstadt, Germany, 2003; pp. 51–61. Available online: https://www.staeves.de/veroeffentlichung/UKD_2003PPT.pdf (accessed on 1 December 2022).
- Li, Y.; Lin, Z.; Jiang, A.; Chen, G. Experimental study of glass-fiber mat thermoplastic material impact properties and lightweight automobile body analysis. Mater. Des. 2004, 25, 579–585. [Google Scholar] [CrossRef]
- Schwingenschlogl, P.; Niederhofer, P.; Merklein, M. Investigation on basic friction and wear mechanisms within hot stamping considering the influence of tool steel and hardness. Wear 2019, 426, 378–389. [Google Scholar] [CrossRef]
- Liu, H.; Sun, F.E.; Sun, H.E.; Liu, B.; Wang, Y.; Jin, X. Analysis of microstructure and mechanical properties of ultrafifine grained low carbon steel. J. Wuhan Univ. Technol. Mater. Sci. Ed. 2016, 31, 1099–1104. [Google Scholar] [CrossRef]
- Cavusoglu, O.; Cavusglu, O.; Yılmazoglu, A.G.; Üzel, U.; Aydınc, H.; Güral, A. Microstructural features and mechanical properties of 22MnB5 hot stamping steel in different heat treatment conditions. J. Mater. Res. Technol. 2020, 9, 10901–10908. [Google Scholar] [CrossRef]
- Merklein, M.; Lechler, J.; Geiger, M. Characterisation of the Flow Properties of the Quenchenable Ultra High Strength Steel 22MnB5. Ann. CIRP 2006, 55, 229–232. [Google Scholar] [CrossRef]
- Gracia-Escosa, E.; García, I.; Damborenea, J.J.D.; Conde, A. Friction and wear behaviour of tool steels sliding against 22MnB5 steel. J. Mater. Res. Technol. 2017, 6, 241–250. [Google Scholar] [CrossRef]
- Huang, W.; Gu, H.; Liu, Q.; Si, T. Suppression of hydrogen-induced damage in 22MnB5 hot stamping steel by microalloying. Mater. Chem. Phys. 2020, 256, 123729. [Google Scholar] [CrossRef]
- Nassiraei, H.; Lotfollahi-Yaghin, M.A.; Neshaei, S.A.; Zhu, L. Structural behavior of tubular X-joints strengthened with collar plate under axially compressive load at elevated temperatures. Mar. Struct. 2018, 61, 46–61. [Google Scholar] [CrossRef]
- Maleki, E.; Unal, O.; Amanov, A. Novel experimental methods for the determination of the boundaries between conventional, severe and over shot peening processes. Surf. Interfaces 2018, 13, 233–254. [Google Scholar] [CrossRef]
- Maleki, E.; Unal, O.; Kashyzadeh, K.R. Effects of conventional, severe, over, and re-shot peening processes on the fatigue behavior of mild carbon steel. Surf. Coat. Technol. 2018, 344, 62–74. [Google Scholar] [CrossRef]
- Maleki, E.; Unal, O.; Kashyzadeh, K.R. Surface layer nanocrystallization of carbon steels subjected to severe shot peening: Analysis and optimization. Mater. Charact. 2019, 157, 109877. [Google Scholar] [CrossRef]
- Maleki, E.; Unal, O.; Reza Kashyzadeh, K. Fatigue behavior prediction and analysis of shot peened mild carbon steels. Int. J. Fatigue 2018, 116, 48–67. [Google Scholar] [CrossRef]
- Ganapathy, M.; Li, N.; Lin, J.; Bhattacharjee, D. A feasibility study on warm forming of an as-quenched 22MnB5 boron steel. Int. J. Lightweight Mater. Manuf. 2020, 3, 277–283. [Google Scholar] [CrossRef]
- Mu, Y.; Wang, B.; Zhou, J.; Kang, Y.; Li, X. Heating parameters optimization of hot stamping by partition heating for tailored properties. ISIJ Int. 2017, 57, 1442–1450. [Google Scholar] [CrossRef]
- Merklein, M.; Wieland, M.; Lechner, M.; Bruschi, S.; Ghiotti, A. Hot stamping of boron steel sheets with tailored properties: A review. J. Mater. Process. Technol. 2016, 228, 11–24. [Google Scholar] [CrossRef]
- Vrolijk, M.; Lorenz, D.; Porzner, H.; Holecek, M. Supporting lightweight design: Virtual Modeling of hot stamping with tailored properties and warm and hot formed aluminium. Procedia Eng. 2017, 183, 336–342. [Google Scholar] [CrossRef]
- Mori, K.; Maeno, T.; Mongkolkaji, K. Tailored die quenching of steel parts having strength distribution using bypass resistance heating in hot stamping. J. Mater. Process. Technol. 2013, 213, 508–514. [Google Scholar] [CrossRef]
- Mu, Y.; Wang, B.; Zhou, J.; Simonetto, E.; Ghiotti, A.; Bruschi, S. Laboratory trials and design of industrial application of hot stamping of 22MnB5 tailored components by partition heating. Procedia Manuf. 2018, 15, 1103–1110. [Google Scholar] [CrossRef]
- Lin, L.; Li, B.-s.; Zhu, G.-m.; Kang, Y.-l.; Liu, R.-d. Effects of Nb on the microstructure and mechanical properties of 38MnB5 steel. Int. J. Miner. Metall. Mater. 2018, 25, 1181–1190. [Google Scholar] [CrossRef]
- Liang, X.; Li, X.; Wang, D.; Lin, X.; Luo, P.; Tan, Z.; Song, Y.; Tian, Y.; Hou, J.; Jiang, C.; et al. Numerical and Experimental Study on Hot Forming by Partition Cooling of 38MnB5Nb. Metals 2022, 12, 839. [Google Scholar] [CrossRef]
- da Costa Ximenes, D.A.; Moreira, L.P.; de Carvalho, J.E.R.; Leite, D.N.F.; Toledo, R.G.; da Silva Dias, F.M. Phase transformation temperatures and Fe enrichment of a 22MnB5 Zn-Fe coated steel under hot stamping conditions. J. Mater. Res. Echnol. 2020, 9, 629–635. [Google Scholar] [CrossRef]
- Gao, G.; Feng, C.; Bai, B. Effects of Nb on the Microstructure and Mechanical Properties of Water-Quenched FGBA/BG Steels. J. Mater. Eng. Perform. 2012, 21, 345–352. [Google Scholar] [CrossRef]
- Gao, B.; Tan, Z.; Luo, P.; Gao, G.; Zhang, M.; Misra, R.; Bai, B. Bainitic austempering incorporating quenching and partitioning for favorable tuning of microstructure and mechanical properties. Steel Res. Int. 2020, 91, 1900510. [Google Scholar] [CrossRef]
- Zhu, L.; Gu, Z.; Xu, H.; Lv, Y.; Chao, J. Modeling of Microstructure Evolution in 22MnB5 Steel during Hot Stamping. J. Iron Steel Res. Intl. 2014, 21, 197–201. [Google Scholar] [CrossRef]










| Steel | C | Si | Mn | Cr | B | Nb | Fe | 
|---|---|---|---|---|---|---|---|
| 38MnB5Nb | 0.36 | 0.24 | 1.39 | 0.19 | 0.005 | 0.05 | Bal. | 
| 22MnB5 | 0.25 | 0.24 | 1.36 | 0.2 | 0.005 | ~ | Bal. | 
| CR, °C/s | First Transformation Temperature, °C | Second Transformation Temperature, °C | Third Transformation Temperature, °C | 
|---|---|---|---|
| 0.2 | 705 | 668 | 638 | 
| 0.5 | 688 | 652 | 622 | 
| 1 | 685 | 623 | - | 
| 2 | 668 | 587 | - | 
| 3 | 656 | 566 | - | 
| 5 | 655 | 540 | - | 
| 7 | 328 | 190 | - | 
| 10 | 320 | 166 | - | 
| 15 | 315 | 186 | - | 
| 20 | 314 | 192 | - | 
| 30 | 312 | 162 | - | 
| ISO-TEM/°C | Start Time/s | Finish Time/s | ISO-TEM/°C | Start Time/s | Finish Time/s | 
|---|---|---|---|---|---|
| 400 | 75 | 342 | 550 | 10 | 135 | 
| 450 | 25 | 252 | 600 | 8 | 138 | 
| 500 | 10 | 218 | 650 | 4 | 72 | 
| Disclaimer/Publisher’s Note: The statements, opinions and data contained in all publications are solely those of the individual author(s) and contributor(s) and not of MDPI and/or the editor(s). MDPI and/or the editor(s) disclaim responsibility for any injury to people or property resulting from any ideas, methods, instructions or products referred to in the content. | 
© 2023 by the authors. Licensee MDPI, Basel, Switzerland. This article is an open access article distributed under the terms and conditions of the Creative Commons Attribution (CC BY) license (https://creativecommons.org/licenses/by/4.0/).
Share and Cite
Luo, P.; Li, X.; Zhang, W.; Liang, X.; Tan, Z.; Wang, D.; Jiang, C.; Hou, J.; Sun, L. The Study of Phase Transformation Behaviors for 38MnB5Nb Ultra High-Strength Steel by CCT Curves and TTT Curves. Metals 2023, 13, 190. https://doi.org/10.3390/met13020190
Luo P, Li X, Zhang W, Liang X, Tan Z, Wang D, Jiang C, Hou J, Sun L. The Study of Phase Transformation Behaviors for 38MnB5Nb Ultra High-Strength Steel by CCT Curves and TTT Curves. Metals. 2023; 13(2):190. https://doi.org/10.3390/met13020190
Chicago/Turabian StyleLuo, Ping, Xianjun Li, Wenliang Zhang, Xiao Liang, Zhunli Tan, Decheng Wang, Chao Jiang, Junqing Hou, and Lizhuang Sun. 2023. "The Study of Phase Transformation Behaviors for 38MnB5Nb Ultra High-Strength Steel by CCT Curves and TTT Curves" Metals 13, no. 2: 190. https://doi.org/10.3390/met13020190
APA StyleLuo, P., Li, X., Zhang, W., Liang, X., Tan, Z., Wang, D., Jiang, C., Hou, J., & Sun, L. (2023). The Study of Phase Transformation Behaviors for 38MnB5Nb Ultra High-Strength Steel by CCT Curves and TTT Curves. Metals, 13(2), 190. https://doi.org/10.3390/met13020190
 
        



 
       