Abstract
To examine the scope of the abnormal aryl strengthening effect (an increase in the extraction of metal ions when an aromatic substituent is introduced into the amide group) on f-metal extraction, a series of tetradentate diamide-type extragents bearing electron-withdrawing pyridine rings in amide moieties of the molecules were tested. The solvent extraction of Am(III)/Eu(III) pairs was investigated under various conditions, the solution chemistry of the lanthanide-extragents systems was studied, and the bonding constants were calculated for complexes of Eu(III) and Tb(III) ions with diamides. The photophysical properties of chemically synthesized ligand/metal (LM) complexes with various LM compositions were additionally studied in depth. The replacement of a phenyl ring by a pyridine one led to a critical reduction in metal affinity, showing the major contribution of electronic nature to the abnormal aryl strengthening effect. However, the pyridine group in the amide side chain provided additional coordination positions for metal ion binding; corresponding complexes with LM2 composition were detected in the system and their stability was calculated. Due to the low stability of the corresponding LM2 complexes, chemical synthesis of the complexes led to the formation of only one metal-containing species with LM composition. The luminescence spectra of europium and terbium complexes of the LM composition were studied. Differences were discovered in the luminescence excitation spectra of europium and terbium complexes with the same ligand. The luminescence quantum yields and luminescence lifetimes of solutions of europium and terbium complexes were determined.
1. Introduction
To solve the problem of handling high-level-liquid waste (HLW), various extraction systems for An(III) isolation have been developed at different times [1,2,3,4]. This task is a kind of “bottleneck” in modern extraction technologies for the reprocessing of spent nuclear fuel (SNF), since modern approaches to the creation of waste-free closed nuclear fuel cycle technologies assume deep SNF fractionation as their basis. This task, in turn, implies the creation of highly selective extractants capable of separating lanthanide and minor actinide ions with similar properties, such as americium(III) and curium(III) ions. The similarity of the chemical properties of lanthanides(III) and actinides(III) suggests that their effective separation can be achieved using small differences in the ionic radii of the elements, as well as a slightly higher hardness of lanthanide ions compared to actinide. There is an understanding that the combination of “hard” oxygen-containing fragments in the extractant structure with “soft” nitrogen centers of heterocyclic frameworks, which are characterized by high selectivity, makes it possible to increase the selectivity of separation of actinides and lanthanides due to the greater “softness” of the former [5,6]. Such systems are known for amides of picolinic [7] and dipicolinic acids [8,9] and phenanthroline-2-carboxylic acid.
At present, the extraction and coordination chemistry of N,O-donor ligands is being actively developed and systematized [10,11,12]. It is well known that the structure of the extractant has a significant influence on the extraction effectiveness [13]. It was also shown that for diamides of heterocyclic acids, the effect of “abnormal aryl strengthening” is observed [14], i.e., an increase in the extraction of metal ions when an aromatic substituent is introduced into the amide group, in comparison with dialkyl analogues. The effect of insertion of heterocycles into the amide side chain is ambivalent: the electron-withdrawing nature of heterocycles can decrease the metal affinity of the system, but N-donor atoms give additional coordination positions for metal ion binding. Here, we present a first systematic investigation of extraction efficiency, coordination behavior and photophysical properties toward f-elements for heteroaromatic diamides bearing electron-deficient pyridine rings both in acid and amine moieties of diamides (Figure 1). Also, in these experiments, we used lipophilic anionic additives in the organic phase. The introduction of these additives can tune the extraction efficiency and selectivity [15,16,17,18].
Figure 1.
Structures of hetaryl diamides under investigation.
The wide range of applications of rare-earth elements in industry and technology [19,20,21,22] has led to the need to find materials that, when interacting with ions of rare-earth elements, form stable compounds with outstanding luminescent properties [18]. Europium and terbium complexes with organic compounds can have properties such as intense luminescence with a high quantum yield and emission duration in the red or green range, respectively [23,24]. An important task in the study of the luminescent properties of such substances is the search for patterns that take into account the dependence of the spectral and optical properties on the structure of the immediate environment of the rare-earth ion, as well as the properties of the medium: temperature and the presence of various cations and anions [25,26]. Moreover, the photophysical properties of europium as a marker metal for Am/Eu separation pairs could shed light on the structure of their complexes in the organic phase during liquid extraction.
2. Materials and Methods
2.1. General Remarks
The diamides 4Py, 2Py and 6Me2Py and their complexes were prepared according to methods presented earlier [27]. All other reagents and solvents were obtained from commercial sources: Merck, Acros Organics, ABCR and “P&M Invest” GmbH for fluorinated reagents. All solutions for spectral measurements were prepared just before the experiment by mixing the ligand (L) and Eu(NO3)3∙6H2O or Tb(NO3)3∙5H2O in acetonitrile. The concentration of complexes in acetonitrile was 1 × 10−5 mol/L.
2.2. Extraction Experiments
Solvent extraction: the organic phase, containing the ligand and the lipophilic additive (chlorinated cobalt dicarbolide (CCD) or pentafluorobenzoic acid (PFBA)) diluted in F-3 (meta-nitrofluorobenzene), was pre-equilibrated by a nitric acid solution with the desired concentration prior to the extraction experiments. The aqueous phase contained nitric acid of the desired concentration which was spiked with 241Am(III) and 152Eu(III). Half a milliliter of the organic phase and half a milliliter of the aqueous phase were placed in 1.5 mL polypropylene vials. The extraction experiments were carried out at 20 ± 2 °C. Samples were vigorously agitated for 30 min. Phases were separated after a short centrifugation (3 min, 6000 rpm) and aliquots (0.35 mL) were taken for analysis. Content of 241Am (Eγ(03B3) = 59.5 keV) and 152Eu (Eγ(03B3) = 121.8 keV) was determined by gamma-spectrometry using a high-purity germanium detector, GR 3818 (Canberra Ind.). Initial radioactivity of 241Am was 1.0 kBq∙mL−1 (≈3 × 10−8 mol/L) and 2.0 kBq∙mL−1 for 152Eu (≈2 × 10−10 mol/L), so-called trace amounts. The relative error of each measurement did not exceed 5%. All of the experiments were carried out in triplicate. The distribution ratio (D) was calculated as the ratio of radioactivity counts in the organic phase and the aqueous phase:
The separation factor (SF) was further calculated as the ratio of D values of two metal ions:
2.3. Spectral Measurements
Absorption spectra of complexes in acetonitrile were recorded using a Solar PB2201 spectrophotometer («SOLAR», Minsk, Belarus), in 10 mm path length quartz cells relative to pure acetonitrile. Luminescence spectra and luminescence kinetics were recorded using a Solar CM2203 luminescence spectrometer («SOLAR», Minsk, Belarus) in 10 mm path length quartz cells.
To obtain the luminescence emission spectra, the excitation wavelength was set to 320 nm, and the registration took place in the range from 330 nm to 800 nm. When measuring the luminescence excitation spectra, the registration was set at 615 nm (for registration of Eu luminescence) or 545 nm (for Tb luminescence), and excitation was carried out in the range from 250 nm to 500 nm.
Processing of the obtained results began with the following correction for the effect of the internal filter on the emission and excitation spectra of luminescence:
where I0—registered luminescence intensity, Dex—absorbance at the excitation wavelength, Dem—absorbance at the registration wavelength, I—the obtained luminescence intensity after correction for the effect of the internal filter.
The kinetics of luminescence were measured at an excitation wavelength of 320 nm and a registration wavelength of 615 (Eu emission) or 545 nm (Tb emission). In each experiment, the kinetics of luminescence were recorded 5 times and then averaged. The lifetime of the excited state of a rare-earth element ion (τ) was calculated by the formula:
where I(0)—phosphorescence intensity at the start time and I(t)—phosphorescence intensity at time t.
The luminescence quantum yield was determined by using a reference dye, where the reference luminescence quantum yield (Φet) was taken as the quantum yield of luminescence of a solution of ligand L and Eu in acetonitrile at a concentration of 1 × 10−5 mol/L [23]:
Φ—luminescence quantum yield, Ix and Iet—wavelength-integrated luminescence intensities of the studied sample and the reference, Dx and Det—absorbances at the excitation wavelength of the studied solution and the reference, n, net—refractive indices of the studied solution and the solution with reference complex, and Φet—luminescence quantum yield of the reference complex.
2.4. Measurements of Constants of Complex Formation
Ultraviolet–visible (UV-vis) absorption spectra were recorded at a temperature of 293 ± 1 K in the 200–500 nm wavelength region using a Hitachi U-1900 spectrophotometer (Hitachi High Tech. Corp., Tokyo, Japan) with 10 mm path length quartz cells. A ligand L solution was prepared for spectrophotometric titration with a concentration of ca. 0.1–0.4 mmol/L. A titrant solution M(NO3)3·nH2O (M = Eu, Tb) with a concentration of ca. 1–4 mmol/L was prepared by dissolution of a nitrate hydrate salt in the ligand L solution. A 2 mL ligand L solution was titrated with the required aliquot of the M(NO3)3·nH2O solution. The stability constants of the lanthanide complexes were calculated by nonlinear least-squares regression analysis using the HypSpec2014 program [28].
3. Results and Discussion
3.1. The Extraction of Am(III) and Eu(III)
The selective extraction of Am(III) in the presence of lanthanide ions is a crucial step in HLW treatment. We tested the separation of Am(III) and Eu(III) pairs by two new ligands to elucidate how the substitution position of the pyridine ring can affect the effectiveness and selectivity of the diamide system. Previously, we found that the 2Py diamide in nitrobenzene showed low effectiveness in Am(III) and Eu(III) extraction [27]. DAm was only 0.01 for a 5 M nitric acid system. The 4Py diamide possesses the pyridine amide substituent in position 4, so the electron-withdrawing nitrogen atom is remote from the coordination cavity of the ligand. The second amide under study is 6Me2Py, which bears an additional electron-donating methyl group compared with the 2Py ligand.
For the extraction experiments, we used a 0.05 M solution of the tested ligand in F-3, an industrial heavy solvent for radionuclide separation from HLW [15]. The recovery of Am(III) and Eu(III) from 1, 3 or 5 M nitric acid by 0.05 M solution of any of the two ligands is negligible. So, the electron-withdrawing pyridine ring, even when bearing a methyl group, is still too electron-poor and draws electron density off from the amide group, preventing effective complexation. The second factor affecting metal recovery is the protonation of the ligand. As all of the studied diamides are polypyridines in nature, protonation is a reasonable expectation for the bipyridine fragment or pyridine side amidic group. The addition into the extraction system of various lipophilic supplements for the enhancement of metal ion transition into the organic phase at the same time saturates the organic layer with protons. We performed a series of experiments using chlorinated cobalt dicarbolide (CCD) or pentafluorobenzoic acid (PFBA) as lipophilic additives. CCD is a popular synergetic additive for cesium extraction from HLW [16,17] which is used in spent nuclear fuel treatment. An alternative to 2-bromohexanoic can be a strong organosoluble acid such as PFBA.
We tested the separation of Am(III)/Eu(III) pairs from 1, 3 and 5 M nitric acid to a 0.05 M solution of each diamide in F-3 containing from 0.05 to 0.5 M of CCD. The metal recovery was negligible in each case. In contrast, the addition of PFBA required a neutral condition for metal separation because of protonation. Trace Am(III) recovery started at the 0.05 M solution of PFBA in the system (Table 1). For all PFBA concentrations, the recovery of Am(III) was higher than Eu(III), as is typical for bipyridinediamides [11,27]. The recovery of Eu(III) was detected starting from 0.25 M PFBA, but the separation factor for both metals was close to unity. Additionally, we tested the effect of phase contact time, but there was no change in the distribution ratios at longer times.
Table 1.
Distribution ratios (D) for Am(III) and Eu(III) and their ratio SF for 0.05 M 4Py in F-3 in the presence of various concentrations of PFBA (CPFBA). Calculated by Equations (1) and (2), accordingly.
The obtained distribution ratios indicate that this class of ligands, even in the presence of lipophilic anions, have moderate extraction efficiency and a lack of selectivity in the Am(III)/Eu(III) pair. Note that ligands where the pyridine nitrogen substituent is located in position 2 of the extraction were not observed under any conditions. Despite the fact that such systems cannot be considered promising from an applied point of view, these data highlight how powerful the pyridine moiety as a substituent at the amide group is as an electron density acceptor. The introduction of hydrophobic anions into the system, in the presence of which the selectivity for this group of ligands with respect to Am(III) increased, does not change the situation.
3.2. Absorption Spectra
Figure 2 demonstrates the absorption spectra of studied europium and terbium complexes (concentration C = 1 × 10−5 mol/L). The absorption spectral curves show a wide band in the 300–350 nm wavelength range, which corresponds to the absorption of light by the metal-linked ligand in a complex with lanthanide ions [27].
Figure 2.
Absorption spectra of europium and terbium complexes dissolved in acetonitrile: (a) 2Py Tb and 2Py Eu; (b) 6Me2Py Tb and 6Me2Py Eu; (c) 4Py Tb and 4Py Eu.
The main peak in the absorption spectra of lanthanide complexes corresponds to the S0–S1 transition in the ligand. The shape of the absorption spectrum and the maximum wavelength depend only on the ligand type in the complex and do not depend on the metal ion. Complexes with a 2Py ligand have an absorption maximum at a wavelength of 326–327 nm. Complexes with 2Py6Me ligand have a maximum at a wavelength of 328–329 nm; that is, the presence of an additional methyl substituent leads to a red shift in the wavelength of the absorption maximum. Complexes with a 4Py ligand have the shortest wavelength maximum among the compounds studied in this work, which is located at a wavelength of 323–324 nm.
The data obtained are in good agreement with previously performed experiments for complexes of a similar structure (with different substituents on the phenyl ring) [27,29]. The difference in the absorption of various complexes is associated with the individual characteristics of these complexes, namely the type of substituent in the ligand (which has a primary influence) and the type of lanthanide ion (which is less significant).
3.3. Luminescence Emission and Excitation Spectra
The luminescence emission spectra of europium and terbium complexes in acetonitrile are shown in Figure 3.
Figure 3.
Luminescence emission spectra (λex = 320 nm): (a) europium complexes; (b) terbium complexes dissolved in acetonitrile.
Europium complexes emit light in the red spectral region. The luminescence emission spectrum of europium complexes contains a set of bands corresponding to transitions between levels 5D0 and 7FJ, where J = 0–6. The main luminescence peak of Eu ions with a maximum at 615 nm corresponds to the energy transition 5D0 → 7F2, which is called “hypersensitive”. The remaining luminescence peaks in the spectra are difficult to detect due to the low luminescence intensity of europium complexes.
Terbium complexes emit light in the visible wavelength range, with the most intense peak in the green region. The luminescence emission spectra of terbium complexes contain peaks characteristic of trivalent terbium ions corresponding to the 5D4 → 7FJ transitions, where J = 6–0. The most intense luminescence peak of Tb ions is located at 545 nm and corresponds to the energy transition 5D4 → 7F5.
Europium and terbium complexes with a 4Py ligand have the highest luminescence intensity. The luminescence intensity of the 4Py Eu complex is almost 4 times higher compared to that of the other two europium complexes. The luminescence intensity of the 4Py Tb complex is 9 times higher compared to the 2Py Tb complex and also 20 times higher compared to the 2Py6Me Tb complex.
Figure 4 shows the luminescence excitation spectra for the solutions of europium complexes (registered at 615 nm) and terbium complexes (registered at 545 nm).
Figure 4.
Luminescence excitation spectra: (a) europium complexes (registered at 615 nm); (b) terbium complexes (registered at 545 nm) dissolved in acetonitrile.
The luminescence excitation spectra of europium and terbium contain bands corresponding to the absorption of light by the ligand. These peaks in the luminescence excitation spectra coincide with the main peaks in the absorption spectra of the same complexes. Moreover, the luminescence excitation spectra of terbium complexes are identical to the corresponding absorption spectra. However, the luminescence excitation spectra of europium complexes also contain an additional band in the region of 335–385 nm. This peak corresponds to the charge transfer state (CTS).
3.4. Luminescence Quantum Yield and Luminescence Lifetimes
We calculated the luminescence quantum yield of solutions of terbium complexes and compared them with data obtained previously for europium complexes [27] (Table 2). We discovered that the 4Py Tb complex has the highest luminescence quantum yield; it was 19% [29]. The luminescence quantum yield of the other two terbium complexes turned out to be significantly lower. The data obtained indicate the efficiency of energy transfer processes in the studied europium and terbium complexes.
Table 2.
Luminescence quantum yields (%) of europium and terbium complexes dissolved in acetonitrile.
The luminescence lifetimes of solutions of europium and terbium complexes in acetonitrile are presented in Table 3. The studied lanthanide complexes have typical luminescence lifetimes of complexes with ligands of this type. The 4Py Tb complex has the shortest luminescence lifetime compared to other studied samples. This is most likely due to the fact that the presence of pyridine nitrogen atoms in the para-position of the ligand leads to the quenching of luminescence and, consequently, to a decrease in the luminescence lifetime. Terbium complex lifetimes are significantly longer than was observed for phenanthroline-based diketonates [29], indicating better energy transfer. The relatively low luminescence lifetime of the europium complex with the same ligand can be explained in a similar way. The results obtained for the para-position of the substituent in the ligand correlate with the data from [30]. Europium and terbium complexes with two other ligands have longer luminescence lifetimes.
Table 3.
Luminescence lifetime (ms) of europium and terbium complexes dissolved in acetonitrile.
3.5. Constants of Complex Formation
The stability of the complexes of the ligands with Eu and Tb was determined by the spectrophotometric titration technique in acetonitrile solutions. The absorbance spectrum of the ligands in acetonitrile is characterized by a broad band in the UV range (near 280 nm). A new band near 320 nm with good isosbestic behavior was observed as increasing amounts of metal salt were added. The solution of metal salt in the ligand solution was used for titration in order to maintain a constant total concentration of the ligand. This experimental technique allows a simple direct observation of titration end-point and isosbestic behavior. The absorbance spectra of the system are changed upon the addition of aliquots of the metal salts: the peak near 280 nm corresponding to the π → π* transition of pyridine rings [31] drops, while the peak at 320 nm rises (Figure 5). A good isosbestic point and monotonous behavior of absorbances during titration were observed for both systems with Eu and Tb. On the basis of our previous X-ray and NMR spectroscopic data [27], we expected complexes to form at a 1:1 stoichiometric ratio in solution. The 1:1 ratio was observed for all the metals, and the titration curves increased smoothly with a marked endpoint at a M/L value of 1:1.

Figure 5.
Spectrophotometric titration of 2Py ligand with Eu(NO3)3∙6H2O and Tb(NO3)3∙5H2O in acetonitrile: (a,c) are absorption spectra, where red line corresponds to the ligand absorption spectrum, blue dashed lines—absorption of aliquots of Eu(NO3)3·6H2O or Tb(NO3)3∙5H2O, respectively, and blue solid line—absorption of Eu or Tb complex; (b,d) are titration curves measured at 322 nm. Data for europium and terbium complexes with 6Me2Py and 4Py ligands are presented in Supplementary Figures S1–S4.
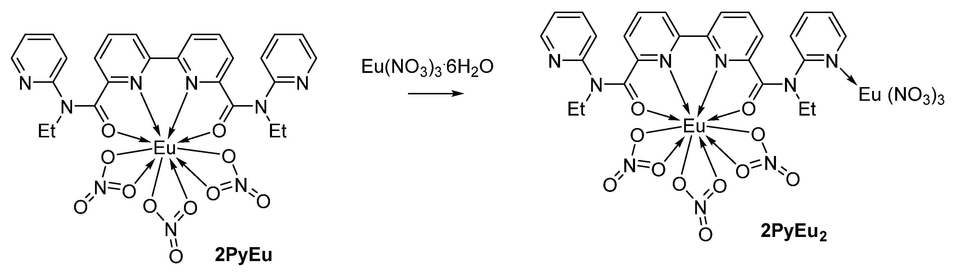
Factor analysis of the absorbance matrix shows the presence of three independent absorbing species in each system: the free ligand L, a complex with 1 to 1 metal to ligand composition (LM), and a more complex compound. Previously, we synthesized several complexes of lanthanides (La, Sm, Eu and Dy) with 2Py, 4Py and 6Me2Py ligands. All of them possess a 1 to 1 metal to ligand ratio. The structures of 6Me2PySm(Dy)(NO3)3 complexes were determined by XRD and show decacoordinated lanthanide ions [27]. The metal ion was bonded with tetradentate ligand together with three bidentate-chelate coordinated nitrate counterions. We expect similar structures for all the complexes with this ligand series. The absorbance matrix section at 322 nm (titration curve) shows for each system a sharp end-point at 1 mole fraction, and after that, a slight increase in absorbance observed upon the addition of metal aliquots. Due to the constant total ligand concentration in solution upon titration, we can expect this increase to arise from the formation of tertiary complexes including LM and one more metal ion. From the slight increase in absorption on titration curves, we can expect low stability in these tertiary complexes for all metal/ligand pairs and a low degree of titration for a metal to ligand ratio of 3. We expect the coordination of the second metal ion by a complex (Scheme 1).
Scheme 1.
Formation of a europium complex with two metal ions LM2.
Previously, we found complexes with LM2 composition for the 4Py ligand [29]. The calculation of the stability constants was performed using the HyperSpec2014 program [28] (Table 4). The stability of LM complexes is in the typical range for 2,2′-bipyridin-6,6′-dicarboxamides [23,25]. The affinities of the LM complexes toward a second metal ion are systemically low: binding constant logs are below 0.8. The branch pyridine site is less available for metal coordination than the pyridine ring itself as binding constants are significantly lower than those found for a europium–malonate complex with pyridine ß[Eu(Mal)Py] 5.3 [31].
Table 4.
Log β values for the stability of trivalent Eu and Tb with three ligands in acetonitrile.
The position of pyridine nitrogen atoms has a weak effect on the stability of Eu and Tb complexes with 1 to 1 metal to ligand composition, but the stability of complexes with LM2 composition differs for 2Py and 4Py ligands (Table 4). Comparing 6Me2Py and 2Py complexes, the influence of the electron-donating methyl group is evident. Compounds with LM composition are more stable for methyl-substituted ligands, but the coordination of a second metal is significantly weakened by sterical hindrance of the close methyl group.
4. Conclusions
The abnormal aryl strengthening observed for diamide-type extragents during the extraction of f-elements is critically dependent on the electronic nature of the amide part of the molecule. Electron-withdrawing pyridine amines decrease the metal affinity of the diamide. However, the additional pyridine rings in the diamide molecule provide more coordination positions for lanthanide binding; as a result, the formation of tertiary complexes with LM2 composition is observed in the solution. The stability of these tertiary complexes is quite low and chemical synthesis leads to compounds with LM composition only. The spectral luminescent properties of europium and terbium complexes of the LM composition were studied. The luminescence quantum yields and luminescence lifetimes of the complexes were determined.
Supplementary Materials
The UV-vis titration data curves are presented in supporting information and can be downloaded at: https://www.mdpi.com/article/10.3390/met13122024/s1.
Author Contributions
Conceptualization, N.E.B., A.V.K., S.V.P. and P.I.M.; methodology, A.V.K., N.E.B. and P.I.M.; formal analysis, A.V.K.; investigation, K.D.S., Y.G.S., M.A.G., M.V.E. and A.V.I.; writing—original draft preparation, N.E.B., S.V.P. and P.I.M.; writing—review and editing, A.V.K., N.E.B. and A.V.I.; visualization, A.V.K., K.D.S. and Y.G.S.; supervision, N.E.B. and S.V.P., project administration, N.E.B. All authors have read and agreed to the published version of the manuscript.
Funding
The work was supported by the Ministry of Science and Higher Education of Russia (Grant 075-15-2020-782).
Data Availability Statement
The data presented in this study are available in Supplementary Material.
Conflicts of Interest
The authors declare no conflict of interest.
References
- Committee on End Points for Spent Nuclear Fuel and High-Level Radioactive Waste in Russia and the United States; Office for Central Europe and Eurasia; Development, Security, and Cooperation; National Research Council. End Points for Spent Nuclear Fuel and High-Level Radioactive Waste in Russia and the United States; The National Academic Press: Washington DC, USA, 2003; ISBN 0-309-08724-4. [Google Scholar]
- Zsabka, P.; Wilden, A.; Van Hecke, K.; Modolo, G.; Verwerft, M.; Cardinaels, T. Beyond U/Pu separation: Separation of americium from the highly active PUREX raffinate. J. Nuc. Mat. 2023, 581, 154445. [Google Scholar] [CrossRef]
- Simpson, M.F.; Law, J.D. Nuclear Fuel Reprocessing; Idaho National Laboratory: Idaho Falls, ID, USA, 2010. [Google Scholar]
- Nuclear Energy Agency. State-of-the-Art Report on the Progress of Nuclear Fuel Cycle Chemistry; NEA No. 7267; Nuclear Energy Agency: Paris, France, 2018. [Google Scholar]
- Dam, H.H.; Reinhoudt, D.N.; Verboom, W. Multicoordinate Ligands for Actinide/Lanthanide Separations. Chem. Soc. Rev. 2007, 36, 367–377. [Google Scholar] [CrossRef] [PubMed]
- Bhattacharyya, A.; Mohapatra, P.K. Separation of Trivalent Actinides and Lanthanides Using Various “N”, “S” and Mixed “N,O” Donor Ligands: A Review. Radiochim. Acta 2019, 107, 931–949. [Google Scholar] [CrossRef]
- Li, Y.; Jia, Y.; Wang, Z.; Li, X.; Feng, W.; Deng, P.; Yuan, L. An Insight into the Extraction of Transition Metal Ions by Picolinamides Associated with Intramolecular Hydrogen Bonding and Rotational Isomerization. RSC Adv. 2014, 4, 29702–29714. [Google Scholar] [CrossRef]
- Babain, V.A.; Alyapyshev, M.Y.; Smirnov, I.V.; Shadrin, A.Y. Extraction of Am and Eu with N,N′-Substituted Pyridine-2,6-Dicarboxamides in Fluorinated Diluents. Radiochemistry 2006, 48, 369–373. [Google Scholar] [CrossRef]
- Alyapyshev, M.Y.; Babain, V.A.; Smirnov, I.V. Extractive Properties of Synergistic Mixtures of Dipicolinic Acid Diamides and Chlorinated Cobalt Dicarbollide. Radiochemistry 2004, 46, 270–271. [Google Scholar] [CrossRef]
- Alyapyshev, M.; Babain, V.; Kirsanov, D. Isolation and Purification of Actinides Using N,O-Hybrid Donor Ligands for Closing the Nuclear Fuel Cycle. Energies 2022, 15, 7380. [Google Scholar] [CrossRef]
- Evsiunina, M.V.; Matveev, P.I.; Kalmykov, S.N.; Petrov, V.G. Solvent Extraction Systems for Separation of An(III) and Ln(III): Overview of Static and Dynamic Tests. Moscow Univ. Chem. Bull. 2021, 76, 287–315. [Google Scholar] [CrossRef]
- Archer, E.M.; Galley, S.S.; Jackson, J.A.; Shafer, J.C. Investigation of F-Element Interactions with Functionalized Diamides of Phenanthroline-Based Ligands. Solvent Extr. Ion Exch. 2023, 41, 697–740. [Google Scholar] [CrossRef]
- Stamberga, D.; Healy, M.R.; Bryantsev, V.S.; Albisser, C.; Karslyan, Y.; Reinhart, B.; Paulenova, A.; Foster, M.; Popovs, I.; Lyon, K.; et al. Structure Activity Relationship Approach toward the Improved Separation of Rare-Earth Elements Using Diglycolamides. Inorg. Chem. 2020, 59, 17620–17630. [Google Scholar] [CrossRef]
- Turanov, A.N.; Karandashev, V.K.; Kharitonov, A.V.; Lezhnev, A.N.; Safronova, Z.V.; Yarkevich, A.N.; Tsvetkov, E.N. Influence of the structure of diphenyl(dialkylcarbamoylmethyl)phosphine oxides on their extraction properties in hydrochloric acid solutions. Zh. Obshch. Khimii 1999, 69, 1109–1115. (In Russian) [Google Scholar]
- Babain, V.A.; Alyapyshev, M.Y.; Ekberg, C.; Todd, T. Fluorinated Diluents—A Review. Solvent Extr. Ion Exch. 2023, 41, 253–291. [Google Scholar] [CrossRef]
- Anufriev, S.A.; Stogniy, M.Y.; Sivaev, I.B. A Simple Way to Obtain a Decachloro Derivative of Cobalt Bis(dicarbollide). Reactions 2023, 4, 148–154. [Google Scholar] [CrossRef]
- Shishkin, D.N.; Petrova, N.K.; Goletskii, N.D.; Mamchich, M.V.; Ushanov, A.D.; Bizin, A.V. Study of the Possibility of Deep Partitioning of the Spent Nuclear Fuel Reprocessing Raffinate According to the Scheme of a Pilot Demonstration Center by Extraction with a Mixture of CCD, PEO, and HDEHP in a Polar Solvent. Radiochemistry 2022, 64, 294–299. [Google Scholar] [CrossRef]
- Cai, Y.; Ansari, S.A.; Yuan, L.; Feng, W.; Mohapatra, P.K. Unassisted and Efficient Actinide/Lanthanide Separation with Pillar[5]arene-Based Picolinamide Ligands in Ionic Liquids. Ind. Eng. Chem. Res. 2023 62, 5297–5304. [CrossRef]
- Ren, Y.; Ma, Z.; Gao, T.; Liang, Y. Advance Progress on Luminescent Sensing of Nitroaromatics by Crystalline Lanthanide–Organic Complexes. Molecules 2023, 28, 4481. [Google Scholar] [CrossRef] [PubMed]
- Bao, G. Lanthanide Complexes for Drug Delivery and Therapeutics. J. Lumin. 2020, 228, 117622. [Google Scholar] [CrossRef]
- Wang, L.; Zhao, Z.; Wei, C.; Wei, H.; Liu, Z.; Bian, Z.; Huang, C.; Wang, L.; Zhao, Z.; Wei, C.; et al. Review on the Electroluminescence Study of Lanthanide Complexes. Adv. Opt. Mater. 2019, 7, 1801256. [Google Scholar] [CrossRef]
- Crawford, S.E.; Ohodnicki, P.R.; Baltrus, J.P. Materials for the Photoluminescent Sensing of Rare Earth Elements: Challenges and Opportunities. J. Mater. Chem. C 2020, 8, 7975–8006. [Google Scholar] [CrossRef]
- Pham, Y.H.; Trush, V.A.; Carneiro Neto, A.N.; Korabik, M.; Sokolnicki, J.; Weselski, M.; Malta, O.L.; Amirkhanov, V.M.; Gawryszewska, P. Lanthanide Complexes with N-Phosphorylated Carboxamide as UV Converters with Excellent Emission Quantum Yield and Single-Ion Magnet Behavior. J. Mater. Chem. C 2020, 8, 9993–10009. [Google Scholar] [CrossRef]
- Utochnikova, V.V.; Aslandukov, A.N.; Vashchenko, A.A.; Goloveshkin, A.S.; Alexandrov, A.A.; Grzibovskis, R.; Bünzli, J.C.G. Identifying Lifetime as One of the Key Parameters Responsible for the Low Brightness of Lanthanide-Based OLEDs. Dalt. Trans. 2021, 50, 12806–12813. [Google Scholar] [CrossRef] [PubMed]
- Zhang, B.; Guo, X.; Zhang, Z.; Fu, Z.; Zheng, H. Luminescence Thermometry with Rare Earth Doped Nanoparticles: Status and Challenges. J. Lumin. 2022, 250, 119110. [Google Scholar] [CrossRef]
- Lunev, A.M.; Belousov, Y.A. Luminescent Sensor Materials Based on Rare-Earth Element Complexes for Detecting Cations, Anions, and Small Molecules. Russ. Chem. Bull. 2022, 71, 825–857. [Google Scholar] [CrossRef]
- Borisova, N.E.; Ivanov, A.V.; Kharcheva, A.V.; Sumyanova, T.B.; Surkova, U.V.; Matveev, P.I.; Patsaeva, S.V.; Sumyanova, T.B.; Surkova, U.V.; Patsaeva, S.V. Effect of Heterocyclic Ring on LnIII Coordination, Luminescence and Extraction of Diamides of 2,2′-Bipyridyl-6,6′-Dicarboxylic Acid. Molecules 2020, 25, 62. [Google Scholar] [CrossRef] [PubMed]
- Gans, P.; Sabatini, A.; Vacca, A. Investigation of Equilibria in Solution. Determination of Equilibrium Constants with the HYPERQUAD Suite of Programs. Talanta 1996, 43, 1739–1753. [Google Scholar] [CrossRef] [PubMed]
- Kharcheva, A.V.; Bozhko, A.A.; Sokolovskaya, Y.G.; Borisova, N.E.; Ivanov, A.V.; Patsaeva, S.V. Bimetallic Eu/Tb Complexes for Ratiometric Temperature Sensing with Unusual Enhancement of Eu Luminescence with Temperature. Photonics 2023, 10, 1171. [Google Scholar] [CrossRef]
- Nehra, K.; Dalal, A.; Hooda, A.; Saini, R.K.; Singh, D.; Kumar, S.; Malik, R.S.; Kumar, R.; Kumar, P. Synthesis of Green Emissive Terbium(III) Complexes for Displays: Optical, Electrochemical and Photoluminescent Analysis. Luminescence 2023, 38, 56–63. [Google Scholar] [CrossRef]
- Fu, F.; Liu, D.; Zhao, L.; Li, H.; Bai, X.; Chen, M.; Jiang, Z.; Su, P.; Zhong, W.; Li, Y.; et al. Substituents Make a Difference: 6,6″-Modified Terpyridine Complexes with Helix Configuration and Enhanced Emission. Dalt. Trans. 2023, 52, 3033–3039. [Google Scholar] [CrossRef]
Disclaimer/Publisher’s Note: The statements, opinions and data contained in all publications are solely those of the individual author(s) and contributor(s) and not of MDPI and/or the editor(s). MDPI and/or the editor(s) disclaim responsibility for any injury to people or property resulting from any ideas, methods, instructions or products referred to in the content. |
© 2023 by the authors. Licensee MDPI, Basel, Switzerland. This article is an open access article distributed under the terms and conditions of the Creative Commons Attribution (CC BY) license (https://creativecommons.org/licenses/by/4.0/).






