Severe Plastic Deformation of Mg–Zn–Zr–Ce Alloys: Advancing Corrosion Resistance and Mechanical Strength for Medical Applications
Abstract
:1. Introduction
2. Materials and Research Methods
3. Results and Discussion
4. Conclusions
Author Contributions
Funding
Data Availability Statement
Acknowledgments
Conflicts of Interest
References
- Yang, Y.; Xiong, X.; Chen, J.; Peng, X.; Chen, D.; Pan, F. Research advances in magnesium and magnesium alloys worldwide in 2020. J. Magnes. Alloys 2021, 9, 705–747. [Google Scholar] [CrossRef]
- Song, J.; She, J.; Chen, D.; Pan, F. Latest research advances on magnesium and magnesium alloys worldwide. J. Magnes. Alloys 2020, 8, 1–41. [Google Scholar] [CrossRef]
- Ali, M.; Hussein, M.A.; Al-Aqeeli, N. Magnesium-based composites and alloys for medical applications: A review of mechanical and corrosion properties. J. Alloys Compd. 2019, 792, 1162–1190. [Google Scholar] [CrossRef]
- Walker, J.; Shadanbaz, S.; Woodfield, T.B.; Staiger, M.P.; Dias, G.J. Magnesium biomaterials for orthopedic application: A review from a biological perspective. J. Biomed. Mater. Res. B Appl. Biomater. 2014, 102, 1316–1331. [Google Scholar] [CrossRef] [PubMed]
- Zheng, Y.; Gu, X.; Witte, F. Biodegradable metals. Mater. Sci. Eng. R Rep. 2014, 77, 1–34. [Google Scholar] [CrossRef]
- Ganeshan, S.; Shang, S.L.; Wang, Y.; Liu, Z.K. Effect of alloying elements on the elastic properties of Mg from first-principles calculations. Acta Mater. 2009, 57, 3876–3884. [Google Scholar] [CrossRef]
- You, S.; Huang, Y.; Kainer, K.U.; Hort, N. Recent research and developments on wrought magnesium alloys. J. Magnes. Alloys 2017, 5, 239–253. [Google Scholar] [CrossRef]
- Li, Y.; Guo, F.; Cai, H.; Wang, Y.; Liu, L. The Effect of (Mg, Zn)12Ce Phase Content on the Microstructure and the Mechanical Properties of Mg–Zn–Ce–Zr Alloy. Materials 2022, 15, 4420. [Google Scholar] [CrossRef]
- Liu, L.; Chen, X.; Pan, F.; Wang, Z.; Liu, W.; Cao, P.; Yan, T.; Xu, X. Effect of Y and Ce additions on microstructure and mechanical properties of Mg–Zn–Zr alloys. Mater. Sci. Eng. A 2015, 644, 247–253. [Google Scholar] [CrossRef]
- Zhou, Y.L.; Li, Y.; Luo, D.M.; Ding, Y.; Hodgson, P. Microstructures, mechanical and corrosion properties, and biocompatibility of as extruded Mg-Mn-Zn-Nd alloys for biomedical applications. Mater. Sci. Eng. C 2015, 49, 93–100. [Google Scholar] [CrossRef]
- Tan, J.; Ramakrishna, S. Applications of Magnesium, and Its Alloys: A Review. Appl. Sci. 2021, 11, 6861. [Google Scholar] [CrossRef]
- Yu, H.; Kim, Y.M.; You, B.S.; Yu, H.S.; Park, S.H. Effects of cerium addition on the microstructure, mechanical properties, and hot workability of ZK60 alloy. Mater. Sci. Eng. A 2013, 559, 798–807. [Google Scholar] [CrossRef]
- Li, Y.; Guo, F.; Wang, Y.; Cai, H.; Liu, L. Quantitative analysis of rare earth elements in Mg–Zn–RE (Ce, Y, Gd)–Zr alloy. IOP Mater. Res. Express 2022, 9, 046518. [Google Scholar] [CrossRef]
- Nie, J.-F. Precipitation and Hardening in Magnesium Alloys. Metall. Mater. Trans. A 2012, 43, 3891–3939. [Google Scholar] [CrossRef]
- Valiev, R.Z.; Zhilyaev, A.P.; Langdon, T.G. Bulk Nanostructured Materials: Fundamentals and Applications; John Wiley & Sons: Hoboken, NJ, USA, 2014. [Google Scholar] [CrossRef]
- Edalati, K.; Bachmaier, A.; Beloshenko, V.A.; Beygelzimer, Y.; Blank, V.D.; Botta, W.J.; Bryła, K.; Čížek, J.; Divinski, S.; Enikeev, N.A.; et al. Nanomaterials by severe plastic deformation: Review of historical developments and recent advances. Mater. Res. Lett 2022, 10, 163–256. [Google Scholar] [CrossRef]
- Li, W.; Liu, X.; Zheng, Y.; Wang, W.; Qiao, W.; Yeung, K.W.K.; Cheung, K.M.C.; Guan, S.; Kulyasova, O.B.; Valiev, R.Z. In vitro and in vivo studies on ultrafine-grained biodegradable pure Mg, Mg–Ca alloy and Mg–Sr alloy processed by high-pressure torsion. Biomater. Sci. 2020, 8, 5071–5087. [Google Scholar] [CrossRef]
- Kulyasova, O.B.; Islamgaliev, R.K.; Zhao, Y.H.; Valiev, R.Z. Enhancement of the mechanical properties of an Mg-Zn-Ca alloy using high-pressure torsion. Adv. Eng. Mater. 2015, 17, 1738–1741. [Google Scholar] [CrossRef]
- Tong, L.B.; Chu, J.H.; Jiang, Z.H.; Kamado, S.; Zheng, M.Y. Ultrafine-grained Mg-Zn-Ca-Mn alloy with simultaneously improved strength and ductility processed by equal channel angular pressing. J. Alloys Compd. 2019, 785, 410–421. [Google Scholar] [CrossRef]
- Martynenko, N.S.; Lukyanova, E.A.; Serebryany, V.N.; Gorshenkov, M.V.; Shchetinin, I.V.; Raab, G.I.; Dobatkin, S.V.; Estrin, Y. Increasing strength and ductility of magnesium alloy WE43 by equal-channel angular pressing. Mater. Sci. Eng. A 2018, 712, 625–629. [Google Scholar] [CrossRef]
- Alawad, M.O.; Alateyah, A.I.; El-Garaihy, W.H.; BaQais, A.; Elkatatny, S.; Kouta, H.; Kamel, M.; El-Sanabary, S. Optimizing the ECAP Parameters of Biodegradable Mg-Zn-Zr Alloy Based on Experimental, Mathematical Empirical, and Response Surface Methodology. Materials 2022, 15, 7719. [Google Scholar] [CrossRef]
- Zhao, Z.; Chen, Q.; Hu, C.; Shu, D. Southwest Microstructure and mechanical properties of SPD-processed an as-cast AZ91D+Y magnesium alloy by equal channel angular extrusion and multi-axial forging. Mater. Des. 2009, 30, 4557–4561. [Google Scholar] [CrossRef]
- Han, B.Q.; Langdon, T.G. Improving the high-temperature mechanical properties of a magnesium alloy by equal-channel angular pressing. Mater. Sci. Eng. A 2005, 410–411, 435–438. [Google Scholar] [CrossRef]
- Heczel, A.; Akbaripanah, F.; Salevati, M.A.; Mahmudi, R.; Vida, Á.; Gubicza, J. A comparative study on the microstructural evolution in AM60 alloy processed by ECAP and MDF. J. Alloys Compd. 2018, 763, 629–637. [Google Scholar] [CrossRef]
- Bahmani, A.; Arthanari, S.; Shin, K.S. Achieving a high corrosion resistant and high strength magnesium alloy using multi directional forging. J. Alloys Compd. 2021, 856, 158077. [Google Scholar] [CrossRef]
- Siahsarani, A.; Faraji, G. Processing and characterization of AZ91 magnesium alloys via a novel severe plastic deformation method: Hydrostatic cyclic extrusion compression (HCEC). Trans. Nonferrous Met. Soc. China 2021, 31, 1303–1321. [Google Scholar] [CrossRef]
- Yu, K.; Li, W.; Zhao, J.; Ma, Z.; Wang, R. Plastic deformation behaviors of a Mg–Ce–Zn–Zr alloy. Scr. Mater. 2003, 48, 1319–1323. [Google Scholar] [CrossRef]
- Bohlen, J.; Yi, S.; Letzig, D.; Kainer, K.U. Effect of rare earth elements on the microstructure and texture development in magnesium-manganese alloys during extrusion. Mater. Sci. Eng. A 2010, 527, 7092–7098. [Google Scholar] [CrossRef]
- Legostaeva, E.; Eroshenko, A.; Vavilov, V.; Skripnyak, V.A.; Luginin, N.; Chulkov, A.; Kozulin, A.; Skripnyak, V.V.; Schmidt, J.; Tolmachev, A.; et al. Influence of Severe Plastic Deformation by Extrusion on Microstructure, Deformation and Thermal Behavior under Tension of Magnesium Alloy Mg-2.9Y-1.3Nd. Metals 2023, 13, 988. [Google Scholar] [CrossRef]
- Kasaeian-Naeini, M.; Sedighi, M.; Hashemi, R. Severe plastic deformation (SPD) of biodegradable magnesium alloys and composites: A review of developments and prospects. J. Magnes. Alloys 2022, 10, 938–955. [Google Scholar] [CrossRef]
- Medeiros, M.P.; Carvalho, A.P.; Isaac, A.; Afonso, C.R.M.; Janeček, M.; Minárik, P.; Celis, M.M.; Figueiredo, R.B. Using high pressure torsion to process magnesium alloys for biological applications. J. Mater. Res. Technol. 2023, 22, 3075–3084. [Google Scholar] [CrossRef]
- Martynenko, N.; Lukyanova, E.; Anisimova, N.; Kiselevskiy, M.; Serebryany, V.; Yurchenko, N.; Raab, G.; Birbilis, N.; Salishchev, G.; Dobatkin, S.; et al. Improving the property profile of a bioresorbable Mg-Y-Nd-Zr alloy by deformation treatments. Materialia 2020, 13, 100841. [Google Scholar] [CrossRef]
- Dobatkin, S.; Galkin, S.; Estrin, Y.; Serebryany, V.; Diez, M.; Martynenko, N.; Lukyanova, E.; Perezhogin, V. Grain refinement, texture, and mechanical properties of magnesium alloy after radial-shear rolling. J. Alloys Compd. 2018, 774, 969–979. [Google Scholar] [CrossRef]
- Argade, G.R.; Panigrahi, S.K.; Mishra, R.S. Effects of grain size on the corrosion resistance of wrought magnesium alloys containing neodymium. Corros. Sci. 2012, 58, 145–151. [Google Scholar] [CrossRef]
- Shunmugasamy, V.C.; Gawad, M.A.; Sohail, M.U.; Talal, I.; Khan, T.; Seers, T.D.; Mansoor, B. In vitro and in vivo study on fine-grained Mg–Zn–RE–Zr alloy as a biodegradeable orthopedic implant produced by friction stir processing. Bioact. Mater. 2023, 28, 448–466. [Google Scholar] [CrossRef]
- Silva, C.L.P.; Camara, M.A.; Hohenwarter, A.; Figueiredo, R.B. Mechanical Behavior and In Vitro Corrosion of Cubic Scaffolds of Pure Magnesium Processed by Severe Plastic Deformation. Metals 2021, 11, 1791. [Google Scholar] [CrossRef]
- Vasilev, E.V.; Kopylov, V.I.; Linderov, M.L.; Brilevsky, A.I.; Merson, D.L.; Vinogradov, A. High strength and fatigue properties of Mg-Zn-Ca alloys after severe plastic deformation. Lett. Mater. 2019, 9, 57–161. [Google Scholar] [CrossRef]
- Volkova, E.F. Some regular features of formation of phase composition in magnesium alloy of the Mg–Zn–Zr–Y system. Met. Sci. Heat Treat. 2014, 55, 478–482. [Google Scholar] [CrossRef]
- Li, J.; Li, G.; Dong, J.; Ding, W.J. Microstructure and Mechanical Properties of Extruded Mg-Zn-Ce-Zr Alloy Rods. Mat. Sci. Forum 2012, 706–709, 1199–1204. [Google Scholar] [CrossRef]
- Plumeri, J.E.; Madej, L.; Misiolek, W.Z. Development of extrusion technology for magnesium alloy ZE20 E. Procedia Eng. 2017, 207, 389–394. [Google Scholar] [CrossRef]
- Sharkeev, Y.; Eroshenko, A.; Legostaeva, E.; Kovalevskaya, Z.; Belyavskaya, O.; Khimich, M.; Epple, M.; Prymak, O.; Sokolova, V.; Zhu, Q.; et al. Development of Ultrafine–Grained and Nanostructured Bioinert Alloys Based on Titanium, Zirconium and Niobium and Their Microstructure, Mechanical and Biological Properties. Metals 2022, 12, 1136. [Google Scholar] [CrossRef]
- ASTM E1382-97; Standard Test Methods for Determining Average Grain Size Using Semiautomatic and Automatic Image Analysis. ANSI: New York, NY, USA, 2010. [CrossRef]
- Volkova, E.F.; Morozova, G.I. Role of hydrogen in deformed magnesium alloys of the Mg–Zn–Zr–REM system. Met. Sci. Heat Treat. 2008, 50, 105–109. [Google Scholar] [CrossRef]
- Huang, M.L.; Hong-Xiao, L.I.; Ding, H.; Bao, L.; Hao, S.M. Intermetallics and phase relations of Mg–Zn–Ce alloys at 400 °C. Trans. Nonferrous Met. Soc. China 2012, 22, 539–545. [Google Scholar] [CrossRef]
- Aljarrah, M.; Alnahas, J.; Alhartomi, M. Thermodynamic Modeling and Mechanical Properties of Mg-Zn- {Y, Ce} Alloys: Review. Crystals 2021, 11, 1592. [Google Scholar] [CrossRef]
- Atrens, A.; Shi, Z.; Mehreen, S.U.; Johnston, S.; Song, G.-L.; Chen, X.; Pan, F. Review of Mg alloy corrosion rates. J. Magnes. Alloys 2020, 8, 989–998. [Google Scholar] [CrossRef]
- Martynenko, N.S.; Anisimova, N.Y.; Temralieva, D.R.; Kiselevskiy, M.V.; Morozov, M.M.; Yusupov, V.S.; Dobatkin, S.V.; Estrin, Y.Z. Effect of rotary swaging and subsequent aging on the implant-relevant properties of magnesium alloy WE43. J. Phys. Conf. Ser. 2020, 1688, 012006. [Google Scholar] [CrossRef]
- Hadzima, B.; Janeček, M.; Estrin, Y.; Kim, H.S. Microstructure and corrosion properties of ultrafine-grained interstitial free steel. Mater. Sci. Eng. A 2007, 462, 243–247. [Google Scholar] [CrossRef]
- Mirzadeh, H. Grain refinement of magnesium alloys by dynamic recrystallization (DRX): A review. J. Mater. Res. Technol. 2023, 25, 7050–7077. [Google Scholar] [CrossRef]
- Aung, N.N.; Zhou, W. Effect of grain size and twins on corrosion behaviour of AZ31B magnesium alloy. Corros. Sci. 2010, 52, 589–594. [Google Scholar] [CrossRef]
- Jianwei, L.; Youmin, Q.; Junjie, Y.; Sheng, Y.; Yanliang, Y.; Xun, Z.; Bin, G. Effect of grain refinement induced by wire and arc additive manufacture (WAAM) on the corrosion behaviors of AZ31 magnesium alloy in NaCl solution. J. Magnes. Alloys 2021, 11, 217–229. [Google Scholar] [CrossRef]
- Wei, L.; Gao, Z. Recent research advances on corrosion mechanism and protection, and novel coating materials of magnesium alloys: A review. RSC Adv. 2023, 13, 8427–8463. [Google Scholar] [CrossRef]
- Medeiros, M.P.; Lopes, D.R.; Kawasaki, M.; Langdon, T.G.; Figueiredo, R.B. An Overview on the Effect of Severe Plastic Deformation on the Performance of Magnesium for Biomedical Applications. Materials 2023, 16, 2401. [Google Scholar] [CrossRef] [PubMed]












| Alloy | Elemental Composition, wt.% |
|---|---|
| Mg–Zn–Zr–Ce | Mg—98,0, Zn—1,3, Zr—0,1, Ce—0,1, O—0,5 |
| State | Average Grain Size, µm | σYS, MPa | σUTS, MPa | δ, % | Hμ, MPa | E, GPa |
|---|---|---|---|---|---|---|
| Initial, CG | 25.0 ± 10.0 | 90/130 * | 190/310 * | 13/10 * | 605 ± 30 | 10 |
| 3abc pressing, FG | 3.0 ± 2.0 | 140/160 * | 220/380 * | 9/11 * | 740 ± 30 | 12 |
| 3abc pressing and rolling, FG | 1 ± 0.7 | 250/240 * | 270/470 * | 3/11.5 * | 750 ± 40 | 12 |
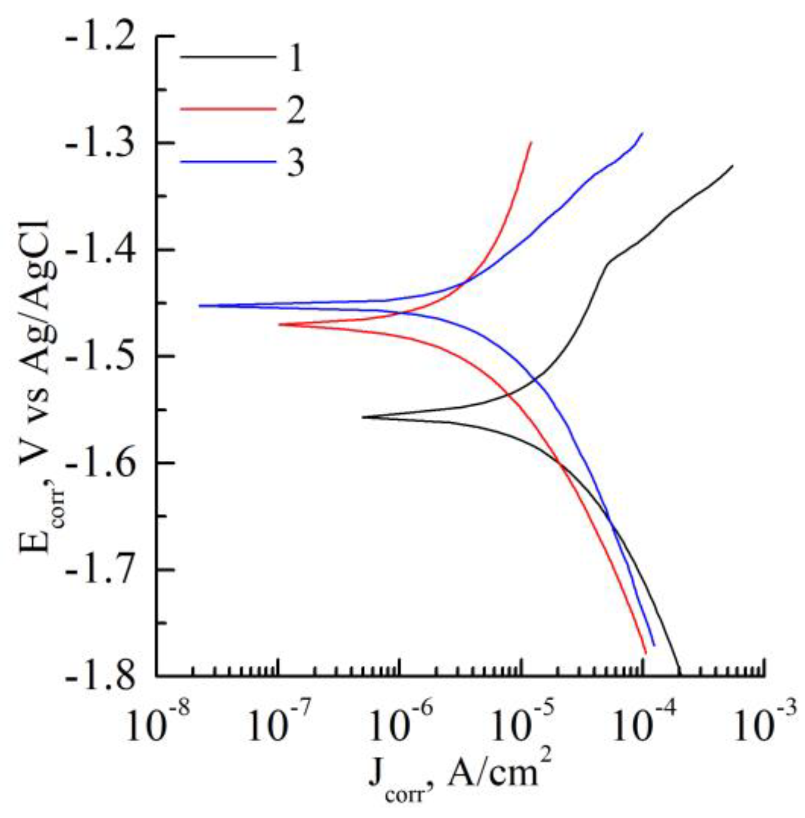
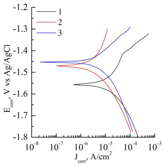
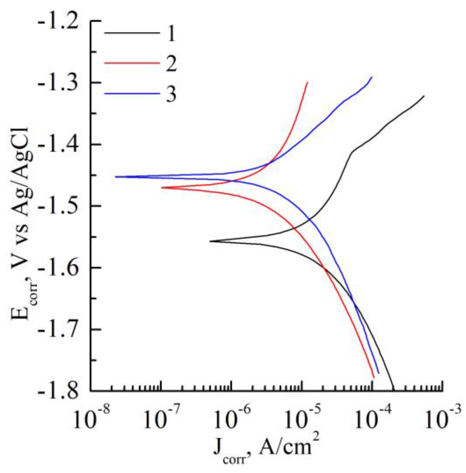
| State | Eocp, V | Ecorr, V | Icorr, µA/cm2 | βa, V/dec | βk, V/dec | Rp, KOhm·cm2 |
|---|---|---|---|---|---|---|
| Initial, CG | −1.56 ± 0.02 | −1.56 ± 0.05 | 14.4 ± 2.6 | 0.17 | 0.26 | 3.1 |
| 3abc pressing, FG | −1.54 ± 0.02 | −1.47 ± 0.04 | 4.3 ± 0.9 | 0.12 | 0.30 | 8.7 |
| 3abc pressing and rolling, FG | −1.53 ± 0.03 | −1.45 ± 0.05 | 2.8 ± 0.4 | 0.11 | 0.11 | 8.1 |
Disclaimer/Publisher’s Note: The statements, opinions and data contained in all publications are solely those of the individual author(s) and contributor(s) and not of MDPI and/or the editor(s). MDPI and/or the editor(s) disclaim responsibility for any injury to people or property resulting from any ideas, methods, instructions or products referred to in the content. |
© 2023 by the authors. Licensee MDPI, Basel, Switzerland. This article is an open access article distributed under the terms and conditions of the Creative Commons Attribution (CC BY) license (https://creativecommons.org/licenses/by/4.0/).
Share and Cite
Luginin, N.; Eroshenko, A.; Khimich, M.; Prosolov, K.; Kashin, A.; Uvarkin, P.; Tolmachev, A.; Glukhov, I.; Panfilov, A.; Sharkeev, Y. Severe Plastic Deformation of Mg–Zn–Zr–Ce Alloys: Advancing Corrosion Resistance and Mechanical Strength for Medical Applications. Metals 2023, 13, 1847. https://doi.org/10.3390/met13111847
Luginin N, Eroshenko A, Khimich M, Prosolov K, Kashin A, Uvarkin P, Tolmachev A, Glukhov I, Panfilov A, Sharkeev Y. Severe Plastic Deformation of Mg–Zn–Zr–Ce Alloys: Advancing Corrosion Resistance and Mechanical Strength for Medical Applications. Metals. 2023; 13(11):1847. https://doi.org/10.3390/met13111847
Chicago/Turabian StyleLuginin, Nikita, Anna Eroshenko, Margarita Khimich, Konstantin Prosolov, Alexander Kashin, Pavel Uvarkin, Alexey Tolmachev, Ivan Glukhov, Alexander Panfilov, and Yurii Sharkeev. 2023. "Severe Plastic Deformation of Mg–Zn–Zr–Ce Alloys: Advancing Corrosion Resistance and Mechanical Strength for Medical Applications" Metals 13, no. 11: 1847. https://doi.org/10.3390/met13111847
APA StyleLuginin, N., Eroshenko, A., Khimich, M., Prosolov, K., Kashin, A., Uvarkin, P., Tolmachev, A., Glukhov, I., Panfilov, A., & Sharkeev, Y. (2023). Severe Plastic Deformation of Mg–Zn–Zr–Ce Alloys: Advancing Corrosion Resistance and Mechanical Strength for Medical Applications. Metals, 13(11), 1847. https://doi.org/10.3390/met13111847

