Critical Evaluation and Thermodynamic Modeling of the Li-Se and Na-Se Binary Systems Using Combined CALPHAD and First-Principles Calculations Method
Abstract
1. Introduction
2. Critical Literature Review
2.1. The Li-Se Binary System
2.2. The Na-Se Binary System
| Phase | Strukturb-ericht | Pearson Symbol | Space Group | Lattice Parameters, Å | Model | |||||
|---|---|---|---|---|---|---|---|---|---|---|
| References | vdW Method | a | b | c | ||||||
| Liquid | - | - | - | - | - | - | 3.5093 | - | - | MQMPA a |
| bcc_A2 (Li) | A2 | cI2 | Experimental data | [30] | - | 3.4268 | - | - | CEF b | |
| Calculated data | TW c | PBE | 3.3721 | - | - | - | ||||
| TW | D3 | 3.2674 | - | - | - | |||||
| TW | D2 | 3.4569 | - | - | - | |||||
| TW | optB86b | 3.4741 | - | - | - | |||||
| TW | optB88 | 3.4534 | - | - | - | |||||
| TW | DF | 3.3920 | - | - | - | |||||
| TW | DF2 | 3.5093 | - | - | - | |||||
| hex_A8 (Se) | A8 | hP3 | Experimental data | [30] | - | 4.3659 | - | 4.9537 | CEF | |
| Calculated data | TW | PBE | 4.6347 | - | 5.0300 | - | ||||
| TW | D3 | 4.2577 | - | 5.0888 | - | |||||
| TW | D2 | 4.3682 | - | 5.0609 | - | |||||
| TW | optB86b | 4.1722 | - | 5.1180 | - | |||||
| TW | optB88 | 4.2898 | - | 5.0986 | - | |||||
| TW | DF | 4.7153 | - | 5.1036 | - | |||||
| TW | DF2 | 4.5682 | - | 5.2096 | - | |||||
| bcc_A2 (Na) | A2 | cI2 | Experimental data | [42] | - | 4.2906 | - | - | CEF | |
| Calculated data | TW | PBE | 4.1954 | - | - | - | ||||
| TW | D3 | 4.1603 | - | - | - | |||||
| TW | D2 | 3.9799 | - | - | - | |||||
| TW | optB86b | 4.1754 | - | - | - | |||||
| TW | optB88 | 4.1841 | - | - | - | |||||
| TW | DF | 4.2130 | - | - | - | |||||
| TW | DF2 | 4.1336 | - | - | - | |||||
| Li2Se | C1 | cF12 | Experimental data | [27] | - | 6.0014 | - | - | ST d | |
| [27] | - | 6.0001 | - | - | - | |||||
| [28] | - | 6.0170 | - | - | - | |||||
| [29] | - | 6.0020 | - | - | - | |||||
| Calculated data | TW | PBE | 6.0051 | - | - | - | ||||
| TW | D3 | 5.8910 | - | - | - | |||||
| Li2Se | C1 | cF12 | Calculated data | TW | D2 | 5.9999 | - | - | - | |
| TW | optB86b | 6.0012 | - | - | - | |||||
| TW | optB88 | 6.0186 | - | - | - | |||||
| TW | DF | 6.0894 | - | - | - | |||||
| TW | DF2 | 6.0890 | - | - | - | |||||
| Na2Se | C1 | cF12 | Experimental data | [28] | - | 6.8230 | - | - | ST | |
| [43] | - | 6.8130 | - | |||||||
| Calculated data | TW | PBE | 6.8535 | - | - | - | ||||
| TW | D3 | 6.7003 | - | - | - | |||||
| TW | D2 | 6.7762 | - | - | - | |||||
| TW | optB86b | 6.7693 | - | - | - | |||||
| TW | optB88 | 6.7761 | - | - | - | |||||
| TW | DF | 6.8792 | - | - | - | |||||
| TW | DF2 | 6.8636 | - | - | - | |||||
| NaSe | - | hP8 | Experimental data | [44] | - | 4.6850 | - | 10.5300 | ST | |
| Calculated data | TW | PBE | 4.7248 | - | 10.7860 | - | ||||
| TW | D3 | 4.6303 | - | 10.5777 | - | |||||
| TW | D2 | 4.6715 | - | 10.4226 | - | |||||
| TW | optB86b | 4.6352 | - | 10.6614 | - | |||||
| TW | optB88 | 4.6392 | - | 10.7487 | - | |||||
| TW | DF | 4.7253 | - | 11.0405 | - | |||||
| TW | DF2 | 4.7088 | - | 11.0724 | - | |||||
| Na2Se3 | - | - | - | - | - | - | - | - | - | ST |
| NaSe2 | - | tI48 | Experimental data | [43] | - | 10.1926 | - | 12.2177 | ST | |
| Calculated data | TW | PBE | 4.7248 | - | 10.7860 | - | ||||
| TW | D3 | 10.0389 | - | 12.2162 | - | |||||
| TW | D2 | 10.2005 | - | 11.7552 | - | |||||
| TW | optB86b | 10.1190 | - | 11.9942 | - | |||||
| TW | optB88 | 10.2042 | - | 12.0233 | - | |||||
| TW | DF | 10.5358 | - | 12.2918 | - | |||||
| TW | DF2 | 10.5920 | - | 12.1594 | - | |||||
| NaSe3 | - | - | - | - | - | - | - | - | - | ST |
| Phase | Method | Enthalpy of Formation, (kJ/mol-atoms) | Reference |
|---|---|---|---|
| Li2Se | PBE | −120.3 | [32] |
| emf | −139.3 | [35] | |
| calorimetry | −147.4 ± 1.3 | [37] | |
| electrochemical and calorimetry | −141.97 ± 3 | [38] | |
| PBE | −123.2 | FTW a | |
| D3 | −128.4 | FTW | |
| D2 | −134.4 | FTW | |
| optB86b | −129.8 | FTW | |
| optB88 | −131.5 | FTW | |
| DF | −130.7 | FTW | |
| DF2 | −136.1 | FTW | |
| PBE | −142.1 | [21,22] | |
| CALPHAD | −143.6 | CTW b | |
| Na2Se | PBE | −109.6 | [32] |
| electrochemical and calorimetry | −114.2 | [38] | |
| emf | −131.9 | [50] | |
| calorimetry | −114.3 | [51] | |
| the NBS tables | −113.8 | [52] | |
| PBE | −106.3 | FTW | |
| D3 | −108.5 | FTW | |
| D2 | −116.7 | FTW | |
| optB86b | −108.5 | FTW | |
| optB88 | −114.1 | FTW | |
| DF | −115.1 | FTW | |
| DF2 | −119.6 | FTW | |
| PBE | −125.1 | [21,22] | |
| CALPHAD | −121.8 | CTW | |
| NaSe | PBE | −84.5 | [32] |
| emf | −100.0 | [50] | |
| calorimetry | −97.0 | [51] | |
| PBE | −82.6 | FTW | |
| D3 | −87.5 | FTW | |
| D2 | −94.7 | FTW | |
| optB86b | −85.5 | FTW | |
| NaSe | optB88 | −89.8 | FTW |
| DF | −90.7 | FTW | |
| DF2 | −93.2 | FTW | |
| PBE | −110.8 | [21,22] | |
| CALPHAD | −106.0 | CTW | |
| Na2Se3 | emf | −93.4 | [50] |
| −88.7 | CTW | ||
| NaSe2 | PBE | −58.3 | [32] |
| emf | −86.6 | [50] | |
| PBE | −56.9 | FTW | |
| D3 | −62.1 | FTW | |
| D2 | −65.4 | FTW | |
| optB86b | −58.3 | FTW | |
| optB88 | −61.0 | FTW | |
| DF | −61.6 | FTW | |
| DF2 | −62.8 | FTW | |
| PBE | −94.6 | [21,22] | |
| CALPHAD | −74.5 | CTW | |
| NaSe3 | CALPHAD | −56.3 | CTW |
3. Thermodynamic Models
3.1. Liquid Phase
3.2. Solid Solutions
3.3. Stoichiometric Phases
3.4. Gaseous Phase
4. First-Principles Calculations
5. Results and Discussions
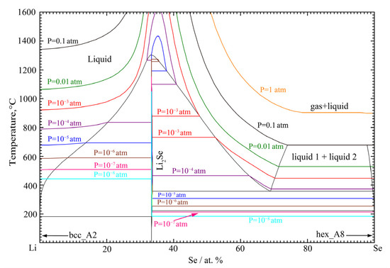
5.1. Thermodynamic Modeling and Evaluation of the Li-Se Binary System
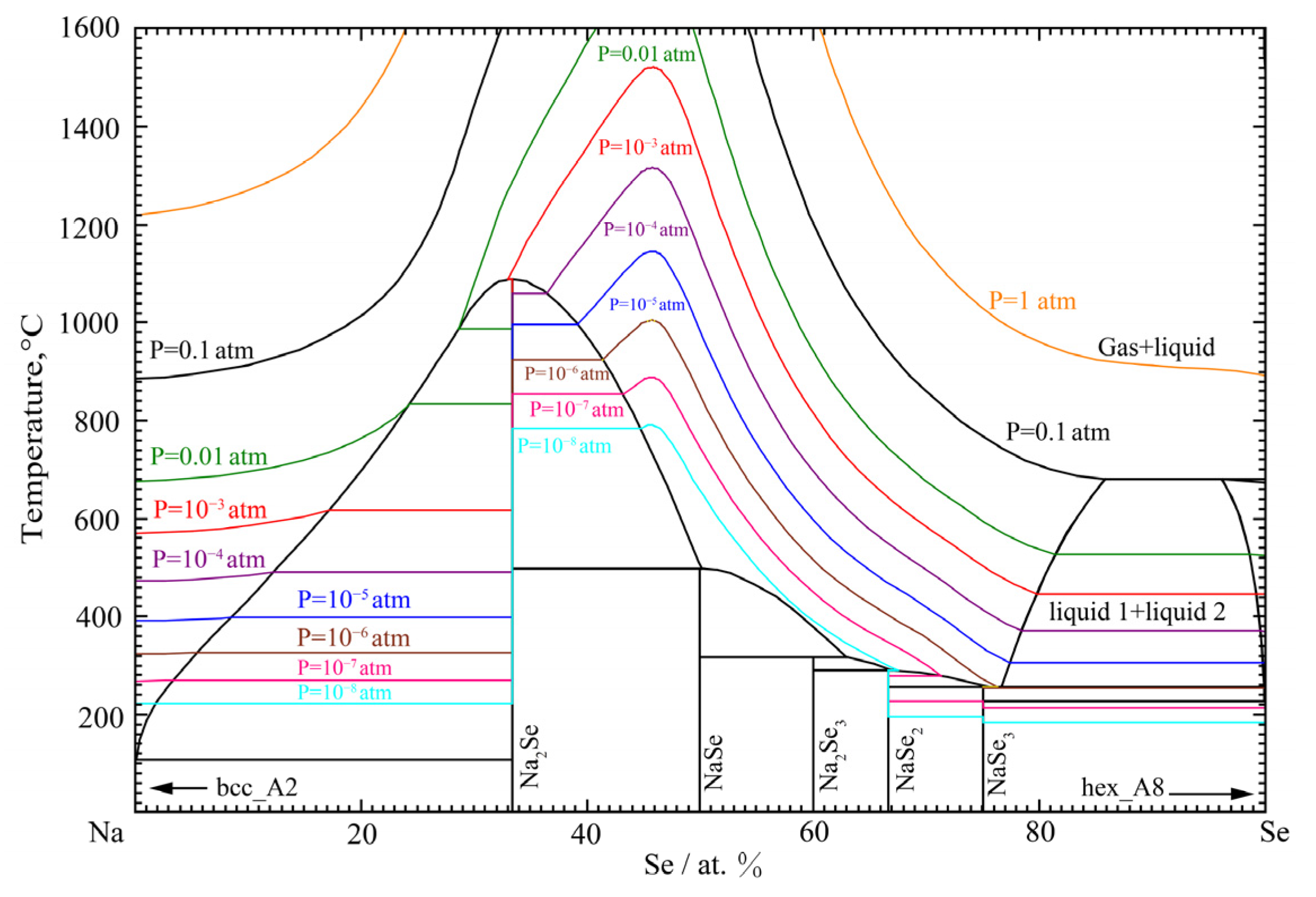
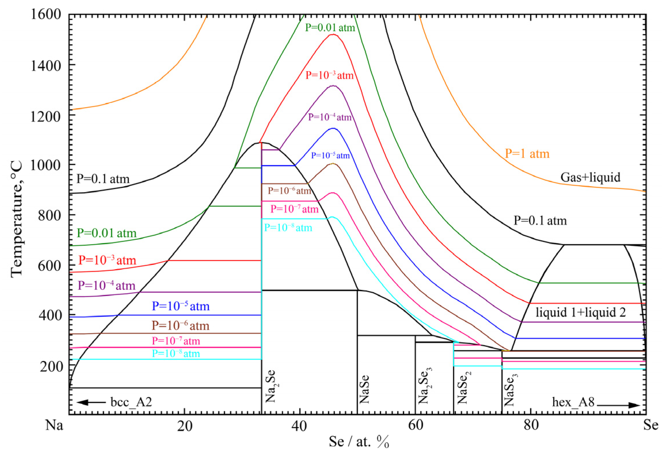
5.2. Thermodynamic Modeling and Evaluation of the Na-Se Binary System
6. Conclusions
Author Contributions
Funding
Institutional Review Board Statement
Informed Consent Statement
Data Availability Statement
Conflicts of Interest
References
- Atrens, A.; Liu, M.; Abidin, N. Corrosion mechanism applicable to biodegradable magnesium implants. Mater. Sci. Eng. B 2011, 176, 1609–1636. [Google Scholar] [CrossRef]
- Staiger, M.P.; Pietak, A.M.; Jerawala, H.; George, D. Magnesium and its alloys as orthopedic biomaterials: A review. Biomaterials 2006, 27, 1728–1734. [Google Scholar] [CrossRef] [PubMed]
- Dolly, M.; Sravanthr, R.; Li, Y.C.; Kumar, M.J.; Harishankar, N.; Hodgson, P.D.; Wen, C.; Pande, G. Zirconium, calcium, and strontium contents in magnesium based biodegradable alloys modulate the efficiency of implant-induced osseointegration. Int. J. Nanomed. 2013, 8, 2887–2902. [Google Scholar]
- Mendis, C.L.; Bettles, C.J.; Gibson, M.A.; Hutchinson, C.R. An enhanced age hardening response in Mg-Sn based alloys containing Zn. Mater. Sci. Eng. A 2006, 435-436, 163–171. [Google Scholar] [CrossRef]
- Mendis, C.L.; Bettles, C.J.; Gibson, M.A.; Gorsse, S.; Hutchinson, R. Refinement of precipitate distributions in an age-hardenable Mg–Sn alloy through microalloying. Phil. Mag. Lett. 2006, 86, 443–456. [Google Scholar] [CrossRef]
- Sasaki, T.T.; Oh-ishi, K.; Ohkubo, T.; Hono, K. Enhanced age hardening response by the addition of Zn in Mg-Sn alloys. Scr. Mater. 2006, 55, 251–254. [Google Scholar] [CrossRef]
- Gibson, M.A.; Fang, X.; Bettles, C.J.; Hutchinson, C.R. The effect of precipitate state on the creep resistance of Mg-Sn alloys. Scr. Mater. 2010, 63, 899–902. [Google Scholar] [CrossRef]
- Persaud-Sharma, D.; Budiansky, N.; McGoron, A.J. Mechanical properties and tensile failure analysis of novel bio-absorbable Mg-Zn-Cu and Mg-Zn-Se alloys for endovascular applications. Metals 2013, 3, 23–40. [Google Scholar] [CrossRef] [PubMed]
- Liu, T.; Wang, Y.D.; Wu, S.D.; Peng, R.L.; Huang, C.X.; Jiang, C.B.; Li, S.X. Textures and mechanical behavior of Mg-3.3%Li alloy after ECAP. Scr. Mater. 2004, 51, 1057–1061. [Google Scholar] [CrossRef]
- Mitsuaki Furui, C.X.; Tetsuo, A.; Makoto, I.; Hiroshi, A.; Langdon, T.G. Improving the superplastic properties of a two-phase Mg–8%Li alloy through processing by ECAP. Mater. Sci. Eng. A 2005, 410-411, 439–442. [Google Scholar] [CrossRef]
- Schrauzer, G.N. Lithium: Occurrence, Dietary intakes, nutritional essentiality. J. Am. Coll. Nutr. 2013, 21, 14–21. [Google Scholar] [CrossRef] [PubMed]
- Young, W. Review of lithium effects on brain and blood. Cell Transplant. 2009, 18, 951–975. [Google Scholar] [CrossRef] [PubMed]
- Alderman, M.H. Summary of the international workshop of dietary sodium and human health in China and the United States. Am. J. Hypertens. 2009, 22, 925–928. [Google Scholar] [CrossRef][Green Version]
- Kipp, A.P.; Strohm, D.; Brigelius-Flohé, R.; Schomburg, L.; Bechthold, A.; Leschik-Bonnet, E.; Heseker, H.; German Nutrition Society (DGE). Revised reference values for selenium intake. J. Trace Elem. Med. Biol. 2015, 32, 195–199. [Google Scholar] [CrossRef] [PubMed]
- Fairweather-Tait, S.J.; Bao, Y.P.; Broadley, M.R.; Collings, R.; Ford, D.; Hesketh, J.E.; Hurst, R. Selenium in human health and disease. Antioxid. Redox Signal. 2017, 14, 1337–1383. [Google Scholar] [CrossRef] [PubMed]
- Rederstorff, M.; Krol, A.; Lescure, A. Understanding the importance of selenium and selenoproteins in muscle function. Cell. Mol. Life Sci. 2006, 63, 52–59. [Google Scholar] [CrossRef]
- Flores-Mateo, G.; Ana, A.N.; Pastor-Barriuso, R.; Guallar, E. Selenium and coronary heart disease: A meta-analysis. Am. Soc. Nutr. 2006, 84, 762–773. [Google Scholar] [CrossRef] [PubMed]
- Saunders, N.; Miodownik, A.P. Calphad (Calculation of Phase Diagrams) A Comprehensive Guide; Pergamon: Oxford, UK, 1992. [Google Scholar]
- Spencer, P.J. Mg-Li system. In Thermodynamic Database; CRCT, Ed.; CRCT: Montreal, QC, Canada, 2006. [Google Scholar]
- Chartrand, P. Mg-Na system. In Thermodynamic Database; CRCT, Ed.; CRCT: Montreal, QC, Canada, 2003. [Google Scholar]
- Jomard, G.; Petit, T.; Magaud, L.; Pasturel, A. First principles calculations to describe zirconia pseudopolymorphs. MRS Proc. 1997, 492, 4044–4052. [Google Scholar] [CrossRef]
- Jain, A.; Hautier, G.; Ong, S.; Moore, C.; Fischer, C.; Persson, K.; Ceder, G. Formation enthalpies by mixing GGA and GGA + U calculations. Phys. Rev. B 2011, 84, 045115. [Google Scholar] [CrossRef]
- Wang, J.; Han, D.; Zhang, Z.; Jung, I.-H.; Rao, W.-F. Experimental measurement and thermodynamic evaluation of the Mg + Cu + Sr ternary system. J. Chem. Thermodyn. 2021, 163, 106582. [Google Scholar] [CrossRef]
- Wang, J.; Zhang, Z.; Li, S.; Meng, L.; Cao, Z.; Rao, W.-F. Experimental investigation and thermodynamic modeling of the Mg-Cu-Ca ternary system. Calphad 2021, 75, 102325. [Google Scholar] [CrossRef]
- Wang, J.; Zhang, Z.; Jung, I.-H.; Sheng, L. Experimental investigation and thermodynamic modeling of the Mg–Sn–Sr ternary system. Calphad 2021, 72, 102237. [Google Scholar] [CrossRef]
- Bale, C.W.; Chartrand, P.; Degterov, S.A.; Eriksson, G.; Hack, K.; Mahfoud, R.B.; Melancon, J.; Pelton, A.D.; Petersen, S. FactSage thermochemical software and databases. Calphad 2002, 26, 189–228. [Google Scholar] [CrossRef]
- Cunningham, P.; Johnson, S.; Cairns, E. Phase equilibria in lithium-chalcogen systems: I. lithium-selenium. J. Electrochem. Soc. 1971, 118, 1941. [Google Scholar] [CrossRef]
- Zintl, E.; Harder, A.; Dauth, B. Gitterstruktur der oxyde, sulfide, selenide und telluride des lithiums, natriums und kaliums. Z. Für Elektrochem. Und Angew. Phys. Chem. 2010, 40, 588–593. [Google Scholar] [CrossRef]
- Johnston, W.; Heikes, R. A study of the system LixMn(1-X)Se. J. Am. Chem. Soc. 1958, 80, 5904–5907. [Google Scholar] [CrossRef]
- Sangster, J.; Pelton, A. The Li-Se (lithium-selenium) system. J. Phase Equilibria 1997, 18, 181–184. [Google Scholar] [CrossRef]
- Bergstrom, F. The polysulfides and polyselenides of lithium, sodium and potassium. J. Am. Chem. Soc. 1926, 48, 146–151. [Google Scholar] [CrossRef]
- Li, Q.; Liu, H.; Yao, Z.; Cheng, J.; Li, T.; Li, Y.; Wolverton, C.; Wu, J.; Dravid, V. Electrochemistry of selenium with sodium and lithium: Kinetics and reaction mechanism. ACS Nano 2016, 10, 8788. [Google Scholar] [CrossRef]
- Cairns, E.; Kucera, G.; Cunningham, P. Thermodynamic studies of the lithium-selenium system by an EMF method. J. Electrochem. Soc. 1973, 120, 595–602. [Google Scholar] [CrossRef]
- Chekoev, N.G.; Morachevskij, A.G. Propriétés thermodynamiques des masses fondues du systèmes lithium-selenium. Gen. Chem. Phys. Chem. 1978, 51, 2348–2350. [Google Scholar]
- Morachevskii, A. Thermodynamic analysis of alloying in the system lithium-selenium. Russ. J. Appl. Chem. 2001, 74, 569–571. [Google Scholar] [CrossRef]
- Fabre, C. Thermal studies on the selenides. Ann. Chim. Phys. 1887, 10, 472–550. [Google Scholar]
- Olin, Å.; Noläng, B.; Osadchii, E.; Öhman, L.-O.; Rosén, E. Chemical Thermodynamics of Selenium; Elsevier: Amsterdam, Holland, 2005. [Google Scholar]
- Ader, M. Cheminform abstract: Enthalpy of formation of lithium monoselenide. J. Chem. Thermodyn. 1974, 6, 587–597. [Google Scholar] [CrossRef]
- Voronin, G. Estimation of the standard entropies of chemical compounds. Zhur. Fiz. Khim. 1970, 44, 3013–3017. [Google Scholar]
- Mathewson, C. The selenides of sodium. J. Am. Chem. Soc. 1907, 29, 867–880. [Google Scholar] [CrossRef][Green Version]
- Sangster, J.; Pelton, A. The K-Se (potassium-selenium) system. J. Phase Equilibria 1997, 18, 177–180. [Google Scholar] [CrossRef]
- Sangster, J.; Pelton, A. The Na-Se (sodium-selenium) system. J. Phase Equilibria 1997, 18, 185–189. [Google Scholar] [CrossRef]
- Klemm, W.; Sodomann, H.; Langmesser, P. Beiträge zur kenntnis der alkalimetallchalkogenide. Z. Anorg. Allg. Chem. 2004, 241, 281–304. [Google Scholar] [CrossRef]
- Föppl, H.; Busmann, E.; Frorath, F.K. Die kristallstrukturen von α-Na2S2 und K2S2, β-Na2S2 und Na2Se2. Z. Anorg. Allg. Chem. 2004, 314, 12–20. [Google Scholar] [CrossRef]
- Morachevskii, A.; Bykova, M.; Rozova, T. Thermodynamic Properties of Liquid Alloys in the Sodium-Indium System; Liniya: Leningrad, Russia, 1970; pp. 1611–1612. [Google Scholar]
- Maiorova, E.; Morachevskii, A. Thermodynamic properties of dilute sodium solutions in liquid selenium. Soviet Electrochem. 1978, 14, 1266–1267. [Google Scholar]
- Tumidajski, P.J.; Toguri, J. Thermodynamic properties of the Na-Se and Rb-Se systems. Can. Metall. Q. 1991, 30, 169–171. [Google Scholar] [CrossRef]
- Maiorova, E.A.; Romanchenko, N.M.; Morachevskii, A.G. Investigation of polysulfide melts by means of a sodium microelectrode. Russ. J. Appl. Chem. 1981, 17, 429–432. [Google Scholar]
- Van der Marel, C.; van der Lugt, W. Electrical resistivity and phase separation in dilute liquid alloys of sodium in selenium. Z. Naturforsch. A 1979, 34, 832–835. [Google Scholar] [CrossRef]
- Morachevskii, A.; Romanchenko, N.; Maiorova, E. Thermodynamic analysis of components’ interaction in the sodium-selenium system. Russ. J. Appl. Chem. 1995, 68, 327–330. [Google Scholar]
- Mulder, H.D.; Schmidt, F.C. Heats of solution and reaction in liquid ammonia. VIII. J. Am. Chem. Soc. 1951, 73, 5575–5577. [Google Scholar] [CrossRef]
- Wagman, D.; Evans, W.; Parker, V.; Schumm, R.; Har-low, I.; Bailey, S.; Churney, K.; Nuttall, R. The NBS tables of chemical thermodynamic properties. J. Phys. Chem. Ref. Data 1982, 11, 2–61. [Google Scholar]
- Dinsdale, A.T. SGTE data for pure elements. Calphad 1991, 15, 317–425. [Google Scholar] [CrossRef]
- Pelton, A.D.; Chartrand, P. The modified quasi-chemical model: Part II. Multicomponent solutions. Metall. Mater. Trans. A 2001, 32, 1355–1360. [Google Scholar] [CrossRef]
- Pelton, A.D.; Degterov, S.A.; Eriksson, G.; Robelin, C.; Dessureault, Y. The modified quasichemical model I—Binary solutions. Metall. Mater. Trans. B 2000, 31, 651–659. [Google Scholar] [CrossRef]
- Kang, Y.B.; Pelton, A.D.; Chartrand, P.; Fuerst, C.D. Critical evaluation and thermodynamic optimization of the Al-Ce, Al-Y, Al-Sc and Mg-Sc binary systems. Calphad 2008, 32, 413–422. [Google Scholar] [CrossRef]
- Hillert, M. The compound energy formalism. J. Alloy. Compd. 2001, 320, 161–176. [Google Scholar] [CrossRef]
- Kopp, H. Investigations of the specific heat of solid bodies. Phil. Trans. R. Soc. 1865, 155, 71–202. [Google Scholar] [CrossRef]
- Gurvich, L.V.; Veyts, I.V.; Alcock, C.B. Thermodynamic Properties of Individual Substances, 4th ed.; Hemisphere Publishing Corporation: New York, NY, USA, 1996. [Google Scholar]
- Chase, M.W. NIST-JANAF Thermochemical Tables; AIP: Woodbury, MN, USA, 1998. [Google Scholar]
- Kohn, W.; Sham, L.J. Self-consistent equations including exchange and correlation effects. Phys. Rev. B 1965, 140, 1133–1138. [Google Scholar] [CrossRef]
- Kresse, G.; Furthmüller, J. Efficiency of ab-initio total energy calculations for metals and semiconductors using a plane-wave basis set. Comput. Mater. Sci. 1996, 6, 15–50. [Google Scholar] [CrossRef]
- Kresse, G.; Furthmüller, J. Efficient iterative schemes for ab initio total-energy calculations using a plane-wave basis set. Phys. Rev. B 1996, 54, 11169. [Google Scholar] [CrossRef]
- Kresse, G.; Joubert, D. From ultrasoft pseudopotentials to the projector augmented-wave method. Phys. Rev. B 1999, 59, 1758–1775. [Google Scholar] [CrossRef]
- Lushtak, Y.; Burke, D.; Li, Y.; Lyndaker, A.; Liu, X.; Ying, L. Vacuum system design, construction, and operation for the cornell high energy synchrotron source upgrade. Vacuum 2021, 186, 110064. [Google Scholar] [CrossRef]
- Perdew, J.P.; Yue, W. Accurate and simple analytic representation of the electron-gas correlation energy. Phys. Rev. B 1992, 45, 13244–13249. [Google Scholar] [CrossRef]
- Perdew, J.P.; Burke, K.; Ernzerhof, M. Generalized gradient approximation made simple. Phys. Rev. Lett. 1996, 77, 3865. [Google Scholar] [CrossRef]
- Grimme, S.; Antony, J.; Ehrlich, S.; Krieg, H. A consistent and accurate ab initio parametrization of density functional dispersion correction (DFT-D) for the 94 elements H-Pu. J. Chem. Phys. 2010, 132, 154104. [Google Scholar] [CrossRef] [PubMed]
- Klimes, J.; Bowler, D.R.; Michaelides, A. Chemical accuracy for the van der Waals density functional. J. Phys. Condens. Matter. 2010, 22, 022201. [Google Scholar] [CrossRef] [PubMed]
- Monkhorst, H.J.; Pack, J.D. Special points for Brillouin-zone integrations. Phys. Rev. B 1976, 13, 5188–5192. [Google Scholar] [CrossRef]
- Romanchenko, N.; Maiorova, E.; Morachevskii, A. Determination of the Limits of Phase-Separation in the Sodium-Selenium System by Electromotive-Force Measurements; Plenum Publishing Corporation: New York, NY, USA, 1981; pp. 615–616. [Google Scholar]
- Wang, J.; Chen, P.; Meng, L.; Jin, L. Investigation on the mechanical and corrosion properties of ZnMnSr alloys for biodegradable orthopedic implants. Adv. Eng. Mater. 2022, 2101581. [Google Scholar] [CrossRef]
- Wang, J.; Zhang, Z.; Zhang, Y.; Jin, L.; Sheng, L. Experimental measurement on the phase equilibria of the Mg–Ag–Cu ternary system at 350 and 400 °C. J. Magnes. Alloy. 2022, 10, 449–457. [Google Scholar] [CrossRef]
- Wen, C.L.; Qian, J.M.; Luo, L.L.; Zeng, J.H.; Sa, B.S.; Zhan, X.; Wang, J.; Sheng, L.Y.; Zheng, Y.F. Effect of nitrogen on the structure evolution and biological properties of mesoporous bioactive glass nanospheres: Experiments and simulations. J. Non-Cryst. Solids 2022, 578, 121329. [Google Scholar] [CrossRef]
- Wang, J.; Zhang, Z.; Jung, I.H.; Rao, W.F. Critical evaluation and thermodynamic modeling of the Ag-X (X=Mn, Y, Sr) binary systems. Intermetallics 2021, 136, 107260. [Google Scholar] [CrossRef]












| Coordination Numbers a | Gibbs Energies of Pair Exchange Reactions (J/mol-atoms) | |||
|---|---|---|---|---|
| i | j | |||
| Li | Se | 3 | 6 | |
| Na | Se | 3 | 6 | |
| Phase, Model, and Thermodynamic Parameters (J/mol or J/(mol·K)) |
|---|
| hex_A8 phase, format (Li, Na, Se): |
| ; |
| bcc_A2 phase, format (Li, Na, Se): |
| ; |
| Li2Se phase, format (Li)2(Se): |
| ; |
| Na2Se phase, format (Na)2(Se): |
| ; |
| NaSe phase, format (Na)(Se): |
| ; |
| NaSe2 phase, format (Na)(Se)2: |
| ; |
| NaSe3 phase, format (Na)(Se)3: |
| . |
| Reaction | Reaction Type | Temperature (°C) | Composition (Se at.%) | References | ||
|---|---|---|---|---|---|---|
| Liquid ↔ bcc_A2 | Melting | 180.6 | - | 0 | - | [27] |
| 180.4 | ~0 | 0 | - | This work | ||
| Liquid ↔ bcc_A2 +Li2Se | Eutectic | ~180.6 | ~0 | 0 | 33.3 | [27] |
| 180.4 | ~0 | 0 | 33.3 | This work | ||
| Liquid ↔ Li2Se | Congruent | 1302 ± 25 | - | 33.3 | - | [27] |
| 1302 | ~0 | 33.3 | - | This work | ||
| Liquid#1 ↔ Li2Se + Liquid#2 | Monotectic | 350±5 | 70 ± 2 | 33.3 | 99.5 ± 0.3 | [27] |
| 353.8 | 69.1 | 33.3 | 99.6 | This work | ||
| Liquid ↔ Li2Se + hex_A8 | Eutectic | ~221 | 100 | 33.3 | 100 | [27] |
| - | 100 | 33.3 | 100 | This work | ||
| Liquid ↔ hex_A8 | Melting | 221 | - | 100 | - | [27] |
| 224.7 | ~0 | 100 | - | This work | ||
| Reaction | Reaction Type | Temperature (°C) | Composition (Se at.%) | References | ||
|---|---|---|---|---|---|---|
| Liquid ↔ bcc_A2 | Melting | 97.8 | - | 0 | - | [42] |
| 97.7 | ~0 | 0 | - | This work | ||
| Liquid ↔ bcc_A2 + Na2Se | Eutectic | ~97.8 | ~0 | ~0 | 33.3 | [42] |
| 97.5 | 0 | 0 | 33.3 | This work | ||
| Liquid ↔ Na2Se | Congruent | >875 | - | 33.3 | - | [42] |
| 1087 | ~0 | 33.3 | - | This work | ||
| Liquid+ Na2Se ↔ NaSe | Peritectic | ~495 | ~52 | 33.3 | 50 | [42] |
| 496.7 | 50.1 | 33.3 | 50 | This work | ||
| Liquid+ NaSe ↔ Na2Se3 | Peritectic | 313 | ~64 | 50 | 60 | [42] |
| 316.4 | 62.9 | 50 | 60 | This work | ||
| Liquid+ Na2Se3 ↔ NaSe2 | Peritectic | 290 | ~69 | 60 | 66.7 | [42] |
| 288.5 | 66.9 | 60 | 66.7 | This work | ||
| Liquid+ NaSe2 ↔ NaSe3 | Peritectic | 258 | ~77 | 66.7 | 75 | [42] |
| 255.9 | 75.6 | 66.7 | 75 | This work | ||
| Liquid#1 ↔ Liquid#2 + NaSe3 | Monotectic | ~255 | 78 | ~99.95 | 75 | [42] |
| 255.2 | 76.6 | 99.96 | 75 | This work | ||
| Liquid ↔ hex_A8 + NaSe3 | Eutectic | ~221 | 99.98 | ~100 | 75 | [42] |
| 224.7 | 99.95 | 100 | 75 | This work | ||
| Liquid ↔ hex_A8 | Melting | 221 | - | 100 | - | [42] |
| 224.8 | ~0 | 100 | - | This work | ||
Publisher’s Note: MDPI stays neutral with regard to jurisdictional claims in published maps and institutional affiliations. |
© 2022 by the authors. Licensee MDPI, Basel, Switzerland. This article is an open access article distributed under the terms and conditions of the Creative Commons Attribution (CC BY) license (https://creativecommons.org/licenses/by/4.0/).
Share and Cite
Ma, J.; Ji, C.; Wang, J.; Han, D.; Cui, Z.; Sa, B.; Cui, S. Critical Evaluation and Thermodynamic Modeling of the Li-Se and Na-Se Binary Systems Using Combined CALPHAD and First-Principles Calculations Method. Metals 2022, 12, 1349. https://doi.org/10.3390/met12081349
Ma J, Ji C, Wang J, Han D, Cui Z, Sa B, Cui S. Critical Evaluation and Thermodynamic Modeling of the Li-Se and Na-Se Binary Systems Using Combined CALPHAD and First-Principles Calculations Method. Metals. 2022; 12(8):1349. https://doi.org/10.3390/met12081349
Chicago/Turabian StyleMa, Jie, Chen Ji, Jian Wang, Dong Han, Zhou Cui, Baisheng Sa, and Senlin Cui. 2022. "Critical Evaluation and Thermodynamic Modeling of the Li-Se and Na-Se Binary Systems Using Combined CALPHAD and First-Principles Calculations Method" Metals 12, no. 8: 1349. https://doi.org/10.3390/met12081349
APA StyleMa, J., Ji, C., Wang, J., Han, D., Cui, Z., Sa, B., & Cui, S. (2022). Critical Evaluation and Thermodynamic Modeling of the Li-Se and Na-Se Binary Systems Using Combined CALPHAD and First-Principles Calculations Method. Metals, 12(8), 1349. https://doi.org/10.3390/met12081349

