Next Article in Journal
Research on Dynamic Marine Atmospheric Corrosion Behavior of AZ31 Magnesium Alloy
Next Article in Special Issue
Incorporating the Roles of Feature Size and Build Orientation in the Process-Structure-Property Relationship for Additively Manufactured Parts
Previous Article in Journal
State-of-the-Art Review on the Aspects of Martensitic Alloys Studied via Machine Learning
Previous Article in Special Issue
Investigation of the Microstructure and Mechanical Properties of an Ultrahigh Strength Martensitic Steel Fabricated Using Laser Metal Deposition Additive Manufacturing
 
 
Font Type:
Arial Georgia Verdana
Font Size:
Aa Aa Aa
Line Spacing:
Column Width:
Background:
Article

Effects of Annealing Temperatures on Mechanical Behavior and Penetration Characteristics of FeNiCoCr High-Entropy Alloys

1
School of Mechanical Engineering, Nanjing University of Science & Technology, Nanjing 210094, China
2
Shanghai Electro-Mechanical Engineering Institute, Shanghai 201109, China
3
State Key Laboratory of Explosion Science and Technology, Beijing Institute of Technology, Beijing 100081, China
4
School of Materials Science &Engineering, Nanjing University of Science & Technology, Nanjing 210094, China
*
Author to whom correspondence should be addressed.
Metals 2022, 12(11), 1885; https://doi.org/10.3390/met12111885
Submission received: 28 September 2022 / Revised: 30 October 2022 / Accepted: 1 November 2022 / Published: 4 November 2022
(This article belongs to the Special Issue Advances in Metallic Materials for Projectile Manufacturing)

Abstract

In this paper, the mechanical properties, penetration characteristics, and deformation behaviors of FeNiCoCr high-entropy alloys (HEAs) annealed at different temperatures were investigated. The quasi-static and dynamic compression tests were conducted by a universal testing machine and Split Hopkinson Pressure Bar (SHPB) system, respectively. Furthermore, the penetration experiments of long rod projectiles (LRPs) of FeNiCoCr HEAs into semi-infinite steel targets launched by a small caliber ballistic gun with velocities ranging from 650 m/s to 1500 m/s were carried out, in comparison with that of steel LRPs. The microstructures of recovered projectiles were observed by the X-ray diffraction, optical microscope, and transmission electron microscope, which were used to further analyze the deformation behaviors of FeNiCoCr HEAs. The results showed that FeNiCoCr HEAs owned a single face-centered cubic structure. Annealing twins and grain refinement were detected, affecting the yield strength of the alloys. The strength of the alloy annealed at 600 °C was the highest and then decreased with the increasing annealing temperature. At higher strain rates, special adiabatic shear characteristics occurred in the alloys, while twins dominated the whole deformation process of the projectiles. Compared to other annealed alloys, the alloy annealed at 600 °C performed the best penetration performance. While the impact velocity had significant effects on the penetration performance of the alloy annealed at 1000 °C, the penetration performance of the alloy annealed at 850 °C on steel targets was almost the same as that of the steel LRPs.

1. Introduction

Long rod projectiles (LRPs) are commonly utilized against tanks, armored vehicles, ships, and other armored fortifications, which have high hardness, fast impact velocity, and a large length-to-diameter ratio. At present, the commonly used materials of the projectiles are high-density tungsten alloy and depleted uranium alloy. The LRP of the high-density tungsten alloy is prone to produce mushroom heads during the penetration process, which affects the penetration performance of the projectile. Compared with the tungsten alloy, the penetration performance of the depleted uranium alloy is better, but it is not widely used due to its radioactivity [1]. Therefore, researchers gradually turn their attention to new disordered alloy materials represented by high-entropy alloys and amorphous alloys.
High-entropy alloys (HEAs), first proposed in 2004, are a new type of alloy composed of four or more elements in near equiatomic ratios with a high mixing entropy [2,3,4,5], which broke the design concept of traditional alloy [3]. It has been reported that HEAs have unique structures and excellent mechanical properties [6,7,8,9] because of the so-called “core effects”, which are: high entropy, sluggish diffusion, severe lattice distortion, and cocktail effects [10,11,12,13]. As a result of these outstanding mechanical properties, HEAs are ideal potential candidates for applications in the military as fragments [14], long rod projectiles [15], and defensive structures [16].
The studies of HEAs mainly focus on mechanical behavior based on the analysis of crystal structure and microstructure of materials under a quasi-static loading [17,18,19,20,21]. Ulteriorly, Lu et al. [22,23] explored the effects of temperature and strain rates on the work-hardening and thermal softening behaviors of HEAs and described the stress flow behavior of materials. The penetration experiments on HEAs were carried out to characterize the penetration performance at higher strain rates, revealing that HEAs became more promising in the field of efficient damage through energy release behavior and self-sharpening [24,25].
In this paper, systematical mechanical behavior and penetration performance of annealed FeNiCoCr HEAs were conducted. The mechanical properties of annealed FeNiCoCr HEAs were explored with the quasi-static and dynamic compression tests. The penetration performance of annealed FeNiCoCr HEAs under elevated impact velocities was investigated using the Φ14.5 ballistic gun system. Combined with X-ray diffraction (XRD) (Bruker-AXS D8 Advance, Massachusetts, Billerica), optical microscopy (OM) (OLYMPUS BX41M-LED, Tokyo, Japan), and transmission electron microscope (TEM) (FEI Inc., Hillsboro, OR, USA), the deformation behaviors of recovered projectiles were obtained. The study provides data support for the application of HEAs as warhead materials.

2. Experimental Methods

2.1. Mechanical Properties Test of FeNiCoCr HEAs Annealed at Different Temperatures

2.1.1. Experimental Materials

FeNiCoCr HEA samples used in the quasi-static and dynamic compression tests were fabricated using the vacuum induction melting (VIM) technique. The ingot was divided into five parts, four of which were annealed at 600 °C, 750 °C, 850 °C, and 1000 °C for 6 h and then cooled, respectively. The density of the HEA is 8.2 g/cm3. Cylindrical samples for the test, shown in Figure 1, were cut by the wire cut electrical discharge machining (WEDM) (Taizhou Tianlong Wire-cutting Machine Tool Co., Taizhou, Jiangsu, China) apparatus. The FeNiCoCr HEA samples annealed at different temperatures have no obvious difference in appearance. Samples used in the quasi-static and dynamic compression test were Φ7 mm × 7 mm and Φ4 mm × 5 mm in size, respectively.
XRD was utilized for the phase analysis of annealed specimens by the Cu-Kα radiation scanning from 10° to 90°. The tests were operated with a voltage of 40 kV and a working current of 40 mA, while the scanning step was 0.22°/s. Microstructural studies of specimens were carried out by the OM. The specimens were ground, polished, and then corroded. For the XRD and OM studies, specimens were observed along the cross-section. The hardness of annealed specimens was measured at room temperature with a Rockwell hardness testing machine. Each sample was tested at least six times.

2.1.2. Quasi-Static Compression Test

Quasi-static compression tests of FeNiCoCr HEAs with different annealing temperatures were carried out at room temperature by a CSS-44300 electronic universal material testing machine with a strain rate of 0.001 s−1. The layout of the test device is shown in Figure 2. The stress and displacement of the indenter were recorded by the automatic signal acquisition system on the test machine for subsequent data processing.

2.1.3. Dynamic Compression Test

In order to study the mechanical behaviors of FeNiCoCr HEAs with different annealing temperatures at high strain rates, the dynamic compression tests at different strain rates were carried out at room temperature using an split Hopkinson pressure bar (SHPB) (Nanjing University of Science and Technology, Nanjing, Jiangsu, China). As shown in Figure 3, the sample was clamped between the input bar and the transmission bar. The impact velocities of the impact bar were adjusted by the pressure of the chamber supplied by the nitrogen cylinder. The compressive stress wave was generated when the impact bar hit the input bar. When the stress wave reached the end of the sample, the reflected wave and transmitted wave were generated in the input bar and transmission bar, respectively. The wave propagation was recorded by resistance strain gauges attached to the rods, while collected data were amplified by the ultra-dynamic strain gauge.
According to one-dimensional stress wave theory, the stress σ, strain ε and strain rate ε ˙ can be obtained [26] by:
σ = A b E b A s ε t ( t ) ε = 2 C b L s 0 t ε r ( t ) d t ε ˙ = 2 C b L s ε r ( t )
where A is the cross-sectional area, L is the length of the sample, and E and C are the Young’s modulus and sound velocity of the bars, respectively. The corner marks s and b mean samples and bars, respectively.

2.2. Penetration Experiments of FeNiCoCr HEAs LRPs at Different Annealing Temperatures

The penetration performance of FeNiCoCr HEAs was investigated with different annealing temperatures. The accelerated parts used in the experiment were composed of two parts, an LRP with the size of Φ7 mm × 50 mm and a sabot, as shown in Figure 4. A premature break of the sabot can be prevented in the gun chamber at a high temperature by aluminum, compared with the sabot made of nonmetallic material. In addition, the pre-slotted sabot guaranteed the successful separation of the sabot and projectile by air resistance. A sub-caliber launching technique was employed to generate higher impact velocities in the penetration experiments. Steel with a similar density and the same size was chosen as projectile material to make a comparison with the projectiles of FeNiCoCr HEAs, which had a yield strength of about 355 MPa after quenching and tempering processes.
The experimental layout is shown in Figure 5. Annealed FeNiCoCr HEAs LRPs were launched by a 14.5 mm ballistic gun under different velocities ranging from 650 m/s to 1500 m/s. The trajectory of the projectile and penetration process was recorded by a high-speed camera. The impact velocities of the LRPs were calculated by analyzing the relative position recorded in the background screen. The muzzle was 1.2 m away from the semi-infinite steel target with a diameter of 120 mm and a length of 100 mm, while the trajectory line was perpendicular to the target surface. The projectile velocity was controlled by adjusting the mass of the propellant.
After penetrating the targets, the XRD, OM, and TEM were utilized for the crystal structure and microstructure analysis of the recovered projectiles. Cross-sectional recovered projectiles were cut along the impact axis. The XRD and OM test methods of LRPs samples are described in Section 2.1.1. Specimens with the geometry of 5 mm × 5 mm × 0.5 mm for TEM characterizations were cut from the middle part of the retrieved HEAs projectiles along impact directions, using electrical discharge machining. The specimens were polished to approximately 100 μm thick and subsequently ground down to 50 μm, followed by ion milling.

3. Results and Discussion

3.1. Initial Microstructure at Different Annealing Temperature

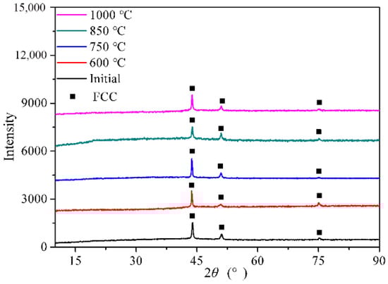
Figure 6 shows the microstructure of FeNiCoCr HEAs annealed at different temperatures. Diffraction peaks corresponding to a face-center cubic (FCC) crystal structure were observed in the XRD pattern. The peaks of FeNiCoCr HEAs annealed at 600–1000 °C had no obvious variation. It can be inferred that no phase transformation occurred in the FeNiCoCr HEAs with different annealing temperatures.
The microstructural evolution of alloys annealed at different temperatures is shown in Figure 7. It can be seen that the grain boundaries were fuzzy for the initial FeNiCoCr HEA, while some annealing twins extended from the grain boundaries to the interior, showing parallel bands that might have been formed in the melting process. The grain boundaries became obvious, and the number of annealing twins [26,27] increased in the alloy annealed at 600 °C. The grains of the HEA was obviously refined during the 750 °C annealing temperature. The annealing twins significantly reduced in the alloy annealed at 850 °C. With the increase in annealing temperature to 1000 °C, partial twins coarsened, and annealing twins increased. The Rockwell hardness (HRC) of FeNiCoCr HEAs samples is shown in Figure 8. Compared with the initial FeNiCoCr HEA, the HRC of the alloy annealed at 600 °C increased and then gradually decreased with the increase in annealing temperature, which might be caused by comprehensive differences [28] in increasing annealing twins and refined grain size of the alloys shown in Figure 7.

3.2. Static and Dynamic Mechanical Properties

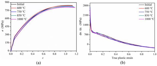
Figure 9 shows the comparison of specimens after the quasi-static compression test. The average length of samples compressed by the machine to a limit press of 100 kN is 2 mm, which is 71% less than that of the original sample. However, the samples still displayed the drum shape without appearing shear or fractured, indicating that the alloys had excellent plasticity. The detailed data are shown in Table 1. The true stress-strain curves and strain hardening rate versus the plastic strain curves were plotted in Figure 10. The curves show that the FeNiCoCr HEAs present obvious work-hardening behaviors. The strain hardening rate had a plateau section, as shown in Figure 10b, explaining how the twinning in the microstructure could improve the strength and ductility of alloys to a certain degree [20], which interpreted why the strength of the FeNiCoCr HEAs in other annealing temperatures was higher than that of the initial FeNiCoCr HEAs.
No fracture occurred during the dynamic impact compression tests. The dynamic impact results of the samples are shown in Table 2.
Furthermore, the true stress-strain curves of alloys loaded at different strain rates were obtained and shown in Figure 11. The work-hardening behaviors of the FeNiCoCr HEAs occurred at higher strain rates, the same as those in quasi-static compression tests. The yield strength of the FeNiCoCr HEAs increased gradually with the increase in strain rates, showing a positive strain rate strengthening effect in Figure 12.

3.3. Penetration Process of LRPs into Steel Targets

Figure 13 shows the flight paths of typical LRPs at a similar velocity captured by the high-speed camera. The flying attitude and landing posture of the projectiles were maintained well, while the projectiles hit the steel targets vertically.

3.4. Penetration Results and Ballistic Characteristics

The total number of penetration experiments of the LRPs was 27 shots, among which were 23 shots of the annealed FeNiCoCr HEAs LRPs and four shots of the steel LRPs. The penetration results were measured by cutting along the projectile axially in the direction of the projectile impacting the target. Figure 14 shows the targets penetrated by the annealed FeNiCoCr HEAs and steel LRPs at a velocity of about 1100 m/s. It can be seen from the figures that the crater, after penetration, presented approximately U-shaped. Figure 15 further illustrates the contours of the crater depicted by the cutting targets. With the increase in impact velocity, the depth of penetration (DOP), the diameter of crater, and the volume of crater (VOC) showed an increasing trend.
Table 3 shows the statistical results of the penetration experiments. Compared with the steel LRPs, the FeNiCoCr HEAs LRPs annealed at different temperatures on the target had better penetration performances.
The results of penetration were normalized to study the performance of the projectile penetrating targets with the same kinetic energy, as shown in Figure 16. As the impact kinetic energy increased, the DOP and VOC of the LRPs of FeNiCoCr HEA annealed at 850 °C were similar to that of the steel LRPs. Among all five kinds of FeNiCoCr HEAs, the penetration performance of the alloy annealed at 600 °C performed the best. Compared with those of the steel LRPs, the DOP and VOC of LRPs of the alloy annealed at 600 °C were increased by 43% and 78%, respectively. Impact velocity played a more vital role in the FeNiCoCr HEAs annealed at 1000 °C than the FeNiCoCr HEAs with other annealing temperatures, while the penetration performance of the LRPs of FeNiCoCr HEA annealed at 850 °C is similar to that of the steel LRPs.

3.5. Microstructural Evolution and Deformation Behaviors

As shown in the XRD pattern in Figure 17, it is obvious that no new phases appeared in the projectiles compared with those before the experiments. When the impact velocity was 1052 m/s, it can be calculated that the impact pressure of the projectile reached 21.5 GPa by combining the adiabatic shock equation with the stress balance relationship at the target-rod interface [29,30]. However, Liu et al. [31] proposed that the FCC crystal structure of the FeNiCoCr HEA changed to a hexagonal closepacked (HCP) crystal structure as the impact pressure reached 9.1 GPa. The reason might be the impact deformation time was greater than 7.7 μs [32].
Figure 18, Figure 19, Figure 20 and Figure 21 show the OM results of recovered projectiles. The pink arrows without annotation referred to the scanning direction of projectiles. Significant deformation of projectiles, including blurred grain boundaries, appeared in the middle, and many twins or slip bands were observed. As the observation position moved backward to the tail of the projectiles, the deformation degree of the projectile decreased gradually; however, grain boundaries can be seen more clearly. The massive slip bands or twins were conducive to the strength of the projectile. Some cracks were observed in the microstructure of recovered projectiles of the FeNiCoCr HEA annealed at 850 °C, which shows the adiabatic shear failure. In addition, the adiabatic shear was proved to occur in other FeNiCoCr HEAs LRPs by observing the shapes of recovered projectiles. Moreover, the head of initial FeNiCoCr HEA projectiles was sharper as the impact velocity increased, and many recrystallized structures in the projectile of the FeNiCoCr HEA annealed at 1000 °C initiated, which can enhance the penetration performance of the projectile.
Microstructures of the LRPs of the FeNiCoCr HEAs annealed at various temperatures after penetration are presented in Figure 22, and the images were taken on the plane parallel to the deformation direction. All the TEM maps show the low-magnification bright-field (BF) image of the homogeneous twins; meanwhile, the corresponding selected area electron diffraction (SAED) pattern from red circles further confirms the twin symmetrical structure. Twinning is apparently a favorite deformation mode under high strain-rate penetration. When the FCC HEAs are subject to extreme deformation condition impact loading, twinning is a dominant mode of plastic deformation. Twinning can enhance strain hardening ability when metals during the plastic deformation, which can be attributed mainly to dislocation–twin boundary interactions, as well as an increase in twin density [33,34,35]. Formation of twins during mechanical testing results in continuous grain fragmentation by the introduction of new interfaces, which effectively reduces the dislocation mean free path and causes strengthening [36]. In addition, multiple twinning can also be observed from samples during these penetrations (Figure 23a), which can induce higher strength and stronger strain hardening than single deformation twins. The underlying mechanism is that multiple twinning networks can present more barriers for dislocation motion to contribute to the higher strength [37]. Moreover, a high density of stack faults (SFs) is also beside twin in the experiments in Figure 23b. However, neither FCC to HCP nor FCC- BCC (body-centered cubic) phase transformation was found in the TEM observations, which always along with deformation twin boundaries [37,38], and phase transformation was suppressed by the high-temperature environment during penetration.
Observations with OM revealed that different parts of HEAs projectiles underwent different deformation processes. Figure 24 is a Bright-field TEM image of the microstructure and corresponding dark-field TEM image of the front part of the LRP of FeNiCoCr HEA annealed at 850 °C. It indicates that the HEA projectile goes through significant grain refinement, where the grain size inside the shear band ranges from 100 to 300 nm. These equiaxed ultrafine-grained grains are formed by significant dynamic recrystallization during penetration.

4. Conclusions

In this paper, the quasi-static and dynamic compression tests of FeNiCoCr HEAs annealed at different temperatures were carried out. The mechanical properties of the FeNiCoCr HEAs with different annealing temperatures were investigated. Based on the small caliber ballistic gun system, the penetration experiments of LRPs penetrating semi-infinite steel targets were studied and discussed by microscopic observation. The following conclusions were obtained:
(1)
Compared with the initial FeNiCoCr HEA, the strengths of four kinds of annealed FeNiCoCr HEAs improved due to the increasing twins and refined grain during the annealing process. Among them, the alloy annealed at 600 °C had the strongest strength, with a 39% increase in strength.
(2)
The penetration performance of the FeNiCoCr HEA annealed at 600 °C exceeded all other experimental materials. Compared with those of the steel LRPs, the DOP and the VOC of the LRPs of alloys annealed at 600 °C increased by 43% and 78%, respectively. Impact velocity played a more significant role in the penetration performance of the FeNiCoCr HEAs annealed at 1000 °C than FeNiCoCr HEAs with other annealing temperatures, while the penetration performance of the FeNiCoCr HEA LRPs annealed at 850 °C is similar to that of the steel LRPs.
(3)
The penetration performance of the FeNiCoCr HEAs was elevated by adiabatic shear, recrystallizations, and twins. The FeNiCoCr HEAs with different annealing temperatures did not undergo any phase changes at high strain rates. The FeNiCoCr projectiles were deformed primarily by twins.

Author Contributions

Data curation, Validation, Data analysis, Investigation, Writing—original draft, Writing—review & editing, X.H.; Funding acquisition, Supervision, Writing—review & editing, Project administration, X.Z.; Conceptualization, Methodology, C.L.; Data curation, Validation, H.C.; Validation, Data analysis, W.X.; Data analysis, J.C.; Investigation, Writing—review & editing, M.T. All authors have read and agreed to the published version of the manuscript.

Funding

This work was funded by the National Natural Science Foundation of China (Nos. 12141202, 11790292, and 12002170), the opening project of the State Key Laboratory of Explosion Science and Technology (Beijing Institute of Technology) (KFJJ21-11M), and the Fundamental Research Funds for the Central Universities (grant numbers 30920021108).

Data Availability Statement

Not applicable.

Conflicts of Interest

The authors declare no conflict of interest.

References

  1. Chen, X.W.; Wei, L.M.; Li, J.C. Experimental research on the long rod penetration of tungsten-fiber/Zr-based metallic glassmatrix composite into Q235 steel target. Int. J. Impact Eng. 2015, 79, 102–116. [Google Scholar] [CrossRef]
  2. Cantor, B.; Chang, I.T.H.; Knight, P.; Vincent, A.J.B. Microstructural development in equiatomic multicomponent alloys. Mater. Sci. Eng. A 2004, 375–377, 213–218. [Google Scholar] [CrossRef]
  3. Yeh, J.-W.; Chen, S.K.; Lin, S.-J.; Gan, J.-Y.; Chin, T.-S.; Shun, T.-T.; Tsau, C.-H.; Chang, S.-Y. Nanostructured High-Entropy Alloys with Multiple Principal Elements: Novel Alloy Design Concepts and Outcomes. Adv. Eng. Mater. 2004, 6, 299–303. [Google Scholar] [CrossRef]
  4. Zhang, Y.; Zuo, T.T.; Tang, Z.; Gao, M.C.; Dahmen, K.A.; Liaw, P.K.; Lu, Z.P. Microstructures and properties of high-entropy alloys. Prog. Mater. Sci. 2014, 61, 1–93. [Google Scholar] [CrossRef]
  5. Gao, M.C.; Yeh, J.W.; Liaw, P.K.; Zhang, Y. High-Entropy Alloys: Fundamentals and Applications; Springer: Cham, Switzerland, 2016. [Google Scholar]
  6. Thurston, K.V.; Gludovatz, B.; Yu, Q.; Laplanche, G.; George, E.P.; Ritchie, R.O. Temperature and load-ratio dependent fatigue-crack growth in the CrMnFeCoNi high-entropy alloy. J. Alloys Compd. 2019, 794, 525–533. [Google Scholar] [CrossRef]
  7. Oses, C.; Toher, C.; Curtarolo, S. High-entropy ceramics. Nat. Rev. Mater. 2020, 5, 295–309. [Google Scholar] [CrossRef]
  8. Yao, M.; Pradeep, K.; Tasan, C.; Raabe, D. Raabe. A novel, single phase, non-equiatomic FeMnNiCoCr high-entropy alloy with exceptional phase stability and tensile ductility. Scr. Mater. 2014, 72, 5–8. [Google Scholar] [CrossRef]
  9. Senkov, O.N.; Wilks, G.B.; Miracle, D.B.; Chuang, C.P.; Liaw, P.K. Refractory high-entropy alloys. Intermetallics 2010, 18, 1758–1765. [Google Scholar] [CrossRef]
  10. Miracle, D.B.; Senkov, O.N. A critical review of high entropy alloys and related concepts. Acta Mater. 2017, 122, 448–511. [Google Scholar] [CrossRef]
  11. Chou, H.P.; Chang, Y.S.; Chen, S.K.; Yeh, J.W. Microstructure, thermophysical and electrical properties in AlxCoCrFeNi (0 ≤ x ≤ 2) high-entropy alloys. Mater. Sci. Eng. B 2009, 163, 184–189. [Google Scholar] [CrossRef]
  12. Tsai, K.Y.; Tsai, M.H.; Yeh, J.W. Sluggish diffusion in Co–Cr–Fe–Mn–Ni high-entropy alloys. Acta Mater. 2013, 61, 4887–4897. [Google Scholar] [CrossRef]
  13. Gludovatz, B.; Hohenwarter, A.; Catoor, D.; Chang, E.H.; George, E.P.; Ritchie, R.O. A fracture-resistant high-entropy alloy for cryogenic applications. Science 2014, 345, 1153–1158. [Google Scholar] [CrossRef] [PubMed]
  14. Zhang, Z.; Zhang, H.; Tang, Y.; Ye, Y.; Li, S.; Bai, S. Microstructure, mechanical properties and energetic characteristics of a novel high entropy alloy HfZrTiTa0.53. Mater. Des. 2017, 133, 435–443. [Google Scholar] [CrossRef]
  15. Liu, X.F.; Tian, Z.L.; Zhang, X.F.; Chen, H.H.; Liu, T.W.; Chen, Y.; Wang, Y.J.; Dai, L.H. Self-sharpening tungsten high-entropy alloy. Acta Mater. 2020, 186, 257–266. [Google Scholar] [CrossRef]
  16. Geantă, V.; Voiculescu, I.; Stefănoiu, R.; Chereches, T.; Zecheru, T.; Matache, L.; Rotariu, A. Dynamic Impact Behavior of High Entropy Alloys Used in the Military Domain. In Proceedings of the IOP Conference Series: Materials Science and Engineering, Iasi, Romania, 17–18 May 2018; Volume 374, p. 12041. [Google Scholar]
  17. Yang, X.; Zhang, Y.; Liaw, P. Microstructure and Compressive Properties of NbTiVTaAlx High Entropy Alloys. Procedia Eng. 2012, 36, 292–298. [Google Scholar] [CrossRef]
  18. Liu, J.; Guo, X.; Lin, Q.; He, Z.; An, X.; Li, L.; Liaw, P.K.; Liao, X.; Yu, L.; Lin, J.; et al. Excellent ductility and serration feature of metastable CoCrFeNi high-entropy alloy at extremely low temperatures. Sci. China Mater. 2019, 62, 853–863. [Google Scholar] [CrossRef]
  19. Zhao, D.; Fang, H.; Jin, T.; Zhang, T.; Chen, G.; Ma, S.; Wang, Z. Constitutive modeling and strain hardening of CoCrFeNiAlx high-entropy alloys. Mater. Res. Express 2019, 6, 1065h3. [Google Scholar] [CrossRef]
  20. Zhang, Z.; Jiang, Z.; Xie, Y.; Chan, S.L.I.; Liang, J.; Wang, J. Multiple deformation mechanisms induced by pre-twinning in CoCrFeNi high entropy alloy. Scr. Mater. 2022, 207, 114266. [Google Scholar] [CrossRef]
  21. Gali, A.; George, E. Tensile properties of high- and medium-entropy alloys. Intermetallics 2013, 39, 74–78. [Google Scholar] [CrossRef]
  22. Lu, P.; Zhang, T.; Zhao, D.; Ma, S.; Li, Q.; Wang, Z. Mechanical behaviors and texture evolution of CoCrFeNi high-entropy alloy under shear-tension deformation. J. Alloy. Compd. 2020, 815, 152479. [Google Scholar] [CrossRef]
  23. Senkov, O.N.; Scott, J.M.; Senkova, S.V.; Meisenkothen, F.; Miracle, D.B.; Woodward, C.F. Microstructure and elevated temperature properties of a refractory TaNbHfZrTi alloy. J. Mater. Sci. 2012, 47, 4062–4074. [Google Scholar] [CrossRef]
  24. Haihua, C.; Xianfeng, Z.; Wenjie, Z.; Zhilin, G.; Chuang, L.; Mengting, T.; Wei, X.; Haiying, W.; Lanhong, D. Effect of microstructure on flow behavior during penetration of W25Fe25Ni25Mo25 high-entropy alloy projectile. Chin. J. Theor. Appl. Mech. 2022, 54, 2140–2151. [Google Scholar]
  25. Xianwei, H.; Wei, X.; Haihua, C.; Xianfeng, Z.; Haiying, W.; Lanhong, D. Impact energy release and damage characteristics of two high-entropy alloys. Chin. J. Theor. Appl. Mech. 2021, 53, 2528–2540. [Google Scholar]
  26. Wu, S.; Xu, L.; Ma, X.; Jia, Y.; Mu, Y.; Wang, G.; Liu, C. Effect of annealing temperatures on microstructure and deformation behavior of Al0·1CrFeCoNi high-entropy alloy. Mater. Sci. Eng. A 2021, 805, 140523. [Google Scholar] [CrossRef]
  27. Li, Z.; Zhao, S.; Ritchie, R.O.; Meyers, M.A. Mechanical properties of high-entropy alloys with emphasis on face-centered cubic alloys. Prog. Mater. Sci. 2019, 102, 296–345. [Google Scholar] [CrossRef]
  28. Sajadi, S.A.; Toroghinejad, M.R.; Rezaeian, A.; Ebrahimi, G.R. Dynamic recrystallization behavior of the equiatomic FeCoCrNi high-entropy alloy during high temperature deformation. J. Mater. Res. Technol. 2022, 20, 1093–1109. [Google Scholar] [CrossRef]
  29. Meyers, M.A. Dynamic Behavior of Materials; John Wiley & Sons: Hoboken, NJ, USA, 1994. [Google Scholar]
  30. Thevamaran, R.; Lawal, O.; Yazdi, S.; Jeon, S.-J.; Lee, J.-H.; Thomas, E.L. Dynamic creation and evolution of gradient nanostructure in single-crystal metallic microcubes. Science 2016, 354, 312–316. [Google Scholar] [CrossRef]
  31. Liu, W.-H.; Tong, Y.; Chen, S.-W.; Xu, W.-W.; Wu, H.-H.; Zhao, Y.-L.; Yang, T.; Wang, X.-L.; Liu, X.; Kai, J.-J.; et al. Unveiling the Electronic Origin for Pressure-Induced Phase Transitions in High-Entropy Alloys. Matter 2020, 2, 751–763. [Google Scholar] [CrossRef]
  32. Wang, Z.; Zhang, T.; Tang, E.; Xiong, R.; Jiao, Z.; Qiao, J. Formation and deformation mechanisms in gradient nanostructured NiCoCrFe high entropy alloys upon supersonic impacts. Appl. Phys. Lett. 2021, 119, 201901. [Google Scholar] [CrossRef]
  33. Wang, R.; Tang, Y.; Li, S.; Bai, S. Research Progress on Deformation Mechanisms Under Dynamic Loading of High-Entropy Alloys. Mater. Rep. 2021, 35, 17001–17009. [Google Scholar]
  34. Kumar, N.; Ying, Q.; Nie, X.; Mishra, R.; Tang, Z.; Liaw, P.; Brennan, R.; Doherty, K.; Cho, K. High strain-rate compressive deformation behavior of the Al0.1CrFeCoNi high entropy alloy. Mater. Des. 2015, 86, 598–602. [Google Scholar] [CrossRef]
  35. Tian, Z.; Wang, J.; Ma, S.; Qiao, L.; Wang, Z. Dynamic Mechanical Behavior and Microstructure of the Al0.1CoCrFeNiTix High-Entropy Alloys. Adv. Eng. Mater. 2022, 24, 2101260. [Google Scholar] [CrossRef]
  36. Otto, F.; Dlouhý, A.; Somsen, C.; Bei, H.; Eggeler, G.; George, E.P. The influences of temperature and microstructure on the tensile properties of a CoCrFeMnNi high-entropy alloy. Acta Mater. 2013, 61, 5743–5755. [Google Scholar] [CrossRef]
  37. Ma, Y.; Yuan, F.; Yang, M.; Jiang, P.; Ma, E.; Wu, X. Dynamic shear deformation of a CrCoNi medium-entropy alloy with heterogeneous grain structures. In Heterostructured Materials; Jenny Stanford Publishing: Singapore, 2021; pp. 613–640. [Google Scholar]
  38. Yu, P.; Feng, R.; Du, J.; Shinzato, S.; Chou, J.P.; Chen, B.; Lo, Y.C.; Liaw, P.K.; Ogata, S.; Hu, A. Phase transformation assisted twinning in a face-centered-cubic FeCrNiCoAl0.36 high entropy alloy. Acta Mater. 2019, 181, 491–500. [Google Scholar] [CrossRef]
Figure 1. Samples of experiments.
Figure 1. Samples of experiments.
Metals 12 01885 g001
Figure 2. The test layout of the quasi-static compression test.
Figure 2. The test layout of the quasi-static compression test.
Metals 12 01885 g002
Figure 3. The schematic diagram of the dynamic compression test layout.
Figure 3. The schematic diagram of the dynamic compression test layout.
Metals 12 01885 g003
Figure 4. Assembly drawing of the long rod projectiles (LRPs) and sabot (Unit: mm).
Figure 4. Assembly drawing of the long rod projectiles (LRPs) and sabot (Unit: mm).
Metals 12 01885 g004
Figure 5. Schematic diagram of experimental layout.
Figure 5. Schematic diagram of experimental layout.
Metals 12 01885 g005
Figure 6. X-ray diffraction (XRD) patterns of the FeNiCoCr high-entropy alloys (HEAs) annealed at different temperatures.
Figure 6. X-ray diffraction (XRD) patterns of the FeNiCoCr high-entropy alloys (HEAs) annealed at different temperatures.
Metals 12 01885 g006
Figure 7. Microstructure of FeNiCoCr HEA samples annealed at different temperatures: (a) Initial, (b) 600 °C, (c) 750 °C, (d) 850 °C and (e) 1000 °C. Arrows in (ae) mark annealing twins.
Figure 7. Microstructure of FeNiCoCr HEA samples annealed at different temperatures: (a) Initial, (b) 600 °C, (c) 750 °C, (d) 850 °C and (e) 1000 °C. Arrows in (ae) mark annealing twins.
Metals 12 01885 g007
Figure 8. The Rockwell hardness of FeNiCoCr HEA samples annealed at different temperatures.
Figure 8. The Rockwell hardness of FeNiCoCr HEA samples annealed at different temperatures.
Metals 12 01885 g008
Figure 9. Comparison of specimens after quasi-static compression test.
Figure 9. Comparison of specimens after quasi-static compression test.
Metals 12 01885 g009
Figure 10. Stress-strain curves (a) and the corresponding strain hardening rates (b) of FeNiCoCr HEAs annealed at different temperatures.
Figure 10. Stress-strain curves (a) and the corresponding strain hardening rates (b) of FeNiCoCr HEAs annealed at different temperatures.
Metals 12 01885 g010
Figure 11. Dynamic compression states of FeNiCoCr HEAs annealed at different temperatures: (a) Initial, (b) 600 °C, (c) 750 °C, (d) 850 °C, and (e) 1000 °C.
Figure 11. Dynamic compression states of FeNiCoCr HEAs annealed at different temperatures: (a) Initial, (b) 600 °C, (c) 750 °C, (d) 850 °C, and (e) 1000 °C.
Metals 12 01885 g011
Figure 12. Strain rate effect of FeNiCoCr HEAs annealed at different temperatures.
Figure 12. Strain rate effect of FeNiCoCr HEAs annealed at different temperatures.
Metals 12 01885 g012
Figure 13. Projectile flight process and landing attitude: (a) FeNiCoCr HEA annealed at 600 °C, 1152 m/s and (b) FeNiCoCr HEA annealed at 850 °C, 1108 m/s.
Figure 13. Projectile flight process and landing attitude: (a) FeNiCoCr HEA annealed at 600 °C, 1152 m/s and (b) FeNiCoCr HEA annealed at 850 °C, 1108 m/s.
Metals 12 01885 g013
Figure 14. The effects of the projectile hitting the target: (a) Steel, 1154 m/s, the FeNiCoCr HEA annealed at (b) Initial, 1033 m/s, (c) 600 °C, 1001 m/s, (d) 750 °C, 1024 m/s, (e) 850 °C, 1052 m/s and (f) 1000 °C, 1039 m/s.
Figure 14. The effects of the projectile hitting the target: (a) Steel, 1154 m/s, the FeNiCoCr HEA annealed at (b) Initial, 1033 m/s, (c) 600 °C, 1001 m/s, (d) 750 °C, 1024 m/s, (e) 850 °C, 1052 m/s and (f) 1000 °C, 1039 m/s.
Metals 12 01885 g014
Figure 15. The effects of the projectile hitting the target: (a) Steel, FeNiCoCr HEAs annealed at (b) Initial, (c) 600 °C, (d) 750 °C, (e) 850 °C and (f) 1000 °C.
Figure 15. The effects of the projectile hitting the target: (a) Steel, FeNiCoCr HEAs annealed at (b) Initial, (c) 600 °C, (d) 750 °C, (e) 850 °C and (f) 1000 °C.
Metals 12 01885 g015
Figure 16. The results of the projectiles penetrating the targets: (a) The depth of penetration of the projectiles penetrating the targets and (b) The volume of crater of the projectiles penetrating the targets.
Figure 16. The results of the projectiles penetrating the targets: (a) The depth of penetration of the projectiles penetrating the targets and (b) The volume of crater of the projectiles penetrating the targets.
Metals 12 01885 g016
Figure 17. XRD patterns of the projectiles picked up: (a) initial FeNiCoCr HEA LRPs, (b) FeNiCoCr HEA LRPs annealed at 850 °C and (c) FeNiCoCr HEA LRPs annealed at 1000 °C.
Figure 17. XRD patterns of the projectiles picked up: (a) initial FeNiCoCr HEA LRPs, (b) FeNiCoCr HEA LRPs annealed at 850 °C and (c) FeNiCoCr HEA LRPs annealed at 1000 °C.
Metals 12 01885 g017
Figure 18. Optical microscopy (OM) images of the initial FeNiCoCr HEA LRP, v = 1136 m/s.
Figure 18. Optical microscopy (OM) images of the initial FeNiCoCr HEA LRP, v = 1136 m/s.
Metals 12 01885 g018
Figure 19. OM images of the initial FeNiCoCr HEA LRP, v = 1429 m/s.
Figure 19. OM images of the initial FeNiCoCr HEA LRP, v = 1429 m/s.
Metals 12 01885 g019
Figure 20. OM images of the FeNiCoCr HEA LRP annealed at 850 °C, v = 1052 m/s.
Figure 20. OM images of the FeNiCoCr HEA LRP annealed at 850 °C, v = 1052 m/s.
Metals 12 01885 g020
Figure 21. OM images of the FeNiCoCr HEA LRP annealed at 1000 °C, v = 1039 m/s.
Figure 21. OM images of the FeNiCoCr HEA LRP annealed at 1000 °C, v = 1039 m/s.
Metals 12 01885 g021
Figure 22. Transmission electron microscope (TEM) bright-field images of LRPs after impact: (a) the initial FeNiCoCr HEA LRP, v = 1136 m/s; (b) the initial FeNiCoCr HEA LRP, v = 1429 m/s; (c) the LRP of FeNiCoCr HEA annealed at 850 °C, v = 1052 m/s; (d) the LRP of FeNiCoCr HEA annealed at 1000 °C, v = 1039 m/s.
Figure 22. Transmission electron microscope (TEM) bright-field images of LRPs after impact: (a) the initial FeNiCoCr HEA LRP, v = 1136 m/s; (b) the initial FeNiCoCr HEA LRP, v = 1429 m/s; (c) the LRP of FeNiCoCr HEA annealed at 850 °C, v = 1052 m/s; (d) the LRP of FeNiCoCr HEA annealed at 1000 °C, v = 1039 m/s.
Metals 12 01885 g022
Figure 23. TEM bright-field images of LRPs after impact: (a) showing multiple deformation twins in the LRP of FeNiCoCr HEA annealed at 1000 °C, v = 1039 m/s; (b) showing high density of stack faults in the initial FeNiCoCr HEA LRP, v = 1429 m/s.
Figure 23. TEM bright-field images of LRPs after impact: (a) showing multiple deformation twins in the LRP of FeNiCoCr HEA annealed at 1000 °C, v = 1039 m/s; (b) showing high density of stack faults in the initial FeNiCoCr HEA LRP, v = 1429 m/s.
Metals 12 01885 g023
Figure 24. TEM images of the LRP of FeNiCoCr HEA annealed at 850 °C, v = 1052 m/s: (a) Bright-field TEM image of the microstructure of the front part; (b) corresponding dark-field TEM image of (a).
Figure 24. TEM images of the LRP of FeNiCoCr HEA annealed at 850 °C, v = 1052 m/s: (a) Bright-field TEM image of the microstructure of the front part; (b) corresponding dark-field TEM image of (a).
Metals 12 01885 g024
Table 1. Experimental data of quasi-static compression.
Table 1. Experimental data of quasi-static compression.
Annealing TemperatureSize/(mm × mm)Force/kNStrain Rate/s−1Yield Stress/MPa
initialΦ6.9 × 7.0100.040.001180
600 °CΦ7.0 × 7.3100.060.001250
750 °CΦ6.8 × 6.9100.020.001226
850 °CΦ6.8 × 7.0100.040.001190
1000 °CΦ6.8 × 6.9100.020.001188
Table 2. SHPB experimental data.
Table 2. SHPB experimental data.
Annealing TemperatureSize/(mm × mm)Strain Rate/s−1Yield Stress/MPa
InitialΦ4.03 × 4.962964215.00
Φ3.88 × 5.063515283.43
Φ3.99 × 4.983614287.00
600 °CΦ3.70 × 5.002027351.71
Φ3.80 × 4.902044358.91
Φ3.80 × 5.003106369.21
Φ3.99 × 4.983998640.56
750 °CΦ3.74 × 4.881870266.11
Φ3.99 × 4.982981315.52
Φ4.00 × 4.973866318.35
850 °CΦ3.73 × 5.002266228.81
Φ3.88 × 5.013098232.41
Φ3.99 × 4.983874255.54
1000 °CΦ3.89 × 4.992187221.86
Φ3.90 × 5.023227243.12
Φ3.78 × 5.013863264.53
Table 3. Experimental results of the LRPs penetrating the targets.
Table 3. Experimental results of the LRPs penetrating the targets.
No.ProjectileVelocity/m·s−1DOP/mmDiameter of Crater/mmVOC/mm3
1Steel-18034.3715.72489.38
2Steel-211549.8318.081832
3Steel-3118010.9319.922063
4Steel-4131617.5319.923759
50-18954.9816.79814
60-210339.4223.072031
70-3108513.2422.512958
80-4113612.6621.192666
90-5130119.5922.214745
100-6142919.0622.344640
11600-18144.7718.79623.67
12600-297510.6021.011931.04
13600-3100111.8921.552251.21
14600-4115218.7322.174212.58
15750-17973.8119.11651.38
16750-295510.3821.011975.36
17750-3102412.8021.672806.43
18750-4110814.6420.532965.5
19850-17984.3117.25462.67
20850-29247.3218.88879.40
21850-2105211.5120.871817.44
22850-3107113.8923.122463.63
23850-4134017.1723.303507.23
241000-18774.3818.27402.69
251000-298610.0120.321617.50
261000-3103912.0120.922194.79
271000-4121217.9022.293926.65
Publisher’s Note: MDPI stays neutral with regard to jurisdictional claims in published maps and institutional affiliations.

Share and Cite

MDPI and ACS Style

Hou, X.; Zhang, X.; Liu, C.; Chen, H.; Xiong, W.; Chen, J.; Tan, M. Effects of Annealing Temperatures on Mechanical Behavior and Penetration Characteristics of FeNiCoCr High-Entropy Alloys. Metals 2022, 12, 1885. https://doi.org/10.3390/met12111885

AMA Style

Hou X, Zhang X, Liu C, Chen H, Xiong W, Chen J, Tan M. Effects of Annealing Temperatures on Mechanical Behavior and Penetration Characteristics of FeNiCoCr High-Entropy Alloys. Metals. 2022; 12(11):1885. https://doi.org/10.3390/met12111885

Chicago/Turabian Style

Hou, Xianwei, Xianfeng Zhang, Chuang Liu, Haihua Chen, Wei Xiong, Jie Chen, and Mengting Tan. 2022. "Effects of Annealing Temperatures on Mechanical Behavior and Penetration Characteristics of FeNiCoCr High-Entropy Alloys" Metals 12, no. 11: 1885. https://doi.org/10.3390/met12111885

APA Style

Hou, X., Zhang, X., Liu, C., Chen, H., Xiong, W., Chen, J., & Tan, M. (2022). Effects of Annealing Temperatures on Mechanical Behavior and Penetration Characteristics of FeNiCoCr High-Entropy Alloys. Metals, 12(11), 1885. https://doi.org/10.3390/met12111885

Note that from the first issue of 2016, this journal uses article numbers instead of page numbers. See further details here.

Article Metrics

Back to TopTop