Fluoride Leaching of Titanium from Ti-Bearing Electric Furnace Slag in [NH4+]-[F−] Solution
Abstract
:1. Introduction
2. Experimental methods
2.1. Experimental Procedure
2.2. Definition of Parameters
2.3. Analysis and Characterization
3. Results and Discussion
3.1. Ti-Bearing Electric Furnace Slag
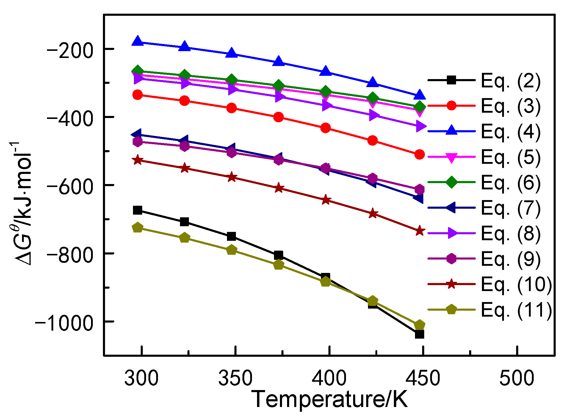
3.2. Thermodynamic Analysis of Fluoride Leaching Reactions
3.3. Effects of Experimental Parameters on Ti Leaching Rates
3.4. Transformation of Mineral Phase
3.5. Transformation of Microstructure
3.6. Kinetics of Fluoride Leaching of Titanium
3.6.1. Selection of Leaching Kinetics Model
3.6.2. Determination of Rate Constant
3.6.3. Determination of Leaching Kinetics
3.6.4. Comparison of Experimental and Calculated Results
3.7. Leaching Solution and Leaching Residues
4. Conclusions
Author Contributions
Funding
Data Availability Statement
Conflicts of Interest
References
- Noormohammed, S.; Sarkar, D.K. Rf-sputtered teflon-modified superhydrophobic nanostructured titanium dioxide coating on aluminum alloy for lcephobic applications. Coatings 2021, 11, 432. [Google Scholar] [CrossRef]
- Kumar, V.; Kumar, A.; Song, M.; Lee, D.J.; Park, S.S. Properties of silicone rubber-based composites reinforced with few-layer graphene and iron oxide or titanium dioxide. Polymers 2021, 13, 1550. [Google Scholar] [CrossRef]
- Zhang, D.; Pan, L.; Li, C.; Xia, L.; Gao, W. Fabrication of flower-like TiO2 on Bucky paper with enhanced photocatalytic activity. Int. J. Mod. Phys. B 2019, 33, 195–207. [Google Scholar] [CrossRef]
- Turner, J.; Aspinall, H.C.; Rushworth, S.; Black, K. A hybrid nanoparticle/alkoxide ink for inkjet printing of TiO2: A templating effect to form anatase at 200 °C. RSC Adv. 2019, 9, 39143–39146. [Google Scholar] [CrossRef] [Green Version]
- Mahdi, B.S.; Hasson, S.A. Linear optical characterization of novel dye doped poly methyl methacrylate with titanium dioxide nanoparticale. NeuroQuantology 2021, 19, 16–21. [Google Scholar] [CrossRef]
- Wan, L.; Deng, C.; Zhao, Z.Y.; Zhao, H.B.; Wang, Y.Z. A titanium dioxide–carbon nanotube hybrid to simultaneously achieve the mechanical enhancement of natural rubber and its stability under extreme frictional conditions. Mater. Adv. 2021, 2, 2408–2418. [Google Scholar] [CrossRef]
- Zhang, M.M.; Chen, J.Y.; Li, H.; Wang, C.R. Recent progress in Li-ion batteries with TiO2 nanotube anodes grown by electrochemical anodization. Rare Met. 2020, 40, 249–271. [Google Scholar] [CrossRef]
- Li, F.; Wang, C.L.; Ding, S.; Yang, K.; Tian, F. Photoelectrochemical performance of TiO2 nanotube arrays by in situ decoration with different initial states. Rare Met. 2021, 40, 720–727. [Google Scholar] [CrossRef]
- Liu, H.; Zhang, R.; Yan, S.; Li, J.; Yang, S. Effect of La2O3 on the microstructure and grain refining effect of novel Al-TiO2-C-XLa2O3 refiners. Metals 2020, 10, 182. [Google Scholar] [CrossRef] [Green Version]
- Rahmani, R.; Rosenberg, M.; Ivask, A.; Kollo, L. Comparison of mechanical and antibacterial properties of TiO2/Ag ceramics and Ti6Al4V-TiO2/Ag composite materials using combined SLM-SPS techniques. Metals 2019, 9, 874. [Google Scholar] [CrossRef] [Green Version]
- Bordbar, H.; Yousef, A.A.; Abedini, H. Production of titanium tetrachloride (TiCl4) from titanium ores: A review. Polyolefns J. 2017, 4, 150–169. [Google Scholar] [CrossRef]
- Zheng, F.; Chen, F.; Guo, Y.; Jiang, T.; Travyanov, A.Y.; Qiu, G. Kinetics of hydrochloric acid leaching of titanium from titanium-bearing electric furnace slag. JOM 2016, 68, 1476–1484. [Google Scholar] [CrossRef]
- Yang, J.; Tang, Y.; Yang, K.; Rouff, A.A.; Elzinga, E.J.; Huang, J.H. Leaching characteristics of vanadium in mine tailings and soils near a vanadium titanomagnetite mining site. J. Hazard. Mater. 2014, 264, 498–504. [Google Scholar] [CrossRef] [PubMed]
- Fan, S.G.; Dou, Z.H.; Zhang, T.A.; Yan, J.S. Self-propagating reaction mechanism of Mg–TiO2 system in preparation process of titanium powder by multi-stage reduction. Rare Metals 2021, 40, 2645–2656. [Google Scholar] [CrossRef]
- Wang, X.; Liu, W.; Liang, B.; Lv, L.; Li, C. Combined oxidation and 2-octanol extraction of iron from a synthetic ilmenite hydrochloric acid leachate. Sep. Purif. Technol. 2016, 158, 96–102. [Google Scholar] [CrossRef]
- Zhang, W.; Zhu, Z.; Cheng, C. A literature review of titanium metallurgical processes. Hydrometallurgy 2011, 108, 177–188. [Google Scholar] [CrossRef]
- El-Sadek, M.H.; Fouad, O.A.; Morsi, M.B.; El-Barawy, K. Controlling conditions of fluidized bed chlorination of upgraded titania slag. Trans. Indian Inst. Met. 2019, 72, 423–427. [Google Scholar] [CrossRef]
- Zheng, F.; Guo, Y.; Liu, S.; Qiu, G.; Chen, F.; Jiang, T.; Wang, S. Removal of magnesium and calcium from electric furnace titanium slag by H3PO4 oxidation roasting–leaching process. Trans. Nonferr. Metal. Soc. 2018, 28, 356–366. [Google Scholar] [CrossRef]
- Middlemas, S.; Fang, Z.Z.; Peng, F. Life cycle assessment comparison of emerging and traditional titanium dioxide manufacturing processes. J. Clean. Prod. 2015, 89, 137–147. [Google Scholar] [CrossRef] [Green Version]
- Li, Y.; Gang, X.; Lin, T.; Zhan, L.; Yan, C.; Yan, Q. Model on titanium tetrachloride gas phase oxidation process. Mater. Sci. Forum 2015, 833, 56–60. [Google Scholar] [CrossRef]
- Zhou, Q.; Liu, Q.; Yao, L.; Ren, S.; Zhu, B.; Meng, F.; Lu, R. Influence of different conditions on the precipitation of metatitanic acid to synthesis rutile TiO2 via sulfuric acid process. Mater. Sci. Forum 2016, 850, 851–856. [Google Scholar] [CrossRef]
- Mehta, S.M.; Patel, S.R. The behavior of solutions of titanium dioxide in sulfuric acid in the presence of metallic sulfates. JACS 1951, 73, 224–226. [Google Scholar] [CrossRef]
- Sasikumar, C.; Rao, D.S.; Srikanth, S.; Mukhopadhyay, N.K.; Mehrotra, S.P. Dissolution studies of mechanically activated Manavalakurichi ilmenite with HCl and H2SO4. Hydrometallurgy 2007, 88, 154–169. [Google Scholar] [CrossRef]
- Anderrv, A.A.; Diachenko, A.N. Conditions for the production of pigmentary titanium dioxide of rutile and anatase modifications by ilmenite processing with ammonium fluoride. Theor. Found. Chem. Eng. 2009, 43, 707–712. [Google Scholar] [CrossRef]
- Krysenko, G.F.; Epov, D.G.; Medkov, M.A.; Sitnik, P.V.; Nikolaev, A.I. Processing of perovskite concentrate by ammonium hydrodifluoride. Theor. Found. Chem. Eng. 2016, 50, 588–592. [Google Scholar] [CrossRef]
- Bakeeva, N.G.; Gordienko, P.S.; Pashnina, E.V. Preparation of high-purity titanium salts from the system (NH4)2TiF6-(NH4)3FeF6-NH4F-H2O. Russ. J. Gen. Chem. 2009, 79, 1–6. [Google Scholar] [CrossRef]
- Zhao, Y.; Sun, T.; Zhao, H.; Chen, C.; Wang, X. Effect of reductant type on the embedding direct reduction of beach titanomagnetite concentrate. Int. J. Miner. Metall. Mater. 2019, 26, 152–159. [Google Scholar] [CrossRef]
- Li, T.; Sun, C.; Song, S.; Wang, Q. Roles of MgO and Al2O3 on the viscous and structural behavior of blast furnace primary slag, part 1: C/S = 1.3 containing TiO2. Metals 2019, 9, 866. [Google Scholar] [CrossRef] [Green Version]
- Steinberg, W.S.; Geyser, W.; Nell, J. The history and development of the pyrometallurgical processes at Evraz Highveld steel & vanadium. J. S. Afr. Inst. Min. Metall. 2011, 111, 705–710. [Google Scholar]
- Zheng, F.; Guo, Y.; Qiu, G.; Chen, F.; Wang, S.; Sui, Y.; Jiang, T.; Yang, L. A novel process for preparation of titanium dioxide from Ti-bearing electric furnace slag: NH4HF2-HF leaching and hydrolyzing process. J. Hazard. Mater. 2018, 344C, 490–498. [Google Scholar] [CrossRef]
- Sohn, H.Y.; Wadsworth, M.E. Rate Processes of Extractive Metallurgy, 1st ed.; Plenum Press: New York, NY, USA, 1979; pp. 135–143. [Google Scholar]
- Levenspiel, O. Chemical Reaction Engineering, 3rd ed.; John Wiley and Sons Inc.: New York, NY, USA, 1999; pp. 566–570. [Google Scholar]
- Habashi, F. Principles of Extractive Metallurgy, General Principles, 2nd ed.; Gordon and Breach Science Publishers, Inc.: New York, NY, USA, 1969; Volume 1, pp. 111–169. [Google Scholar]













| TiO2 | SiO2 | Al2O3 | MgO | CaO | Total Fe | MnO | V2O5 | Cr2O3 |
|---|---|---|---|---|---|---|---|---|
| 51.50 | 19.01 | 14.38 | 7.42 | 3.22 | 1.88 | 1.10 | 0.63 | 0.03 |
| Rate-Controlling Step | Rate Equation |
|---|---|
| Surface chemical reaction | |
| Diffusion control through the ash or production layer |
| CF−(mol/L) | Temperature (°C) | Correlation Coefficient R2 | |
|---|---|---|---|
| 1 − (1 − X)1/3 | 1 − (2/3)X − (1 − X)2/3 | ||
| 8 | 60 | 0.999 | 0.924 |
| 70 | 0.995 | 0.933 | |
| 80 | 0.964 | 0.926 | |
| 90 | 0.978 | 0.958 | |
| 10 | 60 | 0.999 | 0.935 |
| 70 | 0.994 | 0.945 | |
| 80 | 0.980 | 0.959 | |
| 90 | 0.964 | 0.955 | |
| 12 | 60 | 0.999 | 0.962 |
| 70 | 0.987 | 0.985 | |
| 80 | 0.963 | 0.980 | |
| 90 | 0.988 | 0.985 | |
| 14 | 60 | 0.999 | 0.958 |
| 70 | 0.994 | 0.978 | |
| 80 | 0.975 | 0.986 | |
| 90 | 0.992 | 0.982 | |
| Ti | Si | Fe | V | Mn | Cr | Ca | Mg | Al |
|---|---|---|---|---|---|---|---|---|
| 26.64 | 7.81 | 0.13 | 0.02 | 0.016 | 0.001 | 0 | 0 | 0 |
| Ti | Al | Mg | Ca | Fe | Mn | Si | V | Cr | F |
|---|---|---|---|---|---|---|---|---|---|
| 1.81 | 6.22 | 3.64 | 1.88 | 1.42 | 0.68 | 0.43 | 0.27 | 0.02 | 44.54 |
Publisher’s Note: MDPI stays neutral with regard to jurisdictional claims in published maps and institutional affiliations. |
© 2021 by the authors. Licensee MDPI, Basel, Switzerland. This article is an open access article distributed under the terms and conditions of the Creative Commons Attribution (CC BY) license (https://creativecommons.org/licenses/by/4.0/).
Share and Cite
Zheng, F.; Guo, Y.; Chen, F.; Wang, S.; Zhang, J.; Yang, L.; Qiu, G. Fluoride Leaching of Titanium from Ti-Bearing Electric Furnace Slag in [NH4+]-[F−] Solution. Metals 2021, 11, 1176. https://doi.org/10.3390/met11081176
Zheng F, Guo Y, Chen F, Wang S, Zhang J, Yang L, Qiu G. Fluoride Leaching of Titanium from Ti-Bearing Electric Furnace Slag in [NH4+]-[F−] Solution. Metals. 2021; 11(8):1176. https://doi.org/10.3390/met11081176
Chicago/Turabian StyleZheng, Fuqiang, Yufeng Guo, Feng Chen, Shuai Wang, Jinlai Zhang, Lingzhi Yang, and Guanzhou Qiu. 2021. "Fluoride Leaching of Titanium from Ti-Bearing Electric Furnace Slag in [NH4+]-[F−] Solution" Metals 11, no. 8: 1176. https://doi.org/10.3390/met11081176
APA StyleZheng, F., Guo, Y., Chen, F., Wang, S., Zhang, J., Yang, L., & Qiu, G. (2021). Fluoride Leaching of Titanium from Ti-Bearing Electric Furnace Slag in [NH4+]-[F−] Solution. Metals, 11(8), 1176. https://doi.org/10.3390/met11081176

